Sizes and Ratios of Organic Carbon Pools in Gray Forest Soil under Long-Term Application of Mineral and Organic Fertilizers
- Authors: Semenov V.M.1, Lebedeva T.N.1, Zinyakova N.B.1, Sokolov D.A.1
-
Affiliations:
- Institute of Physicochemical and Biological Problems in Soil Science, Russian Academy of Sciences
- Issue: No 4 (2023)
- Pages: 482-501
- Section: AGRICULTURAL CHEMISTRY AND SOIL FERTILITY
- URL: https://bakhtiniada.ru/0032-180X/article/view/138028
- DOI: https://doi.org/10.31857/S0032180X22601426
- EDN: https://elibrary.ru/HORPOE
- ID: 138028
Cite item
Full Text
Abstract
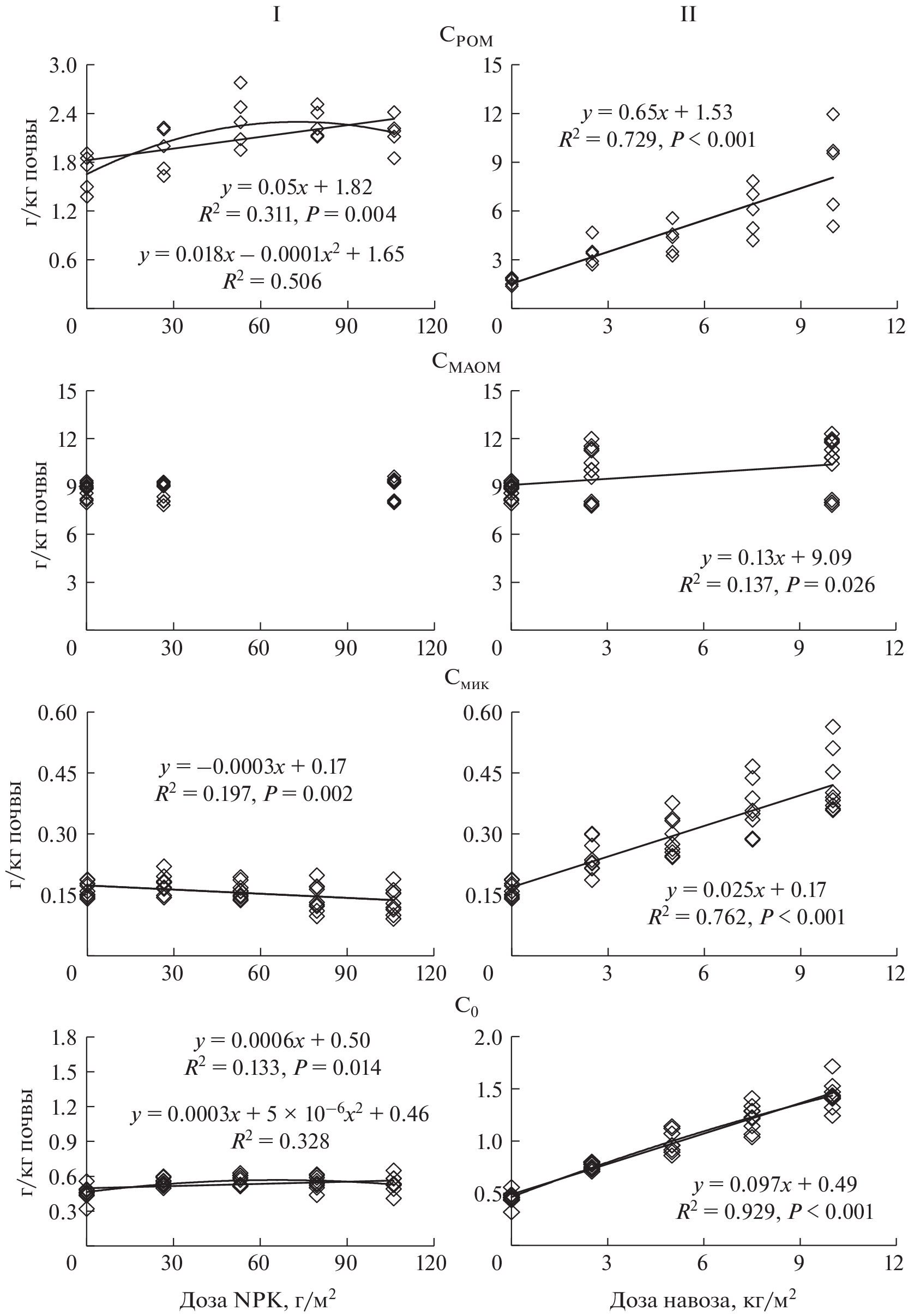
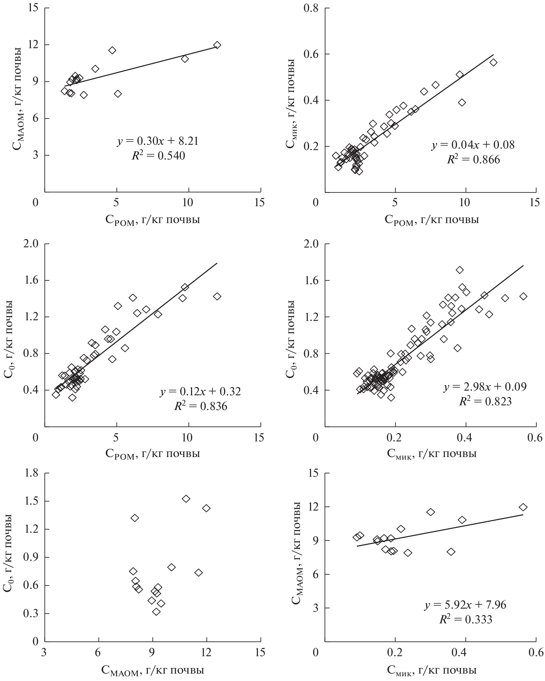
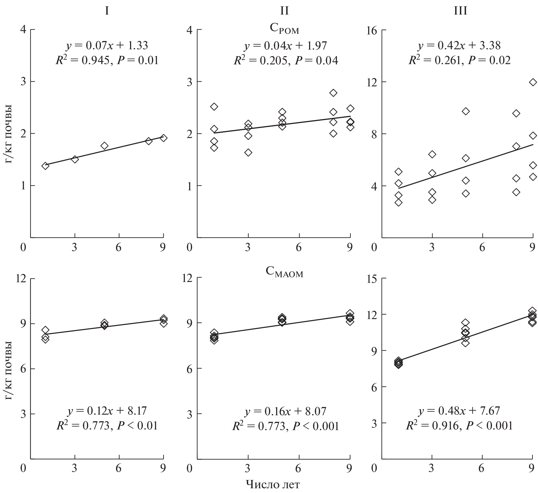
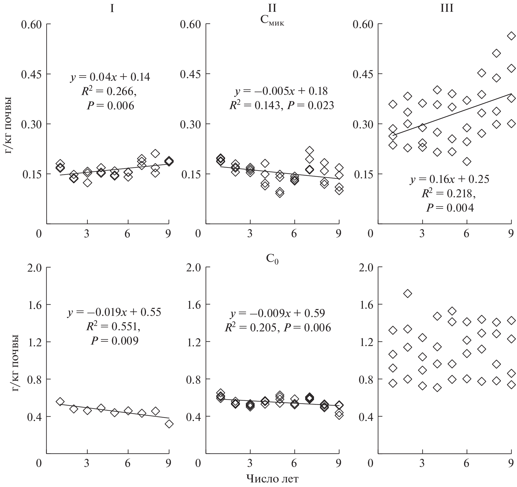
Soil organic matter (SOM) is proposed to subdivide into structural and process pools. Structural pools include particulate organic matter (CPOM) and mineral-associated organic matter (CMAOM), and process pools include microbial biomass (Cmic) and potentially mineralizable organic matter (C0). The studies were carried out in a long-term microfield experiment on gray forest soil (Luvic Retic Greyzemic Phaeozems (Loamic)). Mineral (N 90–360, P2O5 75–300 and K2O 100–400 kg/ha) and organic (fresh cattle manure from 25 to 100 t/ha) fertilizers in increasing doses were applied annually for 9 years. The increasing in soil organic carbon (Corg) stocks from NPK and manure was 5–10 and 38–83%, respectively. The application of extreme doses of manure (700 to 900 tons/ha in 9 years) led to saturation of the soil with organic carbon. SOM pools sizes decreased in the sequence CMAOM > CPOM > C0 > Cmic, amounting to 7.91–12 g/kg (50–84% of Corg), 0.76–12 g/kg (8–50%), 0.32–1.71 g/kg (2.8-13.7%) and 0.09-0.56 g/kg (0.8-3.7%), respectively. CPOM pool size depended mainly on the dose of mineral and organic fertilizers, and CMAOM depended on the duration of fertilizer application. Both Cmic and C0 pools increased with the manure dose and decreased with the NPK dose. The long-term manuring did not produce a cumulative accumulation of C0 in the soil. It is emphasized that the separation of structural and process pools can be used for monitoring of SOM quality and functions.
