Коэффициенты пересчета содержания двухцепочечной ДНК в углерод микробной биомассы почв
- Авторы: Чернышева Е.В.1, Форназьер Ф.2, Борисов А.В.1
-
Учреждения:
- Институт физико-химических и биологических проблем почвоведения РАН
- Soliomics
- Выпуск: № 5 (2023)
- Страницы: 664-675
- Раздел: ПОЧВЕННЫЙ МИКРОБИОМ В УСЛОВИЯХ АНТРОПОГЕННОГО ВОЗДЕЙСТВИЯ
- URL: https://bakhtiniada.ru/0032-180X/article/view/138095
- DOI: https://doi.org/10.31857/S0032180X2260127X
- EDN: https://elibrary.ru/IEOYRG
- ID: 138095
Цитировать
Полный текст
Аннотация
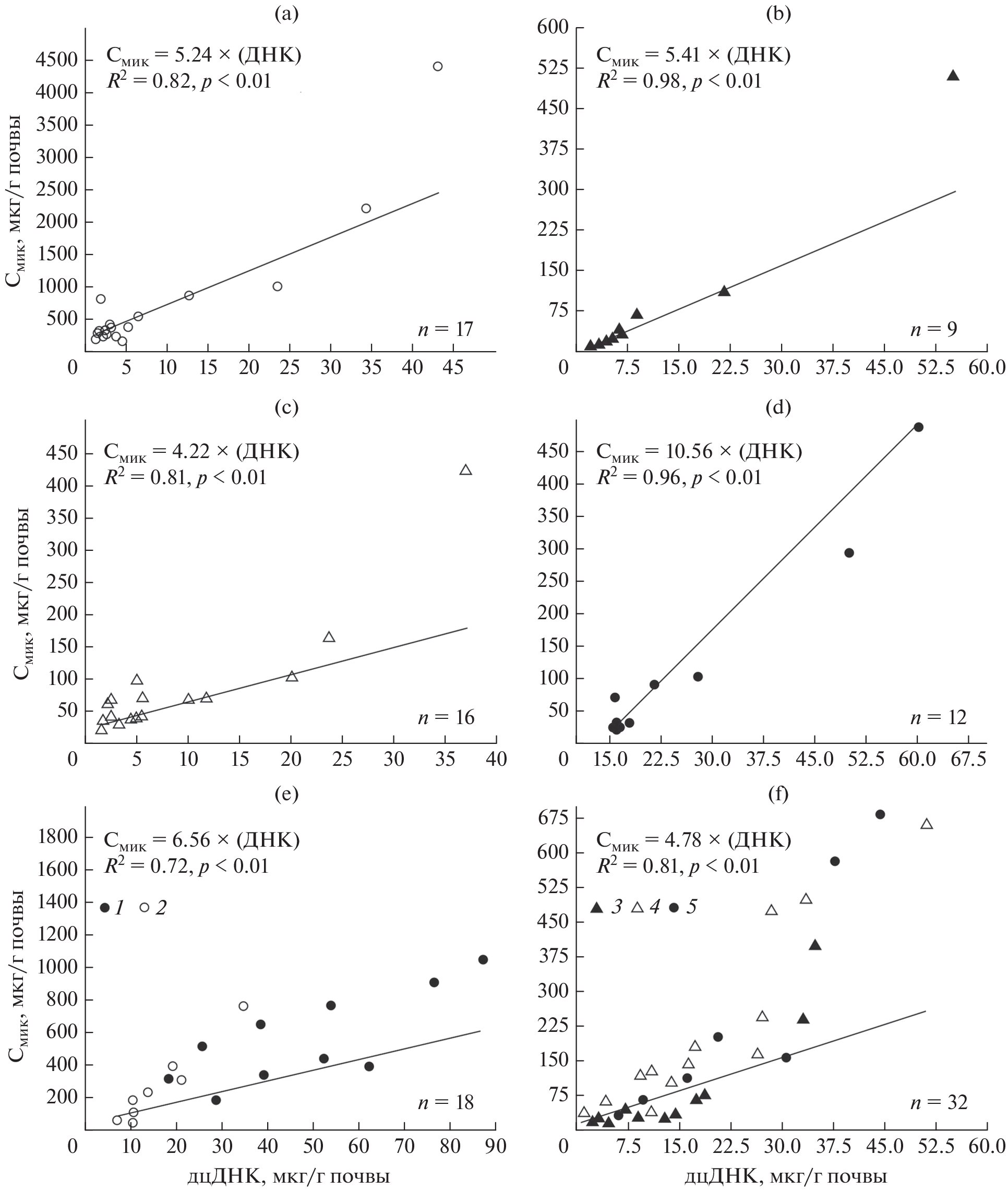
Проведено исследование взаимосвязи концентрации почвенной ДНК и микробной биомассы, определенной методом субстрат-индуцированного дыхания, в широком ряду почв, различающихся по гранулометрическому составу, кислотности, содержанию органического углерода, микробной биомассе, различных по характеру хозяйственного использования в древности и в настоящее время. В качестве объектов исследования выбраны темногумусовые почвы сельскохозяйственных угодий на Центральном Кавказе, стратоземы земледельческих террас позднего средневековья – нового времени в среднегорной зоне Восточного Кавказа, каштановые почвы и солонцы на участках с различной интенсивностью выпаса в сухостепной зоне (Ростовская область). Показано, что определение концентрации почвенной двухцепочечной ДНК является надежным и простым методом исследования микробной биомассы в почвах со средне-, тяжелосуглинистым гранулометрическим составом, содержанием органического углерода не более 2%, микробной биомассы не более 700 мкг С/г сухой почвы. Пересчетный коэффициент FДНК в таких почвах варьировал в узком диапазоне от 5.24 до 5.41. В почвах с высоким содержанием органического углерода наблюдалось завышение FДНК (6.56 