Влияние влажности на эмиссию СО2 из почв бугристых торфяников севера Западной Сибири
- Авторы: Матышак Г.В.1, Чуванов С.В.2, Гончарова О.Ю.1, Трифонова В.А.1, Тимофеева М.В.2, Исаева А.В.1, Тархов М.О.1
-
Учреждения:
- МГУ им. М.В. Ломоносова
- Почвенный институт им В.В. Докучаева
- Выпуск: № 4 (2023)
- Страницы: 450-463
- Раздел: ФИЗИКА ПОЧВ
- URL: https://bakhtiniada.ru/0032-180X/article/view/138026
- DOI: https://doi.org/10.31857/S0032180X22600810
- EDN: https://elibrary.ru/HNXDLT
- ID: 138026
Цитировать
Полный текст
Аннотация
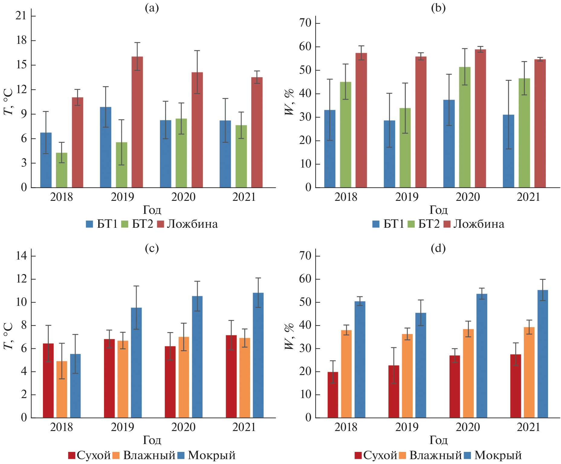
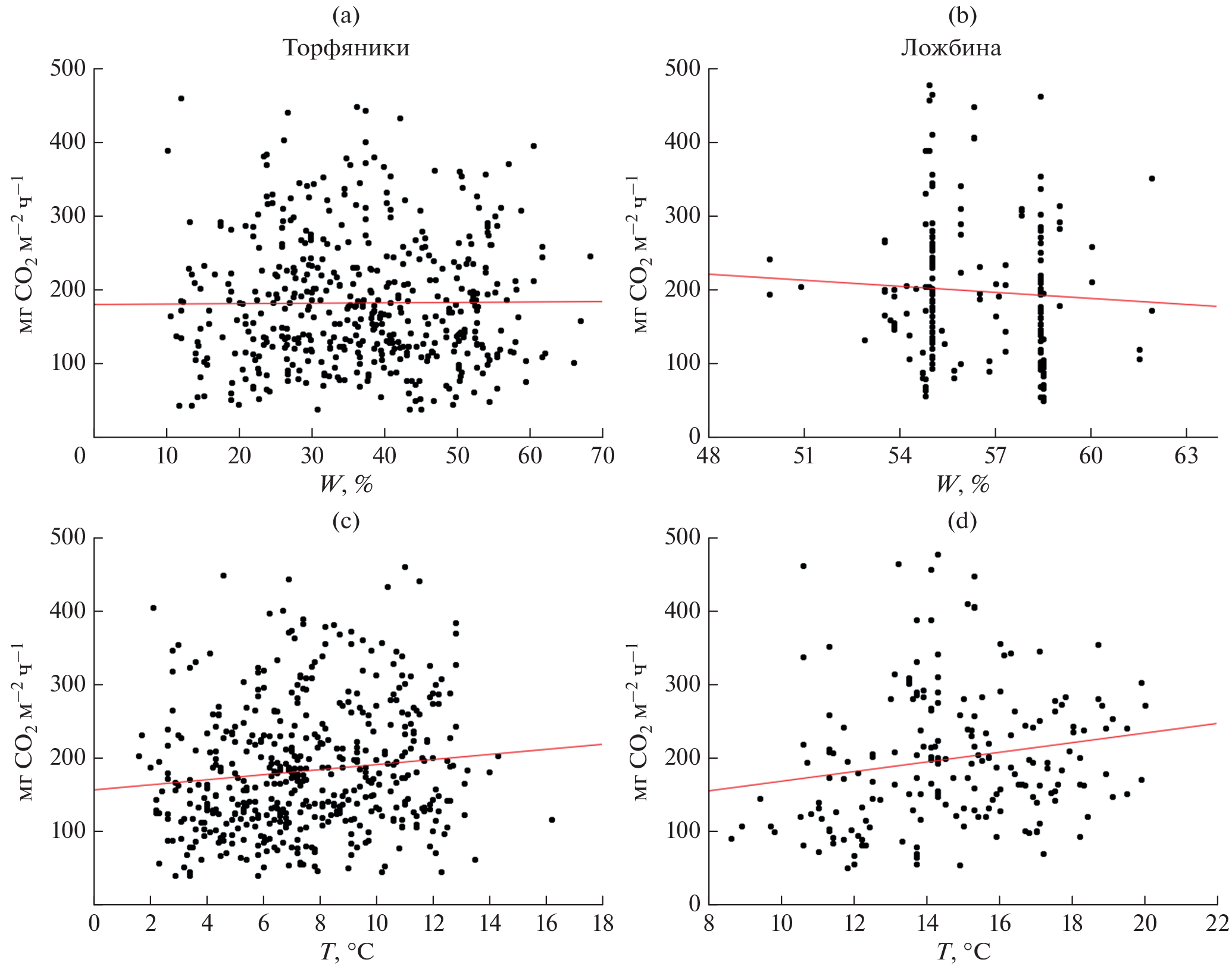
Изучено влияние влажности торфяных почв, развивающихся в условиях прерывистой криолитозоны севера Западной Сибири (Надымский район, ЯНАО), на эмиссию CO2. Эмиссию СО2 почвами плоскобугристых торфяников и окружающих их ложбин исследовали ежегодно в августе в течение 4 лет в полевых условиях методом закрытых камер. Несмотря на существенную разницу во влажности почв, в среднем 34.8 ± 13.2 на плоскобугристом торфянике и 56.2 ± 2.1% в ложбине, достоверных отличий эмиссии CO2 между этими экосистемами не обнаружено ни в один из годов наблюдений, в среднем 199.1 ± 90.1 и 182.1 ± 85.1 мг CO2 м–2 ч–1 соответственно. Экспериментальное увлажнение или осушение, более чем в 2 раза, участков торфяных почв методом трансплантации не оказало достоверного влияния на эмиссию CO2 даже спустя 3 года после начала эксперимента. Отсутствие достоверных различий эмиссии CO2 между значительно отличающимися по влажности экосистемами и экспериментами объясняется наличием многолетнемерзлых пород и действием большого количества разнонаправленных факторов, нивелирующих возможные изменения в продукции СО2 почвами. Повышенная эмиссия СО2 из почв ложбин возможна за счет дополнительного вклада метанотрофного фильтра, а также латерального