Model of the Soil Sediment Sequence Accumulation of Ice Complex (Kolyma Lowland)
- Authors: Ostroumov V.E.1
-
Affiliations:
- Institute of Physicochemical and Biological Problems of Soil Science of the Russian
- Issue: No 1 (2024)
- Pages: 199-208
- Section: ПАЛЕОПОЧВОВЕДЕНИЕ
- URL: https://bakhtiniada.ru/0032-180X/article/view/259390
- DOI: https://doi.org/10.1134/S0032180X24010153
- EDN: https://elibrary.ru/ZKHRTU
- ID: 259390
Cite item
Full Text
Abstract
Based on the example of an exposure at Cape Maly Chukochi, a model was developed for the accumulation of the soil-sedimentary sequence of the ice complex of the Kolyma Lowland. The distribution of the magnetic susceptibility of the sediment over the depth of the sequence is measured, which has a periodic shape. The specific magnetic susceptibility of the material at the level of (5–25) × 10⁻⁸ m3/kg is determined by the presence of fine magnetite crystals in it. The hypothesis is substantiated that the finely dispersed magnetite of the ice complex is of authigenic origin. Due to its accumulation, the magnetic susceptibility of the soil increases during the lifetime of the material in the seasonally thawed layer, and its distribution in the soil-sedimentary sequence contains information about the history of the sequence accumulation. The proposed model describes the soil-sedimentary sequence because of sediment ingress to the soil surface with a time-varying intensity of the sedimentary matter flow, which determines the dynamics of the sediment lifetime in the seasonally thawed layer and the period of magnetite accumulation in the soil. The calculated distribution of the sediment transformation degree in the sequence profile is compared with the measured distribution of magnetic susceptibility. Based on the data on the distribution of magnetic susceptibility, the model was used to reconstruct the accumulation history of the soil-sedimentary sequence.
Full Text
ВВЕДЕНИЕ
Синлитогенные почвы, лёссово-почвенные комплексы, почвенные циклиты, аллювиальные наносы, покровные образования с погребенными почвами и другие почвенно-осадочные последовательности формируются в континентальных осадочных бассейнах за счет флювиальных, эоловых, склоновых и других процессов в изменяющихся биоклиматических обстановках. Разные по возрасту и происхождению, эти образования объединены синхронностью дневного почвообразования и осадконакопления. Смены темпа накопления осадка и непостоянство факторов почвообразования приводят к формированию сложных неоднородных распределений показателей состава и свойств материала последовательностей. Такие распределения содержат информацию о динамике накопления осадка и об условиях его трансформации при почвообразовании, отражая историю развития почв и пород континентальных осадочных бассейнов.
Для реконструкции истории накопления осадка требуется модель, которая увязывала бы наблюдаемые распределения показателей свойств по глубине последовательностей с динамикой накопления и трансформации осадочного вещества при почвообразовании. Подобные модели глубина–время выстраиваются при создании радиоуглеродных геохронологических шкал, для палинологического датирования осадков по спорово-пыльцевым данным, при корреляции новейших отложений, для решения других задач палеореконструкции. Модели глубина–время, пригодные для интерпретации распределений показателей свойств материала почвенно-осадочных последовательностей, остаются неразработанными.
В настоящей работе рассматривается модель почвенно-осадочной последовательности глубина–время, которая позволяет реконструировать историю накопления ледового комплекса Колымской низменности. Модель основана на зависимости магнитной восприимчивости материала ледового комплекса от длительности дневного почвообразования, которая определяется временем жизни осадка в слое сезонного протаивания. В слое сезонного протаивания магнитная восприимчивость увеличивается со временем в основном за счет образования в почве аутигенного магнетита при восстановительных условиях в слабощелочной и щелочной среде. Благодаря этой зависимости распределение магнитной восприимчивости по глубине почвенно-осадочной последовательности содержит информацию об изменениях времени жизни осадка в сезонно-талом слое и о сменах темпа поступления осадочного материала на поверхность почвы.
