Eutrophication of Arable Soil: The Comparative Effect of Mineral and Organic Fertilizer Systems
- Authors: Semenov V.M.1, Lebedeva T.N.1, Zinyakova N.B.1, Sokolov D.A.1, Semenov M.V.2
-
Affiliations:
- Institute of Physicochemical and Biological Problems in Soil Science, Russian Academy of Sciences
- Dokuchaev Soil Science Institute, Russian Academy of Sciences
- Issue: No 1 (2023)
- Pages: 58-73
- Section: AGRICULTURAL CHEMISTRY AND SOIL FERTILITY
- URL: https://bakhtiniada.ru/0032-180X/article/view/137825
- DOI: https://doi.org/10.31857/S0032180X22600676
- EDN: https://elibrary.ru/JKKEYD
- ID: 137825
Cite item
Full Text
Abstract
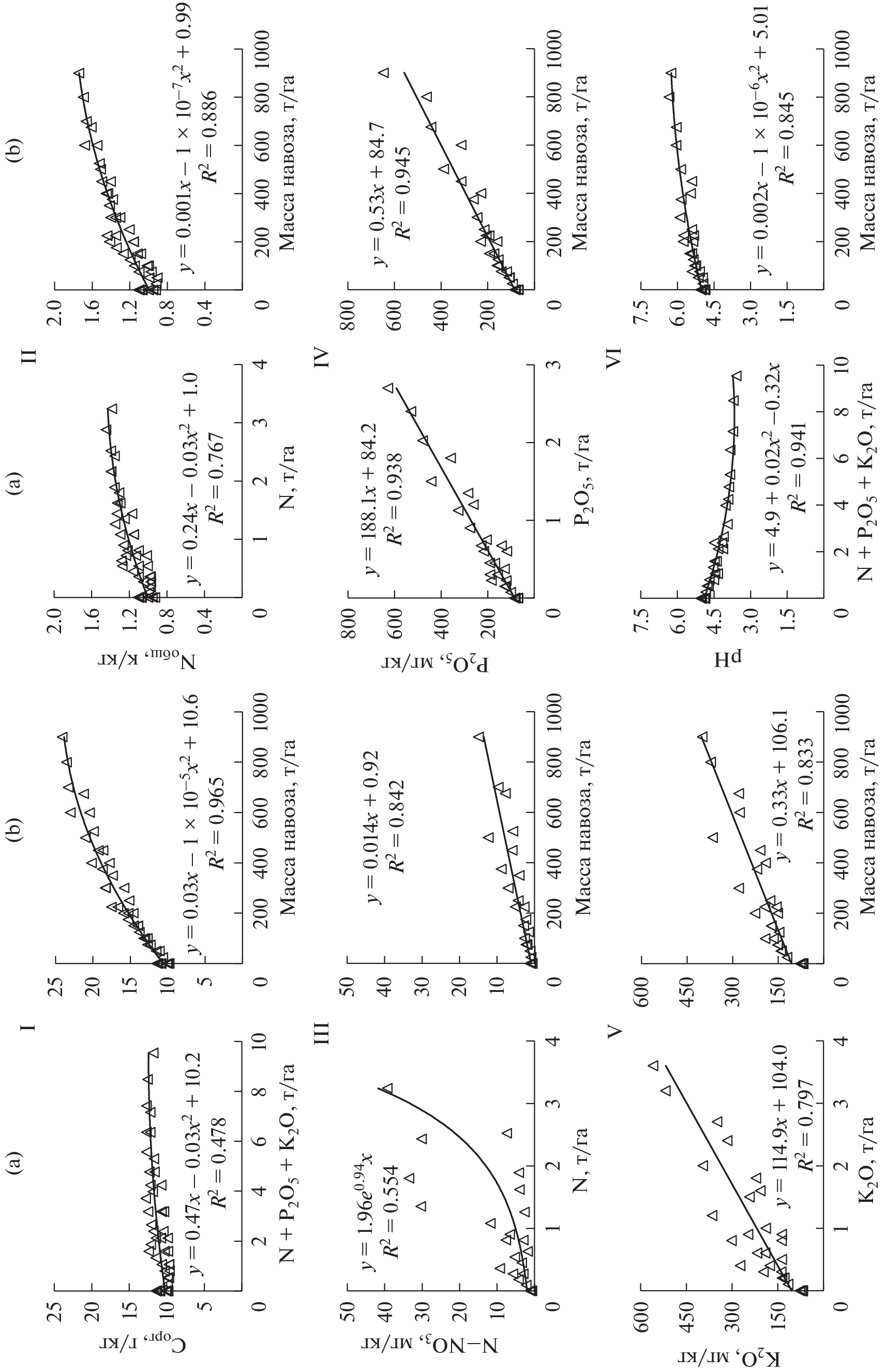
Agrogenic eutrophication refers to the artificial enrichment of soil with organic carbon and nutrients in result of applying mineral and organic fertilizers to increase soil fertility and plant productivity. Eutrophication of gray forest soils (Luvic Retic Greyzemic Phaeozems (Loamic)) was created by annual application of increasing doses of mineral (N 90–360, P2O5 75–300 and K2O 100–400 kg/ha) and organic (fresh cattle manure from 25 to 100 t/ha) fertilizers under plants of a 5–field crop rotation for 9 years in microplots experiment. The NPK amounts applied with the manure were approximately equal to the corresponding doses of mineral fertilizer. The rates of soil enrichment by Corg under mineral and organic fertilizer systems were, respectively, 0.29–0.38 and 0.76–1.56 g/kg per year, Ntot – 0.04–0.06 and 0.06–0.09 g/kg per year, available P2O5 – 4–57 and 11–55 mg/kg per year, available K2O – 5–44 and 6–31 mg/kg per year. The fertilizer doses under both systems were the most significant factor in the accumulation of nitrate nitrogen, available forms of phosphorus and potassium in the soil, while the Ntot contents was controlled by the duration of fertilizer application. The Corg content in the soil with organic and