стока растворенного CO2 по поверхности мерзлоты с плоскобугристых торфяников, окружающих ложбины. Отсутствие отклика эмиссии СО2 на значительное изменение влажности может говорить о широком оптимуме этого параметра для микробиологической активности в торфяных почвах региона исследований. Полученные данные свидетельствуют, что при исследовании криогенных почв заболоченных ландшафтов необходимо, помимо собственно биогенных источников, учитывать дополнительные факторы, часто физического характера, меняющие баланс потоков и эмиссию СО2.
Об авторах
Г. В. Матышак
МГУ им. М.В. Ломоносова
Email: stas.chuvanov@gmail.com
Россия, 119991, Москва, Ленинские горы, 1
С. В. Чуванов
Почвенный институт им В.В. Докучаева
Автор, ответственный за переписку.
Email: stas.chuvanov@gmail.com
Россия, 119017, Москва, Пыжевский пер., 7, стр. 2
О. Ю. Гончарова
МГУ им. М.В. Ломоносова
Email: stas.chuvanov@gmail.com
Россия, 119991, Москва, Ленинские горы, 1
В. А. Трифонова
МГУ им. М.В. Ломоносова
Email: stas.chuvanov@gmail.com
Россия, 119991, Москва, Ленинские горы, 1
М. В. Тимофеева
Почвенный институт им В.В. Докучаева
Email: stas.chuvanov@gmail.com
Россия, 119017, Москва, Пыжевский пер., 7, стр. 2
А. В. Исаева
МГУ им. М.В. Ломоносова
Email: stas.chuvanov@gmail.com
Россия, 119991, Москва, Ленинские горы, 1
М. О. Тархов
МГУ им. М.В. Ломоносова
Email: stas.chuvanov@gmail.com
Россия, 119991, Москва, Ленинские горы, 1
Список литературы
- Бобрик А.А., Рыжова И.М., Гончарова О.Ю., Матышак Г.В., Макаров М.И., Волкер Д.А. Эмиссия СО2 и запасы органического углерода в почвах северотаежных экосистем Западной Сибири в различных геокриологических условиях // Почвоведение. 2018. № 6. С. 674–682. https://doi.org/10.1134/S1064229318060042
- Васильевская В.Д., Иванов В.В., Богатырев Л.Г. Почвы севера Западной Сибири. М.: Изд-во МГУ, 1986. 273 с.