ОБЪЕКТЫ ИССЛЕДОВАНИЯ
Ледовый комплекс – это континентальные незасоленные полигенетические сингенетические многолетнемерзлые почвенно-осадочные образования, широко распространенные на геологически молодых низменностях в холодных климатических областях [11, 14, 19, 21]. Они накапливались в позднем плейстоцене на обширной поверхности Колымской низменности с малыми уклонами при мелком залегании мерзлоты и при застойном водном режиме почв, богатых органическим веществом [17]. Осадконакопление было связано с эоловым и водным переносом, сопровождалось склоновыми процессами, осложнялось выпадением аккреционного материала и другими процессами на фоне криогенного выветривания. Эоловый перенос осадочного вещества наряду с миграцией в медленных водных потоках способствовал избирательному накоплению легких минеральных фракций в транспортируемом материале. Анализ соотношения легких и тяжелых минеральных фракций в составе ледового комплекса показывает, что на финальной стадии осадконакопления для низменности был характерен преимущественно флювиальный перенос в пределах небольших локализованных бассейнов [19]. Такой режим осадконакопления отличает образование ледового комплекса от аккумуляции лёссов, сформированных преимущественно за счет дальнего эолового переноса на больших пространствах континентальных масштабов. На периферии Колымской низменности вблизи областей терригенного питания и русел крупных рек в материале присутствуют частицы песчаной и более крупных фракций, а также обломки пироксенов, роговых обманок, магнетита, пирита и других тяжелых минералов. В центральной части бассейна на удалении от источников терригенного питания доля грубых фракций и тяжелых минералов в составе осадка снижается [19].
На всех этапах мерзлотного литогенетического процесса, включая разрушение коренных пород, транспортировку, отложение и трансформацию в почве, материал осадка испытывал влияние криогенного выветривания [5, 12]. До перехода в многолетнемерзлое состояние осадок ледового комплекса длительно, в течение сотен лет, находился в сезонно-талом слое. За это время в нем накапливалось органическое вещество, происходили криотурбационные деформации, формировались полигональные структуры и образовывался жильный лед [8]. Криогенное выветривание минеральных зерен приводило к обогащению состава пылеватыми частицами, которые образуют основу гранулометрического спектра отложений [13, 16, 18, 22]. Сегрегация льда [4] и локальное концентрирование порового раствора формировали слоистые структурные отдельности.
Для ледового комплекса и сезонно-талого слоя характерны пресные поровые растворы и лед гидрокарбонатно-сульфатно-кальциевого состава. Среда имеет слабощелочную и щелочную реакцию. Высокие значения pH (до 8.6) зафиксированы в дельте р. Лены в осадках, подстилающих современный аллювий, которые соотносятся с ледовым комплексом [20]. В сезонно-талом слое преобладающий фон жестко восстановительных условий часто, в короткие эпизоды глубокого протаивания почвы при появлении локального дренажа на динамичном и неровном мерзлом водоупоре, сменяется окислительной средой. Сезонные изменения микробных сообществ сезоннопротаивающих почв сопровождаются колебаниями реакции среды с подщелачиванием к началу осеннего промерзания [10]. В сезонно-талом слое и в подстилающем многолетнемерзлом материале ледового комплекса образуются аутигенные минералы, характерные для нестабильно восстановительных сред [9]. В почвах холодных областей с застойным водным режимом и высоким содержанием органического вещества щелочной сдвиг реакции среды приводит к восстановлению железа с образованием аутигенного магнетита [15]. Этому способствует деятельность железовосстанавливающих бактерий, присутствие которых в осадках ледового комплекса установлено по генетическим маркерам [7]. В слабощелочной и щелочной восстановительной среде при нормальных условиях магнетит термодинамически устойчив [24], что обеспечивает его длительную сохранность в многолетнемерзлой толще. В слое сезонного протаивания почвы и в ледовом комплексе существуют условия, способствующие накоплению аутигенного магнетита и его сохранности в многолетнемерзлом материале.
Изучаемый разрез ледового комплекса на мысу Малый Чукочий характеризует осадки, формировавшиеся в позднем плейстоцене в срединной части Колымской низменности, которые принято относить к чукочьей едоме. Чукочья едома – своеобразная разновидность почвенно-осадочных последовательностей, обогащенная пылеватым материалом легких минеральных фракций. Здесь толща в основном сложена кварцем и полевыми шпатами. Глинистые минералы и слюды присутствуют в следовых количествах. Кальцит и гипс встречаются в виде рассеянных примесей. Оксиды металлов содержатся на уровне 1.5–3.0%. Среди них выделяются легкорастворимые оксиды, оксиды конкреций и рассеянные в массе осадка включения стабильных оксидов, в частности кристаллов магнетита. Содержание органического вещества, представленного в основном детритом, в минеральных горизонтах современных и погребенных почв находится на уровне 1–3%, а в оторфованных и торфяных горизонтах может существенно превышать этот уровень.
