Soil Formation on Loamy Deposits in Technogenic Landscapes of the Taiga Zone in the North-Eastern Part of European Russia
- Authors: Likhanova I.A.1, Kuznetsova E.G.1, Kholopov Y.V.1, Deneva S.V.1, Lapteva E.M.1
-
Affiliations:
- Institute of Biology, Komi Science Center, Ural Branch of the Russian Academy of Sciences
- Issue: No 3 (2024)
- Pages: 375-393
- Section: GENESIS AND GEOGRAPHY OF SOILS
- URL: https://bakhtiniada.ru/0032-180X/article/view/264064
- DOI: https://doi.org/10.31857/S0032180X24030017
- EDN: https://elibrary.ru/YIXZWK
- ID: 264064
Cite item
Full Text
Abstract
The paper highlights the influence of moisture on the soil formation process on loamy deposits during the primary vegetation succession. The study was carried out in the north-eastern part of European Russia (Komi Republic) in the middle taiga subzone. The authors analyzed young soils on the territory of a quarry for extraction of loamy grounds and background soils in the vicinity of it. Planting the Siberian spruce cultures on the territory of the quarry activated formation of the tree layer and thereby accelerated formation of the zonal type soils. The third succession decade in drained conditions saw formation of organic soil horizons (litters), a decrease in soil density in the upper profile part, a tendency to redistribute and differentiate the silty fraction by one-and-a-half oxides, indicating the beginning of selective podzolization. The rise in soil moisture content increased conservation of organic residues (peat formation) and made gley formation active. The quarry soils, like background soils, increased in acidity, carbon and nitrogen reserves along with the soil moisture content increase. In automorphic soil formation conditions, the rate of organic carbon accumulation in the upper 0–20-cm layer is 0.4 t· ha–1·year1; the excessive soil moisture content further increased it (1.0–1.2 t·ha–1·year1). The reserves of Corg in the upper 20-cm soil layer of young soils are by 2–4 times less than those in background soils.
Keywords
Full Text
ВВЕДЕНИЕ
В настоящее время все более расширяющееся техногенное воздействие на природные экосистемы обусловливает увеличение площади нарушенных земель. В связи с этим особую актуальность приобретают работы, направленные на выявление закономерностей восстановления почвенно-растительного покрова на нарушенных территориях в зависимости от биоклиматических условий региона или характера почвообразующих пород [5, 21]. Исследователями подчеркивается ключевая роль почвенно-растительного покрова в формировании пула углерода в наземных экосистемах, его влияние на качество окружающей среды за счет активизации процессов очищения воздуха и природных (почвенно-грунтовых, грунтовых, поверхностных) вод, благоприятного влияния на микроклимат и биоразнообразие ландшафтов [1, 21, 46]. Активизировать процессы формирования почв и растительности позволяют рекультивационные мероприятия [5, 21, 49, 52].
Удобным объектом для изучения регенерации современных экосистем являются карьеры, образовавшиеся после добычи полезных ископаемых открытым способом [1, 20]. Восстановительный процесс на них наиболее приближен к природному сценарию первичных сукцессий и позволяет выявлять закономерности формирования и развития наземных экосистем с учетом биоклиматических и экотопических условий. Изучение особенностей формирования почв в техногенных ландшафтах на почвообразующих породах различного гранулометрического состава дает возможность получить фактический материал о скорости и направленности первичного почвообразования в различных условиях.
В работах, посвященных начальному педогенезу, выявлены закономерности дифференциации почвенного профиля, динамика физических и химических свойств, влияние разнообразия гранулометрического и минералогического составов почвообразующего субстрата на скорость почвообразования и его направленность, взаимодействие и взаимовлияние биотических и абиотических компонентов и др. [1, 12, 13, 16, 21, 28, 31, 39, 40, 49, 50]. Установлено, что основные процессы, определяющие формирование профиля молодых почв, – это биогенная аккумуляция и трансформация органического вещества [4, 21]. Некоторые авторы считают, что интенсивность формирования почв в значительной степени определяется различиями в свойствах пород [33]. Влияние породы на скорость ее преобразования максимально на начальном этапе педогенеза, оно снижается с возрастом почвы по мере усиления процессов выветривания и почвообразования [7]. Химически процессы педогенеза проявляются значительно раньше, чем морфологически [21].
Одним из решающих факторов, обусловливающих интенсивность и направленность процессов почвообразования, является гидрологический режим почв [14]. Антропогенная деятельность может существенно изменять рельеф местности, в связи с чем формирование почв на посттехногенных территориях, как правило, протекает в разных условиях увлажнения, особенно при отсутствии планировки поверхности (при наличии перепада высот) [8, 44]. Анализ литературы [1, 21] показал, что до настоящего времени на нарушенных территориях исследовали процессы формирования почвенно-растительного покрова при их развитии в автоморфных условиях, влияние рельефа местности и условий увлажнения на первичное почвообразование изучено в меньшей мере. Исследования [49], проведенные на карьерах с обнаженными в ходе техногенеза древнеаллювиальными песками, показали наличие определенных различий в скорости накопления и трансформации почвенного органического вещества в формирующихся почвах в зависимости от особенностей их увлажнения. Это обусловило необходимость продолжения аналогичных работ на других типах субстратов.
Цель работы – исследование особенностей почвообразования в ходе первичной сукцессии растительности на суглинистых отложениях в подзоне средней тайги на европейском северо-востоке России.
ОБЪЕКТЫ И МЕТОДЫ
Район исследований расположен на полого- увалистой равнине (160–190 над ур. м.), сложенной триасовыми породами, перекрытыми моренными валунными суглинками с плащом надморенных пылеватых суглинков, являющихся почвообразующими породами [6]. Согласно почвенно-географическому районированию [32], участок исследований относится к Луза-Сысольскому округу подзолистых и болотно-подзолистых почв подзоны средней тайги. Для рассматриваемой территории характерны мелкоконтурные сочетания почв с разной степенью увлажнения, что связано с недостаточной дренированностью территории, преобладанием осадков над испаряемостью и особенностями рельефа. По ботанико-географическому районированию [30], территория приурочена к полосе среднетаежных лесов Кольско-Печорской подпровинции Североевропейской таежной провинции Евроазиатской таежной (хвойнолесной) области. Под зеленомошными лесами развиты подзолистые пылевато-суглинистые почвы. В ряду увеличения поверхностного увлажнения они сменяются торфянисто-подзолисто-глееватыми почвами, формирующимися под пологом ельников долгомошных, затем – торфяно-подзолисто-глеевыми почвами под березово-еловыми сфагновыми лесами. Центральные части плоскоравнинных водоразделов, депрессии рельефа заняты массивами сфагновых болот с торфяными олиготрофными почвами [6].
Климат района исследования умеренно-континентальный, характеризуется длительной холодной зимой с устойчивым снежным покровом и коротким прохладным летом. Средняя температура июля +16.7°С, января – –15.2°С, среднегодовая температура +0.4°С; сумма температур выше +10°С составляет 1450°C при продолжительности периода активной вегетации 100 дней. За год осадков выпадает 560 мм [23].
Объектом исследования послужил карьер “Новый аэропорт” (61°35’49” N, 50°30’37” E площадью 28 га) (рис. 1). Его территория приурочена к третьей надпойменной террасе р. Сысола с абсолютными отметками поверхности 166−180 м над ур. м. Карьер разрабатывали с 1984 по 1994 гг. для добычи суглинка. Выработка грунта привела к снижению абсолютных отметок в карьере до 144−162 м над ур. м. В 2000 г. на территории площадью 10.1 га проведены лесорекультивационные работы, включающие посадку двулетних сеянцев ели сибирской (густота 5 тыс. шт./га). Внесение органических и минеральных удобрений не проводили. Планировка поверхности днища карьера выполнена некачественно, что обусловило неоднородность рельефа и наличие различных экотопов (сухих, свежих и влажных) в его границах. Для проведения исследований на карьере заложены 10 участков, отличающихся по структуре и строению растительного покрова, а также специфике и особенностям увлажнения формирующихся почв (от автоморфных до гидроморфных). Ключевыми послужили три участка, выбранные для каждого биотопа: Т4 – сосново-еловый лес разнотравно-моховой на пелоземе гумусовом (155 м над ур. м.) (хорошо дренированные условия почвообразования); Т5 – сосново-еловый щучковый лес на пелоземе гумусовом потечно-гумусовом (153 м над ур. м.) (нарастание поверхностного переувлажнения); Т6 – осоковник на глееземе торфянистом иловато-перегнойном (151 м над ур. м.) (застойное поверхностное переувлажнение) (табл. 1).
Рис. 1. Карты-схемы территории расположения карьера “Новый аэропорт” (a) и окрестностей (b) с обозначением ключевых участков. Сплошные горизонтали проведены через 2 м. (Карты-схемы составлены с использованием программ QGIS, Google Earth Pro, SAS. Планета; источник – картографическая база данных ArcticDEM https://www.pgc.umn.edu/data/arcticdem/). – местоположение ключевых участков с опорными разрезами.