- Васильчук Ю.К., Васильчук А.К., Буданцева Н.А., Чижова Ю.Н. Выпуклые бугры пучения многолетнемерзлых торфяных массивов. М.: Изд-во МГУ, 2008. 571 с.
- Глаголев М.В., Коцюрбенко О.Р., Сабреков А.Ф., Литти Ю.В., Терентьева И.Е. Обзор методов определения микробной продукции и эмиссии метана в почвах // Микробиология. 2021. Т. 90. № 1. С. 3–23. https://doi.org/10.1134/S0026261721010057
- Глаголев М.В., Сабреков А.Ф., Казанцев В.С. Физикохимия и биология торфа. Методы измерения газообмена на границе почва–атмосфера. Томск: Изд-во ТГПУ, 2010. 104 с.
- Гончарова О.Ю., Матышак Г.В., Бобрик А.А., Тимофеева М.В., Сефилян А.Р. Оценка вклада корневого и микробного дыхания в общий поток СО2 из торфяных почв и подзолов севера Западной Сибири методом интеграции компонентов // Почвоведение. 2019. № 2. С. 234–245. https://doi.org/10.1134/S1064229319020054
- Дмитриев Е.А. Математическая статистика в почвоведении. М.: Изд-во МГУ, 1995. 320 с.
- Добровольская Т.Г., Головченко А.В., Звягинцев Д.Г., Инишева Л.И., Кураков А.В., Смагин А.В., Зенова Г.М. и др. Функционирование микробных комплексов верховых торфяников-анализ причин медленной деструкции торфа. М.: Товарищество научных изданий КМК, 2013. 128 с.
- Карелин Д.В., Замолодчиков Д.Г. Углеродный обмен в криогенных экосистемах. М.: Наука, 2008. 342 с.
- Кузяков Я.В., Ларионова А.А. Вклад ризомикробного и корневого дыхания в эмиссию СО2 из почвы (обзор) // Почвоведение. 2006. № 7. С. 842–854. https://doi.org/10.1134/S106422930607009X
- Матышак Г.В., Богатырев Л.Г., Гончарова О.Ю., Бобрик А.А. Особенности развития почв гидроморфных экосистем северной тайги Западной Сибири в условиях криогенеза // Почвоведение. 2017. № 10. С. 1155–1164. https://doi.org/10.1134/S1064229317100064
- Матышак Г.В., Тархов М.О., Рыжова И.М., Гончарова О.Ю., Сефилян А.Р., Чуванов С.В., Петров Д.Г. Оценка температурной чувствительности эмиссии СО2 с поверхности торфяных почв севера Западной Сибири методом трансплантации почвенных монолитов // Почвоведение. 2021. № 7. С. 815–826. https://doi.org/10.1134/S1064229321070103
- Мельников Е.С., Тагунова Л.Н., Лазарева Н.А., Москаленко Н.Г. Ландшафты криолитозоны Западно-Сибирской газоносной провинции. Новосибирск: Наука, Сибирское отд., 1983. 165 с.
- Москаленко Н.Г. Изменения криогенных ландшафтов северной тайги Западной Сибири в условиях меняющегося климата и техногенеза // Криосфера Земли. 2012. Т. 16. № 2. С. 38–42.
- Пономарева О.Е., Гравис А.Г., Бердников Н.М. Современная динамика бугров пучения и плоскобугристых торфяников в северной тайге Западной Сибири (на примере Надымского стационара) // Криосфера земли. 2012. Т. 16. № 4. С. 21–30.
- Смагин А.В. Газовая фаза почв. М.: Издательство Московского государственного университета, 2005. 301 с.
- Тимофеева М.В., Гончарова О.Ю., Матышак Г.В., Чуванов С.В. Потоки углерода в экосистеме торфяно-болотного комплекса криолитозоны Западной Сибири // Геосферные исследования. 2022. № 3. С. 109–125. https://doi.org/10.17223/25421379/24/7
- Шишов Л.Л., Тонконогов В.Д., Лебедева И.И., Герасимова М.И. Классификация и диагностика почв России. Смоленск: Ойкумена, 2004. 342 с.