Обнажение на мысу Малый Чукочий имеет высоту около 38 м. С поверхности здесь развиты типичные и грубогумусированные криоземы (Cryosols) [3]. Многолетнемерзлый материал последовательности наряду с фрагментами монотонного осадочного вещества включает ряд погребенных почвенных профилей и их отдельные части. Погребенный почвенный материал, включая фрагменты минеральных и оторфованных горизонтов и торфа, часто перемят и смещен – последствия криогенных деформационных процессов.
Сезонно-талый слой толщиной 0.4–0.8 м подстилается высокольдистым переходным горизонтом, который принято связывать с максимальной глубиной протаивания почвы в голоцене. Многолетнемерзлый осадок последовательности включает большое количество сегрегационного и жильного льда.
Магнетит в составе осадков Колымской низменности определяет значения его удельной магнитной восприимчивости на уровне (5–70) × 10⁻⁸ м³/кг [18, 22]. В изученном разрезе чукочьей едомы и дневной почвы эти пределы уже (5–25) × 10⁻⁸ м³/кг, что соответствует оценке в работе [2]. Низкие значения магнитной восприимчивости материала изучаемой последовательности объясняются затрудненным поступлением тяжелых минеральных частиц из областей терригенного питания в срединную часть бассейна. При этом в чукочьей едоме, как и в осадках на всей низменности, выделяются слои с повышенной магнитной восприимчивостью и части разреза с околонулевыми значениями. Изменчивость этого показателя в разрезе связана не только с условиями транспортировки материала, но и с его преобразованиями после осаждения [23].
Гипотезы о происхождении магнетита и других минералов, обладающих магнитными свойствами, в почвах подробно рассмотрены в монографии [1]. В континентальном осадочном бассейне Колымской низменности в позднем плейстоцене возможны три пути появления магнетита: за счет переноса терригенного материала, в потоке аккреционной пыли, аутигенное образование в почвах. Перенос обломочного магнетита и его осаждение при формировании осадка чукочьей едомы маловероятны из-за малых уклонов и удаленности центральной части бассейна от источников питания. Вклад метеоритной пыли в формирование осадков низменности также нельзя отрицать полностью, но его значение, по-видимому, второстепенно. Геохимическая обстановка в сезонно-талом слое почв низменности благоприятна для формирования аутигенного магнетита как по хемогенному, так и по биогенному пути. Аутигенный способ образования магнетита в почвах чукочьей едомы представляется наиболее обоснованным. При этом все три механизма образования магнетита приводят к его накоплению только на поверхности почвы и в сезонно-талом слое.
В работе [18] приводятся детальные данные радиоуглеродного датирования и замеры магнитной восприимчивости осадка ледового комплекса едомы в обнажении на полуострове Быковский. Радиоуглеродный возраст осадка ожидаемо увеличивается с глубиной, однако его распределение отличается от линейного и имеет ступенчатую форму. При этом признаков длительных перерывов в осадконакоплении или потери материала за счет эрозии не отмечается. Ступенчатость радиоуглеродного возраста при непрерывности осадочного процесса объясняется непостоянством интенсивности потока осадка, поступающего на поверхность. Это в свою очередь определяет различную продолжительность жизни осадка в сезонно-талом слое перед его переходом в многолетнемерзлое состояние.
При разработке модели принимается гипотеза о накоплении кристаллов магнетита в сезонно-талом слое почвы, которое происходит в основном по пути аутигенеза и обеспечивает увеличение содержания магнитной фазы в почве за время почвообразования в сезонно-талом слое. С учетом этой гипотезы распределение магнитной восприимчивости в последовательности ледового комплекса интерпретируется как результат непрерывного поступления осадка на поверхность с непостоянной интенсивностью потока.
МЕТОДЫ ИССЛЕДОВАНИЯ
Магнитную восприимчивость материала почвенно-осадочной последовательности ледового комплекса измеряли в обнажении на мысу Малый Чукочий с помощью портативного прибора KT-5. Замеры производили сразу после оттаивания материала на толщину до 15–20 см, что превышает размер массива почвы, требуемого для измерения (10 см). Оттаивание материала перед измерением позволило избежать искажений разбавления за счет влияния на магнитную восприимчивость ледяных включений. В стенке обнажения высотой 35 м выполнено 1320 замеров на 330 глубинах, по 4 замера на каждой глубине.
В лаборатории зерна магнитных минералов извлекали из растертых проб почвы сухой магнитной сепарацией. Использовали постоянный магнит из неодим-бор-железистого сплава, который обеспечивает наибольшую магнитную индукцию в разделительной ячейке в 160 мТл и рекомендован для количественного извлечения кристаллов магнетита [6].