Таблица 1. Характеристика объектов исследования на ключевых участках
Участок, абсолютная высота над ур. м., м | Растительное сообщество | Название почвы по классификации почв России | Название почвы по WRB | Горизонт, глубина, см | Окраска горизонтов по шкале Манселла* |
Территория карьера | |||||
Т4, 154–156 | Молодой сосново- еловый лес моховой | Пелозем гумусовый грубогумусированный элювиированный глееватый остаточно-карбонатный | Сalcaric Stagnic Regosol | Wао(0–0.5)–C=hi(0.5–1)–C=el(1–4)– C=g,са(4–8(12))–C=са(12–40)–C=ca,g(40–60)–C=са,g(60–77)–C=са,g(77–110) | 10YR3/4–10YR5/4–10YR5/4–10YR5/4–10YR 5/4–10YR5/4–10YR5/6–10YR5/6–10YR5/8 |
Т5, 152–154 | Молодой сосново- еловый лес щучковый | Пелозем гумусовый грубогумусированный потечно-гумусовый элювиированный глееватый | Stagnic Regosol | W1ао(0–3)–W2ao(3–4)–С=g,hi(4–5)–С=el,g(5–10)–C1=g(10–15)– C2=g(15–46)–C3=g(46–64)– C4=g(64–90) | 10YR3/3–10YR4/2–10YR4/3–10YR5/6–10YR5/6–10YR5/6–10YR5/6–10YR6/3 |
Т6, 150–152 | Осоковник | Глеезем торфянистый иловато-перегнойный потечно-гумусовый | Histic Gleysols Dystric | Тmr (0–10)–С=g,hi(10–11)– С1=g(11–20)–С2=g (20–40)– СG(40–60) | 10YR3/4–10YR5/3–10YR5/4–10YR5/6–10YR6/3 |
Фоновая территория | |||||
ФТ1, 174–176 | Ельник чернично- зеленомошный | Подзолистая грубогумусированная глееватая потечно-гумусовая | Albic Folic Retisol | Оao(0–8)–ЕLg,hi(8–20)– ЕLBg(20–42(51))–ВТ1(42(51)−60(62))–ВТ2(60(62)–90)–ВС(90–125) | 10YR3/4–7,5YR6/3–10YR6/4–7,5YR5/4–10YR5/6–10YR5/8 |
ФТ2, 168–170 | Ельник осоково- сфагновый | Торфяно-подзолисто-глеевая потечно-гумусовая | Albic Haplic Retisol | Т1(0–5)–Т2(5–15(16))–Т3(15(16)–20(21))–ЕLhi(20(21)–25)–ЕLg,hi(25−28(30))–ЕLg,hi(28(30)−44)– ВЕLg(44–60)– ВТ1g(60–72)–ВТ2g(72−92))–ВСg(92–125) | 10YR3/3–10YR5/3–10YR5/3–10YR4/6–10YR8/2–10YR7/3–10YR6/4–10YR5/8–10YR5/8–10YR5/6 |
ФТ3, 164 | Сосняк сфагновый | Торфяная олиготрофная перегнойно-торфяная | Dystric Fibric Histosol | ТO1(0–10)–ТO2(10–30)– Th(30–45)–Th(45–65)–Ghi(65–80) | 7.5YR5/3–7.5YR4/4–7.5YR4/4–7.5YR3/4–7.5YR7/2 |
Примечание. Цвет по оптической системе Манселла приведен для воздушно-сухих образцов.
Фоновой послужила территория вблизи карьера (рис. 1), на которой было заложено 9 участков. Ключевыми выбраны три: ФТ1 – ельник чернично-зеленомошный на подзолистой почве (175 м над ур. м.) (автоморфные условия); ФТ2 – ельник осоково-сфагновый на торфяно-подзолисто-глеевой (169 м над ур. м.) (полугидроморфные); ФТ3 – сосняк сфагновый на торфяной олиготрофной (164 м над ур. м.) (гидроморфные) (табл. 1).
В 2022 г. на выбранных участках сделаны геоботанические описания [3], заложены опорные разрезы. Проведено морфологическое описание почвенных профилей по горизонтам (при слабой развитости профиля – послойно), отобраны образцы почв для физико-химических исследований, определена плотность почв в ненарушенном сложении (повторность трехкратная). На ключевых участках с мая по ноябрь 2022 г. определяли полевую влажность весовым методом (послойно через каждые 10 см, повторность трехкратная) и измеряли температуру почв портативным почвенным термометром HI 98509 Checktemp1 HANNA.
Физико-химические исследования выполняли в отделе почвоведения и сертифицированной Экоаналитической лаборатории Института биологии Коми НЦ УрО РАН. рН водной (рНН2О) и солевой (рНКСl) суспензий определяли потенциометрически (ГОСТ 26423-851 и ГОСТ 26483-852 соответственно); гранулометрический состав – по Качинскому [8]; плотность твердой фазы почв – пикнометрическим методом, влажность завядания (ВЗ) и наименьшую влагоемкость (НВ) – традиционными методами, полную влагоемкость (ПВ) – расчетным способом [8]. Содержание оксалаторастворимых соединений железа (Feox) и алюминия (Alox) оценивали методом Тамма, дитиониторастворимых (Fedith) – по Мера–Джексону [36]. Для характеристики степени гидроморфизма почв использовали критерий Швертманна – соотношение содержания в почвах оксалато- и дитиониторастворимых соединений железа (Feox : Fedith) [10]. Содержание общего азота (N) оценивали методом газовой хроматографии на элементном CHNS-O анализаторе ЕА 1100 (CarloErba, Италия), органического углерода (Сорг) – по Тюрину с фотометрическим окончанием. Рассчитывали запасы элементов (Q) в отдельных горизонтах (слоях) почв и в сумме для слоев 0–20, 0–50, 0–100 см (включая органогенный горизонт) [34].
Элементный состав определяли приближённо-количественным методом на рентгенофлуоресцентном спектрометре XRF-1800 (Shimadzu, Япония) в ЦКП “Геонаука” при Институте геологии ФИЦ Коми НЦ УрО РАН.
Для диагностики и идентификации почв использовали принципы классификации почв России [27]. В табл. 1 приведена корреляция наименований почв с классификацией почв WRB [45].
РЕЗУЛЬТАТЫ и ОБСУЖДЕНИЕ
Характеристика растительного покрова. Фоновые участки (табл. 2). Растительный покров фоновых участков типичен для исследованной территории. В ельнике чернично-зеленомошном (ФТ1) древостой формирует Picea obovata. Доминантами травяно-кустарничкового яруса являются обычные для таежной зоны лесные кустарнички (Vaccinium myrtillus, V. vitis-idaea), мохового – зеленые мхи (Pleurozium schreberi, Hylocomium splendens, Dicranum sp.). Повышенную влажность почв ельника сфагнового (ФТ2) индицируют гигрофитная осока Carex globularis и мхи (Sphagnum angustifolium, S. russowii). С повышением увлажнения Picea obovata сменяется Pinus sylvestris (ФТ3). Доминанты сосняка пушициево-сфагнового – Eriophorum vaginatum, Sphagnum fallax, Sphagnum angustifolium.
Таблица 2. Характеристики фитоценозов карьера и фоновых участков
Участок, № | Характеристика древостоя | Проективное покрытие яруса,% | |||||
состав | сомкнутость крон | густота, тыс. шт./га | высота, м | диаметр, см | ТК | МЛ | |
Фоновые участки в окрестностях карьера | |||||||
ФТ1 | 8Е1Б1П | 0.6 | 1.3 | 20 | 21 | 40 | 80 |
ФТ2 | 8Е2Б | 0.4 | 1.2 | 13 | 15 | 40 | 90 |
ФТ3 | 7C2Б1Е | 0.3 | 1.1 | 12 | 14 | 30 | 100 |
Участки на территории карьера | |||||||
Т4 | 6Е3С1Б+Ос | 0.4 | 3.8/2.3* | 4.1/3.8 | 4.3/3.9 | 20 | 80 |
Т5 | 7Е2С1Ос+Б | 0.6 | 4.3/3.4 | 7.0/6.6 | 5.8/5.5 | 50 | 50 |
Т6 | – | – | – | – | – | 80 | 20 |
Примечание. ТК – травяно-кустарничковый, МЛ – мохово-лишайниковый; *− через черту показатель для культур ели.
Карьер. Древостой сообществ карьера на участках Т4 и Т5 состоит из культур Picea obovata, активно внедряется Pinus sylvestris. В условиях застойного переувлажнения (Т6) древостой отсутствует. Для фитоценоза участка Т4 характерно низкое обилие сорных, луговых и опушечных трав при их достаточно высоком видовом разнообразии. Пестрый напочвенный покров слагают многочисленные виды мхов, среди них луговые (Brachythecium campestre, Sanionia uncinata), пионерные (Ceratodon purpureus, Pohlia nutans, Bryum sp.) и лесные (Hylocomium splendens, Pleurozium schreberi, Rhytidiadelphus triquetrus). Характерны латки лишайников. На участке Т5 обилие трав повышается, среди них преобладают влаголюбивые Deschampsia cespitosa, Equisetum sylvaticum, Carex leporina, Calamagrostis purpurea. За счет развития травостоя и древесного яруса покрытие мхов незначительное, начинают преобладать более теневыносливые и влаголюбивые виды (Sciuro-hypnum curtum, Cirriphyllum piliferum, Hylocomium splendens, Pleurozium schreberi, Ptilium crista-castrensis, Calliergonella lindbergii и др.). На участке Т6 доминируют осоки (Carex acuta, C. rostrata) и гигрофитные виды мхов (Warnstorfia fluitans, Calliergon giganteum, C. cordifolium, Drepanocladus aduncus, Вryum pseudotriquetrum).
Морфологическое строение почв. Фоновые участки. В подзолистой грубогумусированной глееватой потечно-гумусовой почве ельника чернично-зеленомошного (ФТ1), испытывающей периодическое поверхностное переувлажнение, мощность органогенного горизонта Оао 4–8 см, элювиальный горизонт ЕLg,hi неоднородной мраморовидной окраски с чередованием белесых пятен с бледно-сизыми и желтовато-бурыми, в верхней части имеются гумусовые затеки. Палево-коричневый субэлювиальный горизонт BЕLg постепенно переходит в текстурный горизонт ВT, по граням структурных отдельностей темно-бурые примазки, глинистые кутаны, местами кутаны перекрываются светлыми песчано-пылеватыми скелетанами.