и 10.56) из-за присутствия устойчивой к разложению внеклеточной ДНК. Почва легкого гранулометрического состава на песчаниках характеризовалась меньшей степенью сохранности ДНК, что привело к уменьшению определяемой микробной биомассы (FДНК = 4.22). Пониженный коэффициент пересчета FДНК (4.78) выявлен в почвах естественных пастбищ в сухостепной зоне, что подтверждает известные ограничения возможностей использования метода субстрат-индуцированного дыхания в щелочных почвах. Хозяйственная деятельность не оказывает значимого влияния на взаимосвязь количества почвенной ДНК и микробной биомассы.
Об авторах
Е. В. Чернышева
Институт физико-химических и биологических проблем почвоведения РАН
Автор, ответственный за переписку.
Email: e.chernyysheva@yandex.ru
Россия, 142290, Пущино, ул. Институтская, 2а
Ф. Форназьер
Soliomics
Email: e.chernyysheva@yandex.ru
Италия, 33100, Удине, Виа дель Котонифичо, 129/В
А. В. Борисов
Институт физико-химических и биологических проблем почвоведения РАН
Email: e.chernyysheva@yandex.ru
Россия, 142290, Пущино, ул. Институтская, 2а
Список литературы
- Агроклиматические ресурсы Калмыцкой АССР. Л.: Гидрометеорологическое изд-во, 1974. 124 с.
- Агроклиматические ресурсы Ставропольского края. Л.: Гидрометеорологическое изд-во, 1971. 238 с.
- Борисов А.В., Каширская Н.Н., Ельцов М.В., Пинской В.Н., Плеханова Л.Н., Идрисов И.А. Почвы древних земледельческих террас Восточного Кавказа // Почвоведение. 2021. № 5. С. 542–557. https://doi.org/10.31857/S0032180X2105004X
- Минкин М.Б., Бабушкин В.М., Садименко П.А. Солонцы юго-востока Ростовской области. Ростов-на-Дону: Изд-во Рост. ун-та, 1980. 271 с.
- Теории и методы физики почв. Коллективная монография / Под ред. Е.В. Шеина и Л.О. Карпачевского. М.: Гриф и К, 2007. 616 с.
