Chronic and Periodic Effects of Smoke from Crop Residue Combustion on Soil Enzymatic Activity
- Authors: Nizhelskiy M.S.1, Kazeev K.S.1, Vilkova V.V.1, Fedorenko A.N.1, Sushkova S.N.1, Kolesnikov S.I.1
-
Affiliations:
- Southern Federal University
- Issue: No 4 (2024)
- Pages: 595-607
- Section: SOIL BIOLOGY
- URL: https://bakhtiniada.ru/0032-180X/article/view/264102
- DOI: https://doi.org/10.31857/S0032180X24040059
- EDN: https://elibrary.ru/WSKZGQ
- ID: 264102
Cite item
Full Text
Abstract
Wildfires lead to the emission of large volumes of toxic smoke, which is transported hundreds of kilometres away from the fires and can have a negative impact on soil, biota and humans. A series of modelling experiments on pyrogenic fumigation of soil were carried out to assess the effects of gaseous products from wildfires on soil biochemical parameters. The effects of chronic exposure to gaseous substances and periodic, repetitive effects of smoke exposure on soil were determined. The results were compared with a single intensive smoke exposure. It was found that pyrogenic impact significantly affected the change of enzymatic activity of ordinary chernozem. The degree of influence depended on the duration and periodicity of smoke exposure. In all experiments enzymes of oxidoreductase class (catalase, peroxidase, polyphenol oxidase) were more sensitive to fumigation than invertase from hydrolase class. The reason of suppression of enzymatic activity of soils is high concentrations of toxic gases. The following concentrations exceeded the maximum permissible concentrations for atmospheric air: CO 714 times, phenol (hydroxybenzene) 441 times, acetaldehyde 24100 times, formaldehyde 190 times. Accumulation of polycyclic aromatic hydrocarbons (PAHs) in soil after fumigation was revealed, the total content of PAHs was 377 ng/g. The highest values were recorded for naphthalene, where the concentration was 4.4 times higher than the maximum permissible and phenanthrene 2.8 times higher than the maximum permissible. It was found that 60-minute intensive smoke affects the soil to a lesser extent than chronic and periodic. Indicators of enzymatic activity of chernozem after such fumigation decreased by 15-33% depending on the enzyme, in chronic and periodic by 41-84 and 31-78%, respectively. The obtained data indicate a significant effect of smoke on enzymatic activity of soils under chronic and periodic exposure to gaseous products of combustion.
Keywords
Full Text
ВВЕДЕНИЕ
За последние десятилетия возрос интерес к исследованию влияния пирогенных факторов (огня и дыма) на природные экосистемы. Пожары играют особую роль, они могут оказывать пагубное влияние на леса, полностью или частично сжигая растительность. Во многих регионах мира наблюдается тенденция к увеличению площадей, охваченных пожарами, задымлению прилегающих территорий, что связано не только с антропогенной деятельностью человека, но и с изменением климата [31, 40]. В Австралии за 2019–2020 гг. выгорело около 7 млн га леса. Начиная с 1950-х годов в юго-восточной Австралии [48, 63] из-за пожарной обстановки и засухи увеличились количество крупных лесных пожаров и ежегодная площадь пожаров. Аналогичные изменения выявлены в странах Европы, Азии, Северной и Южной Америке [33, 40, 65]. В результате пожара почвы на склонах теряют свои водоудерживающие функции, что может стать причиной других природных явлений, таких как засухи и оползни, подобные тому, что произошли в Калифорнии (США) в 2007 г. [62]. К настоящему времени известны некоторые сведения о влиянии огня и высоких температур на свойства почвы [44, 58] и ее биоту [3, 34]. Более 90% возгораний в лесах напрямую связаны с деятельностью человека, в значительной степени обусловленной преднамеренными поджогами и небрежностью [41, 61]. Это существенно повышает вероятность быстрого роста лесных пожаров в более изолированных районах, подвергая непосредственному риску места обитания животных, выгорание растительного покрова и изменение свойств почвы [42].
Стоит отметить, что помимо высоких температур и непосредственно пламени, повлиять на экосистемы может и дым в результате термической деструкции растительных материалов при лесных пожарах. Известно, что в его составе могут содержаться различные соединения, которые обладают высокой токсичностью и являются опасными веществами [1, 2]. В дыму содержится много фенольных соединений, которые, как известно, обладают мутагенными и канцерогенными свойствами [2, 15], выделяются окиси углерода, азота и другие вещества. Установлено, что на состав газообразных веществ влияет и сам процесс горения. Если происходит неполное сгорание материалов, то в большей степени выделяется окись углерода, цианистый водород, углеводороды и др. [51]. Стоит учесть, что при сжигании биомассы образуются аэрозоли. Они представляют собой преимущественно мелкодисперсные частицы (PM 2.5 – мелкие частицы в воздухе с диаметром 2.5 мкм) [22, 59], и известно, что органические вещества составляют основную часть этих частиц [38]. Все газообразные вещества, образованные в результате горения, могут переноситься на сотни километров от эпицентра возгораний и выпадать с осадками. За 2016 и 2021 гг. объемы выбросов СО, СО2 и частиц диаметром менее 2.5 мкм за счет сжигания лесной биомассы на территориях Сибирского и Дальневосточного федеральных округов составили в совокупности более 80% от общероссийских [24]. Территория Сибири (Россия) является одним из наиболее выгоревших лесных регионов среди бореальных экосистем мира [54], а дым благодаря дальнему переносу из охваченными лесными пожарами областей Сибири привел к задымлению не только прилегающих регионов, но также был зафиксирован в Московском и некоторых других регионах европейской части России [14]. Эффект от пожарного дыма негативно сказывается на здоровье населения [27, 55], отмечаются заболевания легких и сердечно-сосудистой системы. Также исследованы и описаны негативные последствия влияния дыма на животных [5, 66].
Однако в настоящее время остается неизученным влияние хронического воздействия дыма, развивающегося в условиях длительного задымления, на свойства почвы. Подобных исследований ранее не было. Не изучен эффект регулярно-повторяющегося воздействия газообразных веществ на почву, хотя известно, что дым может достаточно долгое время находиться в атмосфере [59]. При этом во многих регионах мира вследствие высокой пожароопасной обстановки данный процесс повторяется очень часто. Уже был изучен процесс рассеивания и переноса загрязняющих веществ при пожарах в Юго-Восточной Азии. Этот регион, вместе с Сибирью и Дальним Востоком, является одним из самых пожароопасных в мире, здесь часто происходили задымления [30, 36], отмечался перенос дыма на большие расстояния, что было обусловлено ветрами [35, 37]. Сообщалось о значительных выбросах токсичного дыма в атмосферный воздух от сжигания лесов [43, 47].
Ранее изучен эффект от задымления почвы после кратковременного (15 мин) и более длительного (60 мин) влияния дыма на почвенные ферменты, pH, содержание солей. Установлено, что глубина проникновения газообразных веществ в почву ограничивается верхним слоем 0–5 см [58], а время ингибирования играет важную роль в снижении ферментативной активности почв. Почвенные ферменты образуются, главным образом, из почвенных микроорганизмов, разложившихся животных и растительных остатков. Они являются ключевыми биокатализаторами, участвующими в разложении органических веществ [26]. Ферменты играют важную роль в биогеохимических циклах почвенного углерода и азота [70]. Ферментативная активность является значимой метаболической движущей силой почвенных экосистем, отражающей интенсивность и направление круговорота и трансформации почвенных элементов [32]. Это чувствительный ранний индикатор изменений в почвенных экосистемах [72].
Цель работы – изучить влияние дыма от сжигания растительных материалов (сосновые опилки) на ферментативную активность чернозема обыкновенного при моделировании хронического воздействия дыма в условиях длительного пожарного периода. Изучен эффект газообразных продуктов горения на ферментативную активность почв при периодическом воздействии дыма – моделирование регулярно повторяющихся возгораний. Определены наиболее чувствительные почвенные ферменты, которые по-разному реагировали на дым, а результаты текущих исследований сравнили с разовым (60 мин) воздействием фумигации. Для выявления причин изменения активности почвенных ферментов были определены концентрации конкретных химических веществ дыма. Выявлены концентрации полициклических ароматических углеводородов (ПАУ) в почве, как возможная причина изменения ферментативной активности.