Рис. 1. Распределение магнитной восприимчивости материала почвенно-осадочной последовательности ледового комплекса. Обнажение на мысу Малый Чукочий.
Для каждой глубины в изучаемом разрезе по данным, показанным на рис. 1, определяли средние значения магнитной восприимчивости. Средние сглаживали по 11 точкам с целью получения представительных данных, характеризующих диапазон глубины, сравнимый с толщиной слоя сезонного протаивания почвы. Сглаженные данные приводили к диапазону от 0 до 1 в относительных единицах, что позволило в дальнейшем сопоставлять измеренное распределение магнитной восприимчивости с вычисленными распределениями степени трансформации осадка при почвообразовании.
Измеренное распределение магнитной восприимчивости материала по глубине почвенно-осадочной последовательности аппроксимировали периодической функцией вида суммы синусов:
(1)
где c – магнитная восприимчивость, отн. ед.; h – глубина, м; i и n – номер и число слагаемых в сумме гармоник; B – уровень магнитной восприимчивости, вокруг которого происходят ее колебания, относительные единицы; A – амплитуда колебаний магнитной восприимчивости с увеличением глубины, относительные единицы; j – фазовый сдвиг, м; H – период колебаний магнитной восприимчивости с увеличением глубины, м.
При выборе числа слагаемых n в аппроксимирующей функции руководствовались приведенными значениями коэффициента детерминации Ra², добиваясь удовлетворительного сходства искомой функции и измеренного распределения (приведенный Ra² не меньше 0.9) и стремясь не увеличивать число неизвестных коэффициентов в уравнении (1).
Найденная аппроксимация распределения магнитной восприимчивости по глубине (1) положена в основу модели накопления почвенно-осадочной последовательности глубина–время. В модели функция (1) сохраняет свой вид, но место координаты глубины в ней занимает время, а соответствующие коэффициенты изменяют размерность. Это позволило описать динамику поступления осадка на поверхность почвы, на основе которой в модели вычисляется распределение степени трансформации осадка по глубине почвенно-осадочной последовательности.
РЕЗУЛЬТАТЫ И ОБСУЖДЕНИЕ
Измеренное распределение магнитной восприимчивости материала почвенно-осадочной последовательности имеет периодическую форму, обычную для последовательностей континентальных осадочных толщ с погребенными почвами и лёссов.
Функцию (1) рассмотрели для определения оптимального числа слагаемых n. При n = 2 значение приведенного коэффициента детерминации Ra² находится на уровне 0.3, а при n = 3 равняется 0.6, что свидетельствует о быстром повышении сходства аппроксимирующей функции с исходными данными. При n = 4 Ra² составляет 0.92, а дальнейшее увеличение до n = 7 приводит к возрастанию Ra² только до 0.94. Чтобы не увеличивать числа неизвестных переменных, в аппроксимирующей формуле приняли n = 4.
Рис. 2. Зависимость производной магнитной восприимчивости материала почвенно-осадочной последовательности от производной радиоуглеродного возраста ледового комплекса по глубине (по данным [18], обнажение ледового комплекса на п-ове Быковский).
Магнитной сепарацией из материала последовательности извлекаются магнитные частицы (140–220 мг/кг по 8 определениям в пробах их разреза на мысу Малый Чукочий). Их удаление приводит к снижению магнитной восприимчивости с (10–20) × 10⁻⁸ м³/кг до нуля.
Детальные радиоуглеродные датировки и замеры магнитной восприимчивости материала ледового комплекса в обнажении на полуострове Быковский [18] позволяют определить приросты этого показателя с глубиной, а во фрагментах, совпадающих с точками, датированными по радиоуглероду, сопоставить эти приросты с приращениями радиоуглеродных дат. Увеличение приростов радиоуглеродного возраста по глубине последовательности сопровождается снижением приростов магнитной восприимчивости материала (рис. 2). Следовательно, замедленное поступление осадочного вещества на поверхность приводит к повышению магнитной восприимчивости. Это объясняется накоплением большего количества аутигенного магнетита в почве при относительной стабилизации поверхности за счет увеличения времени жизни почвы в сезонно-талом слое. Сопоставление производных магнитной восприимчивости и радиоуглеродного возраста по глубине толщи подтверждает предположение о связи периодической формы распределения магнитной восприимчивости материала с непостоянством интенсивности потока осадка, поступающего на поверхность почвы.