- Anderson J.P.E., Domsch K.H. Physiological method for quantitative measurement of microbial biomass in soils // Soil Biol. Biochem. 1978. V. 10. P. 215–221.https://doi.org/10.1016/0038-0717(78)90099-8
- Anderson T.-H., Martens R. DNA determinations during growth of soil microbial biomasses // Soil Biol. Biochem. 2013. V. 57. P. 487–495.https://doi.org/10.1016/j.soilbio.2012.09.031
- Bachoon D.S., Otero E., Hodson R.E. Effects of humic substances on fluorometric DNA quantification and DNA hybridization // J. Microbiological Methods. 2001. V. 47. P. 73–82. https://doi.org/10.1016/S0167-7012(01)00296-2
- Beck T., Joergensen R.G., Kandeler E., Makeschin F., Nuss E., Oberholzer H.R., Scheu S. An inter-laboratory comparison of ten different ways of measuring soil microbial biomass // Soil Biol. Biochem. 1997. V. 29. P. 1023–1032. https://doi.org/10.1016/S0038-0717(97)00030-8
- Blagodatskaya E.V., Blagodatskii S.A., Anderson T.-H. Quantitative isolation of microbial DNA from different types of soils of natural and agricultural ecosystems // Microbiology. 2003. V. 72(6). P. 744–749. https://doi.org/10.1023/B:MICI.0000008379.63620.7b
- Blum S.A.E., Lorenz M.G., Wackernagel W. Mechanism of retarded DNA degradation and prokaryotic origin of DNases in nonsterile soils // Systematic and Applied Microbiology. 1997. V. 20. P. 513–521. https://doi.org/10.1016/S0723-2020(97)80021-5
- van den Boogaart K.G., Filzmoser P., Hron K., Templ M., Tolosana-Delgado R. Classical and robust regression analysis with compositional data // Mathematical Geosciences. 2021. V. 53. P. 823–858. https://doi.org/10.1007/s11004-020-09895-w
- Chernysheva E., Khomutova T., Fornasier F., Kuznetsova T., Borisov A. Effects of long-term medieval agriculture on soil properties: A case study from the Kislovodsk basin, Northern Caucasus, Russia // J. Mountain Sci. V. 15. P. 1171–1185. https://doi.org/10.1007/s11629-017-4666-7
- Crecchio C., Stotzky G. Binding of DNA on humic acids: effect on transformation of Bacillus subtilis and resistance to DNase // Soil Biol. Biochem. 1998. V. 30. P. 1060–1067. https://doi.org/10.1016/S0038-0717(97)00248-4
- Fornasier F., Ascher J., Ceccherini M.T., Tomat E., Pietramellara G. A simplified rapid, low-cost and versatile DNA-based assessment of soil microbial biomass // Ecological Indicators. 2014. V. 45. P. 75–82. https://doi.org/10.1016/j.ecolind.2014.03.028
- Gangneux C., Akpa-Vincesla M., Sauvage H., Desaire S., Houot S., Laval K. Fungal, bacterial and plant dsDNA contributions to soil total DNA extracted from silty soils under different farming practices: relationships with chloroform-labile carbon // Soil Biol. Biochem. 2011. V. 43. P. 431–437. https://doi.org/10.1016/j.soilbio.2010.11.012
- Georgiou C.D., Papapostolou I. Assay for the quantification of intact/fragmented genomic DNA // Analyt. Biochem. 2006. V. 358. P. 247–256.https://doi.org/10.1016/j.ab.2006.07.035
- Gong H., Du Q., Xie S., Hu W., Akram M.A., Hou Q., Dong L., Sun Y., Manan A., Deng Y., Ran J., Deng J. Soil microbial DNA concentration is a powerful indicator for estimating soil microbial biomass C and N across arid and semi-arid regions in northern China // Appl. Soil Ecology. 2021. V. 160. P. 103863. https://doi.org/10.1016/j.apsoil.2020.103869
- Griffiths, B.S., Díaz-Raviña, M., Ritz, K., McNicol, J.W., Ebblewhite, N., Bååth, E. Community DNA hybridisation and % G + C profiles of microbial communities from heavy metal polluted soils // FEMS Microbiol. Ecol. 1997. V. 24. P. 103–112. https://doi.org/10.1111/j.1574-6941.1997.tb00427.x
- Homburg J.A., Sandor J.A. Anthropogenic effects on soil quality of ancient agriculture systems of the American Southwest // Catena. 2011. V. 85. P. 144–154. https://doi.org/10.1016/j.catena.2010.08.005