ОБЪЕКТЫ И МЕТОДЫ
Объектом исследования была почва пахотного участка Ботанического сада Южного федерального университета (0–10 см) – чернозем обыкновенный южно-европейской фации карбонатный легкоглинистый (Haplic Chernozem (Aric, Loamic, Pachic)). Почва опытного участка характеризуется следующими показателями: мощность горизонтов (А+АВ) – 80 см, содержание органического углерода в пахотном горизонте – 2.0%, тяжелосуглинистый гранулометрический состав, содержание физической глины – 53%, содержание подвижного фосфора – 3.3 мг Р2О5/100 г, обменного калия К2О – 341 мг/кг, нитратов N–NO3 – 8.4 мг/кг.
Модельные эксперименты были выполнены в лабораторных условиях при помощи дымогенератора Merkel Standart (Helicon, Россия). Температура воздуха составила 21°С, относительная влажность 54–58%, атмосферное давление 755–757 мм рт. ст. (100.67–100.93 кПа). Параметры воздушной среды определили при помощи метеометра МЭС-200А (ЗАО НПП Электронстандарт, Россия). Продуктами горения были сосновые опилки. Прозрачный контейнер, выступающий в роли газовой камеры для фумигации, во всех опытах 50 л. Подачу воздуха в камеру осуществляли поршневым компрессором Hailia Aco 208 (Haili Group Co. Ltd, Китай), производительностью 17.5 л/мин.
В экспериментах исследовали только влияние дыма, тепловое воздействие было исключено конструктивными особенностями дымогенератора. Температура газообразных продуктов горения была выше, чем атмосферного воздуха и составляла 25.8°С, ее определили при помощи лабораторного термометра ТЛ-2 (ОАО Термоприбор, Россия). Воздушно-сухую почву массой 40 г и слоем 0.6 см помещали в полипропиленовые контейнеры, объемом 200 мл в трехкратной повторности для каждого образца. Затем все контейнеры с почвой помещали в газовую камеру для обработки дымом. Условия проведения всех экспериментов были идентичны: температура дыма, масса почвы в контейнерах, газовая камера для фумигации, параметры воздушной среды.
Время фумигации для почвы в первом эксперименте с разовым воздействием составило 60 мин непрерывного задымления. Однако продолжительность задымления в реальных условиях может быть гораздо больше – до нескольких суток. Поэтому во втором эксперименте время фумигации почвы составило 12, 24, 36 ч, в течение которых дым поступал в газовую камеру на протяжении 3 мин ежечасно для поддержания концентраций дыма в течение всего опыта. Таким образом, было смоделировано хроническое воздействие дыма, т.е. эффект, развивающийся в условиях длительного воздействия поражающего фактора. Суммарное воздействие подачи дыма в газовую камеру в этом опыте составило 36, 72 и 108 мин. В третьем эксперименте выявляли влияние периодического эффекта фумигации, где почву обрабатывали дымом 10 мин каждые 7 сут на протяжении 42 сут, что суммарно составило такое же время воздействия, как и в первом эксперименте с разовым воздействием дыма. Проведено моделирование регулярно-повторяющегося эффекта дыма на почву при пожарах, так как в пожароопасных регионах могут возникать периодические пожары за относительно короткий срок.
После завершения фумигации определяли ферментативную активность чернозема [7]. В качестве индикаторов выбраны ферменты класса оксидоредуктаз: каталаза, пероксидаза, полифенолоксидаза – и инвертаза из класса гидролаз. Выбор ферментов для анализа обусловлен их информативностью и высокой чувствительностью к антропогенным преобразованиям [6, 7]. Активность каталазы определяли волюметрическим методом Галстяна по скорости разложения H2O2. Она разлагает H2O2, которая образуется в процессе дыхания живых организмов и других биохимических реакций на воду и молекулярный кислород [12]. Активность полифенолоксидазы и пероксидазы определяли методом Карягиной и Михайловой с гидрохиноном в качестве субстрата. Этим ферментам в почвах принадлежит важная роль в процессах гумусообразования. Полифенолоксидаза катализирует окисление полифенолов в хиноны в присутствии свободного кислорода воздуха. Пероксидаза катализирует окисление полифенолов в присутствии H2O2 или органических перекисей [12]. Инвертазу определяли модифицированным колориметрическим методом, основанным на определении восстановленной глюкозой меди из реактива Феллинга [7]. Активность инвертазы в лучшей степени характеризует уровень плодородия и биологическую активность почв [19]. Концентрацию растворов продуктов реакции определяли на спектрофотометре ПЭ 5300ВИ (ООО Экохим, Россия). Полученные результаты опытных образцов сравнивали с контролем (его принимали за 100%).
Влияние продуктов горения на pH почвенной суспензии установили для экспериментов 1 и 2. Реакцию среды определяли потенциометрическим методом при помощи прибора Hanna HI-98128-pHep-5 (HANNA, Германия), при соотношении почва : вода 1 : 2.5. Аналогично выполнили анализ на содержание легкорастворимых солей в суспензии. Анализ проводили кондуктометрически по удельной электропроводности раствора прибором Hanna HI-9034 (Hanna, Германия).
Определяли концентрацию газов от сжигания сосновых опилок. Дым анализировали при помощи газоанализатора ДАГ-16 (ООО Дитгаз, Россия), рекомендованного для забора газов. После забора газообразных веществ использовали следующие приборы для анализа концентраций: газовый хроматограф кристалл-2000М (ЗАО СКБ Хроматэк, Россия), хроматограф ФГХ-01 (ООО НПФ Анатэк, Россия), фотометр КФК-3-01-ЗОМЗ (АООТ Загорский оптико-механический завод, Россия), спектрофотометр UV-1800 (Shimadzu Corporation, Япония).
Содержание ПАУ в почве анализировали по зарегистрированным методикам [9–11] в трехкратной повторности при помощи хроматографа Agilent Technologies 1260 (Agilent Technologies Inc, США) c флуоресцентным детектором. Почву перед анализом фумигировали 30 мин, а после в образцах определяли ПАУ из списка приоритетных поллютантов. Полученные результаты сравнили с канадскими нормативами [28] для почв сельскохозяйственных территорий, поскольку для России имеются данные только по бензо(а)пирену.
Настоящие эксперименты с дымом приближены к реальным условиям, при которых пожары приводят к образованию сильного и густого задымления, способного оказывать негативное воздействие на почву, биоту и человека. При этом сам дым может распространяться на большие расстояния, удаляясь от эпицентра возгорания, и удерживаться в приземном слое в течение длительного времени, образуя смог.
Статистическую обработку результатов выполнили при помощи однофакторного дисперсионного анализа с уровнем статистической значимости p < 0.05 в программах Microsoft Excel и Statistica 12.0. Объем выборок, который использовали для проведения дисперсионного анализа, n = 9 для контрольных и опытных образцов.
