Латеральное варьирование параметров гумусового и карбонатного профилей агрочерноземов (Белгородская область)
- Авторы: Смирнова М.А.1, Геннадиев А.Н.1, Чендев Ю.Г.2
-
Учреждения:
- МГУ им. М.В. Ломоносова
- Белгородский государственный национальный исследовательский университет
- Выпуск: № 3 (2023)
- Страницы: 300-311
- Раздел: ГЕНЕЗИС И ГЕОГРАФИЯ ПОЧВ
- URL: https://bakhtiniada.ru/0032-180X/article/view/138014
- DOI: https://doi.org/10.31857/S0032180X22601086
- EDN: https://elibrary.ru/HDONUQ
- ID: 138014
Цитировать
Полный текст
Аннотация
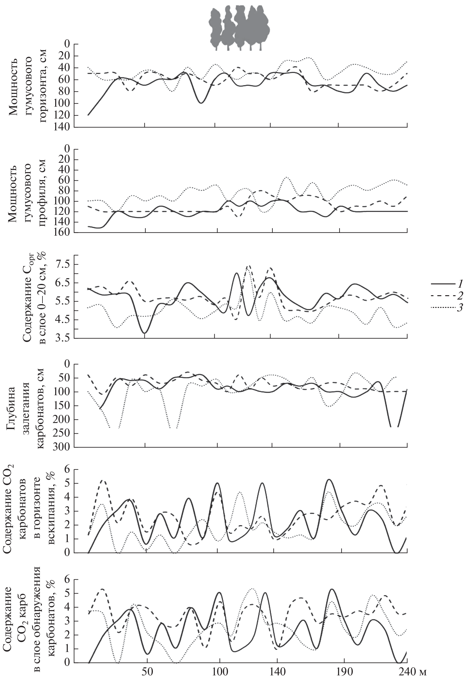
Изучение латерального варьирования свойств агрочерноземов позволило получить количественную характеристику ненаправленных короткопериодичных, как правило, первые метры, изменений почвенно-профильных параметров. В основу настоящего исследования положены данные о почвах водораздельной поверхности, приуроченных к трем параллельным трансектам, каждая протяженностью 240 м, перпендикулярно пересекающим лесополосу 60-летнего возраста в их центральной части. Шаг опробования составил 10 м на сельскохозяйственных полях и 6 м – под лесополосой; изучены особенности гумусового и карбонатного профилей в 75 точках: содержание органического углерода в слое 0–20 см, мощность гумусового горизонта и гумусового профиля, глубина вскипания, содержание углекислоты карбонатов в слое вскипания и горизонте максимального скопления карбонатов. Выявлено, что параметры гумусового и карбонатного профилей почв меняются периодически с шагом 6–10 м. Параметры гумусового профиля характеризуются меньшими коэффициентами вариации (<30%), чем параметры карбонатного профиля почв (>50%). Произрастание лесных насаждений на агрочерноземах (Haplic Chernozem (Аric)) в течение 60 лет привело к формированию новых классификационных компонентов – агрочерноземов постагрогенных (Haplic Chernozem), характеризующихся меньшим латеральным варьированием свойств по сравнению с почвами пашни. Всего в пределах исследованного участка встречается 3 типа почв: агрочерноземы (64 точки; Haplic Chernozem (Aric, Loamic, Pachic)), агрочерноземам глинисто-иллювиальные (7 точек; Luvic Chernozem (Aric, Loamic, Pachic) и Luvic Chernic Phaeozem (Aric, Loamic, Pachic)) и агрочерноземы глинисто-иллювиальные квазиглеевые (4 точки; Luvic Stagnic Chernic Phaeozem (Aric, Loamic, Pachic)), включающие 8 подтипов.
Об авторах
М. А. Смирнова
МГУ им. М.В. Ломоносова
Автор, ответственный за переписку.
Email: summerija@yandex.ru
Россия, 119999, Москва, Ленинские горы, 1
А. Н. Геннадиев
МГУ им. М.В. Ломоносова
Email: summerija@yandex.ru
Россия, 119999, Москва, Ленинские горы, 1
Ю. Г. Чендев
Белгородский государственный национальный исследовательский университет
Email: summerija@yandex.ru
Россия, 308015, Белгород, ул. Победы, 85,
Список литературы
- Аринушкина Е.В. Руководство по химическому анализу почв. М.: Изд-во Моск. ун-та, 1970. 490 с.
- Афанасьева Е.А. Черноземы Средне-Русской возвышенности. М.: Наука, 1966. 224 с.
- Белеванцев В.Г., Чендев Ю.Г. Картографический анализ социальных и природных явлений на территории Белгородской области в XVIII, XIX и XX вв. // Проблемы природопользования и экологическая ситуация в Европейской России и сопредельных странах. Белгород: Политерра, 2015. С. 6–16.
- Денисова Н.В. Почвенный покров Курской опытной станции // Научн. тр. Курской с.-х. опытной станции. Курск, 1967. Т. 1. С. 27–31.
- Дмитриев П.П., Худяков О.И. Педогенез в поселениях млекопитающих-землероев. М.: КМК, 2018. 250 с.
- Жидкин А.П., Геннадиев А.Н. Количественная оценка интенсивности вертикальной транслокации твердофазного вещества почв с помощью метода магнитного трассера // Почвоведение. 2016. № 7. С. 785–793.
- Классификация и диагностика почв России. Смоленск: Ойкумена, 2004. 342 с.
