Влияние глифосата на биологическую активность и фитотоксичность дерново-подзолистой почвы в условиях краткосрочного модельного эксперимента
- Авторы: Костина Н.В.1, Горленко М.В.1, Мазуров К.А.1, Филиппова О.И.1, Плющенко И.В.1, Родин И.А.1, Куликова Н.А.1,2
-
Учреждения:
- МГУ им. М.В. Ломоносова
- Институт биохимии РАН им. А.Н. Баха, Федеральный исследовательский центр “Фундаментальные основы биотехнологии” РАН
- Выпуск: № 5 (2023)
- Страницы: 613-625
- Раздел: СЕЛЬСКОХОЗЯЙСТВЕННАЯ МИКРОБИОЛОГИЯ
- URL: https://bakhtiniada.ru/0032-180X/article/view/138083
- DOI: https://doi.org/10.31857/S0032180X22601293
- EDN: https://elibrary.ru/IEVLQD
- ID: 138083
Цитировать
Полный текст
Аннотация
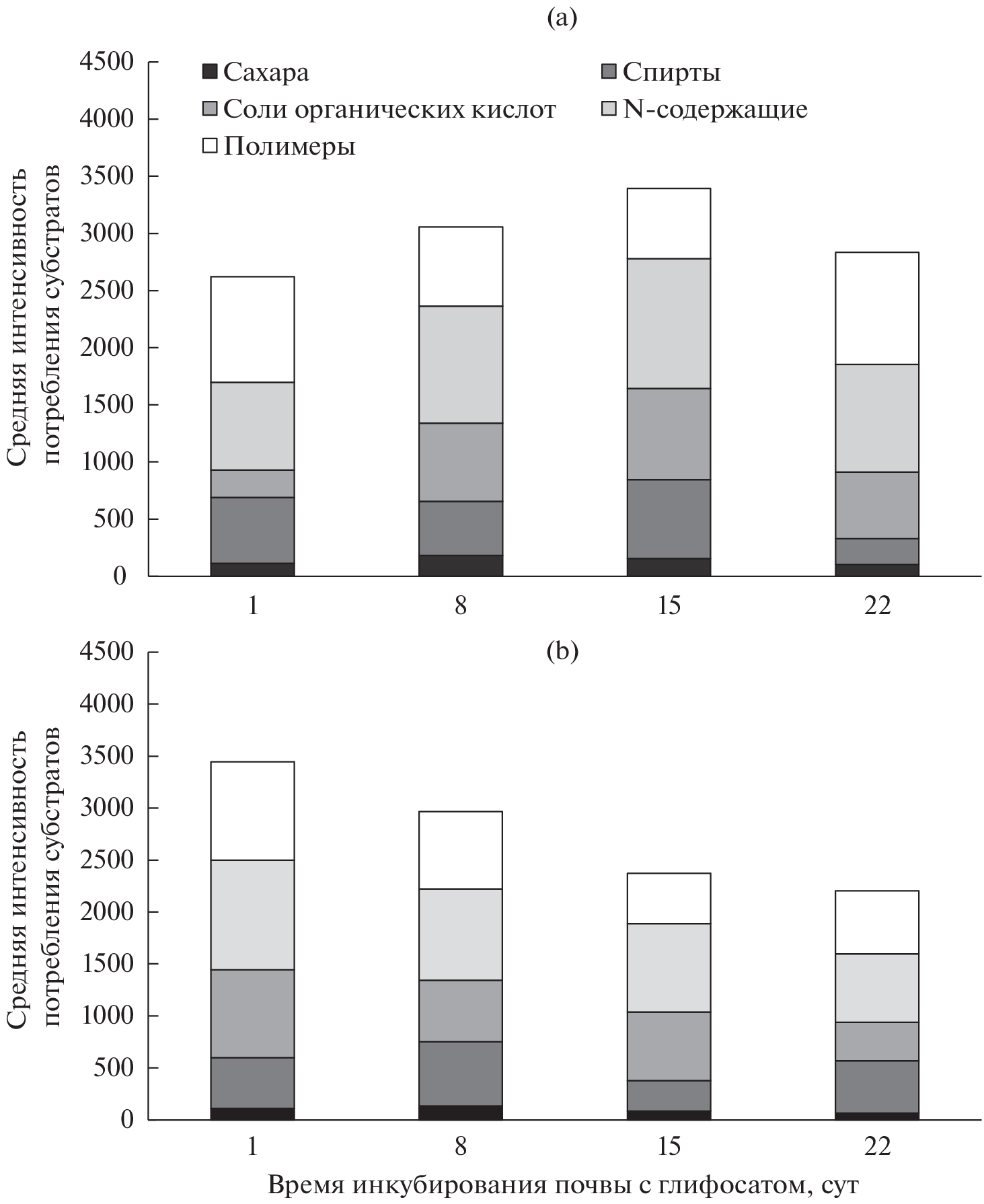
В модельном лабораторном эксперименте с пахотным горизонтом дерново-подзолистой почвы (Albic Retisol (Loamic)), имеющим низкое содержание органического вещества и низкую биологическую активность, установлено, что внесение глифосата приводит к кратковременному изменению интенсивности основных процессов микробной трансформации азота в почве. При инкубировании почвы с глифосатом в максимальной рекомендуемой дозе 8 л/га в течение 22 сут наблюдается рост азотфиксирующей и денитрифицирующей активности на 30–80 и 300% и снижение процесса нитрификации на 20–40%. Эффекты носят кратковременный характер и не отражают всего комплекса протекающих микробиологических процессов: на эмиссию CO2, являющегося интегральным показателем биологической активности, влияния глифосата не обнаружено. В конце инкубирования в почве с внесенным глифосатом отмечен рост численности бактерий на 40% и снижение численности микромицетов на 70%. В целом в выбранных условиях внесение глифосата привело к выраженному снижению биологической активности почвы по