В торфяно-подзолисто-глеевой потечно-гумусовой почве ельника чернично-осоково-сфагнового (ФТ2) мощность органогенного оторфованного горизонта (Т) достигает 20 см. Горизонт хорошо дифференцирован на подгоризонты, различающиеся степенью разложения растительного материала. Элювиальный оглеенный горизонт ЕLg,hi неоднородной окраски: серовато-коричневые, пропитанные потечным гумусом пятна чередуются с белесыми и сизо-серыми, а также ржаво-бурыми языками. В нижней части горизонта встречаются конкреции и темно-бурые примазки. Постепенно элювиальный оглеенный горизонт переходит в бурый текстурный ВТg с ржавыми и сизыми пятнами, примазками, конкреционными новообразованиями.
В торфяной олиготрофной перегнойно-торфяной почве сосняка пушициево-сфагнового (ФТ3) мощность торфа 65 см. Слаборазложившийся светло-бурый слой постепенно сменяется средне-, а затем сильноразложившимся темно-бурым торфом, подстилаемым мажущейся черно-коричневой перегнойной массой. Под слоями торфа залегает сизо-серый суглинок (горизонт Ghi).
Карьер. В сосново-еловом разнотравно-моховом сообществе (Т4) на поверхности формируется маломощный бурый (0.2–1 см) подгоризонт Wao, сформированный слаборазложившимися растительными остатками. Под ним тонкая (до 0.5 см) темно-серая, пропитанная гумусом прослойка переходит в слабоосветленный подгоризонт C═el, в нижней части с охристыми пятнами и конкрециями. Минеральная часть (до глубины 4 см) имеет четко выраженную белесоватость, которая, по-видимому, свидетельствует о протекании начальных процессов элювиирования. Ниже расположен подгоризонт C═g,са, который подстилается слабо преобразованной минеральной толщей с признаками оглеения и включениями обломков известняков и доломитов, о чем свидетельствует вскипание при обработке 10%-ным раствором НCl, интенсивность которого с глубиной увеличивается. Иллювиальные процессы на этой стадии развития почвенного профиля морфологически не выражены.
В условиях средней тайги формирование карликового профиля с оторфованной подстилкой/гумусово-аккумулятивным горизонтом и маломощным прерывистым горизонтом EL (в виде отдельных пятен) с элементами тонкоплитчатой структуры, постепенно переходящим в бурую легкосуглинистую толщу, наблюдали к пятому десятилетию почвообразовательного процесса [37]. Процесс морфологической дифференциации профиля почв в условиях таежной зоны в течение нескольких десятилетий описан и другими авторами [2], как и формирование в почвах техногенных ландшафтов конкреционных новообразований [35].
На участке Т5 под сосново-еловым разнотравно-щучковым сообществом накопление хвои, остатков травянистых растений и мхов способствует формированию рыхлой подстилки Wао бурых тонов. Подстилка имеет мощность около 4 см, она представлена грубогумусовым материалом, состоящим из механической смеси различных по степени разложения органических остатков с включением минеральных частиц. Под подстилкой выделяется маломощный (1 см) черно-бурый из-за пропитки гумусом подгоризонт С═hi, переходящий в сизо-белесый подгоризонт С═el,g c ржаво-охристыми пятнами и черными примазками. Ниже расположен подгоризонт С1═g со слабыми признаками иллювиирования ила и соединений алюминия и железа. Для подгоризонта характерны черные примазки, рыжевато-бурые пятна. Глубже залегает слабо измененный субстрат С═g с признаками периодического переувлажнения (черные примазки, сизые и рыжевато-охристые пятна). С глубиной степень оглеения увеличивается. Вскипания при обработке 10% НCl не отмечено. Таким образом, при возрастании поверхностного переувлажнения активное поступление органического вещества за счет хорошо развитого древостоя и напочвенного покрова определяет сложное сочетание процессов подзоло- и глееобразования в профиле почвы.
На участке Т6, для которого характерно застойное переувлажнение, в верхней части профиля формируется оторфованный иловато-перегнойный (Тmr) горизонт мощностью до 10–14 см. Ниже расположен пропитанный потечным гумусом горизонт С═g,hi, переходящий в бурый С═g с сизыми и ржавыми пятнами, подстилаемый насыщенным водой глеевым сизым горизонтом СG. В таких условиях ведущим процессом почвообразования становится торфонакопление. Анализ литературы [9, 24] показал, что скорость торфонакопления может достигать 1–3 мм/год. Сизые тона окраски минеральной толщи исследователи отмечают в переувлажненных почвах антропогенно трансформированных ландшафтов [44].
Температура и влажность почв. Вегетационный период 2022 г. был более теплым и засушливым по сравнению со средними многолетними данными. Средняя температура июля была выше средних многолетних на 1°C, августа – на 4°C. Температура остальных месяцев близка к норме. Существенно меньше осадков отмечено в июле (около 50% от значения средней многолетней). Остальные месяцы вегетационного периода характеризовались количеством осадков, близким к норме.
Наблюдения за динамикой влажности, проведенные в 2022 г., показали, что почвы, формирующиеся на территории карьера, существенно различаются по условиям влагообеспеченности (рис. 2). Для почвы участка Т4 характерно наименьшее насыщение влагой – практически в течение всего вегетационного периода влагообеспеченность была на уровне ВЗ-НВ. Только весной и осенью влажность верхнего 0–10 см слоя повышалась до уровня НВ на короткий период времени.
Рис. 2. Сумма осадков и динамика влажности почв карьера и фоновых почв. I, II, III – декады месяца, 1 – ВЗ–НВ, 2 – НВ, 3 – НВ–ПВ, 4 – >ПВ.
Примечание: цифры на прямоугольных рисунках означают полевую влажность (мас. %).
На участке Т5 отмечено максимальное влагонасыщение на уровне ПВ в первой половине вегетационного периода, что связано с приуроченностью этого участка к пониженным элементам рельефа и дополнительным переувлажнением за счет поступления влаги с повышенных элементов рельефа и верховодки. Во второй половине вегетационного периода наблюдается снижение влажности до диапазона влаги ВЗ–НВ. Последнее может быть обусловлено как недобором влаги в июле, так и активным ее потреблением растительностью при повышенных температурах воздуха. На участке Т6 практически во все сроки наблюдения все слои почвы (до глубины 40 см) находились на уровне ПВ, за исключением середины лета, когда до глубины 20 см влагонасыщенность снижалась до уровня НВ–ПВ (рис. 2).
Гидрологический режим фоновых почв в целом характерен для сухих и теплых вегетационных периодов таежной зоны европейского Северо-Востока [19]. В автоморфной почве ФТ1 влагонасыщенность на уровне НВ-ПВ отмечена в первой половине вегетационного периода, во второй половине лета она снижалась до уровня ВЗ–НВ. Второй пик влагонасыщения до уровня НВ наблюдали в конце вегетации. В полугидроморфной почве ФТ2 отмечено полное насыщение влагой (ПВ) в течение более длительного периода времени (май-июнь, первая и вторая декады августа), а в гидроморфной почве ФТ3 – практически в течение всего вегетационного периода.
В ряду возрастания поверхностного переувлажнения как в почвах карьеров, так и в фоновых почвах выявлено увеличение средних значений полевой влажности за вегетационный период (табл. 3). Минимальные значения полевой влажности и вариабельности этого параметра характерны для почв, формирующихся в относительно дренированных условиях (участки Т4 и ФТ1). Максимальная вариабельность полевой влажности отмечена в почвах, занимающих промежуточное положение по уровню поверхностного переувлажнения, – Т5 и ФТ2.
Таблица 3. Средние значения полевой влажности (мас.%) вегетационного периода 2022 г. (май–сентябрь) и коэффициенты вариации (%) в профилях фоновых почв и почв карьера (n = 9)
Глубина, см | Фоновые участки | Участки на территории карьера | ||||
ФТ1 | ФТ2 | ФТ3 | Т4 | Т5 | Т6 | |
Подстилка/ Торфяный слой | 198.5 ± 74.1 37.3 | 559.9 ± 171.3 30.3 | 1362.9 ± 424.0 31.1 | 117 ± 131 112.0 | 178.9 ± 87.7 49.0 | 500.4 ± 138.1 27.6 |
Подподстилочный/ подторфяный горизонт | 30 ± 16 16.0 | 78 ± 42 54.7 | – | 18.7 ± 3.4 18.3 | 24.0 ± 7.1 38.0 | 35.2 ± 6.1 17.3 |
10–20 | 21.2 ± 4.0 19.0 | – | 1542.9 ± 448.2 29.1 | 16.8 ± 2.4 14.1 | 21.5 ± 6.4 29.8 | 32.1 ± 4.9 15.3 |
20–30 | 19.1 ± 2.9 20.4 | 23.7 ± 7.5 21.8 | 1391.9 ± 396.0 28.5 | 17.0 ± 1.0 5.6 | 23.8 ± 9.3 39.0 | * |
30–40 | 19.4 ± 3.0 18.4 | 20.9 ± 5.4 12.6 | 1118.5 ± 295.7 26.4 | 17.3 ± 1.0 6.0 | 23.8 ± 7.4 31.2 | * |
* Обводненный горизонт большую часть вегетационного периода.
Примечание. В числителе – среднее арифметическое ± среднеквадратичное отклонение, в знаменателе – коэффициент вариации.