- Chivers M.R., Turetsky M.R., Waddington J.M., Harden J.W., McGuire A.D. Effects of Experimental Water Table and Temperature Manipulations on Ecosystem CO2 Fluxes in an Alaskan Rich Fen // Ecosystems. 2009. V. 12. P. 1329–1342. https://doi.org/10.1007/s10021-009-9292-y
- Fallon P., Jones C.D., Ades M., Paul K. Direct soil moisture controls of future global soil carbon changes: An important source of uncertainty // Global Biogeochemical Cycles. 2011. V. 25. https://doi.org/10.1029/2010GB003938
- Glagolev M., Kleptsova I., Filippov I., Maksyutov S., Machida T. Regional methane emission from West Siberia mire landscapes // Environ. Res. Lett. 2011. V. 6. P. 045214. https://doi.org/10.1088/1748-9326/6/4/045214
- Gritsch C., Zimmermann M., Zechmeister–Boltenstern S. Interdependencies between temperature and moisture sensitivities of CO2 emissions in European land ecosystems // Biogeosciences. 2015. V. 12. P. 5981–5993. https://doi.org/10.5194/bgd-12-4433-2015
- Halbedel S., Koschorreck M. Regulation of CO2 emissions from temperate streams and reservoirs // Biogeosciences. 2013. V. 10. Р. 7539–7551. https://doi.org/10.5194/bg-10-7539-2013
- Hicks Pries C., Schuur E.A., Vogel J., Natali S. Moisture drives surface decomposition in thawing tundra // J. Geophys. Res.: Biogeosciences. 2013. V. 118. P. 1133–1143. https://doi.org/10.1002/jgrg.20089
- Howard D., Howard P.J. Relationships between CO2 evolution, moisture content and temperature for a range of soil types // Soil Biol. Biochem. 1993. V. 25. P. 1537–1546. https://doi.org/10.1016/0038-0717(93)90008-Y
- Hugelius G., Strauss J., Zubrzycki S., Harden J.W., Schuur E.A.G., Ping C.-L., Schirrmeister L. et al. Estimated stocks of circumpolar permafrost carbon with quantified uncertainty ranges and identified data gaps // Biogeosciences. 2014. V. 11. P. 6573–6593. https://doi.org/10.5194/bg-11-6573-2014
- Kirpotin S., Polishchuk Y., Bryksina N., Sugaipova A., Kouraev A., Zakharova E., Pokrovsky O.S. et al. West Siberian palsa peatlands: distribution, typology, cyclic development, present day climate-driven changes, seasonal hydrology, and impact on CO2 cycle // Int. J. Environ. Studies. 2011. V. 68. P. 603–623. https://doi.org/10.1080/00207233.2011.593901
- Lai D.Y.F. Methane Dynamics in Northern Peatlands: A Review // Pedosphere. 2009. V. 19. P. 409–421. https://doi.org/10.1016/S1002-0160(09)00003-4
- Lai D.Y.F., Roulet N.T., Humphreys E.R., Moore T.R., Dalva M. The effect of atmospheric turbulence and chamber deployment period on autochamber CO2 and CH4 flux measurements in an ombrotrophic peatland // Biogeosciences. 2012. V. 9. P. 3305–3322. https://doi.org/10.5194/bg-9-3305-2012
- Lawrence D.M., Koven C.D., Swenson S.C., Riley W.J., Slater A.G. Permafrost thaw and resulting soil moisture changes regulate projected high-latitude CO2 and CH4 emissions // Environ. Res. Lett. 2015. V. 10. P. 094011. https://doi.org/10.1088/1748-9326/10/9/094011
- Moyano F.E., Vasilyeva N., Bouckaert L., Cook F., Craine J., Curiel Yuste J., Don A. et al. The moisture response of soil heterotrophic respiration: interaction with soil properties // Biogeosciences. 2012. V. 9. P. 1173–1182. https://doi.org/10.5194/bg-9-1173-2012
- Natali S.M., Schuur E.A.G., Mauritz M., Schade J.D., Celis G., Crummer K.G., Johnston C. et al. Permafrost thaw and soil moisture driving CO2 and CH4 release from upland tundra // J. Geophys. Res.: Biogeosciences. 2015. V. 120. P. 525–537. https://doi.org/10.1002/2014JG002872