РЕЗУЛЬТАТЫ
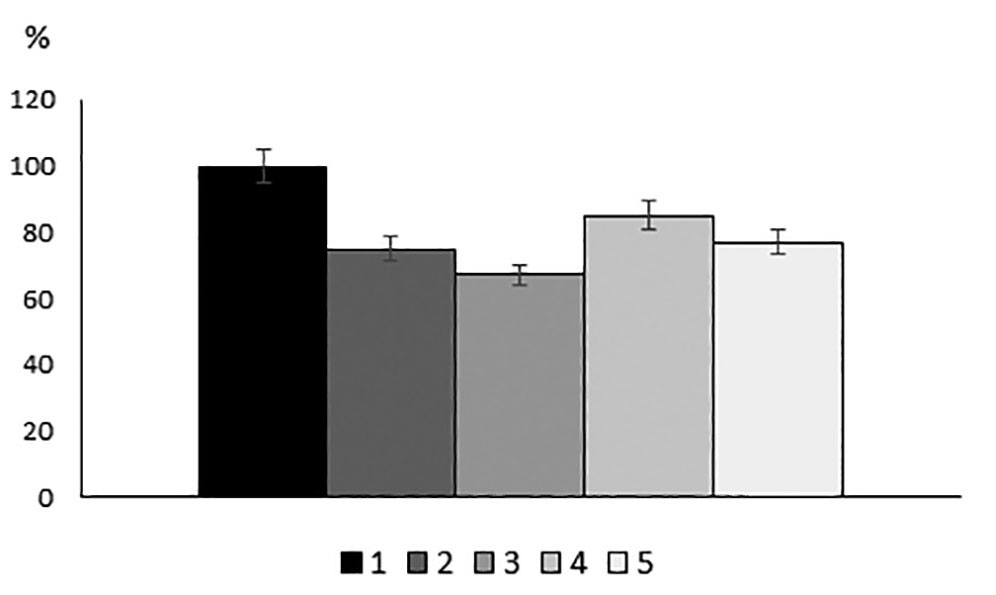
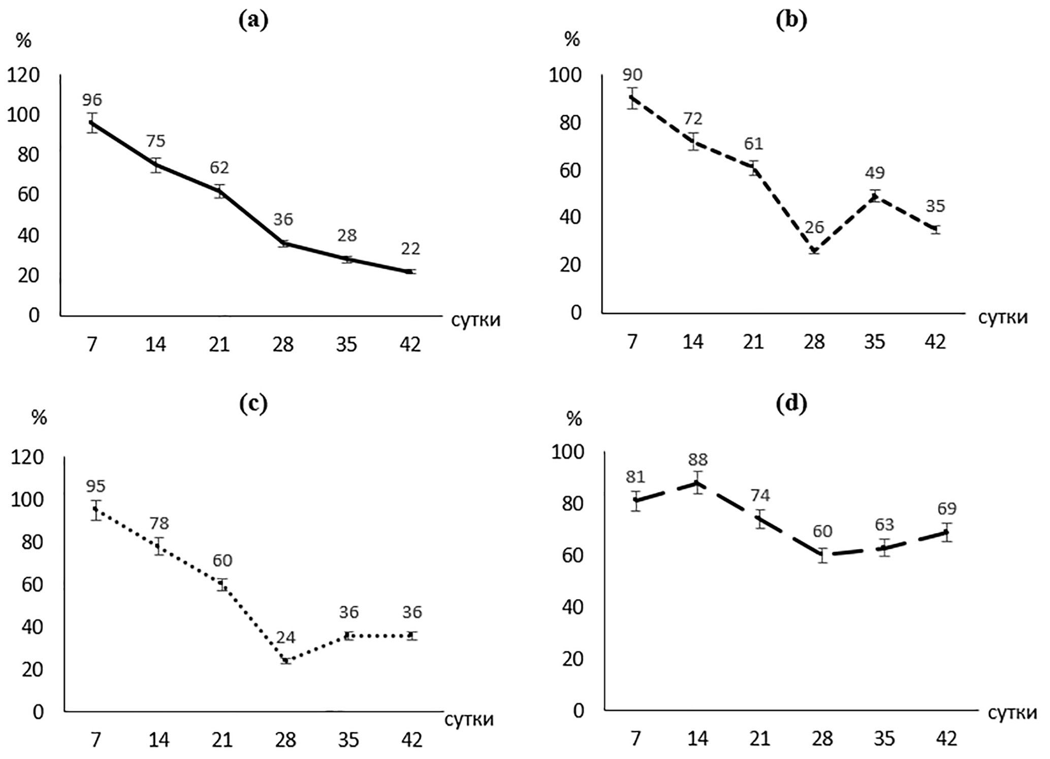
Ферментативная активность в контрольных вариантах находится в типичных пределах для данного типа почв. Активность всех ферментов по шкалам обогащенности [6, 7] находится на среднем уровне. В результате 60-минутного воздействия дыма от горения растительных материалов установлено снижение активности почвенных ферментов на 15–33% (рис. 1). Однако в хроническом опыте время фумигации было более продолжительным и выявлено большее подавление ферментативной активности. Например, значение каталазы после 36 ч нахождения почвы в газовой камере снизилось на 84%, в то время как после 60-минутной фумигации (первый опыт) – на 25%. Подобные изменения наблюдали со всеми исследуемыми ферментами (рис. 2). Аналогичным образом, активность ферментов снизилась и в третьем эксперименте, где оценивали эффект периодической фумигации на почву (рис. 3). При этом после всех трех экспериментов наиболее восприимчивыми к газообразным веществам оказались каталаза, пероксидаза и полифенолоксидаза из класса оксидоредуктаз, в меньшей степени – инвертаза.
Рис. 1. Снижение ферментативной активности почвы после разовой 60-минутной фумигации: 1 – контроль, 2 – каталаза, 3 – полифенолоксидаза, 4 – пероксидаза, 5 – инвертаза (различия достоверны при p < 0.05)
Рис. 2. Изменение ферментативной активности чернозема обыкновенного после хронического воздействия дыма: 1 – каталаза, 2 – полифенолоксидаза, 3 – пероксидаза, 4 – инвертаза (различия достоверны при p < 0.05)
Рис. 3. Снижение ферментативной активности чернозема обыкновенного в эксперименте с периодическим воздействием дыма: a – каталаза, b – пероксидаза, c – полифенолоксидаза, d – инвертаза (различия достоверны при p < 0.05)
Показатель pH почвенной суспензии и содержание легкорастворимых солей претерпели изменения в результате хронического опыта. Показатель уменьшился с 7.8 до 5.5 (табл. 1). В случае с 60-минутным воздействием дыма на чернозем значения pH снизились с 7.8 (контрольный вариант) до 6.3. Минерализация после хронического воздействия увеличилась с 9.2 мг/л в контроле до 183–248 мг/л после 12–36 ч фумигации, в то время как после первого эксперимента (60 мин фумигации) содержание солей составило 210 мг/л.
Таблица 1. Изменение pH почвенной суспензии после хронического опыта (12–36 ч)
Вариант фумигации почвы | рН | Минерализация, мг/л |
Контроль (без фумигации) | 7.8 | 9.2 |
12 ч | 7.0 | 183 |
24 ч | 6.3 | 224 |
36 ч | 5.5 | 248 |
При анализе дыма выявлено существенное превышение норм загрязняющих веществ в атмосферном воздухе СанПиН 1.2.3685-21 по некоторым химическим соединениям. Значение максимально разового ПДК для оксида углерода не должно превышать 5 мг/м3, среднесуточной и среднегодовой 3 мг/м3. Однако в настоящем исследовании произошло заметное увеличение угарного газа – 3570 мг/ м3, что в 714 раз превышает максимально разовую и в 1190 среднесуточную и среднегодовую ПДК (табл. 2). Видно, что уровень содержания ацетальдегида (С2Н4О) в 24 100 раз превышал допустимые значения СанПиН 1.2.3685-21 по предельно допустимым концентрациям загрязняющих веществ в атмосферном воздухе городских и сельских поселений. Из всех рассматриваемых в текущем исследовании веществ С2Н4О претерпел наибольшие изменения. Помимо ацетальдегида, превышение норм зафиксировано для оксидов азота, формальдегида, гидроксибензола, предельных углеводородов C6H14–C10H22 и диоксида серы (только для среднесуточной ПДК).
