Analysis of CO2 Emission by Urban Soils under the Conditions of the Kola North
- Authors: Korneykova M.V.1,2, Vasenev V.I.3, Saltan N.V.4, Slukovskaya M.V.5, Soshina A.S.2, Zavodskikh .S.4, Sotnikova Y.L.1, Dolgikh A.V.6
-
Affiliations:
- Рeoples’ Friendship University of Russia (RUDN University)
- Institute of North Industrial Ecology Problems Subdivision of the Federal Research Center “Kola Science Centre of Russian Academy of Science”
- Soil Geography and Landscape Group, Wageningen University
- Polar Alpine Botanical Garden-Institute – Subdivision of the Federal Research Centre, Kola Science Centre of Russian Academy of Sciences
- Laboratory of Nature-inspired Technologies and Environmental Safety of the Arctic, Kola Science Centre of Russian Academy of Sciences
- Institute of Geography, Russian Academy of Sciences
- Issue: No 11 (2023)
- Pages: 1385-1399
- Section: SOIL PHYSICS
- URL: https://bakhtiniada.ru/0032-180X/article/view/232243
- DOI: https://doi.org/10.31857/S0032180X23600373
- EDN: https://elibrary.ru/MEPCMH
- ID: 232243
Cite item
Full Text
Abstract
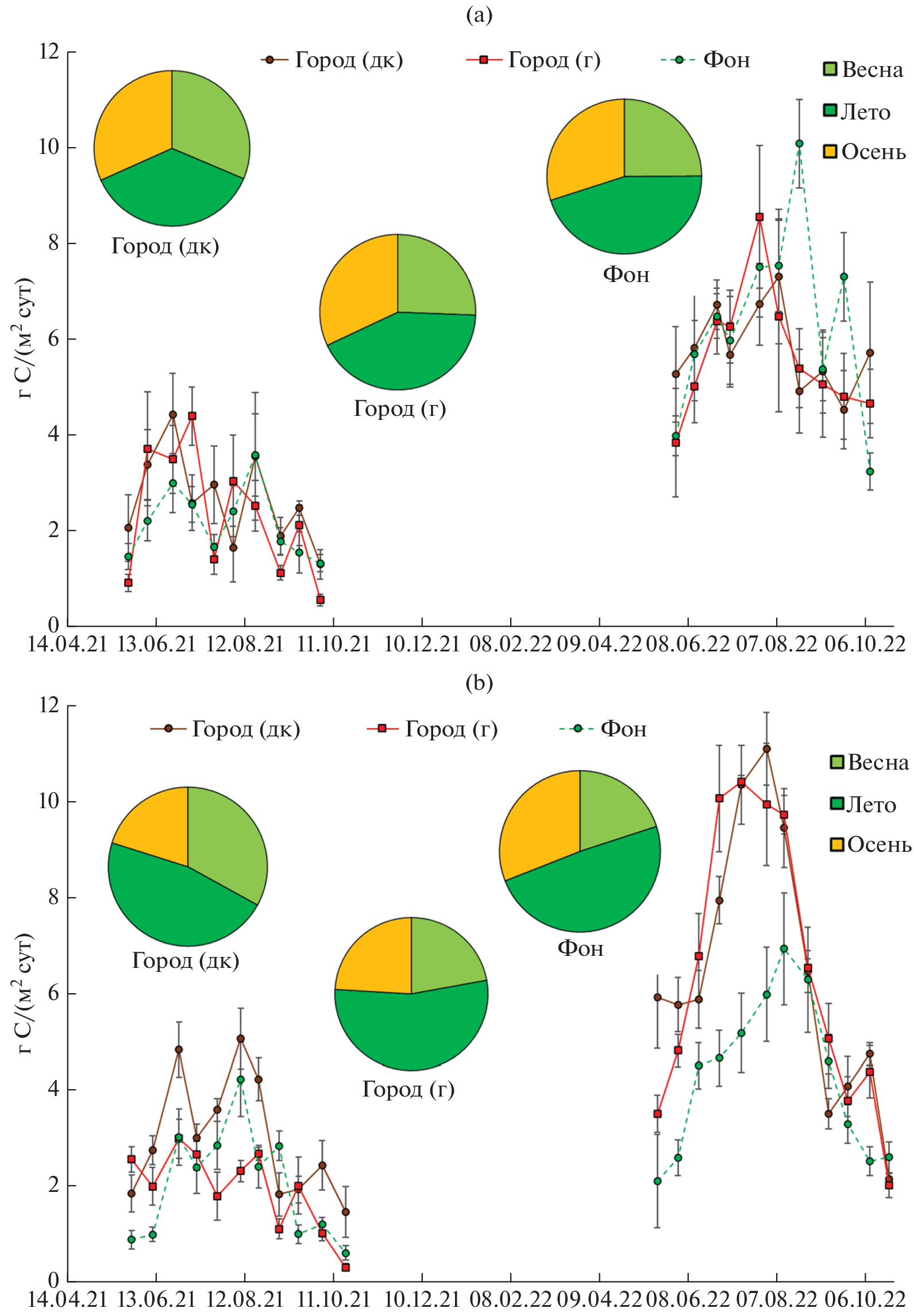
Dynamics in soil CO2 emission, temperature and moisture was observed during the vegetation season (from May to October) in 2021 and 2022 in the residential areas of Murmansk and Apatity cities (Murmansk region) in comparison with natural references. The average emissions from urban soils were 5–7 gC/(m2 day) in summer and 1–2 gC/(m2 day) in spring and autumn. Temperature was the main abiogenic factor that determined the seasonal dynamics of soil respiration (R2 from 0.4 to 0.7, p < 0.05; temperature coefficient Q10 up to 2.5), while excess moisture had a limiting effect, especially in the natural areas. The heterogeneity of hydrothermal conditions and the content of biophilic elements determined the differences in the average CO2 emission between natural and urban soils. For the natural soils, the average temperature was lower and the humidity was higher than for urban areas, which determined the lowest emission values. Among urban sites, higher CO2 emissions have been shown for tree and shrub vegetation sites.