About the authors
V. M. Semenov
Institute of Physicochemical and Biological Problems in Soil Science, Russian Academy of Sciences
Author for correspondence.
Email: v.m.semenov@mail.ru
Russia, 142290, Pushchino
T. N. Lebedeva
Institute of Physicochemical and Biological Problems in Soil Science, Russian Academy of Sciences
Email: v.m.semenov@mail.ru
Russia, 142290, Pushchino
N. B. Zinyakova
Institute of Physicochemical and Biological Problems in Soil Science, Russian Academy of Sciences
Email: v.m.semenov@mail.ru
Russia, 142290, Pushchino
D. A. Sokolov
Institute of Physicochemical and Biological Problems in Soil Science, Russian Academy of Sciences
Email: v.m.semenov@mail.ru
Russia, 142290, Pushchino
References
- Абакумов Е.В., Поляков В.И., Чуков С.Н. Подходы и методы изучения органического вещества почв карбоновых полигонов России (обзор) // Почвоведение. 2022. № 7. С. 773–772. https://doi.org/10.31857/S0032180X22070024
- Ананьева Н.Д., Сусьян Е.А., Гавриленко Е.Г. Особенности определения углерода микробной биомассы почвы методом субстрат-индуцированного дыхания // Почвоведение. 2011. № 11. С. 1327–1333.
- Завьялова Н.Е. Углеродпротекторная емкость дерново-подзолистой почвы естественных и агроэкосистем Предуралья // Почвоведение. 2022. № 8. С. 1046–1055. https://doi.org/10.31857/S0032180X22080160
- Ковалев И.В., Семенов В.М., Ковалева Н.О., Лебедева Т.Н., Яковлева В.М., Паутова Н.Б. Оценка биогенности и биоактивности агросерых глееватых неосушеных и осушенных почв // Почвоведение. 2021. № 7. С. 827–837. https://doi.org/10.31857/S0032180X21070078
- Когут Б.М., Семенов В.М. Оценка насыщенности почвы органическим углеродом // Бюл. Почв. ин-та им. В.В. Докучаева. 2020. Вып. 102. С. 103–124. https://doi.org/10.19047/0136-1694-2020-102-103-124
- Когут Б.М., Семенов В.М., Артемьева З.С., Данченко Н.Н. Дегумусирование и почвенная секвестрация углерода // Агрохимия. 2021. № 5. С. 3–13. https://doi.org/10.31857/S0002188121050070
- Никитин Д.А., Семенов М.В., Чернов Т.И., Ксенофонтова Н.А., Железова А.Д., Иванова Е.А., Хитров Н.Б., Степанов А.Л. Микробиологические индикаторы экологических функций почв (обзор) // Почвоведение. 2022. № 2. С. 228–243. https://doi.org/10.31857/S0032180X22020095
- Паутова Н.Б., Семенова Н.А., Хромычкина Д.П., Лебедева Т.Н., Семенов В.М. Определение активного органического вещества в свежем подстилочном навозе биокинетическим методом // Агрохимия. 2018. № 9. С. 29–39. https://doi.org/10.1134/S0002188118090107
- Семенов В.М., Иванникова Л.А., Кузнецова Т.В. Структурно-функциональное состояние органического вещества почвы // Почвенные процессы и пространственно-временная организация почв. М.: Наука, 2006. С. 230–247.