Таблица 2. Концентрации газообразных веществ в дыму по сравнению с гигиеническими нормативами содержания загрязняющих веществ в атмосферном воздухе городских и сельских поселений (СанПиН 1.2.3685-21)
Вещество | Концентрация в эксперименте, мг/м3 | ПДК в атмосферном воздухе, мг/м3 | ||
максимально разовая | среднесуточная | среднегодовая | ||
Диоксид серы (SO2) | 0.28 | 0.5 | 0.05 | – |
Углерод оксид (CO) | 3570 | 5 | 3 | 3 |
Азота диоксид (NO2) | 60 | 0.2 | 0.1 | 0.04 |
Азота оксид (NO) | 40 | 0.4 | – | 0.06 |
Ацетальдегид (С2Н4О) | 241 | 0.01 | – | 0.005 |
Формальдегид (CH2O) | 9.53 | 0.05 | 0.01 | 0.003 |
Фенол гидроксибензол (С6Н6O) | 4.41 | 0.01 | 0.006 | 0.003 |
Смесь предельных углеводородов C6H14–C10H22 | 312.69 | 50 | 5 | – |
Гексан C6H14 | 238 | 60 | 7 | 0.7 |
Были учтены концентрации ПАУ в почве, некоторые из которых превышали принятые фоновые концентрации, регламентированные канадскими нормативными документами [28] по регулированию почв сельскохозяйственных территорий. Концентрация нафталина в почве превышала допустимые значения в 4.4 раза, она составила 57.3 нг/г. Для фенантрена наблюдалось превышение в 2.8 раза (132.3 нг/г). Общее содержание ПАУ из списка приоритетных составило 377 нг/г в опытных образцах и 277 нг/г в контрольных (фоновых).
ОБСУЖДЕНИЕ
Полученные результаты по хроническому (опыт 2) воздействию сравнили с разовым 60-минутным (1 опыт). Снижение ферментативной активности в первом опыте выражено в меньшей степени, если сравнить его с хроническим 12-часовым воздействием. При этом продолжительность подачи дыма в газовую камеру с почвой была больше в эксперименте 1 (60 мин, в то время как суммарная продолжительность задымления в хроническом 12-часовом опыте составила 36 мин (3-минутная фумигация ежечасно)). Так, активность каталазы снизилась на 41%, а в первом опыте на 25%. Аналогичные результаты были получены по остальным ферментам. Таким образом, эффект от хронического воздействия на биохимические показатели выражен сильнее, чем при разовой 60-минутной фумигации. Данные этого модельного исследования приближены к реальным условиям, где дым может продолжительное время находиться в приземном слое, не смешиваясь с более плотным и холодным воздухом. Вследствие этого среда становится неподвижной, и со временем концентрация загрязнителей возрастает, образуя смог.
Третий эксперимент по периодическому влиянию дыма так же, как и второй опыт, может быть приближен к реальным условиям, поскольку в пожароопасных регионах мира высока частота повторения пожаров. Результаты этого эксперимента существенно отличаются от первого, эффект от фумигации выражен сильнее. В данном случае суммарное время задымления было таким же, как в первом опыте с разовым воздействием и составило 60 мин. Но обработка чернозема дымом была растянута на 42 сут (10 мин фумигации каждые 7 сут). Полученные результаты свидетельствуют о сильном эффекте такого вида воздействия. Это связано с особенностями ферментов, по-разному реагирующих на пирогенный фактор. Известно, что к большинству неблагоприятных факторов среды биологические системы способны адаптироваться, избегая или снижая негативный эффект [3, 7].
Наиболее восприимчивым ферментом во всех опытах оказалась каталаза. Она является самым чувствительным показателем, и реагирует даже при незначительных воздействиях различных стрессоров [4, 6–8]. Однако пероксидаза и полифенолоксидаза также оказались чувствительными и претерпели значительные изменения. Эти ферменты чувствительны к воздействиям разного типа, а их уровень активности может служить важным диагностическим критерием [6, 7, 64, 71].
Следует отметить, что исследования влияния фумигации на почвы и растения проводили и ранее [45, 57, 79, 80]. Однако в этих исследованиях описана только фумигация почвы или растений специализированными препаратами, такими как дазомет, бористый метил и др. Состав таких препаратов отличается от состава дыма. При этом использование подобных веществ исследователями привело к незначительному стимулированию ростков растений, а также биологической активности почвы. Ранее выявлены изменения ферментативной активности после сжигания палов соломы [44], а результаты исследования показали, что ферменты класса гидролаз более устойчивы к пирогенному воздействия, чем оксидоредуктазы. Установлено, что температурный фактор (горячий дым), а также зола, влияние пламени способствовали изменению этих показателей. Подобные результаты по разной степени чувствительности ферментов были зафиксированы и в настоящей работе. Значения инвертазы снизились в меньшей степени, чем каталазы, пероксидазы и полифенолоксидазы. Однако в настоящем исследовании температурный фактор был исключен, поскольку не было попадания на почву золы и влияния пламени. Таким образом, выявлено воздействие только дыма на активность почвенных ферментов без дополнительных факторов воздействия.
Ферменты являются продуктами метаболизма микроорганизмов. Ферментативная активность возникает в результате совокупности процессов поступления ферментов из живых организмов, их стабилизации и действия в почве [18]. Микроорганизмы крайне чувствительны к различным факторам воздействия. Не стала исключением и фумигация от сжигания сосновых опилок. Газообразные вещества дыма, вероятно, негативно повлияли на микроорганизмы и, как следствие, на изменение активности почвенных ферментов. В дыму были выявлены некоторые химические соединения. Например, оксид углерода CO, который относится к одним из приоритетных загрязнителей окружающей среды. Уровень СО составил 3570 мг/м3. Вероятно, повышенные концентрации токсиканта и замена части воздуха на него привели к снижению концентрации кислорода, который необходим многим микроорганизмам для жизнедеятельности. Оксид углерода присутствовал в больших концентрациях, что, вероятно, существенно изменило значение рН среды, где обитает микробиота, в результате некоторые микроорганизмы погибли.
Определены повышенные концентрации фенола С6Н6O и формальдегида CH2O. Как и в случае с CO, это вызвало угнетающее действие микрофлоры и как следствие снижение ферментативной активности. В проведенном исследовании зарегистрировано превышение максимальной разовой концентрации формальдегида в 190.6 раза, среднесуточной – в 953 раза и среднедневной – в 3176 раз. Превышение концентрации фенола (С6Н6O) было в 441 (максимально разовая), 735 (среднесуточная) и 1470 раз (среднегодовая). Это могло негативно сказаться на почвенной микробиоте. Представленные данные можно сопоставить с работой [17], где подробно описано угнетающее действие фенола и формальдегида в высоких дозах 100 и 1000 ПДК на состав и жизнеспособность почвенных микроорганизмов чернозема выщелоченного. Таким образом, можно сделать вывод, что CO, С6Н6O и CH2O внесли наибольший вклад в снижение ферментативной активности в представленном исследовании.
Снижение показателя рН и увеличение содержания легкорастворимых солей в почвенной суспензии произошло вследствие высоких концентраций газообразных химических соединений, которые хорошо в ней растворились. При растворении оксида углерода в суспензии образовалась угольная кислота Н2СO3, а при взаимодействии суспензии с С2Н4О – уксусная кислота. Вероятно, это привело к смещению pH в сторону подкисления. Стоит учесть, что в составе дыма был обнаружен диоксид серы с концентрацией 0.28 мг/м3. Это в 5.6 раза выше среднесуточного значения, но почти вдвое меньше максимально разового. Этого оказалось достаточно для получения слабой серной кислоты при растворении SO2 в почвенной суспензии.
Предположительно, снижение ферментативной активности может быть связано и с ПАУ. В ходе анализа установлено, что в опытных образцах почвы концентрации нафталина (57.3 нг/г, превышение в 4.4 раза) и фенантрена (132.3 нг/г, превышение в 2.8 раза) превысили канадские нормативы. Сумма всех исследованных в опытных пробах ПАУ из списка приоритетных составила 337 нг/г (табл. 3), а в контрольных образцах – 228.4 нг/г.