About the authors
M. V. Korneykova
Рeoples’ Friendship University of Russia (RUDN University); Institute of North Industrial Ecology Problems Subdivision of the Federal Research Center“Kola Science Centre of Russian Academy of Science”
Author for correspondence.
Email: korneykova.maria@mail.ru
Russia, 117198, Moscow; Russia, 184209, Apatity
V. I. Vasenev
Soil Geography and Landscape Group, Wageningen University
Email: korneykova.maria@mail.ru
Netherlands, 6707 , Wageningen
N. V. Saltan
Polar Alpine Botanical Garden-Institute – Subdivision of the Federal Research Centre,Kola Science Centre of Russian Academy of Sciences
Email: korneykova.maria@mail.ru
Russia, 184209, Apatity
M. V. Slukovskaya
Laboratory of Nature-inspired Technologies and Environmental Safety of the Arctic,Kola Science Centre of Russian Academy of Sciences
Email: korneykova.maria@mail.ru
Russia, 184209 , Apatity
A. S. Soshina
Institute of North Industrial Ecology Problems Subdivision of the Federal Research Center“Kola Science Centre of Russian Academy of Science”
Email: korneykova.maria@mail.ru
Russia, 184209, Apatity
M. S. Zavodskikh
Polar Alpine Botanical Garden-Institute – Subdivision of the Federal Research Centre,Kola Science Centre of Russian Academy of Sciences
Email: korneykova.maria@mail.ru
Russia, 184209, Apatity
Y. L. Sotnikova
Рeoples’ Friendship University of Russia (RUDN University)
Email: korneykova.maria@mail.ru
Russia, 117198, Moscow
A. V. Dolgikh
Institute of Geography, Russian Academy of Sciences
Email: korneykova.maria@mail.ru
Russia, 11901, Moscow
References
- Ананьева Н.Д., Благодатская Е.В., Демкина Т.С. Оценка устойчивости микробных комплексов почв к природным и антропогенным воздействиям // Почвоведение. 2002. № 5. С. 580–587.
- Ананьева Н.Д., Полянская Л.М., Сусьян Е.А., Васенкина И.В., Вирт С., Звягинцев Д.Г. Сравнительная оценка микробной биомассы почв, определяемой методами прямого микроскопирования и субстрат-индуцированного дыхания // Микробиология. 2008. Т. 77. № 3. С. 404–412.