МОДЕЛЬ ПОЧВЕННО-ОСАДОЧНОЙ ПОСЛЕДОВАТЕЛЬНОСТИ
Определение переменных. В модели почвенно-осадочной последовательностью (Shτ) называется совокупность слоев континентального осадка, свойства которого, распределенные по глубине (h) и времени (τ), в большей или меньшей степени трансформированы в период нахождения материала в поверхностном слое осадка в зоне действия факторов почвообразования. В случае ледового комплекса под этой зоной понимается слой сезонного протаивания почвы, исключительно в котором происходит образование и накопление магнетита.
Степень трансформации осадка при почвообразовании (Ts) – это относительная величина отклонения показателя свойства материала, измененного при почвообразовании, по сравнению со свежим осадком. В случае магнитной восприимчивости под степенью трансформации понимается отношение превышения измеренной магнитной восприимчивости материала последовательности над уровнем этого показателя для свежевыпавшего осадка.
Возраст осадка (Age) – это время между моментами поступления осадка на поверхность до момента наблюдения или до измерения магнитной восприимчивости.
Время жизни осадка в почвенном профиле (Lt) соответствует продолжительности времени от момента поступления частицы осадочного вещества на поверхность почвы до ее захоронения на глубину, где трансформация свойств осадка прекращается. Для ледового комплекса, в котором образование магнитных частиц происходило в слое сезонного протаивания, время жизни соответствует времени от поступления осадка на поверхность почвы до его перехода в многолетнемерзлое состояние.
Предпосылки и допущения. При построении модели предполагается, что скорость трансформации осадка на протяжении времени его жизни в зоне действия факторов почвообразования остается постоянной. В модели это скорость новообразования магнитных кристаллов в сезонно-талом слое почвы и скорость изменения магнитной восприимчивости.
Свойства осадка при его поступлении на поверхность почвы постоянны. При моделировании накопления осадка ледового комплекса предполагается, что на поверхность всегда поступает материал с постоянной нулевой магнитной восприимчивостью.
Трансформация материала при почвообразовании заканчивается при выходе осадка из зоны действия факторов почвообразования. Предполагается, что после перехода материала в многолетнемерзлое состояние магнитная восприимчивость остается неизменной.
Толщина сезонно-талого слоя и уровень, от которого отсчитывается текущая высота поверхности остаются постоянными на протяжении всего времени образования почвенно-осадочной последовательности.
Структура модели. Модель формирования почвенно-осадочной последовательности основана на описании зависимости показателя свойства осадка от его времени жизни в зоне влияния факторов почвообразования. В модели на поверхность почвы поступает осадочное вещество с интенсивностью потока, которая изменяется во времени. Распределение магнитной восприимчивости удовлетворительно аппроксимируется функцией вида суммы четырех синусов. Такая же функция используется и для описания динамики интенсивности потока осадка, поступающего на поверхность, но с другими коэффициентами, которые увязывают интенсивность потока со временем:
(2)
где I(t) – интенсивность потока осадка, поступающего на поверхность почвы, кг/м² год; τ – время, годы; i и n – номер и число слагаемых в сумме гармоник, n = 4; B – уровень интенсивности потока осадка, поступающего на поверхность почвы, вокруг которого происходят его колебания, кг/(м² год); A – амплитуда колебаний интенсивности потока осадка, поступающего на поверхность почвы, кг/(м² год); j – фазовый сдвиг, годы; T – период колебаний интенсивности потока осадка, поступающего на поверхность почвы, годы.
В модели на каждом шаге времени τ за счет поступления осадка на поверхность почвы уровень поверхности увеличивается:
где h(t) – текущая высота поверхности над постоянным уровнем, м; h(t – 1) – высота поверхности в момент времени, предыдущий текущему, м; δплотность осадка, кг/м³.
В результате к моменту наблюдения формируется распределение возраста осадка по глубине почвенно-осадочной последовательности:
,
где Age(h) – возраст осадка на глубине h, годы; T(ht) – год поступления осадка, находящегося в момент наблюдения на глубине h на поверхность; T(0) – год наблюдения.
Время жизни осадка в пределах почвенного профиля на каждой глубине:
,
где Lt(h) – время жизни осадка в пределах почвенного профиля для глубины h в почвенно-осадочной последовательности, годы. Для рассматриваемой последовательности ледового комплекса Lt(h) соответствует времени жизни осадка в пределах сезонно-талого слоя; Ageb и Ageu – возрасты осадка на уровне подошвы и кровли сезонно-талого слоя на глубине h, в почвенно-осадочной последовательности в момент наблюдения, годы.
На протяжении времени жизни осадка в сезонно-талом слое степень его трансформации линейно увеличивается во времени:
,
где Ts(h) – степень трансформации осадка на глубне h почвенно-осадочной толщи, относительные единицы; k – коэффициент пропорциональности, определяющий скорость трансформации осадка в сезонно-талом слое, относительные единицы.