Таблица 3. Концентрации приоритетных полициклических ароматических углеводородов в почве в опытных и в контрольных (фоновых) образцах
Вещество | Концентрации ПАУ в опытных образцах, нг/г | Концентрации ПАУ в фоновых (контрольных) образцах, нг/г |
Нафталин | 57.3 | 8.2 |
Флуорен | 28.5 | 13.3 |
Фенантрен | 132.3 | 69.5 |
Антрацен | 14.5 | 8.1 |
Флуорантен | 37 | 32.4 |
Пирен | 43.2 | 39 |
Бенз(а)антрацен | 12.7 | 13 |
Бенз(b)флуорантен | 21.1 | 16.8 |
Бенз(k)флуорантен | 6.9 | 8.3 |
Бензо(а)пирен | 15.6 | 15.7 |
Дибенз(а,h)антрацен | 7.9 | 4.1 |
Сумма ПАУ | 377 | 228.4 |
Возможно, такие результаты связаны с материалом горения (сосновые опилки). Полученные данные по превышению фоновых значений нафталина и фенантрена согласуются с результатами других исследований [39, 56], в которых установили превышение содержания данных веществ при сжигании хвои сосны и других материалов растительного происхождения. В настоящем исследовании аналогично были зарегистрированы превышения фоновых (контрольных) значений этих веществ. Выделению данных полиреанов может способствовать и температура горения. Известно, что при горении в среднем диапазоне температур наиболее распространенными являются алкилированные производные нафталина. Производные фенантрена преобладают после относительно высоких температур [39]. Однако концентрация фенантрена в представленном исследовании в контрольных пробах составила 69.5 нг/г, что выше принятого в Канаде значения (46 нг/г). Это можно объяснить тем, что ПАУ способны переноситься в составе аэрозольных выбросов на десятки километров от различных источников и постепенно осаждаться на поверхность почвы. Кроме того, выбранная для текущего эксперимента почва (обыкновенный чернозем) находится в городской черте, что увеличивает вероятность обнаружения незначительных концентраций опасных веществ. Известно, что наиболее загрязненными являются городские почвы, а основными источниками загрязнения прилегающих территорий – выбросы тепловых станций, работающих на угле, а также сжигание биомассы. При анализе контрольных проб чернозема было обнаружено несущественное превышение содержания фенантрена. В целом, такая тенденция прослеживается во многих городах мира и подробно описана исследователями из разных стран [23, 52, 73]. При анализе фумигированных проб почвы значение заметно возросло от 69.5 (контроль) до 132.3 нг/г (превышение в 1.9 раза контрольного значения из места отбора проб и превышение в 2.9 раза принятых канадских стандартов). Более конденсированные ПАУ, включенные в списки приоритетных загрязнителей, были обнаружены лишь в незначительных количествах.
Превышение концентраций ПАУ в почвах оказывает непосредственное влияние на биологическую (ферментативную) активность почв. Оксидоредуктазы такие, как дегидрогеназы и каталазы, непосредственно способствуют деградации ПАУ путем разрыва бензольного кольца. Гидролазы (инвертаза) оказывают косвенное влияние на разложение органических загрязнителей, изменяя метаболическую активность деструкторов через ограничение питания или снабжение [67, 75]. Как наиболее представленные по количественному содержанию фенантрен и нафталин имеют выраженный эффект на метаболизм биологических систем, поскольку их уровень их содержания в пирогенно загрязненных почвах оказывает непосредственный эффект в работе ферментативных систем.
Каталаза является антиоксидантным ферментом – индикатором экотоксичности почвы [46, 76]. Микробные клетки обладают защитными механизмами, улучшающими их выживаемость в условиях окислительного стресса, такими как повышенная активность каталазы [20]. Метаболизм ПАУ приводит к образованию реактивных электрофильных метаболитов, которые являются фактическими канцерогенными соединениями, вызывающими повреждение ДНК [20]. Микробиологическая деструкция углеводородов в микроорганизмах способствует образованию H2O2 в качестве побочного продукта внутри клеток, что приводит к повреждению клеток. Каталаза – это фермент, метаболизирующий H2O2. Он защищает клетки от повреждений активными формами кислорода [60]. Уровень каталазной активности изменяется при топливном загрязнении почв [50, 76], загрязнением полиаренами [25, 68].
Одним из основных агентов разложения загрязнителей почвы, содержащих углеводороды, является дегидрогеназа. Этот фермент транспортирует электроны и водород через цепочку промежуточных переносчиков электронов к конечному акцептору электронов (кислороду), таким образом являясь катализатором разложения ПАУ [29, 60]. Данный показатель наиболее чувствителен в условиях загрязнения почв полиаренами [25], где активность фермента значительно снижается в присутствии поллютантов [21, 49, 60, 77].
Еще одним важным агентом биологической деструкции ПАУ является инвертаза. Несмотря на это, как и в случае с дегидрогеназами, полиарены ингибируют активность инвертаз [21, 53, 74, 78].
Имеются данные по результатам многолетнего мониторинга почв, подтверждающие изменения ферментативной активности почв под воздействием крупного промышленного предприятия – Новочеркасской ГРЭС, характер выбросов которой также является пирогенным. С повышением суммарного содержания ПАУ с 2012 по 2019 гг. наблюдалась тенденция к изменению каталазной активности и активности дегидрогеназ и инвертаз [16]. Расчет коэффициента корреляции Спирмена показал наличие слабой и средней взаимосвязи активности каталаз, дегидрогеназ и инвертаз в условиях увеличения содержания ПАУ в почвах за исследуемый период.
ЗАКЛЮЧЕНИЕ
В результате фумигации чернозема в модельных экспериментах выявлены различия в снижении ферментативной активности, которые обусловлены продолжительностью воздействия стрессора и химическим составом дыма. Газообразные вещества оказали заметный негативный эффект из-за высокой токсичности. В ходе эксперимента по моделированию периодического и хронического воздействия дыма на почву было выявлено гораздо большее снижение ферментативной активности, чем при разовой 60-минутной фумигации. Во всех экспериментах наибольшую восприимчивость к дыму продемонстрировала каталаза, значения которой снизились на 84% в эксперименте с хроническим воздействием и на 78% в эксперименте с периодической фумигацией чернозема.
Основными химическими соединениями, оказавшими воздействие на почву, являются оксид углерода, диоксид и оксид азота, диоксид серы, фенолы, ацетальдегид, формальдегид и гидроксибензол. Наблюдалось значительное превышение ПДК большинства исследуемых соединений. Также выявлено снижение pH почвенной суспензии и увеличение минерализации после фумигации, что связано с взаимодействием токсичных веществ дыма с суспензией.
Снижение ферментативной активности чернозема может быть связано и с ПАУ. Установлено превышение фоновых концентраций нафталина и фенантрена в почве. В целом увеличение концентраций полиреанов в исследовании, особенно увеличение фенантрена и нафталина связано с пирогенным происхождением этих веществ. Увеличение концентраций этих ПАУ связано с материалами (сосновые опилки) и температурой горения.
ФИНАНСИРОВАНИЕ РАБОТЫ
Исследование выполнено при финансовой поддержке Министерства науки и высшего образования РФ в рамках государственного задания в сфере научной деятельности № FENW-2023-0008 и при финансовой поддержке ведущей научной школы Российской Федерации (НШ-449.2022.5).
КОНФЛИКТ ИНТЕРЕСОВ
Авторы заявляют, что у них нет конфликта интересов.
About the authors
M. S. Nizhelskiy
Southern Federal University
Author for correspondence.
Email: nizhelskiy@sfedu.ru
ORCID iD: 0000-0002-1374-3941
Russian Federation, Rostov-on-Don
K. Sh. Kazeev
Southern Federal University
Email: nizhelskiy@sfedu.ru
Russian Federation, Rostov-on-Don
V. V. Vilkova
Southern Federal University
Email: nizhelskiy@sfedu.ru
Russian Federation, Rostov-on-Don
A. N. Fedorenko
Southern Federal University
Email: nizhelskiy@sfedu.ru
Russian Federation, Rostov-on-Don
S. N. Sushkova
Southern Federal University
Email: nizhelskiy@sfedu.ru
Russian Federation, Rostov-on-Don
S. I. Kolesnikov
Southern Federal University
Email: nizhelskiy@sfedu.ru
Russian Federation, Rostov-on-Don
References
- Асеева Р.М., Серков Б.Б., Сивенков А.Б. Горение и пожарная опасность древесины // Пожаровзрывобезопасность веществ и материалов. 2012. № 21. С. 19–32.