- Ананьева Н.Д., Сушко С.В., Иващенко К.В., Васенев В.И. Микробное дыхание почвы в подтаежных и лесостепных экосистемах Европейской России: полевые и лабораторные подходы // Почвоведение. 2020. № 53. С. 1492–1501. https://doi.org/10.1134/S106422932010004X
- Брянская И.П., Васенев В.И., Брыкова Р.А., Маркелова В.М., Ушакова Н.В., Госсе Д.Д., Гавриленко Е.В., Благодатская Е.В. Анализ ввозимых почвогрунтов для прогнозирования запасов углерода в почвенных конструкциях Московского мегаполиса // Почвоведение. 2020. № 12. С. 1537–1546. https://doi.org/10.31857/S0032180X20120047
- Вихман М.И., Кислых Е.Е., Моисеева М.М., Нефедова Е.С. Агрохимическая оценка урбаноземов некоторых городов Мурманской области // Агрохимический вестник. 2008. № 4. С. 17–18.
- Васенев В.И., Ананьева Н.Д., Макаров О.А. Особенности экологического функционирования конструктоземов на территории Москвы и Московской области // Почвоведение. 2012. № 2. С. 224.
- Васенев В.И., Ананьева Н.Д., Иващенко К.В. Влияние поллютантов (тяжелые металлы, нефтепродукты) на дыхательную активность конструктоземов // Экология. 2013. № 6. С. 436–445.
- Герасимова М.И., Строганова М.Н., Можарова Н.В., Прокофьева Т.В. Антропогенные почвы: генезис, география, рекультивация. Смоленск: Ойкумена, 2003. 268 с.
- Гонтарь О.Б., Жиров В.К., Казаков Л.А., Святковская Е.А., Тростенюк Н.Н. Зеленое строительство в городах Мурманской области. Апатиты: КНЦ РАН, 2010. 226 с.
- Гончарова О.Ю., Семенюк О.В., Матышак Г.В., Богатырев Л.Г. Биологическая активность городских почв: пространственная вариабельность и определяющие факторы // Почвоведение. 2022. № 8. С. 1009–1022. https://doi.org/10.31857/S0032180X22080032
- Замолодчиков Д.Г. CO2-газообмен тундр острова Вайгач в нетипично теплый и сухой вегетационный сезон // Журн. общ. биологии. 2015. Т. 76. № 2. С. 83–98.
- Иващенко К.В., Ананьева Н.Д., Васенев В.И., Кудеяров В.Н., Валентини Р. Биомасса и дыхательная активность почвенных микроорганизмов в антропогенно преобразованных экосистемах (Московская область) // Почвоведение. 2014. № 4. С. 892–903. https://doi.org/10.7868/S0032180X14090056
- Кадулин М.C., Смирнова И.Е., Копцик Г.Н. Эмиссия диоксида углерода почвами лесных экосистем заповедника “Пасвик” в Кольской Субарктике // Почвоведение. 2017. № 9. С. 1098–1112. https://doi.org/10.7868/S0032180X17090039
- Кадулин М.С., Копцик Г.Н. Изменения потока диоксида углерода из почв лесных экосистем под воздействием техногенного загрязнения в Кольской Субарктике // Почвоведение. 2021. № 10. С. 1281–1292. https://doi.org/10.1134/S0367059719060076
- Карелин Д.В., Замолодчиков Д.Г. Углеродный обмен в криогенных экосистемах. М.: Наука, 2008. 344 с.
- Карелин Д.В., Горячкин С.В., Замолодчиков Д.Г., Долгих А.В., Зазовская Э.П., Шишков В.А., Краев Г.Н. Влияние различных видов антропогенного воздействия на эмиссию парниковых газов в мерзлотных экосистемах // Докл. РАН. 2017. № 477. С. 610–612. https://doi.org/10.7868/S0869565217350225
- Карелин Д.В., Зазовская Э.П., Шишков В.А., Долгих А.В., Сирин А.А., Суворов Г.Г., Азовский А.И., Осокин Н.И. Наблюдения за потоками СО2 на архипелаге Шпицберген: использование территории человеком меняет газообмен арктической тундры // Известия РАН. Сер. географическая. 2019. № 5. С. 56–66. https://doi.org/10.31857/S2587-55662019556-66
- Константинов П.И., Грищенко М.Ю., Варенцов М.И. Картографирование островов тепла городов Заполярья по совмещённым данным полевых измерений и космических снимков на примере г. Апатиты (Мурманская область) // Исследование Земли из космоса. 2015. № 3. С. 27.