- Joergensen R.G., Emmerling C. Methods for evaluating human impact on soil microorganisms based on their activity, biomass, and diversity in agricultural soils // J. Plant Nutrition Soil Sci. 2006. V. 169. P. 295–309. https://doi.org/10.1002/jpln.200521941
- Khomutova T.E., Fornasier F., Yeltsov M.V., Chernysheva E.V., Borisov A.V. Influence of grazing on the structure and biological activity of dry steppe soils of the southern Russian Plain // Land Degradation Development. V. 32. P. 4832–4844. https://doi.org/10.1002/ldr.4032
- Leckie S.E., Prescott C.E., Grayston S.J., Neufeld J.D., Mohn W.W. Comparison of chloroform fumigation-extraction, phospholipid fatty acid, and DNA methods to determine microbial biomass in forest humus // Soil Biol. Biochem. V. 36. P. 529–532. https://doi.org/10.1016/j.soilbio.2003.10.014
- Levy-Booth D.J., Campbell R.G., Gulden R.H., Hart M.M., Powell J.R., Klironomos J. N., Pauls K.P., Swanton C.J., Trevors J.T., Dunfield K.E. Cycling of extracellular DNA in the soil environment // Soil Biol. Biochem. 2007. V. 39. P. 2977–2991. https://doi.org/10.1016/j.soilbio.2007.06.020
- Lloyd-Jones G., Hunter D.W.F. Comparison of rapid DNA extraction methods applied to contrasting New Zealand soils // Soil Biol. Biochem. 2001. V. 33. P. 2053–2059. https://doi.org/10.1016/S0038-0717(01)00133-X
- Lorenz M.G., Wackernagel W. Adsorption of DNA to sand and variable degradation rates of adsorbed DNA // Appl. Environ. Microbiol. 1987. V. 53. P. 2948–2952. https://doi.org/10.1128%2Faem.53.12.2948-2952.1987
- Marstorp H., Witter E. Extractable dsDNA and product formation as measures of microbial growth in soil upon substrate addition // Soil Biol. Biochem. 1999. V. 31. P. 1443–1453. https://doi.org/10.1016/S0038-0717(99)00065-6
- Morrissey E.M., McHugh T.A., Preteska L., Hayer M., Dijkstra P., Hungate B.A., Schwartz E. Dynamics of extracellular DNA decomposition and bacterial community composition in soil // Soil Biol. Biochem. 2015. V. 86. P. 42–49. https://doi.org/10.1016/j.soilbio.2015.03.020
- Mueller T., Joergensen R.G., Meyer B. Estimation of soil microbial biomass C in the presence of living roots by fumigation-extraction // Soil Biol. Biochem. 1992. V. 24. P. 179–181. https://doi.org/10.1016/0038-0717(92)90275-3
- Muneer M., Oades J.M. The role of Ca-organic interactions in soil aggregate stability. 1. Laboratory studies with glucose-C-14, CaCO3 and CaSO4·H2O // Austral. J. Soil Res. 1989. V. 27. P. 389–399. https://doi.org/10.1071/SR9890389
- Muneer M., Oades J.M. The role of Ca-organic interactions in soil aggregate stability. 2. Field studies with C-14-labeled straw, CaCO3 and CaSO4·H2O // Austral. J. Soil Res. 1989b. V. 27. P. 401–409. https://doi.org/10.1071/SR9890401
- Paget E., Monrozier L.J., Simonet P. Adsorption of DNA on clay minerals: protection against DNase I and influence on gene transfer // FEMS Microbiol. Lett. 1992. V. 97. P. 31–40. https://doi.org/10.1016/0378-1097(92)90359-V
- Semenov M., Blagodatskaya E., Stepanov A., Kuzyakov Ya. DNA-based determination of soil microbial biomass in alkaline and carbonaceous soils of semi-arid climate // J. Arid Environ. 2018. V. 150. P. 54–61. https://doi.org/10.1016/j.jaridenv.2017.11.013
- Wiesmeier M., Urbanski L., Hobley E., Lang B., von Lützow M., Marin-Spiotta E., van Wesemael B., Rabot E., Liess M., Garcia-Franco N., Wollschläger U., Vogen H.-J., Kögel-Knabner I. Soil organic carbon storage as a key function of soils - A review of drivers and indicators at various scales // Geoderma. 2019. V. 333. P. 149–162. https://doi.org/10.1016/j.geoderma.2018.07.026
- Yokoyama S., Yuri K., Nomi T., Komine M., Nakamura S., Hattori H., Rai H. The high correlation between DNA and chloroform-labile N in various types of soil // App-l. Soil Ecol. 2017. V. 117–118. P. 1–9. https://doi.org/10.1016/j.apsoil.2017.04.002
Дополнительные файлы