- Бердникова Л.Н. Влияние опасных и вредных факторов лесных пожаров на окружающую среду // Безопасность и экология транспортно-технологических средств. Красноярск, 2019. С. 47–55.
- Биоиндикация загрязнений наземных экосистем / Под ред. Шуберта Р. М.: Мир, 1988. 348 с.
- Бурлакова Л.М., Морковкин Г.Г., Ананьева Ю.С., Завалишин С.И., Каменский В.А. Влияние лесных пожаров на свойства подзолистых почв (на примере Ханты-Мансийского автономного округа) // Лесной вестник. 2002. № 2. С. 66–71.
- Вокина В.А., Новиков М.А., Алексеенко А.Н., Соседова Л.М., Капустина Е.А., Богомолова Е.С., Елфимова Т.А. Экспериментальная оценка влияния дыма лесных пожаров на репродуктивную функцию мелких млекопитающих и их потомство // Известия Иркутского гос. ун-та. Сер. Биология. Экология. 2019. Т. 29. С. 88–98. https://doi.org/10.26516/2073–3372.2019.29.88
- Даденко Е.В., Денисова Т.В, Казеев К.Ш., Колесников С.И. Оценка применимости показателей ферментативной активности в биодиагностике и мониторинге почв // Поволжский экологический журнал. 2013. № 4. С. 385–393.
- Казеев К.Ш., Колесников С.И., Акименко Ю.В., Даденко Е.В. Методы диагностики наземных экосистем. Ростов-на-Дону: Изд-во ЮФУ, 2016. 356 с.
- Новосёлова Е.И., Волкова О.О. Влияние тяжёлых металлов на активность каталазы разных типов почв // Известия Оренбургского гос. аграрного ун-та. 2017. № 2. С. 190–193.
- Борисенко С.Н., Сушкова С.Н. Пат. RU № 125490. Реактор для проведения реакций в среде субкритической воды. 2012. Бюл. № 6. C. 11.
- Волкотруб Л.П., Баушев А.В. Пат. RU № 2018110. Способ извлечения полициклических ароматических углеводородов из твердых проб. 1994. Бюл. № 17. C. 5.
- Колесников С.И., Сушкова С.Н., Минкина Т.М., Манджиева С.С. Пат. RU № 2485109. Способ извлечения 3,4-бенз(а)пирена из почв, донных отложений и осадков сточных вод. 2013. C. 13.
- Поволоцкая Ю.С. Общее представление о почвенных ферментах // Международный журнал гуманитарных и естественных наук. 2020. № 1. С. 21–23. https://doi.org/10.24411/2500-1000-2020-10005
- Приходько В.Д., Казеев К.Ш., Вилкова В.В., Нижельский М.С., Колесников С.И. Изменение активности ферментов в постпирогенных почвах (физический модельный эксперимент) // Почвоведение. 2023. № 1. С. 118–128. https://doi.org/10.31857/S0032180X22600743
- Семутникова Е.Г., Горчаков Г.И., Ситнов С.А., Копейкин В.М., Карпов А.В., Горчакова И.А., Пономарева Т.Я., Исаков А.А., Гущин Р.А., Доценко О.И., Курбатов Г.А., Кузнецов Г.А. Сибирская дымная мгла над европейской территорией России в июле 2016 г. Загрязнение атмосферы и радиационные эффекты // Оптика атмосферы и океана. 2017. Т. 31. № 11. С. 962–970. https://doi.org/10.15372/AOO20171109
- Синьков О.А., Почапский А.А. Влияние лесных пожаров на окружающую среду // Актуальные проблемы геотехники, экологии и защиты населения в чрезвычайных ситуациях. Минск: БНТУ, 2017. С. 101–103.
- Сушкова С.Н. Закономерности аккумуляции, миграции и биодеградации полициклических ароматических углеводородов в почвах природных и антропогенных экосистем. Дис. … докт. биол. наук. Ростов-на-Дону, 2022. 288 с.
- Фуфаева Т.В., Казакова Н.А. Оценка влияния различных доз формальдегида и фенола на микроорганизмы чернозема выщелоченного // Austrian J. Technical Natural Sci. 2014. № 5. С. 22–27.
- Хазиев Ф.Х. Системно-экологический анализ ферментативной активности почв. М.: Наука, 1982. 204 с.
- Чевердин Ю.И., Рябцев А.Н., Титова Т.В., Беспалов В.А., Чевердин А.Ю., Сапрыкин С.В. Научное обоснование и взаимосвязь агрофизических параметров с эффективным плодородием почвы // Состояние почв Центрального Черноземья России и проблемы воспроизводства их плодородия. Воронеж: Истоки, 2015. С. 56–61.
- Alkio M., Tabuchi T.M., Wang X., Colon-Carmona A. Stress responses to polycyclic aromatic hydrocarbons in Arabidopsis include growth inhibition and hypersensitive response–like symptoms // J. Experimental Botany. 2005. V. 56(421). P. 2983–2994. https://doi.org/10.1093/jxb/eri295
- Andreoni V., Gianfreda L. Bioremediation and monitoring of aromatic–polluted habitats // Appl. Microbiol Biotechnol. 2007. V. 76(2). P. 287–308. https://doi.org/10.1007/s00253-007-1018-5
- Artaxo P., Martins J.V., Yamasoe M.A., Procópio A.S., Pauliquevis T.M., Andreae M.O., Guyon P., Gatti L.V., Cordova A.M. Leal Physical and chemical properties of aerosols in the wet and dry seasons in Rondônia, Amazonia // J. Geophysical Res. 2002. V. 107. P. 8081. https://doi.org/10.1029/2001JD000666
- Bandowe B.A.M., Shukurov N., Leimer S., Kersten M., Steinberger Y., Wilcke W. Polycyclic aromatic hydrocarbons (PAHs) in soils of an industrial area in semi-arid Uzbekistan: spatial distribution, relationship with trace metals and risk assessment // Environ Geochem Health. 2021. V. 43. P. 4847–4861. https://doi.org/10.1007/s10653-021-00974-3
- Bondur V.G., Voronova O.S., Gordo K.A., Zima A.L. Satellite Monitoring of the Variability of Wildfire Areas and Emissions of Harmful Gas Components into the Atmosphere for Various Regions of Russia over a 20-Year Period // Doklady Earth Sci. 2021. V. 500(2). P. 890–894. https://doi.org/10.1134/S1028334X21100044
- Borowik A.J., Wyszkowska M., Wyszkowski. Resistance of aerobic microorganisms and soil enzyme response to soil contamination with Ekodiesel Ultra fuel // Environ. Sci. Pollut. Res. 2017. V. 24(31). P. 24346–24363. https://doi.org/10.1007/s11356-017-0076-1
- Burns R.G. Enzyme activity in soil: location and a possible role in microbial ecology // Soil Biol. Biochem. 1982. V. 14. P. 423–427. https://doi.org/10.1016/0038-0717(82)90099-2
- Cascio W.E. Wildland fire smoke and human health // Sci. Total Environ. 2018. V. 624. P. 586–595. https://doi.org/10.1016/j.scitotenv.2017.12.086
- Canadian Environmental Quality Guidelines Winnipeg: Canadian Council of Ministers of the Environment, 2020.