- Корнейкова М.В., Никитин Д.А., Долгих А.В., Сошина А.С. Микобиота почв города Апатиты (Мурманская область) // Микология и фитопатология. 2020. № 54. С. 264–277. https://doi.org/10.31857/S0026364820040078
- Матышак Г.В., Тархов М.О., Рыжова И.М., Гончарова О.Ю., Сефилян А.Р., Чуванов С.В., Петров Д.Г. Оценка температурной чувствительности эмиссии СО2 с поверхности торфяных почв севера Западной Сибири методом трансплантации почвенных монолитов // Почвоведение. 2021. № 7. С. 815–826. https://doi.org/10.31857/S0032180X21070108
- Никитин Д.А., Лысак Л.В., Мергелов Н.С., Долгих А.В., Зазовская Э.П., Горячкин С.В. Микробная биомасса, запасы углерода и эмиссия СО2 в почвах Земли Франца-Иосифа: высокоарктические тундры или полярные пустыни? // Почвоведение. 2020. № 4. С. 444–462. https://doi.org/10.31857/S0032180X20040115
- Переверзев В.Н. Лесные почвы Кольского полуострова // Лесное хозяйство и зеленое строительство в Западной Сибири. Томск: Томский гос. ун-т, 2007. С. 225-231.
- Переверзев В.Н. Почвообразование в лесной зоне Кольского полуострова // Вестник Кольского научного центра РАН. 2011. № 2. С. 74–82.
- Петрова А.Г., Слуковская М.В., Корнейкова М.В., Иванова Л.А., Кременецкая И.П. Применение пироксенового продукта обогащения вермикулит-лизардитовых отходов для ремедиации торфяной почвы в импактной зоне Кольской ГМК // Тр. Ферсмановской научной сессии ГИ КНЦ РАН. 2020. № 17. С. 437–441. https://doi.org/10.31241/fns.2020.17.084
- Положение о порядке вырубки (прореживания) зеленых насаждений на территории городского округа Апатиты. Утверждено постановлением Администрации города Апатиты от 19.10.2018. Апатиты, 2018.
- Правила благоустройства и санитарного содержания территории муниципального образования города Апатиты с подведомственной территорией Мурманской области. Утверждены решением Совета депутатов города Апатиты от 23.10.2017 № 548. Апатиты, 2017.
- Прокофьева Т.В., Герасимова М.И. Городские почвы: диагностика и классификационное определение по материалам научной экскурсии конференции SUITMA-9 по Москве // Почвоведение. 2018. № 9. С. 1057–1070. https://doi.org/10.1134/S0032180X18090095
- Прокофьева Т.В., Герасимова М.И., Безуглова О.С., Горбов С.Н., Бахматова К.А., Матинян Н.Н., Гольева А.А., Жарикова Е.А., Наквасина Е.Н., Сивцева Н.Е. Введение почв и почвоподобных образований городских территорий в классификацию почв России // Почвоведение. 2014. № 10. С. 1155–1164. https://doi.org/10.31857/S0032180X20120114
- Прокофьева Т.В., Мартыненко И.А., Иванников Ф.А. Систематика почв и почвообразующих пород города Москвы и возможность включения их в общую классификацию // Почвоведение. 2011. № 5. С. 611–623. https://doi.org/10.31857/S0032180X20120114
- Саржанов Д.А., Васенев В.И., Сотникова Ю.Л., Тембо А., Васенев И.И., Валентини Р. Краткосрочная динамика и пространственная неоднородность эмиссии СО2 почвами естественных и городских экосистем Центрально-Черноземного региона // Почвоведение. 2015. № 4. С. 469–478. https://doi.org/10.7868/S0032180X15040097
- Смагин А.В. Газовая фаза почв. М.: Изд-во МГУ, 2005. 301 с.
- Смагин А.В. Теория и практика конструирования почв. М.: МГУ, 2012. 544 с.
- Смагин А.В., Азовцева Н.А., Смагина М.В., Степанов А.Л., Мягкова А.Д., Курбатова А.С. Некоторые критерии и методы оценки экологического состояния почв в связи с озеленением городских территорий // Почвоведение. 2006. № 5. С. 603–615.
- Старцев В.В., Мазур А.С., Дымов А.А. Содержание и состав органического вещества почв Приполярного Урала // Почвоведение. 2020. № 12. С. 1478–1488. https://doi.org/10.31857/S0032180X20120114
- Anderson J.P.E., Domsch K.H. A physiological method for the quantitative measurement of microbial biomass in soils // Soil Biol. Biochem. 1978. V. 10. P. 215–221.