mineral fertilizers depended on the dose of manure and the duration of NPK application, respectively. Soil eutrophication with mineral fertilizers was accompanied by a decrease in soil pH, and eutrophication with organic fertilizers, on the contrary, led to an increase in pH. It is emphasized that over–fertilization and long–term use of fertilizers are the main factors in the development of soil eutrophication and the concomitant change in soil pH.
About the authors
V. M. Semenov
Institute of Physicochemical and Biological Problems in Soil Science, Russian Academy of Sciences
Author for correspondence.
Email: v.m.semenov@mail.ru
Russia, 142290, Pushchino
T. N. Lebedeva
Institute of Physicochemical and Biological Problems in Soil Science, Russian Academy of Sciences
Email: v.m.semenov@mail.ru
Russia, 142290, Pushchino
N. B. Zinyakova
Institute of Physicochemical and Biological Problems in Soil Science, Russian Academy of Sciences
Email: v.m.semenov@mail.ru
Russia, 142290, Pushchino
D. A. Sokolov
Institute of Physicochemical and Biological Problems in Soil Science, Russian Academy of Sciences
Email: v.m.semenov@mail.ru
Russia, 142290, Pushchino
M. V. Semenov
Dokuchaev Soil Science Institute, Russian Academy of Sciences
Email: v.m.semenov@mail.ru
Russia, 119017, Moscow
References
- Васбиева М.Т. Изменение агрохимических показателей дерново-подзолистой почвы Предуралья при длительном применении удобрений // Почвоведение. 2021. № 1. С. 90–99. https://doi.org/10.31857/S0032180X21010135
- Волынкина О.В., Кириллова Е.В. Формирование агрофона с оптимальным содержанием подвижного фосфора в черноземе выщелоченном // Агрохимия, 2021. № 1. С. 3–11. https://doi.org/10.31857/S0002188121010117
- Зинякова Н.Б., Семенов В.М. Влияние возрастающих доз органических и минеральных удобрений на пулы растворенного, подвижного и активного органического вещества в серой лесной почве // Агрохимия. 2014. № 6. С. 8–19.