Для работы с моделью разработана программа, включающая следующие взаимосвязанные модули:
Моделирование и его результаты. Модель последовательно отображает результаты расчетов в перечисленных выше модулях. Изменения коэффициентов в уравнении (2) обеспечивают широкое разнообразие вычисляемых распределений степени трансформации осадка. В табл. 1 показаны значения коэффициентов, подобранные по критерию сходства вычисленного распределения степени трансформации материала при почвообразовании с измеренным распределением магнитной восприимчивости.
Рис. 3. Динамика интенсивности осадка, поступающего на поверхность почвы (а), профиль возраста осадка (b), распределение времени жизни осадка в сезонно-талом слое (c) и распределение степени трансформации осадка при почвообразовании (d) по глубине почвенно-осадочной последовательности.
По этим коэффициентам рассчитана динамика интенсивности потока осадка, поступающего на поверхность (рис. 3a). Непостоянство интенсивности потока во времени приводит к ступенчатому распределению возраста осадка по глубине (рис. 3b). Кривые времени жизни осадка в сезонно-талом слое (рис. 3c) и степени трансформации (рис. 3d) одинаковы по форме, так как зависимость между этими показателями линейна.
Таблица 1. Значения коэффициентов в уравнении (2), при которых достигается сходство вычисленного распределения степени трансформации осадка и измеренного распределения его магнитной восприимчивости
Коэффициент | Значение | Коэффициент | Значение | Коэффициент | Значение | Коэффициент | Значение |
B1 | 2.5 | B2 | 0 | B3 | 0.5 | B4 | 0.3 |
A1 | 2.8 | A2 | 2 | A3 | 0.5 | A4 | 0.3 |
T1 | 2000 | T2 | 3000 | T3 | 110 | T4 | 50 |
j1 | 1500 | j2 | 600 | j3 | 45 | j4 | 15 |
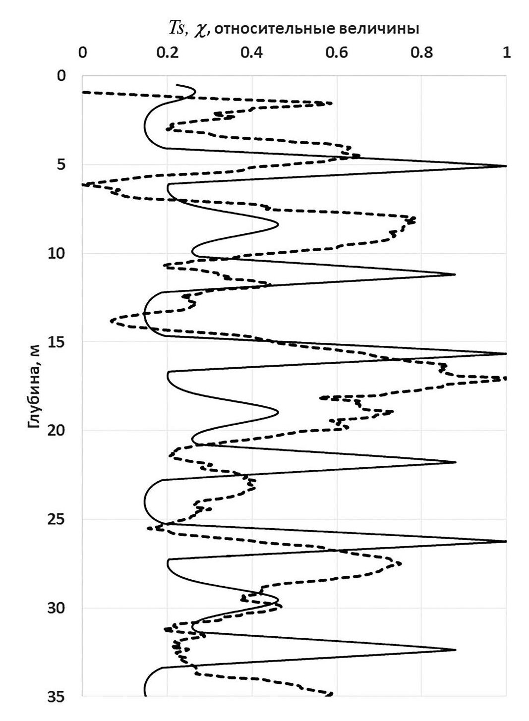
Значения коэффициентов, указанные в табл. 1, подобраны таким образом, чтобы вычисленное распределение степени трансформации (сплошная кривая на рис. 4) по возможности мало отличалось от измеренного распределения магнитной восприимчивости (пунктир на рис. 4).
Рис. 4. Вычисленные значения степени трансформации осадка при почвообразовании (Ts, сплошная кривая) и измеренные сглаженные нормированные величины удельной магнитной восприимчивости (χ, пунктир).
Сравнение распределений Ts и χ показывает, что результаты моделирования воспроизводят основные зоны разреза с повышенной и пониженной магнитной восприимчивостью, которым соответствуют временные этапы замедленного и ускоренного поступления осадка на поверхность. Чтобы добиться большего приближения вычисленного распределения к измеренному, целесообразно ввести в модель дополнительные модули, учитывающие непостоянство скорости трансформации осадка в сезонно-талом слое на фоне климатических изменений, а также изменчивость состава осадка, поступающего на поверхность.
Описание динамики осадконакопления (рис 2а), полученное при моделировании с коэффициентами, подобранными приближением к измеренному распределению магнитной восприимчивости, представляет собой реконструкцию истории накопления ледового комплекса в количественной форме.
Модели, аналогичные предлагаемой, могут быть использованы для реконструкции образования почвенно-осадочных последовательностей, если показатели свойств их материала значимо изменяются на почвообразовательном этапе.