Почвы карьера характеризуются более контрастным гидротермическим режимом, что обусловлено особенностями почвенно-растительного покрова на начальных этапах развития. В вегетационный период почвы карьеров теплее по сравнению с фоновыми почвами (табл. 4). Средние за вегетационный период температуры полугидроморфных почв как молодых, так и фоновых ниже, чем автоморфных, что связано с наличием более мощного подстилочно-торфяного горизонта, а также медленным их прогреванием из-за увеличения влажности и тем самым теплоемкости почв [11, 26]. В гидроморфных почвах из-за высокого стояния воды температуру не измеряли.
Таблица 4. Средние температуры (°С) за вегетационный период 2022 г. (май–сентябрь) и их коэффициенты вариации (%) в профилях фоновых почв и почв карьера
Глубина, см | Фоновые участки | Участки на территории карьера | ||
ФТ1 | ФТ2 | Т4 | Т5 | |
На поверхности почвы | 17.6 ± 8.3 47.2 | 16.5 ± 7.7 46.5 | 20.4 ± 9.0 43.9 | 17.6 ± 7.6 43.5 |
1 | 14.9 ± 6.0 40.2 | 13.9 ± 5.9 42.4 | 15.8 ± 5.4 34.3 | 13.9 ± 5.3 38.0 |
5 | 12.3 ± 3.4 28.0 | 11.3 ± 3.9 34.5 | 14.6 ± 4.9 33.7 | 11.9 ± 3.5 29.5 |
15 | 10.1 ± 2.1 20.4 | 9.7 ± 2.1 21.8 | 12.9 ± 3.8 29.2 | 10.9 ± 2.4 22.3 |
25 | 9.9 ± 1.8 18.4 | 8.9 ± 1.4 15.5 | 12.5 ± 3.4 27.0 | 10.8 ± 2.1 19.9 |
35 | 9.7 ± 1.7 17.9 | 8.6 ± 1.3 15.4 | 12.3 ± 3.1 25.3 | 10.4 ± 2.1 19.7 |
Примечание. В числителе – среднее арифметическое ± среднеквадратичное отклонение, в знаменателе – коэффициент вариации.
Для минеральной толщи почв карьеров, по сравнению с фоновыми, характерен более контрастный температурный режим, о чем свидетельствует увеличение значений коэффициентов вариации. Особенно это выражено в почвах дренированных позиций. Сглаживанию температурного режима фоновых участков способствуют как развитый древостой, создающий особый микроклимат, так и особенности строения почв, характеризующиеся более мощным подстилочно-торфяным горизонтом, предохраняющим почвы от резких перепадов температуры.
Гранулометрический состав почв. Почвы фоновых участков (ФТ1 и ФТ2) сформированы на отложениях тяжело- и среднесуглинистого гранулометрического состава, участка ФТ3 – легкосуглинистого (табл. 5). Все фоновые почвы характеризуются преобладанием фракций крупной пыли, ила и мелкого песка. Для почв участков ФТ1 и ФТ2 характерно облегчение верхней минеральной части профиля. Распределение илистых частиц в обеих почвах носит четко выраженный элювиально-иллювиальный характер.
Таблица 5. Гранулометрический состав почв
Горизонт, глубина, см | Гигроскопическая влага, % | Потери от обработки НCl, % | Содержание фракций, %; размер частиц, мм | |||||
1−0.25 | 0.25− 0.05 | 0.05− 0.01 | 0.01− 0.005 | 0.005− 0.001 | <0.001 | |||
Фоновые почвы | ||||||||
Подзолистая грубогумусированная глееватая потечно-гумусовая (ФТ1) | ||||||||
ЕLg,hi 8−20 | 1.24 | 1.61 | 5.73 | 17.8 | 53.4 | 6.85 | 4.41 | 11.9 |
ЕLBg 20−42(51) | 0.98 | 1.21 | 3.86 | 21.7 | 50.3 | 4.88 | 8.3 | 11.0 |
ВТ1 42(51)−60(62) | 2.43 | 1.44 | 1.32 | 10.6 | 47.1 | 5.45 | 10.9 | 24.7 |
ВТ2 60(62)−90 | 3.99 | 1.57 | 2.33 | 9.6 | 42.7 | 4.53 | 4.53 | 36.3 |
Торфяно-подзолисто-глеевая потечно-гумусовая (ФТ2) | ||||||||
ЕLg,hi 25−28(30) | 1.09 | 0.65 | 9.7 | 26.6 | 44.0 | 4.40 | 5.38 | 9.9 |
ЕLg,hi 28(30)−44 | 1.27 | 0.96 | 7.3 | 22.7 | 46.0 | 5.39 | 9.3 | 9.3 |
BЕLg 44−60 | 2.46 | 1.01 | 2.4 | 12.9 | 51.5 | 8.4 | 4.95 | 19.8 |
ВТ1g 60−72 | 3.07 | 0.90 | 4.7 | 22.6 | 38.9 | 2.99 | 5.48 | 25.3 |
ВТ2g 72−92 | 2.79 | 1.02 | 11.9 | 29.9 | 31.3 | 1.49 | 1.99 | 23.4 |
ВСg 92−125 | 3.59 | 1.54 | 12.9 | 26.0 | 18.5 | 5.51 | 7.01 | 30.1 |
Торфяная олиготрофная перегнойно-торфяная (ФТ3) | ||||||||
Ghi 65−80 | 1.34 | 1.06 | 5.69 | 18.8 | 47.0 | 5.39 | 7.35 | 15.8 |
Почвы карьеров | ||||||||
Пелозем гумусовый грубогумусированный элювиированный глееватый остаточно-карбонатный (Т4) | ||||||||
C=el 1−4 | 2.87 | 2.03 | 12.3 | 23.0 | 23.4 | 6.5 | 5.5 | 29.4 |
C=са 12−40 | 3.02 | 1.94 | 13.8 | 27.0 | 15.4 | 5.0 | 8.0 | 30.8 |
C1=ca,g 40−60 | 2.80 | 7.65 | 11.2 | 27.5 | 17.4 | 4.0 | 8.5 | 31.5 |
C3=ca,g 77−110 | 2.81 | 8.09 | 11.1 | 27.7 | 14.4 | 3.5 | 9.5 | 33.9 |
Пелозем гумусовый потечно-гумусовый грубогумусированный элювиированный глееватый (Т5) | ||||||||
С=el,g 5−10 | 2.22 | 1.53 | 9.5 | 20.2 | 34.1 | 4.9 | 5.9 | 25.3 |
C1=g 10−15 | 2.51 | 1.41 | 10.9 | 25.8 | 27.8 | 3.0 | 5.5 | 27.2 |
C2=g 15−46 | 2.29 | 1.34 | 8.6 | 21.8 | 36.6 | 5.0 | 7.4 | 20.6 |
C3=g 46−64 | 2.47 | 1.46 | 8.2 | 20.0 | 39.6 | 4.0 | 6.4 | 21.8 |
C4=g 64−90 | 2.48 | 1.32 | 8.8 | 20.5 | 37.2 | 5.0 | 5.0 | 23.6 |
Глеезем торфянистый иловато-перегнойный потечно-гумусовый (Т6) | ||||||||
С=g,hi 10−11 | 3.27 | 1.43 | 11.2 | 23.9 | 29.5 | 4.49 | 7.5 | 23.4 |
С1=g 11−20 | 3.15 | 1.61 | 9.6 | 24.4 | 29.4 | 4.99 | 6.0 | 25.6 |
С2=g 20−30 | 3.37 | 1.77 | 11.2 | 24.5 | 26.0 | 6.00 | 7.0 | 25.3 |
С2=g 30−40 | 3.06 | 1.39 | 13.0 | 31.7 | 23.4 | 1.49 | 8.5 | 21.8 |
Почвообразование на территории карьера предположительно идет на отложениях моренного происхождения, гранулометрический состав которых неоднороден в пространстве – от среднесуглинистых до тяжелосуглинистых. Возможно, при подготовке территории к рекультивации в процессе её планировки на некоторых участках могло произойти погребение моренных суглинков покровными и/или их перемешивание. В почвах карьера, как и в фоновых почвах, преобладают фракции мелкого песка, крупной пыли и ила, однако в них снижена доля крупной пыли, что особенно заметно в почве участка Т4. На территории Республики Коми содержание пылеватой фракции (диаметр частиц 0.05−0.01 мм) в покровных суглинках колеблется в пределах 40−53%, в моренных суглинках оно уменьшается до 13−31% [14].
В почвах карьеров непосредственно под гумусово-слаборазвитыми и органогенными горизонтами отмечено некоторое уменьшение содержания илистых частиц по сравнению с нижележащим слоем. В почвах участков Т4 и Т5 это связано, по-видимому, с начальными этапами подзолообразования и разрушения минералов в процессе глеевой мобилизации соединений железа. Неравномерность распределения ила в почве участка Т5 может быть обусловлена неоднородностью почвообразующих пород.
Выявленная нами дифференциация по гранулометрическому составу профиля почв на участках Т4 и Т5 отмечалась в ходе первых десятилетий почвообразовательных процессов в техногенных ландшафтах и другими исследователями [21, 37, 38]. По мнению [18], вынос илистой фракции из верхней его части (элювиирование) в сочетании с вмыванием ее в нижней (иллювиирование) обусловлены суспензионным переносом. Автор [21] утверждает, что в процессе почвообразования элювиально-иллювиальная дифференциация почвенного профиля по гранулометрическому составу происходит уже на ранних стадиях почвообразования. Причем глубина залегания элювиального горизонта связана с интенсивностью промывного водного режима. Многочисленные данные свидетельствуют о возможности за сравнительно короткий срок (несколько десятилетий) зафиксировать возникновение почв с текстурной дифференциацией профиля в результате таких почвообразовательных процессов, как кислотный гидролиз минералов и лессиваж [37, 40]. Начальные стадии подзолообразования наблюдали под еловыми и смешанными насаждениями. В слаборазвитых почвах под широколиственными породами и многолетними травами обеднение верхнего слоя тонкодисперсным материалом исследователи объясняют процессами лессиважа [40].
