Laboratory Study of the Effect of Ammonium and Lanthanum Salts on Methane Oxidation and the Composition of Microbial Communities in Sod-Podzolic Soil
- Authors: Kravchenko I.K.1, Sizov L.R.1, Lysak L.V.2
-
Affiliations:
- Winogradsky Institute of Microbiology, Research Center of Biotechnology RAS
- Lomonosov Moscow State University
- Issue: No 5 (2023)
- Pages: 567-578
- Section: ЭКОЛОГИЯ ПОЧВЕННЫХ МИКРООРГАНИЗМОВ
- URL: https://bakhtiniada.ru/0032-180X/article/view/138067
- DOI: https://doi.org/10.31857/S0032180X22601384
- EDN: https://elibrary.ru/IFOLQM
- ID: 138067
Cite item
Full Text
Abstract
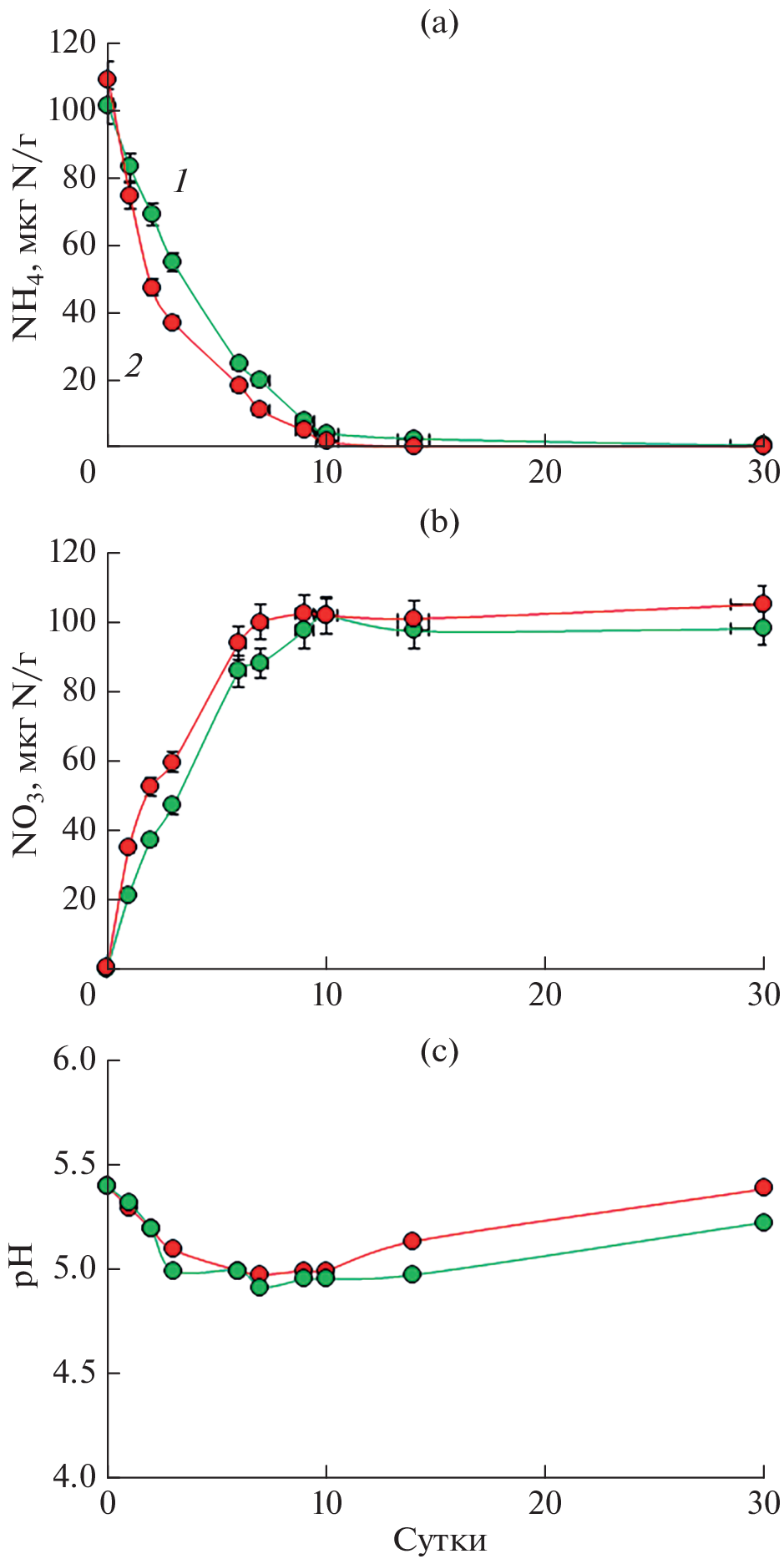
One of the promising approaches to solving the issues of ecosystem resilience to stress is to assess the response of microbial communities of soils performing important ecological and biospheric functions to natural or anthropogenic impacts. In a model experiment with sod-podzolic soil (Eutric Albic Retisols (Abruptic, Loamic), the inhibitory effect of ammonium and the stimulating effect of lanthanum on the oxidation of methane by soil microorganisms were established. The addition of ammonium and lanthanum reduced the taxonomic diversity of the bacterial community of the soil and changed its structure: the relative content of Gram-positive bacteria of the phylum Actinobacteriota and Bacillota decreased, while the proportion of gram-negative bacteria of the phylum Pseudomonadota increased. The introduction of lanthanum significantly, by several orders of magnitude, increases the relative content in the community of methanotrophs of the genus Methylobacter and obligate methylotrophs of the genus Methylotenera. The results of the work can be used to develop approaches for regulating the activity of the soil “methane filter” and the accompanying microbiota.
About the authors
I. K. Kravchenko
Winogradsky Institute of Microbiology, Research Center of Biotechnology RAS