ЗАКЛЮЧЕНИЕ
Предложена модель глубина–время, которая описывает накопление почвенно-осадочных последовательностей в условиях периодически меняющейся интенсивности потока осадка, поступающего на поверхность. Модель позволяет определять распределение степени трансформации осадка при почвообразовании вдоль координаты глубины почвенно-осадочной последовательности по измеренному распределению показателей свойств материала последовательности.
В обнажении на мысу Малый Чукочий измерено распределение магнитной восприимчивости материала ледового комплекса. Оно имеет периодическую форму, часто встречающуюся в разрезах континентальных осадков с погребенными почвами. Данное распределение содержит информацию о динамике интенсивности потока осадка, поступавшего на поверхность при формировании почвенно-осадочной последовательности.
Подбор коэффициентов в модели дает возможность приблизить форму распределения вычисляемой степени трансформации осадка при почвообразовании к измеренному распределению магнитной восприимчивости. Найденные таким образом коэффициенты позволяют вычислять интенсивность потока осадка, который поступал на поверхность почвы на протяжении истории накопления материала почвенно-осадочной последовательности.
Модель может быть полезной при изучении истории формирования не только ледового комплекса, но и других почвенно-осадочных последовательностей, свойства материала которых изменялись под влиянием факторов почвообразования в период нахождения материала в почвенном профиле.
ФИНАНСИРОВАНИЕ РАБОТЫ
Работа финансировалась по теме государственного задания FMRM-2022-009/122040500038-3.
КОНФЛИКТ ИНТЕРЕСОВ
Автор заявляет об отсутствии конфликта интересов.
About the authors
V. E. Ostroumov
Institute of Physicochemical and Biological Problems of Soil Science of the Russian
Author for correspondence.
Email: v.ostroumov@rambler.ru
ORCID iD: 0000-0002-6127-4203
Russian Federation, Academy of Sciences, Pushchino, 142290 Russia
References
- Водяницкий Ю.Н. Соединения железа и их роль в охране почв. М.: Почв. ин-т им. В.В. Докучаева, 2010. 155 с.
- Водяницкий Ю.Н., Мергелов Н.С., Горячкин С.В. Диагностика оглеения в условиях низкого содержания оксидов железа (на примере почв тундры Колымской низменности) // Почвоведение. 2008. № 3. С. 261–279. https://doi.org/10.1134/S1064229308030010
- Губин С.В., Лупачев А.В. Почвообразование в тундровой зоне приморских низменностей северо-востока Сибири // Почвоведение. 2020. № 10. C. 1182–1191. https://doi.org/10.31857/S0032180X2010008
- Ершов Э.Д. Криолитогенез. М.: Недра, 1982. 212 с.
- Конищев В.Н. Формирование состава дисперсных пород в криолитосфере. Новосибирск: Наука, 1981. 197 с.
- Разумная Е.Г., Ершова К.С. Методы сепарации и их применение в минералогической практике // Современные методы минералогического исследования. М.: Недра, 1969. Ч. II. C. 201–250.
- Ривкина Е.М., Федоров-Давыдов Д.Г., Захарюк А.Г.., Щербакова В.А., Вишнивецкая Т.А. Свободное железо и железовосстанавливающие микроорганизмы в почвах и многолетнемерзлых отложениях северо-востока Сибири // Почвоведение. 2020. № 10. С. 1247–1261. https://doi.org/10.31857/S0032180X20100160
- Романовский Н.Н. Формирование полигонально-жильных структур. Новосибирск: Наука, 1977. 216 с.