- Классификация и диагностика почв СССР. М.: Колос, 1977. 221 с.
- Княжнева Е.В., Надежкин С.М., Фрид А.С. Пространственная неоднородность уровня плодородия выщелоченного чернозема в пределах поля // Почвоведение. 2006. № 9. С. 1120–1129.
- Козловский Ф.И. Теория и методы изучения почвенного покрова. М.: ГЕОС, 2003. 534 с.
- Кураченко Н.Л. Пространственно-временная динамика агрохимических показателей чернозема в условиях минимальной обработки // Проблемы современной аграрной науки. 2018. С. 42–45.
- Лебедева И.И. Гумусовые и карбонатные аккумуляции как диагностические критерии в черноземах Восточной Европы // Бюл. Почв. ин-та им. В.В. Докучаева. 2011. № 68. С. 3–18.
- Лукин С.В. Агроэкологическое состояние и продуктивность почв Белгородской области. Белгород: Константа, 2016. 344 с.
- Смирнова М.А., Геннадиев А.Н., Чендев Ю.Г., Ковач Р.Г. Влияние полезащитных лесных насаждений на локальное разнообразие почв (Белгородская область) // Почвоведение. 2020. № 9. С. 1041–1052.
- Сидорова В.А., Красильников П.В. Почвенно-географическая интерпретация пространственной вариабельности химических и физических свойств поверхностных горизонтов почв степной зоны // Почвоведение. 2007. № 10. С. 1168–1178.
- Семенов В.М., Когут Б.М. Почвенное органическое вещество. М.: Геос, 2015. 233 с.
- Соколов И.А. Теоретические проблемы генетического почвоведения. Новосибирск: Наука, Сибирская издательская фирма, 1993. 232 с.
- Сорокина Н.П. Динамика почвенного покрова распаханного склона Курской опытной станции за 20-летний период // Региональные модели плодородия почв как основа совершенствования зональных систем земледелия. М.: Почв ин-т им. В. В. Докучаева, 1988. С. 163–171.
- Сорокина Н.П. Применение статистических методов при уточнении диагностики черноземов // Крупномасштабная картография почв. М.: Наука, 1971. С. 123–132.
- Сорокина Н.П. Элементарные почвенные структуры на полях Курской опытной станции // Крупномасштабная картография почв и ее значение в сельском хозяйстве черноземной зоны. М.: Почв. ин-т им. В.В. Докучаева, 1976. С. 155–173.
- Фомин Д.С. Пространственные закономерности распределения органического, карбонатного углерода в агроландшафте (Курский НИИ АПП) // Почвоведение: горизонты будущего. 2017. С. 76–81.
- Фишман М.И. Черноземные комплексы и их связь с рельефом на Среднерусской возвышенности // Почвоведение. 1977. № 5. С. 17–30.
- Фридланд В.М. Структура почвенного покрова. М.: Мысль, 1972. С. 424.
- Фридланд В.М., Белобров В.П., Дайнеко Е.К. Опыт статистического анализа морфологических свойств черноземов целинной степи // Почвоведение. 1969. № 4. С. 12–24.
- Хитров Н.Б. Создание детальных почвенных карт на основе интерполяции данных о свойствах почв // Почвоведение. 2012. № 10. С. 1045–1046.
- Хитров Н.Б., Лойко С.В. Структура почвенного покрова плоских водораздельных пространств Каменной Степи // Почвоведение. 2010. № 12. С. 1411–1423.
- Целищева Л.К., Дайнеко Е.К. Очерк почв стрелецкого участка центрально-черноземного заповедника // Тр. Центрально-черноземного государственного заповедника им. В.В. Алёхина. 1966. Вып. 10.
- Hartemink A.E., Gennadiyev A.N., Bockheim J.G., Bero N. Short-range variation in a Wisconsin soilscape (USA) // Eurasian Soil Science. 2017. V. 50. № 2. P. 198–209.
- Heuvelink G.B.M., Webster R. Modelling soil variation: past, present, and future // Geoderma. 2001. V. 100. № 3–4. P. 269–301.
- Khitrov N., Smirnova M., Lozbenev N., Levchenko E., Gribov V., Kozlov D., Rukhovich D., Kalinina N., Koroleva P. Soil cover patterns in the forest-steppe and steppe zones of the East-European plain // Soil Sci. Annual. 2019. V. 70(3). P. 198–210. https://doi.org/10.2478/ssa-2019-0018
- Lozbenev N., Yurova A., Smirnova M., Kozlov D. Incorporating process-based modeling into digital soil mapping: A case study in the virgin steppe of the central Russian upland // Geoderma. 2021. V. 383. P. 114733. https://doi.org/10.1016/j.geoderma.2020.114733
- McBratney A.B., Webster R. Spatial dependence and classification of the soil along a transect in northeast Scotland // Geoderma. 1981. V. 26. № 1–2. P. 63–82.
- Wilkinson M.T., Richards P.J., Humphreys G.S. Breaking ground: Pedological, geological, and ecological implications of soil bioturbation // Earth-Sci. Rev. 2009. V. 97. P. 254–269. https://doi.org/10.1016/j.earscirev.2009.09.005
- Zhang Y., Hartemink A.E. Quantifying short-range variation of soil texture and total carbon of a 330-ha farm // Catena. 2021. V. 201. P. 105200.
Дополнительные файлы