- Семенов В.М., Когут Б.М. Почвенное органическое вещество. М.: ГЕОС, 233 с.
- Семенов В.М., Когут Б.М., Зинякова Н.Б., Масютенко Н.П., Малюкова Л.С., Лебедева Т.Н., Тулина А.С. Биологически активное органическое вещество в почвах европейской части России // Почвоведение. 2018. № 4. С. 457–472. https://doi.org/10.7868/S0032180X1804007X
- Семенов В.М., Лебедева Т.Н., Паутова Н.Б. Дисперсное органическое вещество в необрабатываемых и пахотных почвах // Почвоведение. 2019. № 4. С. 440–450. https://doi.org/10.1134/S0032180X19040130
- Семенов В.М., Лебедева Т.Н., Зинякова Н.Б., Соколов Д.А., Семенов М.В. Эвтрофикация пахотной почвы: сравнительное влияние минеральной и органической систем удобрения // Почвоведение. 2023. № 1. С. 58–73. https://doi.org/10.31857/S0032180X22600676
- Семенов В.М., Лебедева Т.Н., Паутова Н.Б., Хромычкина Д.П., Ковалев И.В., Ковалева Н.О. Взаимосвязь размера агрегатов, содержания дисперсного органического вещества и разложения растительных остатков в почве // Почвоведение. 2020. № 4. С. 430–443. https://doi.org/10.31857/S0032180X20040139
- Семенов В.М., Паутова Н.Б., Лебедева Т.Н., Хромычкина Д.П., Семенова Н.А., Лопес де Гереню В.О. Разложение растительных остатков и формирование активного органического вещества в почве инкубационных экспериментов // Почвоведение. 2019. № 10. С. 1172–1184. https://doi.org/10.1134/S0032180X19100113
- Сычев В.Г., Налиухин А.Н., Шевцова Л.К., Рухович О.В., Беличенко М.В. Влияние систем удобрения на содержание почвенного органического углерода и урожайность сельскохозяйственных культур: результаты длительных полевых опытов Географической сети России // Почвоведение. 2020. № 12. С. 1521–1536. https://doi.org/10.31857/S0032180X20120138
- Ходжаева А.К., Семенов В.М. Распределение активного органического вещества в профиле почв природных и сельскохозяйственных экосистем // Почвоведение. 2015. № 12. С. 1496–1504. https://doi.org/10.7868/S0032180X15120102
- Шарков И.Н., Данилова А.А. Влияние агротехнических приемов на изменение содержания гумуса в пахотных почвах // Агрохимия. 2010. № 12. С. 72–81.