- Chen T., Liu X., Zhang X., Chen X., Tao K., Hu X. Effect of alkyl polyglucoside and nitrilotriacetic acid combined application on lead/pyrene bioavailability and dehydrogenase activity in co–contaminated soils // Chemosphere. 2016. V. 154. P. 515–520. https://doi.org/10.1016/j.chemosphere.2016.03.127
- Chuang M.T., Fu J.S., Lin N.H., Lee C.T., Gao Y., Wang S.H., Sheu G.R., et al. Simulating the transport and chemical evolution of biomass burning pollutants originating from Southeast Asia during 7-SEAS/2010 Dongsha experiment // Atmos. Environ. 2015. V. 112. P. 294–305. https://doi.org/10.1016/j.atmosenv.2015.04.055
- Collins L., Bradstock R.A., Clarke H., Clarke M.F., Nolan R.H., Penman T.D. The 2019/2020 mega-fires exposed Australian ecosystems to an unprecedented extent of high-severity fire // Environ. Res. Let. 2021. V. 16(4). P. 044029. https://doi.org/10.1088/1748-9326/abeb9e
- Cotrufo M.F, Soong J.L., Horton A.J., Campbell E.E., Haddix M.L., Wall D.H., Parton W.J. Formation of soil organic matter via biochemical and physical pathways of litter mass loss // Nature Geosci. 2015. V. 8. P. 776–779. https://doi.org/10.1038/NGEO2520
- de Oliveira-Junior J.F., Mendes D., Correia Filho W.L.F., da Silva Junior C.A., de Gois G., da Rosa Ferraz Jardim A.M., et al. Fire foci in South America: Impact and causes, fire hazard and future scenarios // J. South Am. Earth Sci. 2021. V. 112. https://doi.org/10.1016/j.jsames.2021.103623
- Doamba S.W.M.F., Savadogo P., Nacro H.B. Effects of burning on soil macrofauna in a savanna-woodland under different experimental fuel load treatments // Appl. Soil Ecol. 2014. Vol. 81. P. 37–44. https://doi.org/10.1016/j.apsoil.2014.04.005
- Dong X., Fu J.S. Understanding interannual variations of biomass burning from Peninsular Southeast Asia, part I: model evaluation and analysis of systematic bias // Atmos. Environ. 2015. V. 116. P. 293–307. https://doi.org/10.1016/J.ATMOSENV.2015.06.026
- Dong X., Fu J.S. Understanding interannual variations of biomass burning from Peninsular Southeast Asia, part II: variability and different influences in lower and higher atmosphere levels // Atmos. Environ. 2015. V. 115. P. 9–18.
- Fu J.S., Hsu N.C., Gao Y., Huang K., Li C., Lin N.H., Tsay S.C. Evaluating the influences of biomass burning during 2006 BASE-ASIA: a regional chemical transport modeling // Atmos. Chem. Physics. 2012. V. 12. P. 3837–3855. https://doi.org/10.5194/acp-12-3837-2012
- Fuzzi S., Decesari S., Facchini M.C., Cavalli F., Emblico L., Mircea M., Andreae M.O., Trebs I., et al. Overview of the inorganic and organic composition of size-segregated aerosol in Rondônia, Brazil, from the biomass-burning period to the onset of the wet season // J. Geophysical Res. 2007. V. 112. P. D01201. https://doi.org/10.1029/2005JD006741
- Gonzalez-Vila F., Lopez J., Martin F., del Rio J. Determination in soils of PAH produced by combustion of biomass under different conditions // Fresenius J. Anal. Chem. 1991. V. 339. P. 750–753. https://doi.org/10.1007/BF00321738
- Henne P.D., Hawbaker T.J. An aridity threshold model of fire sizes and annual area burned in extensively forested ecoregions of the western USA // Ecol. Model. 2023. V. 477. 110277. https://doi.org/10.1016/j.ecolmodel.2023.110277
- Hernández L. The Mediterranean Burns: WWF’s Mediterrenean Proposal for the Prevention of Rural Fires. WWF: Gland, Switzerland, 2019.
- Hua L., Shao G. The progress of operational forest fire monitoring with infrared remote sensing // J. Forest. Res. 2017. V. 28. P. 215–229. https://doi.org/10.1007/s11676-016-0361-8
- Huang K., Fu J.S., Hsu N.C., Gao Y., Dong X., Tsay S.C., Lam Y.F. Impact assessment of biomass burning on air quality in Southeast and East Asia during BASE-ASIA // Atmos. Environ. 2013. V. 78. P. 291–302. https://doi.org/10.1016/j.atmosenv.2012.03.048
- Kazeev K.Sh., Odabashian M.Yu., Trushkov A.V., Kolesnikov S.I. Assessment of the Influence of Pyrogenic Factors on the Biological Properties of Chernozems // Eur. Soil Sci. 2020. V. 53(11). P. 1610–1619. https://doi.org/10.1134/S106422932011006X
- Li J., Huang B., Wang Q., Li Y., Fang W., Yan D., Guo M., Cao A. Effect of fumigation with chloropicrin on soil bacterial communities and genes encoding key enzymes involved in nitrogen cycling // Environ. Pollut. 2017 P. 534–542. https://doi.org/10.1016/j.envpol.2017.03.076
- Li H., Huang W.X., Gao M.Y., Li X., Xiang L., Mo C.H., Li Y.W., Cai Q.Y., Wong M.H., Wu F.Y. AM fungi increase uptake of Cd and BDE–209 and activities of dismutase and catalase in amaranth (Amaranthus hypochondriacus L.) in two contaminants spiked soil // Ecotoxicol. Environ. Safety. 2020. V. 195. P. 110485. https://doi.org/10.1016/j.ecoenv.2020.110485
- Lin N.H., Tsay S.C., Maring H.B., Yen M.C., Sheu G.R., Wang S.H., Chi K.H., Chuang M.T., Ou-Yang C.F. et al. An overview of regional experiments on biomass burning aerosols and related pollutants in Southeast Asia: from BASE-ASIA and the Dongsha Experiment to 7-SEAS // Atmos. Environ. 2013. V. 78. P. 1–19.
- Lindenmayer D.B., Taylor C. New spatial analyses of Australian wildfires highlight the need for new fire, resource, and conservation policies // Proc. National Academy. Sci. USA. 2020. V. 117(22). P. 12481–12485. https://doi.org/10.1073/pnas.2002269117
- Lipińska A., Kucharski J., Wyszkowska J. The effect of polycyclic aromatic hydrocarbons on the structure of organotrophic bacteria and dehydrogenase activity in soil // Polyc. Aromatic. Compounds. 2014. V. 34(1). P. 35–53. https://doi.org/10.1080/10406638.2013.844175
- Liu R., Xiao N., Wei S., Zhao L., An J. Rhizosphere effects of PAH–contaminated soil phytoremediation using a special plant named Fire Phoenix // Sci. Total Environ. 2014. V. 473. P. 350–358. https://doi.org/10.1016/j.scitotenv.2013.12.027
- Liu Y., Goodrick S., Heilman W. Wildland fire emissions, carbon, and climate: Wild-fire-climate interactions // Forest Ecol. Manag. 2014. V. 317. P. 80–96. https://doi.org/10.1016/j.foreco.2013.02.020
- Liu Q.Y., Wu Y.H., Zhou Y.Z., Li X.Y., Yang S.H., Chen Y.X., Qu Y.J., Jin M. A novel method to analyze the spatial distribution and potential sources of pollutant combinations in the soil of Beijing urban parks // Environ. Pollut. 2021. V. 284. https://doi.org/10.1016/J.ENVPOL.2021.117191
- Mao Y., Zhang L., Wang Y., Yang L., Yin Y., Su X., Liu Y., Pang H., Xu J., Hu Y., Shen X. Effects of polycyclic aromatic hydrocarbons (PAHs) from different sources on soil enzymes and microorganisms of Malus prunifolia var. Ringo // Arch. Agro. Soil Sci. 2020. P. 1–15.