Author for correspondence.
Email: irinakravchenko@inbox.ru
Russia, 119071, Moscow
L. R. Sizov
Winogradsky Institute of Microbiology, Research Center of Biotechnology RAS
Email: irinakravchenko@inbox.ru
Russia, 119071, Moscow
L. V. Lysak
Lomonosov Moscow State University
Email: irinakravchenko@inbox.ru
Russia, 119991, Moscow
References
- Ананьева Н.Д., Сусьян Е.А., Гавриленко Е.Г. Особенности определения углерода микробной биомассы почвы методом субстрат-индуцированного дыхания // Почвоведение. 2011. № 11. С. 1327–1333.
- Классификация и диагностика почв России. Смоленск: Ойкумена, 2004. 342 с.
- Котельникова А.Д., Рогова О.Б., Столбова В.В. Лантаноиды в почве: поступление, содержание, влияние на растения, генотоксичность (обзор) // Почвоведение. 2021. № 1. С. 100–119. https://doi.org/10.31857/S0032180X21010056
- Кравченко И.К., Семенов В.М., Кузнецова Т.В., Быкова С.А., Дулов Л.Е., Пардини Д., Гисперт М., Боукс П., Ван Климпут О., Гальченко В.Ф. Физико-химические и биологические факторы, контролирующие окисление атмосферного метана в серых лесных почвах // Микробиология. 2005. Т. 74. № 2. С. 255–260.
- Кравченко И.К., Сизов Л.Р., Тихонова Е.Н., Лысак Л.В. Влияние лантана на состав метанотрофного сообщества дерново-подзолистой почвы // Микробиология. 2022. Т. 91. № 5. С. 638–643. https://doi.org/10.31857/S0026365622100238
- Мэгарран Э. Экологическое разнообразие и его измерение. М.: Мир, 1992. 184 с.
- Фастовец И.А., Котельникова А.Д., Рогова О.Б., Сушков Н.И., Волков Д.С., Проскурнин М.А., Пашкевич Е.Б. Влияние внесенного в почву лантана на химический состав растений ячменя в условиях вегетационного опыта // Бюл. Почв. ин-та им. В.В. Докучаева. 2017. № 88. С. 27–46. https://doi.org/10.19047/0136-1694-2017-88-27-46
- Чимитдоржиева И.Б., Абашеева Н.Е. Влияние лантана на микробиологическую активность и динамику азотного фонда почв. Улан-Удэ: Изд-во БГСХА им. В.Р. Филиппова, 2014. 98 с.