- Alvarez R. A review of nitrogen fertilizer and conservation tillage effects on soil organic carbon storage // Soil Use and Management. 2005. V. 21. P. 38–52. https://doi.org/10.1079/SUM2005291
- Angers D., Arrouays D., Cardinael R., Chenu C., Corbeels M., Demenois J., Farrell M., Martin M., Minasny B., Recous S., Six J. A well-established fact: Rapid mineralization of organic inputs is an important factor for soil carbon sequestration // Eur. J. Soil Sci. 2022. V. 73(3). P. e13242. https://doi.org/10.1111/ejss.13242
- Basile–Doelsch I., Balesdent J., Pellerin S. Reviews and syntheses: The mechanisms underlying carbon storage in soil // Biogeosciences. 2020. V. 17(21). P. 5223–5242. https://doi.org/10.5194/bg-17-5223-2020
- Baveye P.C., Schnee L.S., Boivin P., Laba M., Radulovich R. Soil Organic Matter Research and Climate Change: Merely Re-storing Carbon Versus Restoring Soil Functions // Front. Environ. Sci. 2020. V. 8. P.579904. https://doi.org/10.3389/fenvs.2020.579904
- Berthelin J., Laba M., Lemaire G., Powlson D., Tessier D., Wander M., Baveye P.C. Soil carbon sequestration for climate change mitigation: Mineralization kinetics of organic inputs as an overlooked limitation // Eur. J. Soil Sci. 2022. V. 73(1). Art.No. e13221. https://doi.org/10.1111/ejss.13221
- Cambardella C.A., Elliott E.T. Particulate Soil Organic-Matter Changes across a Grassland Cultivation Sequence // Soil Sci. Soc. Am. J. 1992. V. 56. № 3. P. 777–783. https://doi.org/10.2136/sssaj1992.03615995005600030017x
- Castellano M.J., Mueller K.E., Olk D.C., Sawyer J.E., Six J. Integrating plant litter quality, soil organic matter stabilization, and the carbon saturation concept // Global Change Biol. 2015. V. 21. № 9. P. 3200–3209. https://doi.org/10.1111/gcb.12982
- Chen Y., Camps–Arbestain M., Shen Q., Singh B., Cayuela M.L. The long-term role of organic amendments in building soil nutrient fertility: a meta-analysis and review // Nutr. Cycl. Agroecosyst. 2018. V. 111. P. 103–125. https://doi.org/10.1007/s10705-017-9903-5
- Chenu C., Angers D.A., Barré P., Derrien D., Arrouays D., Balesdent J. Increasing organic stocks in agricultural soils: Knowledge gaps and potential Innovations // Soil Till. Res. 2019. V. 188. P. 41–52. https://doi.org/10.1016/j.still.2018.04.011
- Christopher S.F., Lal R. Nitrogen Management Affects Carbon Sequestration in North American Cropland Soils // Critical Rev. Plant Sci. 2007. V. 26(1). P. 45–64. https://doi.org/10.1080/07352680601174830
- Cotrufo M.F., Ranalli M.G., Haddix M.L., Six J., Lugato E. Soil carbon storage informed by particulate and mineral-associated organic matter // Nature Geoscience. 2019. V. 12. P. 989–994. https://doi.org/10.1038/s41561-019-0484-6
- Cotrufo M.F., Soong J.L., Horton A.J., Campbell E.E., Haddix M.L., Wall D.H., Parton W.J. Formation of soil organic matter via biochemical and physical pathways of litter mass loss // Nature Geoscience. 2015. V. 8. P. 776–779. https://doi.org/10.1038/NGEO2520
- Cotrufo M.F., Wallenstein M.D., Boot C.M., Denef K., Paul E. The Microbial Efficiency-Matrix Stabilization (MEMS) framework integrates plant litter decomposition with soil organic matter stabilization: do labile plant inputs form stable soil organic matter? // Global Change Biol. 2013. V. 19. № 4. P. 988–995. https://doi.org/10.1111/gcb.12113
- Du Y., Cui B., Zhang Q., Wang Z., Sun J., Niu W. Effects of manure fertilizer on crop yield and soil properties in China: A meta-analysis // Catena. 2020. V. 193. P. 104617. https://doi.org/10.1016/j.catena.2020.104617