сравнению с контролем. Изучение функционального биоразнообразия почвенных микробных сообществ методом мультисубстратного тестирования показало, что под действием гербицида происходит снижение устойчивости почвенного микробного сообщества, выражающееся в увеличении значения коэффициента рангового распределения спектров потребления субстратов d, сопровождающееся уменьшением удельной метаболической работы W и интегрального индекса витальности G. Впервые показано, что при внесении глифосата в почву с низкой биологической активностью и обеспеченностью доступным фосфором наблюдается выраженное отрицательное действие препарата на почвенные микроорганизмы, что приводит к угнетению роста растений пшеницы.
Ключевые слова
Об авторах
Н. В. Костина
МГУ им. М.В. Ломоносова
Автор, ответственный за переписку.
Email: nvkostina@mail.ru
Россия, 119991, Москва, Ленинские горы, 1
М. В. Горленко
МГУ им. М.В. Ломоносова
Email: nvkostina@mail.ru
Россия, 119991, Москва, Ленинские горы, 1
К. А. Мазуров
МГУ им. М.В. Ломоносова
Email: nvkostina@mail.ru
Россия, 119991, Москва, Ленинские горы, 1
О. И. Филиппова
МГУ им. М.В. Ломоносова
Email: nvkostina@mail.ru
Россия, 119991, Москва, Ленинские горы, 1
И. В. Плющенко
МГУ им. М.В. Ломоносова
Email: nvkostina@mail.ru
Россия, 119991, Москва, Ленинские горы, 1
И. А. Родин
МГУ им. М.В. Ломоносова
Email: nvkostina@mail.ru
Россия, 119991, Москва, Ленинские горы, 1
Н. А. Куликова
МГУ им. М.В. Ломоносова; Институт биохимии РАН им. А.Н. Баха, Федеральный исследовательский центр“Фундаментальные основы биотехнологии” РАН
Email: nvkostina@mail.ru
Россия, 119991, Москва, Ленинские горы, 1; Россия, 119071, Москва, Ленинский пр-т, 33
Список литературы
- Аринушкина Е.В. Руководство по химическому анализу почв. М.: Изд-во Моск. ун-та, 1970. 488 с.