- Abdel-Haleem A.S., Sroor A., El-Bahi S.M., Zohny E. Heavy metals and rare earth elements in phosphate fertilizer components using instrumental neutron activation analysis // Appl. Radiat. Isot. 2001. V. 55(4). P. 569–573. https://doi.org/10.1016/s0969-8043(01)00098-7
- Asaf S., Numan M., Khan A.L., Al-Harrasi A. Sphingomonas: from diversity and genomics to functional role in environmental remediation and plant growth // Crit. Rev. Biotechnol. 2019. V. 40(2). P. 138–152. https://doi.org/10.1080/07388551.2019.1709793
- Bodelier P.L.E., Laanbroek H.J. Nitrogen as a regulatory factor of methane oxidation in soils and sediments // FEMS Microbiol. Ecol. V. 47(3). P. 265–277. https://doi.org/10.1016/S0168-6496(03)00304-0
- Caporaso J.G., Kuczynski J., Stombaugh J., Bittinger K., Bushman F.D., Costello E.K., Fierer N. et al. QIIME allows analysis of high throughput community sequencing data // Nat. Methods. 2010. V. 7(5). P. 335–336. https://doi.org/10.1038/nmeth.f.303
- Chan A.S.K., Parkin T.B. Methane oxidation and production activity in soils from natural and agricultural ecosystems // J. Environ. Qual. 2001. V. 30. P. 1896–1903. https://doi.org/10.2134/jeq2001.1896
- Conrad R. The global methane cycle: recent advances in understanding the microbial processes involved // Environ. Microbiol. Rep. 2009. V. 1(5). P. 285–292. https://doi.org/10.1111/j.1758-2229.2009.00038.x
- Cowan N., Maire J., Krol D., Cloy J.M., Hargreaves P., Murphy R., Carswell A. et al. Agricultural soils: A sink or source of methane across the British Isles? // Eur. J Soil Sci. 2020. V. 72(4). P. 1842–1862. https://doi.org/10.1111/ejss.13075
- Daims H., Lebedeva E.V., Pjevac P., Han P., Herbold C., Albertsen M., Jehmlich N. et al. Complete nitrification by Nitrospira bacteria // Nature. 2015. V. 528(7583). P. 504–509. https://doi.org/10.1038/nature16461
- Dunfield P.F., Belova S.E., Vorob’ev A.V., Cornish S.L., Dedysh S.N. Methylocapsa aurea sp. nov., a facultative methanotroph possessing a particulate methane monooxygenase, and emended description of the genus Methylocapsa // Int. J. Syst. Evol. Microbiol. 2010. V. 60. P. 2659–2664. https://doi.org/10.1099/ijs.0.020149-0
- Dutaur L., Verchot L.V. A global inventory of the soil CH4 sink// Global Biogeochem. Cycles. 2007. V. 21. P. GB4013. https://doi.org/10.1029/2006GB002734
- Griffiths B.S., Philippot L. Insights into the resistance and resilience of the soil microbial community // FEMS Microbiol. Rev. 2013. V. 37(2). P. 112–129. https://doi.org/10.1111/j.1574-6976.2012.00343.x
- Forster P., Ramaswamy V., Artaxo P., Berntsen T., Betts R., Fahey D.W., Haywood J. et al. Changes in atmospheric constituents and in radiative forcing // Contribution of Working Group I to the Fourth Assessment Report of the Intergovernmental Panel on Climate Change in Climate Change 2007: The Physical Science Basis. Cambridge: Cambridge University Press, 2007. P. 131–217.
- Hu Y., Shu X., He Jia Deng, Ou-Ping Xiao, Hai-Hua Pu, Qin. Influence of lanthanum on microbial biomass C, P and C and P-cycling enzyme activities in tea garden soil // Arch. Agron. Soil Sc. 2016. V. 63. P. 700–709. https://doi.org/10.1080/03650340.2016.1235266
- IUSS Working Group WRB. 2015. World Reference Base for Soil Resources 2014, update 2015. International soil classification system for naming soils and creating legends for soil maps. World Soil Resources Reports No. 106. FAO, Rome. 192 p.