- Кудеяров В.Н. Оценка питательной деградации пахотных почв России // Вестник Российской академии наук. 2015. Т. 85. № 9. С. 771–775. https://doi.org/10.7868/S0869587315090078
- Кудеяров В.Н. Почвенно-биогеохимические аспекты состояния земледелия в Российской Федерации // Почвоведение. 2019. № 1. С. 109–121. https://doi.org/10.1134/S0032180X1901009X
- Кудеяров В.Н., Башкин В.Н., Кудеярова А.Ю., Бочкарев А.Н. Экологические проблемы применения минеральных удобрений. М.: Наука, 1984. 214 с.
- Кудеяров В.Н., Семенов В.М. Оценка современного вклада удобрений в агрогеохимический цикл азота, фосфора и калия // Почвоведение. 2004. № 12. С. 1440–1446.
- Кудеяров В.Н., Семенов В.М. Проблемы агрохимии и современное состояние химизации сельскохозяйственного производства в Российской Федерации // Агрохимия. 2014. № 10. С. 3–17.
- Кудеярова А.Ю. Фосфатогенная трансформация почв. М.: Наука, 1995. 288 с.
- Митрофанова Е.М., Васбиева М.Т. Фосфатный режим дерново-подзолистой почвы при длительном применении органических и минеральных удобрений // Агрохимия. 2014. № 9. С. 13–19.
- Мерзлая Г.Е., Еськов А.И., Тарасов С.И. Действие и последействие систем удобрения с использованием навоза // Плодородие. 2011. № 3. С. 16–19.
- Носко Б.С., Бабынин В.И., Гладких Е.Ю. Последействие удобрений на физико-химические и агрохимические свойства чернозема типичного // Агрохимия. 2012. № 4. С. 3–13.
- Паутова Н.Б., Семенова Н.А., Хромычкина Д.П., Лебедева Т.Н., Семенов В.М. Определение активного органического вещества в свежем подстилочном навозе биокинетическим методом // Агрохимия. 2018. № 9. С. 29–39. https://doi.org/10.1134/S0002188118090107
- Романенков В.А., Беличенко М.В., Рухович О.В., Никитина Л.В., Иванова О.И. Эффективность использования азота в длительных и краткосрочных опытах агрохимслужбы и геосети Российской Федерации // Агрохимия. 2020. № 12. С. 28–37. https://doi.org/10.31857/S0002188120120091
- Семенов А.М., Бубнов И.А., Семенов В.М., Семенова Е.В., Зеленев В.В., Семенова Н.А. Ежедневная динамика численности бактерий и эмиссии СО2 почвы и связь их волнообразных колебаний с сукцессией микробного сообщества // Почвоведение. 2013. № 8. С. 963–979. https://doi.org/10.7868/S0032180X13080078
- Семенов В.М., Пругар Я., Кноп К., Пехова Б., Агаев В.А., Соколов О.А. Накопление нитратов растениями при интенсивном применении азотных удобрений // Известия АН СССР. Серия биологическая. 1986. № 2. С. 201–209.