В регионах с гумидным климатом роль гидроморфизма в почвенной дифференциации ила неоднозначна. По данным [37], по мере увеличения поверхностного гидроморфизма коэффициент дифференциации ила (отношение содержания ила в горизонте BT к его содержанию в горизонте EL) может как уменьшаться, так и возрастать или же не изменяться. Возможно, это вызвано особенностями внутрипочвенного бокового стока, образующего сложную сеть потоков, зависящих от микрорельефа, а также “рельефа” временных водоупорных горизонтов. Расположение конкретного профиля в системе этих потоков может способствовать как усилению, так и ослаблению глинистой дифференциации [37].
По мнению [55], в условиях застойного режима формируются почвы с недифференцированным профилем, застойно-промывного (на кислых, нейтральных и выщелоченных породах) – с дифференцированным профилем и светлыми кислыми элювиальными горизонтами. При застойном водном режиме изменения физико-химических свойств почв выражены слабо или не проявляются вообще.
Кислотность, содержание оксида кальция. Валовое содержание CaO в минеральных горизонтах фоновых почв не превышает 1.4% (рис. 3). Почвы имеют кислую реакцию среды (рис. 4). Максимальная кислотность отмечена в элювиальном горизонте, что характерно для почв таежной зоны Республики Коми [6].
Рис. 3. Профильное распределение валового содержания CaO (%) в минеральной части почв фоновых участков (a) и почв карьера (b).
Рис. 4. Профильное распределение pHH2O (a) и pHKCl (b) в почвах фоновых участков и карьера.
На карьере в почве участка Т4 присутствуют обломки карбонатсодержащих пород. В верхней минеральной части включения имеют рыхлую консистенцию, в нижней – они твердые, прочные, до 3 см в диаметре. По данным валового анализа, содержание CaO возрастает с глубиной от 1−2 до 6.9%, что может свидетельствовать о выщелачивании карбонатов в верхней части профиля. В почвах участков Т5 и Т6 вскипания от обработки кислотой не отмечено, валовое содержание CaO в них находится на уровне 1.1−1.4%.
Почвы карьера, по сравнению с фоновыми почвами, менее кислые, на участках Т4 и Т5 четко выражено подкисление подподстилочных подгоризонтов, имеющих признаки элювиирования (С═el). Нижняя часть профиля почвы Т4 имеет нейтральную реакцию водной вытяжки за счет наличия карбонатов. В почвах участков Т5 и Т6 весь профиль характеризуется кислой реакцией.
Известно, что при восстановлении хвойных лесов в ходе первичной сукцессии происходит достаточно быстрое подкисление верхней части минеральной толщи почв [1, 21]. В ряде работ отмечена высокая скорость выщелачивания карбонатсодержащих минералов из поверхностных горизонтов молодых и слаборазвитых почв [47, 48, 54]. Глубина выщелачивания СаСО3 линейно возрастает с увеличением возраста почвы, этот процесс активизируется при увеличении количества осадков. В гидроморфных и полугидроморфных почвах карьеров, как правило, карбонатсодержащие минералы не встречаются, тогда как в автоморфных их фиксируют, начиная с глубины 20−40 см. Последнее может быть обусловлено как различиями в минералогическом составе почвообразующих пород, так и более активным выщелачиванием карбонатов в условиях повышенного уровня влажности почв.
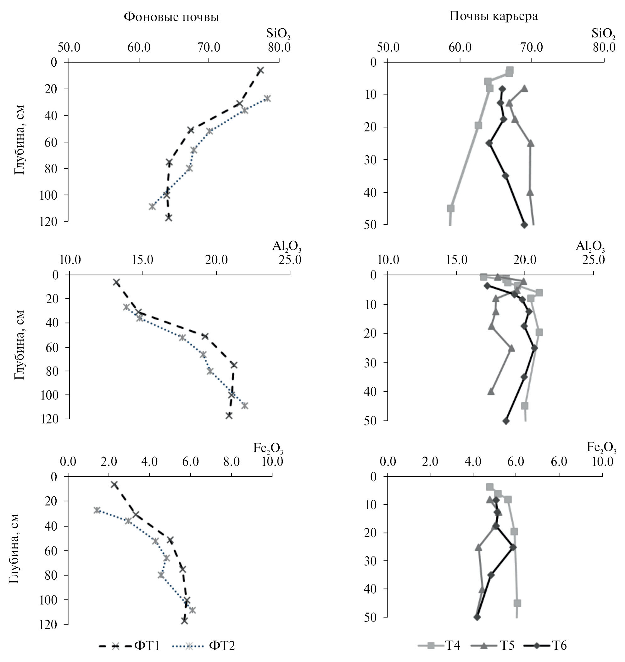
Профильное распределение соединений Al, Fe и Si. В почвах фоновых участков выражен элювиально-иллювиальный характер распределения валовых форм соединений Fe и Al (рис. 5). В новообразующихся почвах участков Т4 и Т5 в подгоризонтах с признаками элювиирования отмечено некоторое уменьшение валового содержания соединений Fe и Al на фоне увеличения Si (рис. 5) по сравнению с нижележащей толщей профиля. Это может свидетельствовать как о начале процессов подзолообразования, так и глеевой мобилизации соединений железа, обусловленной периодическим поверхностным переувлажнением почв. По данным [41], уменьшение валового содержания Al и Fe в подподстилочном горизонте молодых почв наблюдается уже спустя 20 лет восстановительного процесса. Снижение Al, Fe в подподстилочном горизонте и некоторая тенденция к их аккумуляции ниже по профилю могут быть связаны и с развитием процессов оглеения в результате периодического переувлажнения и контрастного окислительно-восстановительного режима. В периоды развития переувлажнения и восстановительных условий осуществляется мобилизация почвенного железа, а при иссушении почвы и окислительных условиях – осаждение и сегрегация [15]. Данная картина менее выражена в почве участка Т6.
Рис. 5. Профильное распределение валового содержания SiO2, Al2O3 и Fe2O3 (%) в минеральной части почв фоновых участков и карьера.
Аналогичная тенденция отмечена и для профильного распределения содержания оксалаторастворимых форм Fe и Al, а также дитиониторастворимых форм Fe (рис. 6). В почвах участков Т5 и Т6, по сравнению с Т4, диагностируется более высокое содержание оксалаторастворимых соединений Fe и Al. Значения индекса Швертманна изменяются в ряду почв от 0.1–0.4 (Т4) до 0.4–0.7 (Т5) и 0.3–0.8 (Т6), что индицирует процессы глееобразования в полугидроморфных и гидроморфных почвах карьера, по сравнению с почвой, формирующейся в относительно дренированных условиях. Появление зон восстановления соединений железа связано как с периодическим/постоянным переувлажнением почв, так и с миграцией в профиле последовательно аккумулирующегося в ходе развития растительного сообщества почвенного органического вещества [10, 15]. Гумус оторфованных почв, представленных в более влажных условиях, характеризуется высокой степенью гидролизуемости, меньшей прочностью связи с минеральной частью почв, повышенным содержанием в составе гумусовых веществ агрессивной фракции ФК1а [17], что способствует разрушению железо- и алюминийсодержащих минералов и интенсивной мобилизации Fe и Al, которые диагностируются увеличением содержания оксалаторастворимых соединений Fe и Al. Нарастание переувлажнения в ряду почв Т4 → Т5 → Т6 затрудняет протекание подзолистого процесса, замедляет элювиальный вынос биогенных элементов, продуктов разрушения минералов, илистых частиц и подвижных альфегумусовых соединений.
Рис. 6. Профильное распределение содержания оксалаторастворимых форм алюминия (Alox, %) и железа (Feox, %), дитиониторастворимых форм железа (Fedith, %) в минеральной части почв карьера.
Запасы органического углерода и азота. По мере развития растительного покрова на карьере происходит формирование органогенных горизонтов, но мощность их существенно ниже, чем в почвах фоновой территории (табл. 6). По мере включения органического вещества в минеральную почвообразующую толщу, увеличения ее пористости за счет развития корней растений происходит снижение плотности верхней части профиля [42]. Так, в грубогумусированных подгоризонтах подстилок плотность составляет около 0.14–0.26 г/см3. В пропитанных гумусом минеральных подгоризонтах – 0.56–0.90 г/см3, в подгоризонтах с признаками элювиирования – 1.00–1.42 при плотности исходной породы около 1.66–1.70 г/см3. С нарастанием переувлажнения почв мощность гумусовых и органогенных горизонтов возрастает от 0.8 до 14 см. В почвах карьера содержание Сорг и N в подгоризонте Wао приближается к таковым в органогенных горизонтах фоновых почв, но еще не достигает их значений. Вниз по профилю как в молодых, так и зрелых почвах отмечено закономерное снижение содержания Сорг и N с уменьшением величины С/N.