- Горленко М.В., Якименко О.С., Голиченков М.В., Костина Н.В. Функциональное биоразнообразие почвенных микробных сообществ при внесении органических субстратов различной природы // Вестник Моск. ун-та. Сер. 17, почвоведение. 2012. № 2. С. 20–27.
- Железова А.Д., Манучарова Н.А., Горленко М.В. Структурные и функциональные характеристики прокариотного комплекса дерново-подзолистой почвы под воздействием гербицида глифосата // Вестник Моск. ун-та. Сер. 17, почвоведение. 2018. № 2. С. 48–54.
- Методика выполнения измерений интенсивности потребления тест-субстратов микробными сообществами почв и почвоподобных объектов фотометрическим методом: ФР.1.37.2010.08619; ПНД ФТ 16.1.17-10. М., 2010.
- Методы почвенной микробиологии и биохимии / Под ред. Звягинцева Д.Г. М.: Изд-во Моск. ун-та, 1991. 303 с.
- Свиридов А.В., Шушкова Т.В., Ермакова И.Т., Иванова Е.В., Эпиктетов Д.О., Леонтьевский А.А. Микробная деградация гербицида глифосата (обзор) // Прикладная биохимия и микробиология. 2015. № 2. С. 183–190. https://doi.org/10.7868/S0555109915020221
- Степанов А.Л., Лысак Л.В. Методы газовой хроматографии в почвенной микробиологии. М.: МАКС Пресс, 2002. 88 с.
- Умаров М.М., Кураков А.В., Степанов А.Л. Микробиологическая трансформация азота в почве. М.: ГЕОС, 2007. 138 с.
- Филиппова О.И., Куликова Н.А., Бычкова Я.С., Воликов А.Б., Перминова И.В. Замедленное высвобождение азота из гуминовых веществ, модифицированных аминоорганосиланами // Проблемы агрохимии и экологии. 2015. № 1. С. 42–47.
- Южанинова Л.А. Глифосат: применение на российском и глобальном рынках // Agroxxi.ru: агропромышленный портал. М., 1995–2022. https://www.agroxxi.ru/gazeta-zaschita-rastenii/zrast/glifosat-primenenie-na-rossiiskom-i-globalnom-rynkah.html (дата обращения: 27.07.2022).
- Adero V.O., Raju N.S., Supreeth M. Effect of glyphosate herbicide on nitrogen fixing bacteria – Azotobacter species // J. Environ. Chem. Toxicol. 2020. V. 4. № 2. P. 1–7.
- Aristilde L., Reed M.L., Wilkes R.A., Youngster T., Kukurugya M.A., Katz V., Sasaki C.R.S. Glyphosate-induced specific and widespread perturbations in the metabolome of soil Pseudomonas species // Frontiers Environ. Sci. 2017. V. 5. 34. https://doi.org/10.3389/fenvs.2017.00034
- Atherton F.R., Hall M.J., Hassall C.H., Lambert R.W., Lloyd W.J., Ringrose P.S., Westmacott D. Antibacterial activity and mechanism of action of phosphonopeptides based on aminomethylphosphonic acid // Antimicrobial Agents and Chemotherapy. 1982. V. 22. P. 571–578.
- Borggaard O.K., Gimsing L. Fate of glyphosate in soil and the possibility of leaching to ground and surface waters: a review // Pest Management Sci. 2008. V. 64. P. 441–456. https://doi.org/10.1002/ps.1512
- Bott S., Tesfamariam T., Kania A., Eman B., Aslan N., Römheld V., Neumann G. Phytotoxicity of glyphosate soil residues re-mobilised by phosphate fertilization // Plant and Soil. 2011. V. 342. P. 249–263. https://doi.org/10.1007/s11104-010-0689-3
- Carlisle S.M., Trevors J.T. Effect of the herbicide glyphosate on nitrification, denitrification, and acetylene reduction in soil // Water, Air Soil Poll. 1986. V. 29. P. 189–203. https://doi.org/10.1007/BF00208408
- Chen M.X., Cao Z.Y., Jiang Y., Zhu Z.W. Direct determination of glyphosate and its major metabolite, aminomethylphosphonic acid, in fruits and vegetables by mixed-mode hydrophilic interaction/weak anion-exchange liquid chromatography coupled with electrospray tandem mass spectrometry // J. Chromatography A. 2013. V. 1272. P. 90–99.