- Nielsen C.S., Hasselquist N.J., Nilsson M.B., Öquist M., Järveoja J., Peichl M.A. Novel Approach for High-Frequency in-situ Quantification of Methane Oxidation in Peatlands // Soil Systems. 2018. V. 3. P. 4. https://doi.org/10.3390/soilsystems3010004
- Nykänen H., Heikkinen J.E.P., Pirinen L., Tiilikainen K., Martikainen P.J. Annual CO2 exchange and CH4 fluxes on a subarctic palsa mire during climatically different years // Global Biogeochemical Cycle. 2003. V. 17. P. 1. https://doi.org/10.1029/2002GB001861
- O’Donnell J.A., Torre Jorgenson M., Harden J.W., McGuire A.D., Kanevskiy M.Z., Wickland K.P. The Effects of Permafrost Thaw on Soil Hydrologic, Thermal, and Carbon Dynamics in an Alaskan Peatland // Ecosystems. 2012. V. 15. P. 213–229. https://doi.org/10.1007/s10021-011-9504-0
- Olefeldt D., Roulet N.T. Effects of permafrost and hydrology on the composition and transport of dissolved organic carbon in a subarctic peatland complex // J. Geophysical Res.: Biogeosciences. 2012. V. 117. P. G01005. https://doi.org/10.1029/2011JG001819
- Olvmo M., Holmer B., Thorsson S., Reese H., Lindberg F. Sub-arctic palsa degradation and the role of climatic drivers in the largest coherent palsa mire complex in Sweden (Vissátvuopmi), 1955–2016 // Scientific Rep. 2020. V. 10. P. 8937. https://doi.org/10.1038/s41598-020-65719-1
- Rey A. Mind the gap: non-biological processes contributing to soil CO2 efflux // Global Change Biology. 2015. V. 21. P. 1752–1761. https://doi.org/10.1111/gcb.12821
- Schaefer K., Zhang T., Bruhwiler L., Barrett A.P. Amount, and timing of permafrost carbon release in response to climate warming // Tellus B: Chemical and Physical Meteorology. 2011. V. 63. P. 165–180. https://doi.org/10.1111/j.1600-0889.2011.00527.x
- Schuur E.A., McGuire A.D., Schädel C., Grosse G., Harden J.W., Hayes D.J., Hugelius G. et al. Climate change and the permafrost carbon feedback // Nature. 2015. V. 520. P. 171–179. https://doi.org/10.1038/nature14338
- Sjögersten S., Wal R., Woodin S.J. Small-scale hydrological variation determines landscape CO2 fluxes in the high Arctic // Biogeochemistry. 2006. V. 80. P. 205–216. https://doi.org/10.1007/s10533-006-9018-6
- Tarnocai C., Canadell J.G., Schuur E.A.G., Kuhry P., Mazhitova G., Zimov S. Soil organic carbon pools in the northern circumpolar permafrost region // Global Biogeochemical Cycles. 2009. V. 23. P. GB2023. https://doi.org/10.1029/2008GB003327
- Voigt C., Lamprecht R.E., Marushchak M.E., Lind S.E., Novakovskiy A., Aurela M., Martikainen P.J., Biasi C. Warming of subarctic tundra increases emissions of all three important greenhouse gases – carbon dioxide, methane, and nitrous oxide // Global Change Biology. 2017. V. 23. P. 3121–3138. https://doi.org/10.1111/gcb.13563
- Voigt C., Marushchak M.E., Mastepanov M., Lamprecht R.E., Christensen T.R., Dorodnikov M., Jackowicz–Korczyński M., Lindgren A., Lohila A., Nykänen H., Oinonen M., Oksanen T., Palonen V., Treat C.C., Martikainen P.J., Biasi C. Ecosystem carbon response of an Arctic peatland to simulated permafrost thaw // Global Change Biology. 2019. V. 25. P. 1746–1764. https://doi.org/10.1111/gcb.14574
- IUSS Working Group WRB 2015. World Reference Base for Soil Resources 2014, update 2015 International soil classification system for naming soils and creating legends for soil maps. World Soil Resources Reports No. 106. FAO, Rome. 2015. P. 192.
- IPCC, 2013: Climate Change 2013: The Physical Science Basis. Contribution of Working Group I to the Fifth Assessment Report of the Intergovernmental Panel on Climate Change. Cambridge: Cambridge University Press, P. 1535.
Дополнительные файлы