Таблица 6. Средние (Х ± σ) значения мощности горизонтов/подгоризонтов, плотности, содержания углерода и азота и отношение С/N в профиле фоновых почв и почв карьеров
Горизонт | Мощость, см | Плотность, г/см3 | Cорг, % | N, % | С/N | Горизонт | Мощость, см | Плотность, г/см3 | Cорг, % | N, % | С/N |
Фоновый ельник зеленомошный, подзолистая грубогумусированная глееватая потечно-гумусовая (ФТ1) (n = 3) | Молодой ельник моховый, пелозем гумусовый грубогумусированный элювиированный глееватый остаточно-карбонатный (Т4) (n = 4) | ||||||||||
Оао | 6.0 ± 1.7 | 0.09 ± 0.02 | 33.4 ± 1.7 | 1.545 ± 0.007 | 21.6 | Wao | 0.8 ± 0.3 | 0.26 ± 0.05 | 27.1 ± 1.8 | 1.08 ± 0.22 | 25.2 |
ЕLg | 24.0 ± 10.4 | 1.40 ± 0.14 | 0.6 ± 0.3 | 0.058 | 10.5 | C=hi | 0.5 ± 0.0 | 0.56 ± 0.16 | 6.6 ± 1.1 | 0.39 ± 0.14 | 16.9 |
ЕLBg | 14 ± 11 | 1.60 ± 0.07 | 0.23 ± 0.07 | 0.028 | 8.2 | C=el | 0.8 ± 0.4 | 1.00 ± 0.10 | 2.2 ± 0.5 | 0.170 ± 0.014 | 13.0 |
ВТ1 | 16.3 ± 3.2 | 1.62 ± 0.06 | 0.20 ± 0.07 | 0.047 | 4.3 | C=са | 3.9 ± 1.3 | 1.46 ± 0.02 | 0.70 ± 0.12 | 0.059 ± 0.013 | 11.9 |
ВТ2 | 26.3 ± 5.5 | 1.60 ± 0.08 | 0.14 ± 0.03 | 0.031 | 4.5 | C1=ca,g | 4.7 ± 3.1 | 1.68 ± 0.07 | 0.19 ± 0.07 | 0.030 ± 0.006 | 6.3 |
ВС | 42 ± 10 | 1.63 ± 0.06 | 0.15 ± 0.02 | 0.034 | 4.4 | C3=ca,g | 42 ± 5 | 1.70 ± 0.09 | 0.10 ± 0.01 | 0.024 ± 0.003 | 4.3 |
Фоновый ельник сфагновый, торфяно-подзолисто-глеевая потечно-гумусовая (ФТ2) (n = 3) | Молодой ельник щучковый, пелозем гумусовый грубогумусированный элювиированный глееватый потечно-гумусовый (Т5) (n = 3) | ||||||||||
Т1/Т2 | 12.0 ± 4.4 | 0.10 ± 0.01 | 38.2 ± 3.7 | 1.28 ± 0.38 | 29.8 | Wao | 4.3 ± 0.4 | 0.14 ± 0.01 | 21.8 ± 1.8 | 1.02 ± 0.04 | 21.3 |
Т2/Т3 | 8.7 ± 8.1 | 0.18 ± 0.03 | 34.1 ± 4.7 | 1.040 ± 0.014 | 32.8 | С=g,hi | 1.5 ± 0.7 | 0.90 ± 0.42 | 4.7 ± 4.6 | 0.299 ± 0.26 | 16.3 |
ELg,hi | 8.0 ± 1.7 | 1.01 ± 0.03 | 5.0 ± 4.8 | 0.18 ± 0.05 | 28.6 | С=el,g | 4.3 ± 1.1 | 1.42 ± 0.23 | 0.56 ± 0.02 | 0.052 ± 0.004 | 10.7 |
ЕLg,hi | 21.0 ± 5.7 | 1.72 ± 0.13 | 0.61 ± 0.27 | 0.028 | 19.7 | C2=g | 5.0 ± 0.0 | 1.62 ± 0.05 | 0.36 ± 0.01 | 0.044 ± 0.006 | 8.1 |
BЕLg | 19.3 ± 3.1 | 1.62 ± 0.02 | 0.33 ± 0.24 | 0.028 | 11.8 | C3=g | 29 ± 5 | 1.66 ± 0.01 | 0.67 ± 0.16 | 0.059 ± 0.010 | 11.4 |
ВТg | 28.3 ± 3.5 | 1.64 ± 0.04 | 0.25 ± 0.16 | 0.022 | 11.4 | C4=g | 44 | 1.66 | 0.63 | 0.06 | 10.65 |
Фоновый сосняк сфагновый, торфяная олиготрофная перегнойно-торфяная (ФТ3) (n = 3) | Осоковник, глеезем торфянистый иловато-перегнойный потечно-гумусовый (Т6) (n = 3) | ||||||||||
ТO1 | 14.7 ± 4.6 | 0.06 ± 0.01 | 43.5 ± 2.3 | 1.06 ± 0.13 | 41.2 | Tmr | 9.0 ± 1.4 | 0.16 ± 0.02 | 18.2 ± 4.5 | 0.88 ± 0.14 | 20.7 |
ТО2 | 28.0 ± 12.0 | 0.09 ± 0.02 | 44.5 ± 4.8 | 1.7 ± 0.4 | 25.8 | С=g,hi | 1.3 ± 1.1 | 1.59 ± 0.01 | 0.64 ± 0.02 | 0.057 ± 0.011 | 11.2 |
Th | 23.0 ± 3.5 | 0.15 ± 0.03 | 46.6 ± 1.4 | 2.1 ± 0.5 | 22.4 | С1=g | 9.3 ± 0.4 | 1.66 ± 0.16 | 0.36 ± 0.18 | 0.042 ± 0.008 | 8.6 |
Ghi | 13.0 ± 2.8 | 1.32 ± 0.11 | 3.4 ± 1.7 | 0.8 ± 0.9 | 4.3 | С2=g | 10.0 ± 0.0 | 1.66 ± 0.06 | 0.38 ± 0.04 | 0.039 ± 0.002 | 9.9 |
G | 38.5 ± 4.9 | 1.70 ± 0.03 | 0.4 ± 0.1 | 0.031 ± 0.008 | 12.9 | С2=g | 15.0 ± 7.1 | 1.63 ± 0.03 | 0.50 ± 0.26 | 0.044 ± 0.012 | 11.4 |
Примечание. Х – среднее арифметическое значение содержания элемента; под чертой: ±σ – стандартное отклонение; n – объем выборки.
В рассмотренных рядах почв отмечено увеличение запасов Сорг (табл. 7). Под ельниками зеленомошными запасы минимальны, они экспоненциально возрастают и достигают максимальных значений в заболоченных почвах. Отсутствие закономерности экспоненциального роста запасов Сорг в слое 0−20 см фоновых почв связано с уменьшением плотности верхней части гидроморфных почв по сравнению с подстилочным горизонтом полугидроморфных почв. Тест Крускал–Уоллис показал достоверность (H = 7.2000, p = 0.0273) различий между группами фоновых почв с разным уровнем увлажнения.
Таблица 7. Средние запасы (Х ± σ) органического углерода, т/га
Растительное сообщество, почва | Запасы в слое, т/га | |||
органогенный/ органо-минеральный горизонты почв | 0–20 см | 0–50 см | 0–100 см | |
Фоновые участки | ||||
Ельник зеленомошный, подзолистая почва (n = 3) | 17.4±2.0 | 24.2±6.0 | 40.6±4.6 | 53.1±3.6 |
Ельник сфагновый, торфяно- подзолисто-глеевая почва (n = 3) | 89.2±14.3 | 83.9±2.0 | 139.5±28.9 | 154.0±42.2 |
Сосняк сфагновый, торфяная олиготрофная почвы (n = 3) | 313.1±83.7 | 56.7±3.9 | 218.1±29.3 | 368.4±63.9 |
Уравнение регрессии | y = 15.132e0.0023x | − | y = 42.887e0.0013x | y = 47.65e0.0016x |
R² | 0.9178 | − | 0.7873 | 0.9275 |
Участки на территории карьера | ||||
Исходное содержание в почвообразующей породе | − | 6.6 | 16.5 | − |
Молодой ельник моховой, пелозем гумусовый (n = 4) | 4.5±1.0 | 13.4±1.0 | 18.3±0.7 | − |
Молодой ельник щучковый, пелозем гумусовый потечно- гумусовый (n = 3) | 11.2±3.3 | 27.1±1.0 | 63.6±9.1 | − |
Осоковник, торфяно-глеезем (n = 3) | 26.0±7.7 | 33.0±2.6 | 60.5±5.3 | − |
Уравнение регрессии | y = 3.8527e0.0039x | y = 13.895e0.0018x | − | − |
R² | 0.8515 | 0.5947 | − | − |
Примечание. R² – величина достоверности аппроксимации; прочерк – не определяли.
х – средние значения полевой влажности (мас. %) подстилки/торфяного слоя в вегетационный период, y – средние значения запасов органического углерода.
В профилях почв, формирующихся на карьере, запасы органического углерода в слоях 0–20 и 0–50 см, как правило, в 2−3 раза меньше по сравнению с фоновыми почвами. Различия между группами почв карьера с разным уровнем увлажнения (под разными растительными сообществами) также достоверны (H = 6.0000, p = 0.0498). В условиях повышенной влажности на участках Т5 и Т6 запасы углерода в минеральной толще выше, чем в почвах наиболее дренированного участка Т4. Выявлена положительная корреляция между средними значениями полевой влажности и запасами органического углерода в верхнем 0–20-сантиметровом слое почвы (r = 0.91).
В слое 0–20 см начальные запасы Сорг в почвообразующей породе карьера составляют 6.6 т/га, в слое 0–50 см – 16.5 т/га (исходное содержание Сорг в породе – 0.2%, плотность – 1.65 г/см3). Скорость накопления Сорг в слое 0–20 см минимальна в почве Т4 под молодым ельником разнотравно-моховым – 0.36 т/га в год. На участках Т5 и Т6 скорость депонирования Сорг значительно увеличивается: в почве под молодым ельником щучковым этот показатель составляет 0.96 т/га в год, в почве осоковника – 1.22 т/га в год.