- Сычев В.Г., Шафран С.А., Виноградова С.Б. Плодородие почв России и пути его регулирования // Агрохимия. 2020. № 6. С. 3–13. https://doi.org/10.31857/S0002188120060125
- Тарасов С.И., Кравченко М.Е., Бужина Т.А. Баланс азота, использование биогенных элементов в агроценозах с бессменным возделыванием костреца безостого при длительном применении различных доз бесподстилочного навоза // Агрохимия. 2021. № 2. С. 21–30. https://doi.org/10.31857/S0002188121020125
- Шафран С.А., Кирпичников Н.А., Ермаков А.А., Семенова А.И. Динамика содержания подвижного фосфора в почвах Нечерноземной зоны и его регулирование // Агрохимия. 2021. № 5. С. 14–20. https://doi.org/10.31857/S0002188121050100
- Шишов Л.Л., Тонконогов В.Д., Лебедева И.И., Герасимова М.И. Классификация и диагностика почв России. Смоленск: Ойкумена, 2004. 324 с.
- Albornoz F. Crop responses to nitrogen overfertilization: A review // Scientia Horticulturae. 2016. V. 205. P. 79–83. https://doi.org/10.1016/j.scienta.2016.04.026
- Alvarez R. A review of nitrogen fertilizer and conservation tillage effects on soil organic carbon storage // Soil Use Manag. 2005. V. 21(1). P. 38–52. https://doi.org/10.1111/j.1475-2743.2005.tb00105.x
- Bouwman A.F., van Vuuren D.P., Derwent R.G., Posch M. A global analysis of acidification and eutrophication of terrestrial ecosystems // Water, Air, and Soil Pollution. 2002. V. 141. P. 349–382. https://doi.org/10.1023/A:1021398008726
- Bouwman L., Goldewijk K.K., Van Der Hoek K.W., Beusen A.H.W., Van Vuuren D.P., Willems J., Rufino M.C., Stehfest E. Exploring global changes in nitrogen and phosphorus cycles in agriculture induced by livestock production over the 1900–2050 period // PNAS. 2013. V. 110(52). P. 20882–20887. https://doi.org/10.1073/pnas.1012878108
- Chen X., Yan X., Wang M., Cai Y., Weng X., Su D., Guo J., Wang W., Hou Y., Ye D., Zhang S., Liu D., Tong L., Xu X., Zhou S., Wu L., Zhang F. Long-term excessive phosphorus fertilization alters soil phosphorus fractions in the acidic soil of pomelo orchards // Soil and Tillage Research. 2022. V. 215. Art. № 105214. https://doi.org/10.1016/j.still.2021.105214
- Craine J.M., Elmore A.J., Wang L., Aranibar J., Bauters M., Boeckx P., Crowley B.E., Dawes M.A., Delzon S., Fajardo A., Fang Y., Fujiyoshi L., Gray A., Guerrieri R., Gundale M.J., … Zmudczyńska–Skarbek K. Isotopic evidence for oligotrophication of terrestrial ecosystems // Nature Ecology and Evolution. 2018. V. 2. P. 1735–1744. https://doi.org/10.1038/s41559-018-0694-0
- Dang P., Li C., Lu C., Zhang M., Huang T., Wan C., Wang H., Chen Y., Qin X., Liao Y., Siddique K.H.M. Effect of fertilizer management on the soil bacterial community in agroecosystems across the globe // Agriculture, Ecosystems and Environment. 2022. V. 326. Art. № 107795. https://doi.org/10.1016/j.agee.2021.107795
- Ekblad A., Nordgren A. Is growth of soil microorganisms in boreal forests limited by carbon or nitrogen availability? // Plant and Soil. 2002. V. 242. P. 115–122. https://doi.org/10.1023/A:1019698108838
- Elser J.J., Bracken M.E.S., Cleland E.E., Gruner D.S., Harpole W.S., Hillebrand H., Ngai J.T., Seabloom E.W., Shurin J.B., Smith J.E. Global analysis of nitrogen and phosphorus limitation of primary producers in freshwater, marine and terrestrial ecosystems // Ecology Letters. 2007. V. 10. P. 1135–1142. https://doi.org/10.1111/j.1461-0248.2007.01113.x