- Kim D.-G., Kirschbaum M.U.F. The effect of land-use change on the net exchange rates of greenhouse gases: a meta-analytical approach // Biogeosc. Discuss. 2014. V. 11. P. 1053–1095. https://doi.org/10.5194/bgd-11-1053-2014
- Knief C. Diversity and habitat preferences of cultivated and uncultivated aerobic methanotrophic bacteria evaluated based on pmoA as molecular marker // Front. Microbiol. 2015. V. 6. P. 1346. https://doi.org/10.3389/fmicb.2015.01346
- Kravchenko I. Microbial oxidation of the atmospheric methane in natural and agricultural upland soils // Agro-Environmental Sustainability. V. 2. Managing Environmental Pollution. Springer, 2017. P. 183–213. https://doi.org/10.1007/978-3-319-49727-3_10
- Le Mer J., Roger P. Production, oxidation, emission and consumption of methane by soils: A review // Eur. J. Soil Biol. 2001. V. 37. P. 25–50. https://doi.org/10.1016/S1164-5563(01)01067-6
- Levine U.T., Teal T.K., Robertson G.P., Schmidt T.M. Agriculture’s impact on microbial diversity and associated fluxes of carbon dioxide and methane // The ISME J. 2011. V. 5. P. 1683–1691. https://doi.org/10.1038/ismej.2011.40
- Mohanty S.R., Bodelier P.L., Floris V., Conrad R. Differential effects of nitrogenous fertilizers on methane-consuming microbes in rice field and forest soils // App-l. Environ. Microbiol. 2006. V. 72. P. 1346–1354. https://doi.org/10.1128/aem.72.2
- Powlson D.S., Goulding K.W.T., Willison T.W., Webster C.P., Hütsch B.W. The effect of agriculture on methane oxidation in soil // Nutr. Cycling Agroecosyst. 1997. V. 49. P. 59–70. https://doi.org/10.1023/A:1009704226554
- Saunois M., Bousquet P., Poulter B., Peregon A., Ciais P., Canadell J.G., Dlugokencky E.J. et al. The global methane budget 2000–2012 // Earth Syst. Sci. Data. 2016. V. 8. P. 697–751. https://doi.org/10.5194/essd-8-697-2016
- Smith P., House J.I., Bustamante M., Sobocká J., Harper R., Pan G., West P.C. et al. Global change pressures on soils from land use and management // Glob. Change Biol. 2016. V. 22(3). P. 1008–1028. https://doi.org/10.1111/gcb.13068
- Skovran E., Raghuraman C., Martinez–Gomez N.C. Lanthanides in methylotrophy // Curr. Issues Mol. Bio-l. 2019. V. 33. P. 101–115. https://doi.org/10.21775/cimb.033.101
- Stoecker K., Bendinger B., Schöning B., Nielsen P.H, Nielsen J.L., Baranyi C., Toenshoff E.R. et al. Cohn’s Crenothrix is a filamentous methane oxidizer with an unusual methane monooxygenase // Proc. Natl. Acad. Sci. U.S.A. 2006. V. 103. P. 2363–2367. https://doi.org/10.1073/pnas.0506361103
- Vigliotta G., Nutricati E., Carata E., Tredici S.M., De Stefano M., Pontieri P., Massardo D.R. et al. Clonothrix fusca Roze 1896, a filamentous, sheathed, methanotrophic gamma-proteobacterium // Appl. Environ. Microbiol. 2007. V. 73(11). P. 3556–3565. https://doi.org/10.1128/AEM.02678-06
- Vorobev A.V., Baani M., Doronina N.V., Brady A.L., Liesack W., Dunfield P.F., Dedysh S.N. Methyloferula stellata gen. nov., sp. nov., an acidophilic, obligately methanotrophic bacterium that possesses only a soluble methane monooxygenase // Int. J. Syst. Evol. Microbiol. 2011. V. 61(10). P. 2456–2463. https://doi.org/10.1099/ijs.0.028118-0
Supplementary files