Почвы фоновых участков по запасам углерода соответствуют почвам еловых лесов, данные о которых представлены в ряде работ [22, 25, 29]. Запасы углерода в молодых почвах близки к данным, полученным для почв техногенных ландшафтов, формирующихся в условиях таежной зоны России [21], но они существенно ниже по сравнению с более южными регионами [53].
Скорость накопления Сорг в ходе посттехногенной сукцессии зависит как от структуры и строения растительного сообщества, как основного источника поступления органического вещества, так и от характеристик субстрата. Минимальная скорость накопления углерода, отмеченная для почвы карьера Т4, обусловлена меньшим количеством растительных остатков, поступающих на поверхность почвы. Максимальное значение скорости накопления углерода, отмеченное для почвы Т6 под осоковником, связано в большей мере с консервацией органического вещества в условиях недостаточного поступления кислорода. Ранее при проведении исследований на карьерах, расположенных на боровых террасах [49], зафиксировано, что на древнеаллювиальных песчаных отложениях в условиях дефицита влаги данный параметр составлял 0.07–0.19 т/га в год для слоя 0−20 см, переувлажнение почв способствовало его возрастанию до 0.53−0.60 т/га в год. Таким образом, при первичном почвообразовании на породах различного гранулометрического состава (суглинки, пески) отмечено возрастание скорости накопления углерода в ряду увеличения влажности почв, но скорость депонирования углерода существенно выше на суглинках (примерно в 2 раза) как для дренированных условий, так и для условий переувлажнения почв. Более быстрые темпы накопления органического углерода в почвах, формирующихся на суглинистых породах, по сравнению с песчаными, связаны не только с лучшим развитием растительного покрова, но и с высоким содержанием в минеральной части профиля глинистых частиц, стабилизирующих почвенный углерод [43].
Полученные материалы о скорости аккумуляции Сорг в почвах, формирующихся в условиях отсутствия застоя влаги, согласуются с данными, полученными для других таежных регионов России. Скорость секвестрации Сорг в первые десятилетия формирования почв в автоморфных условиях среднетаежной подзоны Урала составляет для слоя 0−20 см 0.12−0.19 т/га в год, в южно-таежной подзоне – 0.3−0.7 т/га в год [21]. По данным [52], скорость накопления органического углерода в почвах посттехногенных ландшафтов может варьировать от 0.4 до 5.7 т/га в год в зависимости от природно-климатических условий региона, характера нарушенной территории, типа искусственных сообществ, формируемых при рекультивации, методов подготовки и улучшения техногенного субстрата и т.д. Максимальные значения показателя (более 4 т/га в год) были выявлены при благоприятных климатических условиях и интенсивных приемах рекультивации, включающих помимо посадки древесных и кустарниковых культур внесение удобрений и посев смеси злаков и бобовых растений [51, 53].
ЗАКЛЮЧЕНИЕ
Установлено, что в биоклиматических условиях таежной зоны (Республика Коми) процессы первичного почвообразования на суглинистых отложениях детерминированы особенностями состава формирующихся растительных сообществ и условиями увлажнения (степенью гидроморфизма) почв. На моренных карбонатных отложениях в условиях отсутствия застоя влаги в третьем десятилетии восстановительного процесса формируется маломощный профиль пелоземов гумусовых с гумусово-слаборазвитым горизонтом (Wao), в верхней части подстилающей минеральной толщи появляются слабовыраженные признаки элювиирования (C═el). В почвах наблюдается выщелачивание карбонатов примерно до глубины 40 см. В условиях застойного увлажнения в профиле почвы формируется маломощный минерально-торфяный горизонт (Tmr) на фоне профильного оглеения минеральной толщи. Ведущими профилеобразующими процессами почв, формирующихся на суглинистых почвообразующих породах в дренированных условиях техногенных ландшафтов, являются подстилкообразование и элювиирование, в условиях повышенной влажности почв – подстилкообразование, элювиирование и оглеение, избыточной влажности – торфообразование и оглеение.
О процессах элювиирования и иллювиирования свидетельствуют морфологические признаки (наличие белесоватости в верхней части минеральной толщи), перераспределение соединений кремния, железа и алюминия, а также илистых частиц. Процессы оглеения подтверждаются проявлением сизоватых и охристых тонов, присутствием конкреционных новообразований в почвенном профиле и увеличением коэффициента Швертманна в почвах переувлажненных биотопов.
В ряду увеличения влажности почв, формирующихся как на территории карьера, так и на фоновых участках, увеличиваются запасы почвенного органического углерода. На территории карьера в почвах дренированных позиций скорость аккумуляции органического углерода составляет 0.36 т/га в год, в условиях переувлажнения этот показатель возрастает до 0.96−1.22 т/га в год за счет консервации растительного материала в виде торфа.
Процессы первичного почвообразования на суглинистых породах в таежной зоне идут в соответствии с климатическими условиями региона. Основные характеристики молодых почв стремятся к свойствам почв фоновых участков, но за период исследований (22 года) не достигают их.
Результаты исследований могут быть использованы при создании теоретической базы восстановления почв в процессе регенерации посттехногенных экосистем с учетом различных условий педогенеза.
ФИНАНСИРОВАНИЕ РАБОТЫ
Работа выполнена в рамках темы НИР отдела почвоведения на 2022−2024 гг. “Криогенез как фактор формирования и эволюции почв арктических и бореальных экосистем европейского Северо-Востока в условиях современных антропогенных воздействий, глобальных и региональных климатических трендов”, регистрационный номер: 122040600023-8.
КОНФЛИКТ ИНТЕРЕСОВ
Авторы заявляют, что у них нет конфликта интересов.
1 ГОСТ 26423-85 Почвы. Методы определения удельной электрической проводимости, рН и плотного остатка водной вытяжки. М.: Стандартинформ, 2011. 6 с.
2 ГОСТ 26483-85 Почвы. Приготовление солевой вытяжки и определение ее рН по методу ЦИНАО. М.: Стандартинформ, 2011. 6 с.
About the authors
I. A. Likhanova
Institute of Biology, Komi Science Center, Ural Branch of the Russian Academy of Sciences
Author for correspondence.
Email: likhanova@ib.komisc.ru
Russian Federation, Syktyvkar
E. G. Kuznetsova
Institute of Biology, Komi Science Center, Ural Branch of the Russian Academy of Sciences
Email: likhanova@ib.komisc.ru
Russian Federation, Syktyvkar
Yu. V. Kholopov
Institute of Biology, Komi Science Center, Ural Branch of the Russian Academy of Sciences
Email: likhanova@ib.komisc.ru
Russian Federation, Syktyvkar
S. V. Deneva
Institute of Biology, Komi Science Center, Ural Branch of the Russian Academy of Sciences
Email: likhanova@ib.komisc.ru
Russian Federation, Syktyvkar
E. M. Lapteva
Institute of Biology, Komi Science Center, Ural Branch of the Russian Academy of Sciences
Email: likhanova@ib.komisc.ru
Russian Federation, Syktyvkar
References
- Абакумов Е.В., Гагарина Э.И. Почвообразование в посттехногенных экосистемах карьеров на северо-западе Русской равнины. СПб.: Изд-во СПбГУ, 2006. 208 с.
- Александровский А.Л., Александровская Е.И. Эволюция почв и географическая среда. М.: Наука, 2005. 223 с.
- Андреева Е.Н., Баккал И.Ю., Горшков В.В., Лянгузова И.В., Мазная Е.А., Нешатаев В.Ю., Нешатаева В.Ю., Ставрова Н.И., Ярмишко В.Т., Ярмишко М.А. Методы изучения лесных сообществ. СПб.: НИИХимии СПбГУ, 2002. 240 с.
- Андроханов В.А., Овсянникова С.В., Курачев В.М. Техноземы: свойства, режимы, функционирование. Новосибирск: Наука, Сибирская издательская фирма РАН, 2000. 200 с.
- Андроханов В.А., Курачев В.М. Почвенно-экологическое состояние техногенных ландшафтов: динамика и оценка. Новосибирск: Изд-во СО РАН, 2010. 224 с.
- Атлас почв Республики Коми. Сыктывкар: Изд-во ООО “Коми республиканская типография”, 2010. 356 c.
- Боул С., Хоул Ф., Мак-Крекен Р. Генезис и классификация почв. М.: Прогресс, 1977. 416 с.
- Вадюнина А.Ф., Корчагина З.А. Методы исследования физических свойств почв. М.: Агропромиздат, 1986. 416 с.
- Веретенникова Е.Э., Курьина И.В., Дюкарева Е.А., Головацкая Е.А., Смирнова С.В. Геохимические особенности торфяных залежей олиготрофных болот южно-таежной зоны Западной Сибири // Геохимия. 2021. Т. 66. № 6. С. 562–576.
- Водяницкий Ю.Н. Железо в гидроморфных почвах. М.: АПР, 2017. 160 с.
- Ворончихина Е.А. Рекультивация нарушенных ландшафтов: теория, технологии, региональные аспекты. Пермь, 2010. 165 с.
- Голеусов П.В., Лисецкий Ф.Н. Воспроизводство почв в антропогенно нарушенных ландшафтах лесостепи. М.: ГЕОС, 2009. 210 с.
- Ермаков Е.И., Зверева Т.С., Рыбальченко О.В. Изменение гранитного щебня под многолетней культурой пшеницы и томата // Почвоведение. 2000. № 12. С. 1463–1471.