- Cherni A.E., Trabelsi D., Chebil S., Barhoumi F., Rodríguez-Llorente I.D., Zribi K. Effect of glyphosate on enzymatic activities, Rhizobiaceae and total bacterial communities in an agricultural Tunisian soil // Water, Air Soil Poll. 2015. V. 226. 145. https://doi.org/10.1007/s11270-014-2263-8
- Dick R.E., Quinn J.P. Glyphosate-degrading isolates from environmental samples: occurrence and pathways of degradation // Appl. Microbiol Biotechnol. 1995. V. 43. P. 545–550. https://doi.org/10.1007/BF00218464
- Druart C., Delhomme O., de Vaufleury A., Ntcho E., Millet M. Optimization of extraction procedure and chromatographic separation of glyphosate, glufosinate and aminomethylphosphonic acid in soil // Analyt. Bioanalyt. Chem. 2011. V. 399. P. 1725–1732. https://doi.org/10.1007/s00216-010-4468-z
- Fuchs B., Laihonen M., Muola A., Saikkonen K., Dobrev P.I., Vankova R., Helander M.A. Glyphosate-based herbicide in soil differentially affects hormonal homeostasis and performance of non-target crop plants // Frontiers Plant Sci. 2022. V. 12. P. 787958. https://doi.org/10.3389/fpls.2021.787958
- Gomes M.P., Smedbol E., Chalifour A., Hénault-Ethier L., Labrecque M., Lepage L., Lucotte M., Juneau Ph. Alteration of plant physiology by glyphosate and its by-product aminomethylphosphonic acid: an overview // J. Experimental Botany. 2014. V. 65. P. 4691–4703. https://doi.org/10.1093/jxb/eru269
- Helander M., Pauna A., Saikkonen K., Saloniemi I. Glyphosate residues in soil affect crop plant germination and growth // Sci. Report. 2019. V. 9. P. 19653. https://doi.org/10.1038/s41598-019-56195-3
- Helander M., Saloniemi I., Saikkonen K. Glyphosate in northern ecosystems // Trends Plant Sci. 2012. V. 17. P. 569–574.
- ISO 10694:1995 Soil quality – Determination of organic and total carbon after dry combustion (elementary analysis).
- Jenkins M.B., Locke M.A., Reddy K.N., McChesney D.S., Steinriede R.W. Impact of glyphosate-resistant corn, glyphosate applications and tillage on soil nutrient ratios, exoenzyme activities and nutrient acquisition ratios // Pest Management Sci. 2017. V. 73. P. 78–86.
- Kulikova N.A., Philippova O.I., Bychkova Y.S., Volikov A.B., Perminova I.V. Nitrogen release from natural and aminoorganosilane-modified humic substances // Functions of Natural Organic Matter in Changing Environment. Dordrecht: Springer, 2013. https://doi.org/10.1007/978-94-007-5634-2_84
- Kyaw K.M., Toyota K. Suppression of nitrous oxide production by the herbicides glyphosate and propanil in soils supplied with organic matter // Soil Sci. Plant Nutrition. 2007. V. 53. P. 441–447. https://doi.org/10.1111/j.1747-0765.2007.00151.x
- Lancaster S.H., Hollister E.B., Senseman S.A., Gentry T.J. Effects of repeated glyphosate applications on soil microbial community composition and the mineralization of glyphosate // Pest Management Sci. 2010. V. 66. P. 59–64. https://doi.org/10.1002/ps.1831
- Leino L., Tall T., Helander M., Saloniemi I., Saikkonen K., Ruuskanen S., Puigbò P. Classification of the glyphosate target enzyme (5-enolpyruvylshikimate-3-phosphate synthase) for assessing sensitivity of organisms to the herbicide // J. Hazardous Materials. 2020. 124556. https://doi.org/10.1016/j.jhazmat.2020.124556
- Milosevic N., Govedarica M. Effect of herbicides on microbiological properties of soil // Matica Srpska J. Natural Sci. 2002. V. 102. P. 5–21.