- Feng W., Xu M., Fan M., Malhi S.S., Schoenau J.J., Six J., Plante A.F. Testing for soil carbon saturation behavior in agricultural soils receiving long-term manure amendments // Can. J. Soil Sci. 2014. V. 94(3). P. 281–294. https://doi.org/10.4141/cjss2013-012
- Geisseler D., Scow K.M. Long-term effects of mineral fertilizers on soil microorganisms – A review // Soil Biol. Biochem. 2014. V. 75. P. 54–63. https://doi.org/10.1016/j.soilbio.2014.03.023
- Gregorich E.G., Beare M.H., McKim U.F., Skjemstad J.O. Chemical and Biological Characteristics of Physically Uncomplexed Organic Matter // Soil Sci. Soc. Am. J. 2006. V. 70(3). P. 975–985. https://doi.org/10.2136/sssaj2005.0116
- Gross A., Glaser B. Meta‑analysis on how manure application changes soil organic carbon storage // Sci. Report. 2021. V. 11. P. 5516. https://doi.org/10.1038/s41598-021-82739-7
- Haddix M.L., Gregorich E.G., Helgason B.L., Janzen H., Ellert B.H., Cotrufo M.F. Climate, carbon content, and soil texture control the independent formation and persistence of particulate and mineral-associated organic matter in soil // Geoderma. 2020. V. 363 P. 114160. https://doi.org/10.1016/j.geoderma.2019.114160
- Han P., Zhang W., Wang G., Sun W., Huang Y. Changes in soil organic carbon in croplands subjected to fertilizer management. A global meta-analysis // Sci. Report. 2016. V. 6. P. 27199. https://doi.org/10.1038/srep27199
- Hijbeek R., van Ittersum M.K., ten Berge H.F.M., Gort G., Spiegel H., Whitemore A.P. Do organic inputs matter – a meta-analysis of additional yield effects for arable crops in Europe // Plant and Soil. 2017. V. 411. P. 293–303. https://doi.org/10.1007/s11104-016-3031-x
- Hoffland E., Kuyper T.W., Comans R.N.J., Creamer R.E. Eco-functionality of organic matter in soils // Plant and Soil. 2020. V. 455. P. 1–22. https://doi.org/10.1007/s11104-020-04651-9
- Janzen H.H. The soil carbon dilemma: Shall we hoard it or use it? // Soil Biol. Biochem. 2006. V. 38(3). P. 419–424. https://doi.org/10.1016/j.soilbio.2005.10.008
- Jiang G., Zhang W., Xu M., Kuzyakov Y., Zhang X., Wang J., Di J., Murphy D.V. Manure and mineral fertilizer effects on crop yield and soil carbon sequestration: A meta-analysis and modeling across China // Global Biogeochem. Cycles. 2018. V. 32(11). P. 1659–1672. https://doi.org/10.1029/2018GB005960
- Kallenbach C.M., Grandy A.S., Frey S.D, Diefendorf A.F. Microbial physiology and necromass regulate agricultural soil carbon accumulation // Soil Biol. Biochem. 2015. V. 91. P. 279–290. https://doi.org/10.1016/j.soilbio.2015.09.005
- Kögel–Knabner I., Wiesmeier M., Mayer S. Mechanisms of soil organic carbon sequestration and implications for management // Understanding and fostering soil carbon sequestration. Ed. by C. Rumpel. Cambridge: Burleigh Dodds Sci. Publ. Lim. 2022. P. 1–36. https://doi.org/10.19103/AS.2022.0106.02
- Körschens M. Long-Term Field Experiments (LTEs)–Importance, Overview, Soil Organic Matter // Exploring and Optimizing Agricultural Landscapes. Mueller L. et al. (eds). Springer; Cham. 2021. P. 215–231. https://doi.org/10.1007/978-3-030-67448-9_8
- Ladha J.K., Reddy C.K., Padre A.T., van Kessel C. Role of nitrogen fertilization in sustaining organic matter in cultivated soils // J. Environ. Qual. 2011. V. 40(6). P. 1756–1766. https://doi.org/10.2134/jeq2011.0064
- Lal R. Soil carbon sequestration to mitigate climate change // Geoderma. 2004. V. 123. P. 1–22. https://doi.org/10.1016/j.geoderma.2004.01.032
- Lal R. Managing Soils and Ecosystems for Mitigating Anthropogenic Carbon Emissions and Advancing Global Food Security // BioScience. 2010. V. 60. P. 708–721. https://doi.org/10.1525/bio.2010.60.9.8