- Забоева И.В. Почвы и земельные ресурсы Коми АССР. Сыктывкар: Коми книжное издательство, 1975. 344 с.
- Зайдельман Ф.Р. Процесс глееобразования и его роль в формировании почв. M.: Изд-во МГУ, 1998. 316 с.
- Зайдельман Ф.Р., Соколова Т.А., Нарокова Р.П. Изменение содержания химического и минералогического состава илистых фракций трех почвообразующих пород под влиянием оглеения в условиях модельного опыта // Вестник Моск. ун-та. Сер. 17, Почвоведение. 1978. № 1. С. 46–53.
- Козачок Ж.Н. Особенности гумусовых веществ подзолистых и болотно-подзолистых почв // Экология таежных почв Севера. Сыктывкар, 1997. С. 53–64.
- Козловский Ф.И., Рюльман Й., Травникова Л.С., Кузяков Я.В. Дифференциация исходно гомогенных субстратов по илу в многолетнем полевом опыте // Почвоведение. 2001. № 2. С. 149–158.
- Кононенко А.В. Гидротермический режим таежных и тундровых почв Европейского Северо-Востока. Л.: Наука, 1986. 144 с.
- Лиханова И.А., Кузнецова Е.Г., Холопов Ю.В., Денева С.В., Лаптева Е.М. Почвенное органическое вещество и запасы углерода в почвах техногенных ландшафтов средней тайги европейского северо-востока России // Лесохозяйственная информация. 2022. № 3. С. 125–134. https://doi.org/10.24419/LHI.2304-3083.2022.3.11
- Махонина Г.И. Экологические аспекты почвообразования в техногенных экосистемах Урала. Екатеринбург: Изд-во Урал. ун-та, 2003. 356 с.
- Машика А.В. Запасы органического углерода в почвах коренных ельников // Коренные еловые леса Севера: биоразнообразие, структура, функции. СПб.: Наука, 2006. 337 с.
- Научно-прикладной справочник по климату СССР. Вып. 1. Архангельская, Вологодская области и Коми АССР книга 1. Л.: Гидрометеоиздат, 1989. 483 с.
- Нейштадт М.И. Стратиграфия торфяных месторождений в свете данных абсолютного возраста// Природа болот и методы их исследований. Л., 1967. С. 90−95.
- Орлов Д.С., Бирюкова О.Н., Суханова Н.И. Органическое вещество почв Российской Федерации. М.: Наука, 1996. 256 с.
- Павлов А.В. Теплофизика ландшафтов. Новосибирск: Наука, 1979. 278 с.
- Полевой определитель почв России. М.: Почв. ин-т им. В.В. Докучаева, 2008. 182 с.
- Пономаренко С.В. Развитие профиля на начальных стадиях почвообразования. Дис. … канд. биол. наук. М., 1986. 215 с.
- Путеводитель научной почвенной экскурсии: Лесная зона (сезонно-промерзающие почвы) / Отв. ред. Забоева И.В. Сыктывкар, 1997. 72 с.
- Растительность Европейской части СССР. Л.: Наука, 1980. 236 с.
- Рейнтам Л.Ю. Гумусное состояние первичных почв под лесом на карьерных отвалах сланцевой промышленности // Почвоведение. 2001. № 10. С. 1207–1216.
- Руднева Е.Н., Забоева И.В., Урусевская И.С. Почвенно-географическое районирование центральной и восточной частей европейской территории СССР // Подзолистые почвы центральной и восточной частей европейской территории СССР. Л.: Наука, 1981. С. 118–152.
- Середина В.П., Двуреченский В.Г., Пронина И.А., Акинина А.Н. Вещественный состав эмбриоземов, формирующихся на отвалах железорудных месторождений юга Западной Сибири // Вестник Томского гос. ун-та. Биология. 2017. № 40. С. 25–43. https://doi.org/10.17223/19988591/40/2
- Смагин А.В., Садовникова Н.Б., Смагина М.В., Глаголев М.В., Шевченко Е.М., Хайдапова Д.Д., Губер А.К. Моделирование динамики органического вещества почв. М.: Изд-во МГУ, 2001. 120 с.
- Соколов Д.А., Андроханов В.А., Кулижский С.П., Доможакова Е.А., Лойко С.В. Морфогенетическая диагностика процессов почвообразования на отвалах каменноугольных разрезов Сибири // Почвоведение. 2015. № 1. С. 106–117.
- Теория и практика химического анализа почв / Под ред. Воробьевой Л.А. M.: ГЕОС, 2006. 400 с.
- Тонконогов В.Д. Глинисто-дифференцированные почвы Европейской России. М.: Почв. ин-т им. В.В. Докучаева, 1999. 156 с.
- Трофимов С.С., Таранов С.А. Особенности почвообразования в техногенных экосистемах // Почвоведение. 1987. № 11. С. 95–99.
- Федорец Н.Г., Шильцова Г.В., Германова Н.И., Антипина Г.С., Крышень А.М., Соколова А.И. Начальные этапы почвообразования на отвалах железорудного месторождения в северо-таежной подзоне Карелии // Почвоведение. 1998. № 2. С. 133–139.
- Чижикова Н.П., Верховец И.А., Первова Н.Е., Лебедева М.П., Скворцова Е.Б., Золотарёв Г.В., Савельев Д.В. Начальные стадии почвообразования на покровном суглинке (модельный эксперимент). Ижевск, 2016. 252 с.
- Abakumov E., Trubetskoj O., Demin D., Celi L., Cerli C., Trubetskaya O. Humic acid characteristics in podzol soil chronosequence // Chemistry and Ecology. 2010. V. 26. P. 59–66. https://www.researchgate.net/publication/233079163
- Brimhall G.H., Chadwick O.A., Lewis C.J., Compston W., Williams I.S., Danti K.J., Dietrich W.E., Power M.E., Hendricks D. and Bratt J. Deformational mass transport and invasive processes in soil evolution // Science. 1991. V. 255. P. 695–702. https://doi.org/10.1126/science.255.5045.695
- Fujisaki K., Chapuis-Lardy L., Albrecht A., Razafimbelo T., Chotte J.-L., Chevallier T. Data synthesis of carbon distribution in particle size fractions of tropical soils: Implications for soil carbon storage potential in croplands // Geoderma. 2018. V. 313. P. 41–51. https://doi.org/10.1016/j.geoderma.2017.10.010
- Hupy J.P., Schaetzl R.J. Soil development on the WWI battlefield of Verdun, France. // Geoderma. 2008. V. 145(1). P. 37–49. https://doi.org/10.1016/j.geoderma.2008.01.024
- IUSS Working Group WRB. World Reference Base for Soil Resources 2014, update 2015. International soil classification system for naming soils and creating legends for soil maps. World Soil Resources Reports. Rome: FAO, 2015. No 106.
- Lal R. Soil carbon sequestration to mitigate climate change // Geoderma. 2004. V. 123. P. 1–22. https://doi.org/10.1016/j.geoderma.2004.01.032
- Lichter J. Primary succession and forest development on coastal Lake Michigan sand dunes // Ecological Monographs. 1998. V. 68(4). P. 487–510.
- Lichter J. Rates of weathering and chemical depletion in surface soils across a chronosequence of Lake Michigan sand dunes // Geoderma. 1998. V. 85. P. 255–282. https://doi.org/10.1016/S0016-7061(98)00026-3
- Likhanova I.A., Deneva S.V., Kholopov Y.V., Kuznetsova E.G., Shakhtarova O.V., Lapteva E.M. The Effect of Hydromorphism on Soils and Soil Organic Matter during the Primary Succession Processes of Forest Vegetation on Ancient Alluvial Sands of the European North-East of Russia // Forests. 2022. V. 13(2). 230. https://doi.org/10.3390/f13020230
- Likhanova I.A., Kuznetsova E.G., Lapteva E.M., Deneva S.V., Makeev B.A. Soil Formation in the Quarries after Forest Reclamation in the Middle Taiga Subzone of the Northeast of European Russia // Eurasian Soil Science. 2021. V. 54(4). P. 631−647. https://doi.org/10.1134/S1064229321040104
- Matos E.S., Freese D., Böhm C., Quinkenstein A., Hüttl R.F. Organic matter dynamics in reclaimed lignite mine soils under Robinia pseudoacacia L. plantations of different ages in Germany // Commun. Soil Sci. Plant Anal. 2012. V. 43. P. 745–755. https://doi.org/10.1080/00103624.2012.648354
- Misebo A.M., Pietrzykowski M., Woś B. Soil Carbon Sequestration in Novel Ecosystems at Post-Mine Sites − A New Insight into the Determination of Key Factors in the Restoration of Terrestrial Ecosystems // Forests. 2022. V. 13. 63. https://doi.org/10.3390/f13010063
- Pietrzykowski M., Daniels W.L. Estimation of carbon sequestration by pine (Pinussylvestris L.) ecosystems developed on reforested post-mining sites in Poland on differing mine soil substrates // Ecol. Eng. 2014. V. 73. P. 209–218. https://doi.org/10.1016/j.ecoleng.2014.09.058
- Vanden Bygaart A.J. and Protz R. Soil genesis on a chronosequence, Pinery Provincial Park, Ontario // Can. J. Soil Sci. 1995. V. 75. P. 63–72. https://doi.org/10.4141/cjss95-009
- Zaidel’man F.R., Dzizenko N.N. & Cherkas, S.M. The influence of gleyzation on the chemical composition of the lysimetric water and the physicochemical properties of the parent rocks: A model experiment // Eurasian Soil Sc. 2014. V. 47. P. 1187–1197. https://doi.org/10.1134/S1064229314120126
Supplementary files