- Anderson T.H., Domsch K.H. Soil microbial biomass: The eco-physiological approach // Soil Biol. Biochem. 2010. V. 42. P. 2039–2043.
- Belshe E.F., Schuur E.A.G., Bolker B.M. Tundra ecosystems observed to be CO2 sources due to differential amplification of the carbon cycle // Ecol. Lett. 2013. V. 16. P. 1307–1315. https://doi.org/10.1111/ele.12164
- Berestovskaya Y.Y., Rusanov I.I., Vasil’eva L.V., Pimenov N.V. The processes of methane production and oxidation in the soils of the Russian Arctic tundra // Microbiology. 2005. V. 74. P. 221–229. https://doi.org/10.1007/s11021-005-0055-2
- Chen Q., Zhu R., Wang Q., Xu H. Methane and nitrous oxide fluxes from four tundra ecotopes in NyElesund of the High Arctic // J. Environ. Sci. 2014. V. 26. P. 1403–1410. https://doi.org/10.1016/j.jes.2014.05.005
- Crowdhury T.R., Berns E.C., Moon J.W, Gu B., Liang L., Wullschleger S.D. Graham D.E. Temporal, Spatial, and Temperature Controls on Organic Carbon Mineralization and Methanogenesis in Arctic High-Centered Polygon Soils Frontiers // Microbiology. 2021. V. 11. P. 616518. https://doi.org/10.3389/fmicb.2020.616518
- Deeb M., Groffman P.M., Blouin M., Egendorf S.P., Vergnes A., Vasenev V., Cao D.L., Walsh D., Morin T., Séré G. Using constructed soils for green infrastructure–challenges and limitations // Soil. 2020. V. 6. P. 413–434. https://doi.org/10.5194/soil-6-413-2020
- Desyatkin A.R., Takakai F., Fedorov P.P., Nikolaeva M.C., Desyatkin R.V., Hatano R. CH4 emission from different stages of thermokarst formation in central Yakutia. East Siberia // Soil Sci. Plant Nutr. 2009. V. 55. P. 558–570. https://doi.org/10.1111/j.1747-0765.2009.00389.x
- Dvornikov Y.A., Vasenev V.I., Romzaykina O.N., Grigorieva V.E., Litvinov Y.A., Gorbov S.N., Dolgikh A.V., Korneykova M.V., Gosse D.D. Projecting the urbanization effect on soil organic carbon stocks in polar and steppe areas of European Russia by remote sensing // Geoderma. 2021. V. 399. P. 115039. https://doi.org/10.1016/j.geoderma.2021.115039
- Goncharova O.Y., Matyshak G.V., Udovenko M.M., Bobrik A.A., Semenyuk O.V. Seasonal and annual variations in soil respiration of the artificial landscapes (Moscow Botanical Garden) // Urbanization: Challenge and Opportunity for Soil Functions and Ecosystem Services. Cham: Springer International Publishing, 2019. P. 112–122. https://doi.org/10.1007/978-3-319-89602-1_15
- Heijmans M.M.P.D., Magnusson R.I., Lara M.J. et al. Tundra vegetation change and impacts on permafrost // Nat. Rev. Earth Environ. 2022. V. 3. P. 68–84. https://doi.org/10.1038/s43017-021-00233-0
- https://ru.climate-data.org/
- https://www.weatheronline.co.uk/
- Ivanova L., Slukovskaya M., Kremenetskaya I., Alekseeva S., Neaman A. Ornamental Plant Cultivation Using Vermiculite-Lizardite Mining Waste in the Industrial Zone of the Subarctic // Springer Geography. 2020. P. 199–204. https://doi.org/10.1007/978-3-030-16091-3_22
- Ivashchenko K., Ananyeva N., Vasenev V., Sushko A., Selezneva A., Demina S., Kudeyarov V. Microbial C-availability and organic matter decomposition in urban soils of megapolis depend on functional zoning // Soil Environ. 2019. V. 38. P. 31–41.https://doi.org/10.25252/SE/19/61524