- Lal R. Digging deeper: A holistic perspective of factors affecting soil organic carbon sequestration in agroecosystems // Global Change Biol. 2018. V. 24(8). P. 3285–3301. https://doi.org/10.1111/gcb.14054
- Lal R., Smith P., Jungkunst H.F., Mitsch W.J., Lehmann J., Nair P.K.R., McBratney A.B., de Moraes Sá J.C., Schneider J., Zinn Y.L., Skorupa A.L.A., Zhang H.-L., Minasny B., Srinivasrao C., Ravindranath N.H. The carbon sequestration potential of terrestrial ecosystems // J. Soil Water Conservation. 2018. V. 73(6). P. 145A–152A. https://doi.org/10.2489/jswc.73.6.145A
- Lavallee J.M., Soong J.L., Cotrufo M.F. Conceptualizing soil organic matter into particulate and mineral-associated forms to address global change in the 21st century // Global Change Biol. 2020. V. 26(1). P. 261–273. https://doi.org/10.1111/gcb.14859
- Lehmann J., Kleber M. The contentious nature of soil organic matter // Nature. 2015. V. 528, P. 60–68. https://doi.org/10.1038/nature16069
- Li B., Song H., Cao W., Wang Y., Chen J., Guo J. Responses of soil organic carbon stock to animal manure application: A new global synthesis integrating the impacts of agricultural managements and environmental conditions // Global Change Biol. 2021. V. 27(20). P. 5356–5367. https://doi.org/10.1111/gcb.15731
- Liang C. Soil microbial carbon pump: Mechanism and appraisal // Soil Ecol. Lett. 2020. V. 2(4). P. 241–254. https://doi.org/10.1007/s42832-020-0052-4
- Liang C., Amelung W., Lehmann J., Kästner M. Quantitative assessment of microbial necromass contribution to soil organic matter // Global Change Biol. 2019. V. 25(11). P. 3578–3590. https://doi.org/10.1111/gcb.14781
- Liang C., Hao X., Schoenau J., Ma B.-L., Zhang T., J. MacDonald D., Chantigny M., Dyck M., Smith W.N., Malhi S.S., Thiagarajan A., Lafond J., Angers D. Manure-induced carbon retention measured from long-term field studies in Canada // Agriculture, Ecosystems and Environment. 2021. V. 321. P. 107619. https://doi.org/10.1016/j.agee.2021.107619
- Lu M., Zhou X., Luo Y., Yang Y., Fang C., Chen J., Li B. Minor stimulation of soil carbon storage by nitrogen addition: a meta-analysis // Agriculture, Ecosystems and Environment. 2011. V. 140. P. 234–244. https://doi.org/10.1016/j.agee.2010.12.010
- Maillard É., Angers D.A. Animal manure application and soil organic carbon stocks. A meta-analysis // Global Change Biol. 2014. V. 20(2). P. 666–679. https://doi.org/10.1111/gcb.12438
- Mann L.K. A regional comparison of carbon in cultivated and uncultivated allisols and mollisols in the Central United States // Geoderma. 1985. V. 36(3–4). P. 241–253. https://doi.org/10.1016/0016-7061(85)90005-9
- Mann L.K. Changes in soil carbon storage after cultivation // Soil Sci. 1986. V. 142(5). P. 279–288.
- Minasny B., Malone B.P., McBratney A.B., Angers D.A., Arrouays D., Chambers A., Chaplot V., Chen Z.S., Cheng K. et al. Soil carbon 4 per mille // Geoderma. 2017. V. 292. P. 59–86. https://doi.org/10.1016/j.geoderma.2017.01.002
- O’Brien P.L., Hatfield J.L. Dairy Manure and Synthetic Fertilizer: A Meta-Analysis of Crop Production and Environmental Quality // Agrosyst. Geosci. Environ. 2019. V. 2. P. 190027. https://doi.org/10.2134/age2019.04.0027
- Paustian K., Andren O., Janzen H. H., Lal R., Smith P., Tian G., Tiessen H., Van Noordwijk M., Woomer P.L. Agricultural soils as a sink to mitigate CO2 emissions // Soil Use Management. 1997. V. 13(4). P. 230–244. https://doi.org/10.1111/j.1475-2743.1997.tb00594.x
- Ren F., Zhang X., Liu J., Sun N., Sun Z., Wu L., Xu M. A synthetic analysis of livestock manure substitution effects on organic carbon changes in China’s arable topsoil // Catena. 2018. V. 171. P. 1–10. https://doi.org/10.1016/j.catena.2018.06.036