- Munira S., Farenhorst A., Flaten D., Grant C. Phosphate fertilizer impacts on glyphosate sorption by soil // Chemosphere. 2016. V. 153. P. 471–477. https://doi.org/10.1016/j.chemosphere.2016.03.028
- Nardi S., Pizzeghello D., Gessa C., Ferrarese L., Trainotti L., Casadoro G. A low molecular weight humic fraction on nitrate uptake and protein synthesis in maize seedlings // Soil Biol. Biochem. 2000. V. 32. P. 415–419.
- Newman M.M., Hoilett N., Lorenz N., Dick R.P., Liles M.R., Ramsier C., Kloepper J.W. Glyphosate effects on soil rhizosphere-associated bacterial communities // Sci. Total Environ. 2016. V. 543. P. 155–160. https://doi.org/10.1016/j.scitotenv.2015.11.008
- Nguyen D.B., Rose M.T., Rose T.J., Morris S.G., van Zwieten L. Impact of glyphosate on soil microbial biomass and respiration: a meta-analysis // Soil Biol. Biochem. 2016. V. 92. P. 50–57. https://doi.org/10.1016/j.soilbio.2015.09.014
- Nivelle E., Verzeaux J., Chabot A., Roger D., Chesnais Q., Ameline A., Catterou M. Effects of glyphosate application and nitrogen fertilization on the soil and the consequences on aboveground and belowground interactions // Geoderma. 2018. V. 311. P. 45–57. https://doi.org/10.1016/j.geoderma.2017.10.0
- Nivelle E., Verzeaux J., Chabot A., Roger D., Spicher F., Lacoux J., Nava-Saucedo J.E., Catterou M., Tétu T. Does nitrogen fertilization history affects short-term microbial responses and chemical properties of soils submitted to different glyphosate concentrations // J. PLoS One. 2017. V. 12. e0178342.
- Okada E., Costa J.L., Bedmar F. Glyphosate dissipation in different soils under no-till and conventional tillage // Pedosphere. 2019. V. 29. P. 773–783.
- Silva V., Montanarella L., Jones A., Fernández–Ugalde O., Mol H.G.J., Ritsema C.J., Geissen V. Distribution of glyphosate and aminomethylphosphonic acid (AMPA) in agricultural topsoils of the European Union // Sci. Total Environ. 2018. V. 621. P. 1352–1359. https://doi.org/10.1016/j.scitotenv.2017.10.093
- Stratton G.W., Stewart K.E. Effects of the herbicide glyphosate on nitrogen cycling in an acid forest soil // Water Air Soil Pollution. 1991. V. 60. P. 231–247. https://doi.org/10.1007/BF00282625
- Tenuta M., Beauchamp E.G. Denitrification following herbicide application to a grass sward // Can. J. Soil Sci. 1996. V. 76. P. 15–22.
- Van Bruggen A.H.C., He M.M., Shin K., Mai V., Jeong K.C., Finckh M.R., Morris J.G., Jr. Environmental and health effects of the herbicide glyphosate // Sci. Total Environ. 2018. V. 616–617. P. 255–268. https://doi.org/10.1016/j.scitotenv.2017.10.309
- Zablotowicz R.M., Reddy K.N. Impact of glyphosate on the Bradyrhizobium japonicum symbiosis with glyphosate-resistant transgenic soybean: a mini review // J. Environ. Quality. 2004. V. 33. P. 825–831.
- Zhan H., Feng Y., Fan X., Chen S. Recent advances in glyphosate biodegradation // Appl. Microbiol. Biotechnol. 2018. V. 102. P. 5033–5043. https://doi.org/10.1007/s00253-018-9035-0
- Zhang M., Wang W., Tang L., Heenan M., Xu Z. Effects of nitrification inhibitor and herbicides on nitrification, nitrite and nitrate consumptions and nitrous oxide emission in an Australian sugarcane soil // Biol. Fertil. Soils. 2018. V. 54. P. 697–706. https://doi.org/10.1007/s00374-018-1293-6
Дополнительные файлы