- Ivashchenko K., Ananyeva N., Selezneva A., Sushko A., Lepore E., Vasenev V., Demina S., Khabibulina F., Vaseneva I., Dolgikh A., Dovletyarova E., Marinari S. Assessing soil-like materials for ecosystem services provided by constructed technosols // Land. 2021. V 10. P. 1185. https://doi.org/10.3390/land10111185
- Karelin D., Goryachkin S., Zazovskaya E., Shishkov V., Pochikalov A., Dolgikh A., Sirin A., Suvorov G., Kraev G., Badmaev N., Badmaeva N., Tsybenov Y., Kulikov A., Danilov P., Savinov G., Desyatkin A., Desyatkin R. Greenhouse gas emission from the cold soils of Eurasia in natural setting and under human impact: controls on spatial variability // Geoderma Regional. 2020. T. 22. P. e00290. https://doi.org/10.1016/j.geodrs.2020.e00290
- Kim D., Chae N., Kim M., Nam S., Kim T.K., Park K.T., Lee B.Y., Kim E., Lee H. Microbial metabolic responses and CO2 emissions differentiated by soil water content variation in subarctic tundra soils // Microbiology. 2022. V. 60. P. 1130–1138. https://doi.org/10.1007/s12275-022-2378-3
- Kottek M., Grieser J., Beck C., Rudolf B., Rubel F. World Map of the Köppen-Geiger climate classification updated // Meteorologische Zeitschrift. 2006. V. 15. P. 259–265. https://doi.org/10.1127/0941-2948/2006/0130
- Köchy M., Hiederer R., Freibauer A. Global distribution of soil organic carbon. Part 1: Masses and frequency distributions of SOC stocks for the tropics, permafrost regions, wetlands, and the world // Soil. 2015. V. 1. P. 351–365. https://doi.org/10.5194/soil-1-351-2015
- Korneykova M.V., Vasenev V.I., Nikitin D.A., Soshina A.S., Dolgikh A.V., Sotnikova Y.L. Urbanization Affects Soil Microbiome Profile Distribution in the Russian Arctic Region // Int. J. Environ. Res. Public Health. 2021. V. 18(21). 11665. https://doi.org/10.3390/ijerph182111665
- Korneykova M.V., Vasenev V.I., Nikitin D.A. et al. Soil microbial community of urban green infrastructures in a polar city // Urban Ecosyst. 2022. V. 25. P. 1399–1415. https://doi.org/10.1007/s11252-022-01233-8
- Kremenetskaya I., Tereshchenko S., Alekseeva S., Mosendz I., Slukovskaya M., Ivanova L., Mikhailova I. Vermiculite-lizardite ameliorants from mining waste. IOP Conference Series: Earth and Environmental Science, 2019. 368 012027. https://doi.org/10.1088/1755-1315/368/1/012027
- Lal R. Carbon sequestration // Philosophical Transactions of the Royal Society B: Biological Sciences. 2008. V. 363(1492). P. 815–830. https://doi.org/10.1098/rstb.2007.2185
- Lara M.J., Nitze I., Grosse G., Martin P., McGuire A.D. Reduced arctic tundra productivity linked with landform and climate change interactions // Sci. Rep. 2018. V. 8. 2345. https://doi.org/10.1038/s41598-018-20692-8
- Lorenz K., Lal R. Managing soil carbon stocks to enhance the resilience of urban ecosystems // Carbon Manag. 2015. V. 6. P. 35–50. https://doi.org/10.1080/17583004.2015.1071182
- Madrid L., Diaz-Barrientos E., Ruiz-Cortes E., Reinoso R., Biasioli M., Davidson C.M., Duarte, A.C., Ajmone-Marsan F. Variability in concentrations of potentially toxic elements in urban parks from six European cities // J. Environ. Monitoring. 2006. V. 8. P. 1158–1165.
- Masson-Delmotte V., Zhai P., Pirani A., Connors S.L., Péan C., Berger S., Caud N., Chen Y., Goldfarb L. et al. Climate Change 2021: The Physical Science Basis; Contribution of Working Group I to the Sixth Assessment Report of the Intergovernmental Panel on Climate Change; Cambridge University Press: United Kingdom, 2021. 42 p.