- Samson M.-E., Chantigny M.H., Vanasse A., Menasseri-Aubry S., Royer I., Angers D.A. Management practices differently affect particulate and mineral-associated organic matter and their precursors in arable soils // Soil Biol. Biochem. 2020. V. 148. P. 107867. https://doi.org/10.1016/j.soilbio.2020.107867
- Sanderman J., Hengl T., Fiske G.J. Soil carbon debt of 12,000 years of human land use //PNAS. 2017. V. 114(36). P. 9575–9580. https://doi.org/10.1073/pnas.1706103114
- Schnitzer M., McArthur D.F.E., Schulten H.-R., Kozak L.M., Huang P.M. Long-term cultivation effects on the quantity and quality of organic matter in selected Canadian prairie soils // Geoderma. 2006. V. 130. P. 141–156. https://doi.org/10.1016/j.geoderma.2005.01.021
- Sparling G.P. Ratio of microbial biomass carbon to soil organic carbon as a sensitive indicator of changes in soil organic matter // Austral. J. Soil Res. 1992. V. 30(2). P. 195–207. https://doi.org/10.1071/SR9920195
- Stewart C.E., Plante A.F., Paustian K., Conant R.T., Six J. Soil carbon saturation: Linking concept and measurable carbon pools // Soil Sci. Soc. Am. J. 2008. V. 72(2). P. 379–392. https://doi.org/10.2136/sssaj2007.0104
- Stockmann U., Adams M.A., Crawford, J.W. Field D.J., Henakaarchchi N., Jenkins M., Minasny B., McBratney A.B., de Courcelles V.R., Singh K., Wheeler I., Abbott L., Angers D.A., Baldock J., Bird M., Brookes P.C., Chenu C., Jastrow J.D., Lal R., Lehmann J., O’Donnell A.G., Parton W.J., Whitehead D., Zimmermann M. The knowns, known unknowns and unknowns of sequestration of soil organic carbon // Agriculture, Ecosystems and Environment. 2013. V. 164. P. 80–99. https://doi.org/10.1016/j.agee.2012.10.001
- Tian K., Zhao Y., Xu X., Hai N., Huang B., Deng W. Effects of long-term fertilization and residue management on soil organic carbon changes in paddy soils of China: A meta-analysis // Agriculture, Ecosystems and Environ. 2015. V. 204. P. 40–50. https://doi.org/10.1016/j.agee.2015.02.008
- Treseder K.K. Nitrogen additions and microbial biomass: a meta-analysis of ecosystem studies // Ecology Lett. 2008. V. 11(10). P. 1111–1120. https://doi.org/10.1111/j.1461-0248.2008.01230.x
- Triberti L., Nastri A., Giordani G., Comellini F., Baldoni G., Toderi G. Can mineral and organic fertilization help sequestrate carbon dioxide in cropland? // Eur. J. Agronomy. 2008. V. 29. P. 13–20. https://doi.org/10.1016/j.eja.2008.01.009
- Von Lützow M., Kögel-Knabner I., Ekschmitt K., Matzner E., Guggenberger G., Marschner B., Flessa H. Stabilization of organic matter in temperate soils: Mechanisms and their relevance under different soil conditions – a review // Eur. J. Soil Sci. 2006. V. 57. P. 426–445. https://doi.org/10.1111/j.1365-2389.2006.00809.x
- Wander M. Soil Organic Matter Fractions and Their Relevance to Soil Function // Soil organic matter in sustainable agriculture / Eds. F. Magdoff, R.R. Weil. Boca Raton etc: CRC Press, 2004. P. 67–102. https://doi.org/10.1201/9780203496374
- Wei M., Hu G., Wang H., Bai E., Lou Y., Zhang A., Zhuge Y. 35 years of manure and chemical fertilizer application alters soil microbial community composition in a Fluvo-aquic soil in Northern China // Eur. J. Soil Biol. 2017. V. 82. P. 27–34. https://doi.org/10.1016/j.ejsobi.2017.08.002
- West T.O., Six J. Considering the influence of sequestration duration and carbon saturation on estimates of soil carbon capacity // Climatic Change. 2007. V. 80. P. 25–41. https://doi.org/10.1007/s10584-006-9173-8
Supplementary files