- Masyagina O.V. Carbon dioxide emissions and vegetation recovery in fire-affected forest ecosystems of Siberia: Recent local estimations // Cur. Opin. Environ. Sci. Health. 2021. V. 23. P. 100283. https://doi.org/10.1016/j.coesh.2021.100283
- Milton L.A., White A.R. The potential impact of bushfire smoke on brain health // Neurochem. Int. 2020. V. 139. P. 104796. https://doi.org/10.1016/j.neuint.2020.104796
- Nakajima D., Nagame S., Kuramochi H., Sugita K., Kageyama S., Shiozaki T., Takemura T., Shiraishi F., Goto S. Polycyclic aromatic hydrocarbon generation behavior in the process of carbonization of wood // Bull. Environ. Contam. Toxicol. 2007. V. 79. P. 221–225. https://doi.org/10.1007/S00128-007-9177-8
- Nicola L., Turco E.R., Albanese D., Donati C., Thalheimer M., Pindo M., Insam H., Cavalieri D., Pertot I. Fumigation with dazomet modifies soil microbiota in apple orchards affected by replant disease // Appl. Soil Ecol. 2017. V. 113. P. 71-79. https://doi.org/10.1016/J.APSOIL.2017.02.002
- Nizhelskiy M.S., Kazeev K.Sh., Vilkova V.V., Kolesnikov S.I. Inhibition of enzymatic activity of ordinary chernozem by gaseous products of plant matter combustion // Eur. Soil Sci. 2022. V. 55. № 6. P. 802–809. https://doi.org/ 10.1134/S1064229322060096
- Pimonsree S., Vongruang P., Sumitsawan S. Modified biomass burning emission in modeling system with fire radiative power: Simulation of particulate matter in Mainland Southeast Asia during smog episode // Atmos. Poll. Res. 2018. V. 9(1). P. 133–145. https://doi.org/10.1016/j.apr.2017.08.002
- Polyak Y.M., Bakina L.G., Chugunova M.V., Mayachkina N.V., Gerasimov A.O., Bure V.M. Effect of remediation strategies on biological activity of oil–contaminated soil–A field study // Int. Biodeteriorat. Biodegradation. 2018. V. 126. P. 57–68. https://doi.org/10.1016/j.ibiod.2017.10.004
- Radočaj D, Jurišić M, Gašparović M. A wildfire growth prediction and evaluation approach using Landsat and MODIS data // J. Environ. Manag. 2022. Vol. 304. 114351. https://doi.org/10.1016/j.jenvman.2021.114351
- Ren D., Fu R., Leslie L.M., Dickinson R.E. Modeling the mudslide aftermath of the 2007 Southern California Wildfires // Natural Hazards. 2011. V. 57(2). P. 327–343. https://doi.org/10.1007/s11069-010-9615-5
- Sharples J.J., Cary G.J., Fox-Hughes P., Mooney S., Evans J.P., Fletcher M.S., Fromm M., Grierson F., McRae R., Baker P. Natural hazards in Australia: extreme bushfire // Climatic Change. 2016. V. 139. P. 85–99. https://doi.org/10.1007/s10584-016-1811-1
- Sinsabaugh R.L. Phenol oxidase, peroxidase and organic matter dynamics of soil // Soil Biology and Biochemistry. 2010. V. 42. Р. 391–404. https://doi.org/10.1016/j.soilbio.2009.10.014
- Sjöströma J., Granström A. Human activity and demographics drive the fire regime in a highly developed European boreal region // Fire Saf. J. 2023. V. 136. P. 103743. https://doi.org/10.1016/j.firesaf.2023.103743
- Sosedova L.M., Vokina V.A., Novikov M.A., Andreeva E.S., Alekseenko A.N., Zhurba O.M., Rukavishnikov V.S., Kudaeva I.V. Reproductive function of male rats and motor activity of their offspring in fire emissions modeling // Bull. Experiment. Biol. Med. 2022. V. 172(4). P. 472–477. https://doi.org/10.1007/s10517-022-05416-3
- Štursová M., Baldrian P. Effects of soil properties and management on the activity of soil organic matter transforming enzymes and the quantification of soil–bound and free activity // Plant and soil. 2011. V. 338(1). P. 99–110. https://doi.org/10.1007/s11104-010-0296-3
- Sushkova S.N., Minkina T., Deryabkina (Turina) I., Mandzhieva S., Zamulina I., Bauer T., Vasilyeva G., Antonenko E., Rajput V. Influence of PAH contamination on soil ecological status // J. Soils Sediments. 2018. V. 18(6). P. 2368-2378. https://doi.org/10.1007/s11368-017-1755-8
- Swengel A.B. A literature review of insect responses to fire, compared to other conservation managements of open habitat // Biodiversity Conservation. 2001. V. 10. P. 1141–1169. https://doi.org/10.1023/A:1016683807033
- Tate R. Microbiology and Enzymology of Carbon and Nitrogen Cycling. 2002. https://doi.org/10.1201/9780203904039.ch8
- Toberman H., Evans C.D., Freeman C., Fenner N., White M., Emmett B.A., Artz R.R.E. Summer drought effects upon soil and litter extracellular phenol oxidase activity and soluble carbon release in an upland Calluna heathland // Soil Biol. Biochem. 2008. V. 40. P. 1519–1532. https://doi.org/10.1007/978-3-642-14225-3_3
- Utobo E.B., Tewari L. Soil enzymes as bioindicators of soil ecosystem status // Appl. Ecol. Environ. Res. 2015. V. 13(1). P. 147–168. https://doi.org/10.15666/аэр/1301_147169
- Wang X.T., Miao Y., Zhang Y., Li Y.C., Wu M.H., Yu G. Polycyclic aromatic hydrocarbons (PAHs) in urban soils of the megacity Shanghai: occurrence, source apportionment and potential human health risk // Sci. Total Environ. 2013. V. 447. P. 80–89. https://doi.org/10.1016/j.scitotenv.2012.12.086
- Wang C., Luo Y., Tan H., Liu H., Xu F., Xu H. Responsiveness change of biochemistry and micro–ecology in alkaline soil under PAHs contamination with or without heavy metal interaction // Environ. Pollut. 2020. V. 266. P. 115296. https://doi.org/10.1016/j.envpol.2020.115296
- Wei J. Zhang X., Liu X., Liang X., Chen X. Influence of root components of celery on pyrene bioaccessibility, soil enzymes and microbial communities in pyrene and pyrene–diesel spiked soils // Sci. Total Environ. 2017. V. 599. P. 50–57. https://doi.org/10.1016/j.scitotenv.2017.04.083
- Xu Y., Sun G.D., Jin J.H., Liu Y., Luo M., Zhong Z.P., Liu Z.P. Successful bioremediation of an aged and heavily contaminated soil using a microbial/plant combination strategy // J. Hazard. Materials. 2014. V. 264. P. 430–438. https://doi.org/10.1016/j.jhazmat.2013.10.071
- Zhang X., Liu X., Liu S., Liu F., Chen L., Xu G., Zhong C., Su P., Cao Z. Responses of Scirpus triqueter, soil enzymes and microbial community during phytoremediation of pyrene contaminated soil in simulated wetland // J. Hazard. Materials. 2011. V. 193. P. 45–51. https://doi.org/10.1016/j.jhazmat.2011.07.094
- Zhang S.Y., Wang Q.F., Xie S.G. Molecular characterization of phenanthrene–degrading methanogenic communities in leachate–contaminated aquifer sediment // Internat. J. Environ. Sci. Technol. 2012. V. 9(4). P. 705–712. https://doi.org/10.1007/s13762-012-0098-7
- Zhang D., Ji X., Meng Z., Qi W., Qiao K. Effects of fumigation with 1,3-dichloropropene on soil enzyme activities and microbial communities in continuous-cropping soil // Ecotoxicol. Environ. Safety. 2019. V. 169. P. 730–736. https://doi.org/10.1016/j.ecoenv.2018.11.071
- Zhu J., Cao A., Wu J., Fang W., Huang B., Yan D., Wang Q., Li Y. Effects of chloropicrin fumigation combined with biochar on soil bacterial and fungal communities and Fusarium oxysporum // Ecotoxicol. Environ. Safety. 2021. V. 220. https://doi.org/10.1016/j.ecoenv.2021.112414
Supplementary files