- Mikhaylova I., Slukovskaya M., Mosendz I., Kremenetskaya I., Karavayeva E., Drogobuzhskaya S. Application of Silicon-Contained Mining Wastes in Urban Greening. In book: Urbanization: Challenge and Opportunity for Soil Functions and Ecosystem Services. Springer International Publishing AG, part of Springer Nature. 2019. P. 145–152. https://doi.org/10.1007/978-3-319-89602-1_18
- Mustonen T., Van Dam B. Towards a shared understanding of Arctic climate change and urgency in Alaska // Geogr. J. 2021. V. 187. P. 269-277. https://doi.org/10.1111/geoj.12382
- Namsaraev Z., Bobrik A., Kozlova A., Krylova A., Rudenko A., Mitina A., Saburov A., Patrushev M., Karnachuk O., Toshchakov S. Carbon Emission and Biodiversity of Arctic Soil Microbial Communities of the Novaya Zemlya and Franz Josef Land Archipelagos // Microorganisms. 2023. V. 11. P. 482. https://doi.org/10.3390/microorganisms11020482
- Oechel W.C., Billings W.D. Effects of global change on the carbon balance of arctic plants and ecosystems / Arctic Ecosystems in a Changing Climate: An Ecophysiological Perspective. Amsterdam: Elsevier, 1992. P. 139–168.
- Ping C.L., Jastrow J.D., Jorgenson M.T., Michaelson G.J., Shur Y.L. Permafrost soils and carbon cycling // Soil. 2015. V. 1. P. 147–171. https://doi.org/10.5194/soil-1-147-2015
- Petrescu A., Lohila A., Tuovinen J.-P. et al. The uncertain climate footprint of wetlands under human pressure // PNAS Early Edition. 2015. V. 112. P. 4594–4599. https://doi.org/10.1073/pnas.1416267112
- Polyakov V., Petrova A., Kozlov A., Abakumov E. Toxicological state and chemical properties of soils in urbanized ecosystems of Murmansk // Czech Polar Rep. 2018. V. 8. P. 230–242. https://doi.org/10.5817/CPR2018-2-19
- Pouyat R.V., Yesilonis I.D., Nowak D.J. Carbon storage by urban soils in the United States // J. Environ. Quality. 2006. V. 35. P. 1566–1575 https://doi.org/10.2134/jeq2005.0215
- Pouyat R.V., Yesilonis I.D., Dombos M., Szlavecz K., Setälä H., Cilliers S., Hornung E., Yarwood S. A global comparison of surface soil characteristics across five cities: A test of the urban ecosystem convergence hypothesis // Soil Sci. 2015. V. 180. P. 136–145. https://doi.org/10.1097/SS.0000000000000125
- Prokof’eva T.V., Kiryushin A.V., Shishkov V.A., Ivannikov F.A. The importance of dust material in urban soil formation: the experience on study of two young Technosols on dust depositions // J. Soils Sediments. 2017. V. 17. P. 515–524. https://doi.org/10.1007/s11368-016-1546-7
- Qian Y.L., Bandaranayake W., Parton W.J., Mecham B., Harivandi M.A., Mosier A.R. Long-term effects of clipping and nitrogen management in turfgrass on soil organic carbon and nitrogen dynamics: the century model simulation // J. Env. Qual. 2003. V. 32. P. 1694–700. https://doi.org/10.2134/jeq2003.1694
- Richter S., Haase D., Thestorf K., Makki M. Carbon pools of berlin, germany: organic carbon in soils and aboveground in trees // Urban For. Urban Green. 2020. V. 54. P. 126777. https://doi.org/10.1016/j.ufug.2020.126777
- Rühland K.M., Paterson A.M., Keller W., Michelutti N., Smol J.P. Global warming triggers the loss of a key Arctic refugium // Proc. Biol. Sci. 2013. 280. P. 20131887. https://doi.org/10.1098/rspb.2013.1887
- Sierra C.A. Temperature sensitivity of organic matter decomposition in the Arrhenius equation: Some theoretical considerations // Biogeochemistry. 2012. V. 108. P. 1–3. https://doi.org/10.1007/s10533-011-9596-9
- Shchepeleva A.S., Vasenev V.I., Mazirov I.M., Vasenev I.I., Prokhorov I.S., Gosse D.D. Changes of soil organic carbon stocks and CO2 emissions at the early stages of urban turf grasses’ development // Urban Ecosystems. 2017. V. 20. P. 309–321. https://doi.org/10.1007/s11252-016-0594-5
- Schuur E.A.G., McGuire A.D., Grosse G., Harden J.W., Hayes D.J., Hugelius G., Koven C.D., Kuhry P. Climate change and the permafrost carbon feedback // Nature. 2015. V. 520. P. 171–179. https://doi.org/10.1038/nature14338
- Slukovskaya M.V., Vasenev V.I., Ivashchenko K.V., Morev D.V., Drogobuzhskaya S.V., Ivanova L.A., Kremenetskaya I.P. Technosols on mining wastes in the subarctic: Efficiency of remediation under Cu-Ni atmospheric pollution // Int. Soil Water Conserv. Res. 2019. V. 7. P. 297–307. https://doi.org/10.1016/j.iswcr.2019.04.002
- Slukovskaya M.V., Kremenetskaya I.P., Drogobuzhskaya S.V., Novikov A.I. Sequential extraction of potentially toxic metals: Alteraion of method for Cu-Ni polluted peat soil of industrial barren // Toxics. 2020. V. 8. P. 39. https://doi.org/10.3390/toxics8020039
- Slukovskaya M.V., Vasenev V.I., Ivashchenko K.V. et al. Organic matter accumulation by alkaline-constructed soils in heavily metal-polluted area of Subarctic zone // J. Soils Sediments. 2021. V. 21. P. 2071–2088. https://doi.org/10.1007/s11368-020-02666-4
- Smagin A.V. Biodegradation of some organic materials in soils and soil constructions: Experiments, modeling and prevention // Materials (Basel). 2018. V. 11. P. 1–22.