- Alekseev A., Alekseeva T., Ostroumov V., Siegert C., Gradusov B. Mineral Transformations in Permafrost-Affected Soils, North Kolyma Lowland, Russia // Soil Sci. Soc. Am. J. 2003. V. 67. P. 596–605. https://doi.org/10.2136/sssaj2003.0596
- Baker Ch.C.M., Barker.A.J., Douglas T.A., Doherty S.J., Barbato R. Seasonal variation in near-surface seasonally thawed active layer and permafrost soil microbial communities // Environ. Res. Lett. 2023. V. 18. P. 055001. https://doi.org/10.1088/1748-9326/acc542
- Kanevskiy M., Shur Y., Fortier D., Jorgenson M.T., Stephani E. Cryostratigraphy of Late Pleistocene Syngenetic Permafrost (Yedoma) in Northern Alaska, Itkillik River Exposure // Quat. Res. 2011. V. 75. P. 584–596. https://doi.org/10.1016/j.yqres.2010.12.003
- Konishchev V. The Nature of Cyclic Structure of the Ice Complex, East Siberia // Geogr. Environ. Sustain. 2013. V. 6. P. 4–20. https://doi.org/10.24057/2071-9388-2013-6-3-4-20
- Konishchev V.N., Rogov V.V. Investigations of Cryogenic Weathering in Europe and Northern Asia // Permafrost Periglacial Process. 1993. V. 4. P. 49–64. https://doi.org/10.1002/ppp.3430040105
- Murton J.B., Goslar T., Edwards M.E., Bateman M.D., Danilov P.P., Savvinov G.N. et al. Palaeoenvironmental Interpretation of Yedoma Silt (Ice Complex) Deposition as Cold-Climate Loess, Duvanny Yar, Northeast Siberia // Permafrost Periglac. Process. 2015. V. 26. P. 208–288. https://doi.org/10.1002/ppp.1843
- Patzner M.S., Kainz N., Lundin E., Barczok M., Smith Ch., Herndon E., Kinsman-Costello L., Fischer S., Straub D., Kleindienst S., Kappler A., Bryce C. Seasonal Fluctuations in Iron Cycling in Thawing Permafrost Peatlands // Environ. Sci. Technol. 2022. V. 56. P. 4620–463. hpttps://doi.org/10.1021/acs.est.1c06937
- Schirrmeister L., Dietze E., Matthes H., Grosse G., Strauss J., Laboor S., Ulrich M., Kienast F., Wetterich S. The Genesis of Yedoma Ice Complex Permafrost – Grain-Size Endmember Modeling Analysis from Siberia and Alaska // E&g Quat. Sci. J. 2020. V. 69. P. 33–53. https://doi.org/10.5194/egqsj-69-33-2020
- Schirrmeister L., Fedorov A.N., Froese D., Iwahana G., van Huissteden K., Veremeeva A. Yedoma Permafrost Landcapes as past Archives, Present and Future Change Areas // Frontiers in Earth Science. 2022. V. 10. https://doi.org/10.3389/feart.2022.929873
- Schirrmeister L., Kunitsky V.V., Grosse G., Wetterich S., Meyer H., Schwamborn G., Babiy O., Derevyagin A., Siegert C. Sedimentary characteristics and origin of the Late Pleistocene Ice Complex on North-East Siberian Arctic coastal lowlands and islands – A review // Quaternary International. 2011. V. 241. P. 3–25. https://doi.org/10.1016/j.quaint.2010.04.004
- Schirrmeister L., Wetterich S., Schwamborn G., Matthes H., Grosse G., Klimova I., Kunitsky V.V., Siegert C. Heavy and light mineral associations of late Quaternary permafrost deposits in Northeastern Siberia // Front. Earth Sci. 2022. V. 10. P. 741932. https://doi.org/10.3389/feart.2022.741932
- Schwamborn G., Schirrmeister L., Mohammadi A., Meier H., Kartosiia A., Maggioni F., Strauss J. Fluvial and permafrost history of the lower Lena River, north-eastern Siberia, over late Quaternary time // Sedimentology. 2023. V. 70. P. 235–258. https://doi.org/10.1111/sed.13037
- Shmelev D., Cherbunina M., Rogov V., Opfergelt S., Monhonval A., Strauss J. Reconstructing permafrost sedimentological characteristics and post-depositional processes of the Yedoma Stratotype Duvanny Yar, Siberia // Frontiers in Earth Science. 2021. V. 9. P. 727315. https://doi.org/10.3389/feart.2021.727315
- Strauss J., Schirrmeister L., Wetterich S., Borchers A., Davydov S.P. Grain-size properties and organic-carbon stock of yedoma ice complex permafrost from the Kolyma lowland, Northeastern Siberia // Glob. Biogeochem. Cycles. 2012. V. 26. P. GB3003. https://doi.org/10.1029/2011GB004104
- Wetterich S., Tumskoy V., Rudaya N., Andreev A., Opel T., Meyer H., Schirrmeister L., Hüls M. Ice Complex formation in arctic East Siberia during the MIS3 Interstadial // Quat. Sci. Rev. 2014. V. 84. P. 39–55. https://doi.org/10.1016/j.quascirev.2013.11.009
- Winklhofer M., Petersen N. Paleomagnetism and Magnetic Bacteria // Magnetoreception and Magnetosomes in Bacteria / Eds. Schüler D. Springer-Verlag, 2006. P. 256–273. https://doi.org/10.1007/7171
Supplementary files