- Sushko S., Ananyeva N., Ivashchenko K., Vasenev V., Kudeyarov V. Soil CO2 emission, microbial biomass, and microbial respiration of woody and grassy areas in Moscow (Russia) // J. Soil. Sediment. 2019. V. 19. P. 3217–3225. https://doi.org/10.1007/s11368-018-2151-8
- Tarnocai C., Canadell J.G., Schuur E.A., Kuhry P., Mazhitova G., Zimov S. Soil Organic Carbon Pools in the Northern Circumpolar Permafrost Region // Glob. Biogeochem. Cycles. 2009. V. 23. P. GB2023. https://doi.org/10.1029/2008GB003327
- Varentsov M., Konstantinov P., Baklanov A., Esau I., Miles V., Davy R. Anthropogenic and natural drivers of a strong winter urban heat island in a typical arctic city. Atmospheric Chemistry and Physics. 2018. V. 18. P. 17573–17587. https://doi.org/10.5194/acp-18-17573-2018
- Vasenev V.I., Stoorvogel J.J., Dolgikh A.V., Ananyeva N.D., Ivashchenko K.V., Valentini R. Changes in soil organic carbon stocks by urbanization // Urban Soils. Boca Raton: CRC Press, 2017. P. 61–92. https://doi.org/10.1201/9781315154251
- Vasenev V.I., Stoorvogel J.J., Vasenev I.I. Urban soil organic carbon and its spatial heterogeneity in comparison with natural and agricultural areas in the Moscow region // Catena. 2013. V. 107. P. 96–102. https://doi.org/10.1016/j.catena.2013.02.009
- Vasenev V.I., Varentsov M., Konstantinov P., Romzaykina O. Projecting urban heat island effect on the spatial-temporal variation of microbial respiration in urban soils of Moscow megalopolis // Sci. Total Environ. 2021. V. 786. P. 147457. https://doi.org/10.1016/j.scitotenv.2021.147457
- White D.M., Garland D.S., Ping C.L., Michaelson G. Characterizing soil organic matter quality in arctic soil by cover type and depth // Cold Regions Science and Technology. 2004. V. 38. P. 63–73.
- Yang J., Yu F., Yu Y., Zhang J., Wang R., Srinivasulu M., Vasenev V.I. Characterization, source apportionment, and risk assessment of polycyclic aromatic hydrocarbons in urban soil of Nanjing, China // J. Soil. Sediment. 2017. V. 17. P. 1116–1125. https://doi.org/10.1007/s11368-016-1585-0
- Zirkle G., Lal R., Augustin B. Modeling carbon sequestration in home lawns // HortScience. 2011. V. 46. P. 808–814. https://doi.org/10.21273/hortsci.46.5.808
- Zubova E.M., Kashulin N.A., Dauvalter V.A., Denisov D.B., Valkova S.A., Vandysh O.I., Slukovskii Z.I., Terentyev P.M., Cherepanov A.A. Long-Term Environmental Monitoring in an Arctic Lake Polluted by Metals under Climate Change // Environments. 2020. V. 7. P. 34. https://doi.org/10.3390/environments7050034
Supplementary files