- Garske B., Stubenrauch J., Ekardt F. Sustainable phosphorus management in European agricultural and environmental law // Review of European, Comparative and International Environmental Law. 2020. V. 29. P. 107–117. https://doi.org/10.1111/reel.12318
- Good A.G., Beatty P.H. Fertilizing Nature: A Tragedy of Excess in the Commons // PLoS Biol. 2011. V. 9(8). Art. № e1001124. https://doi.org/10.1371/journal.pbio.1001124
- Guo J.H., Liu X.J., Zhang Y., Shen J.L., Han W.X., Zhang W.F., Christie P., Goulding K.W.T., Vitousek P.M., Zhang F.S. Significant Acidification in Major Chinese Croplands // Science. 2010. V. 327(5968). P. 1008–1010. https://doi.org/10.1126/science.1182570
- Ho A., Di Lonardo D.P., Bodelier P.L.E. Revisiting life strategy concepts in environmental microbial ecology // FEMS Microbiology Ecology. 2017. V. 93(3), Art. № fix006. https://doi.org/10.1093/femsec/fix006
- Innes R. Economics of Agricultural Residuals and Overfertilization: Chemical Fertilizer Use, Livestock Waste, Manure Management, and Environmental Impacts // Encyclopedia of Energy, Natural Resource and Environmental Economics. 2013. V. 2. P. 50–57. https://doi.org/10.1016/B978-0-12-375067-9.00118-2
- Ju X.T., Xing G.X., Chen X.P., Zhang S.L., Zhang L.J., Liu X.J., Cui Z.L., Yin B., Christie P., Zhu Z.L., Zhang F.S. Reducing environmental risk by improving N management in intensive Chinese agricultural systems // PNAS. 2009. V. 106(9). P. 3041–3046. https://doi.org/10.1073 pnas.0813417106
- Le Moal M., Gascuel-Odoux C., Ménesguen A., Souchon Y., Étrillard C., Levain A., Moatar F., Pannard A., Souchu P., Lefebvre A., Pinay G. Eutrophication: A new wine in an old bottle? // Science Total Environment. 2019. V. 651. P. 1–11. https://doi.org/10.1016/j.scitotenv.2018.09.139
- Musacchio A., Re V., Mas-Pla J., Sacchi E. EU Nitrates Directive, from theory to practice: Environmental effectiveness and influence of regional governance on its performance // Ambio. 2020. V. 49. P. 504–516. https://doi.org/10.1007/s13280-019-01197-8
- Odland A. Oligotrophic and mesotrophic vegetation in southern Scandinavian mountains. Gradients in species and community distribution extracted by numerical analyses of earlier published vegetation descriptions // Phytocoenologia. 2005. B. 35(4). P. 985–1018. https://doi.org/10.1127/0340-269X/2005/0035-0985
- Raven J.A., Andrews M., Quigg A. The evolution of oligotrophy: implications for the breeding of crop plants for low input agricultural systems // Annals Applied Biology. 2005. V. 146(3). P. 261–280. https://doi.org/10.1111/j.1744-7348.2005.040138.x
- Rodríguez L., Macías F. Eutrophication trends in forest soils in Galicia (NW Spain) caused by the atmospheric deposition of nitrogen compounds // Chemosphere. 2006. V. 63(9). P. 1598–1609. https://doi.org/10.1016/j.chemosphere.2005.08.072
- Roth M., Michiels H.G., Puhlmann H., Sucker C., Hauck M. Multiple soil factors explain eutrophication signals in the understorey vegetation of temperate forests // J. Vegetation Sci. 2021. V. 32. Art. № e13063. https://doi.org/10.1111/jvs.13063
- Roth M., Michiels H.G., Puhlmann H., Sucker C., Winter M.B., Hauck M. Responses of Temperate Forests to Nitrogen Deposition: Testing the Explanatory Power of Modeled Deposition Datasets for Vegetation Gradients // Ecosystems. 2021. V. 24. P. 1222–1238. https://doi.org/10.1007/s10021-020-00579-4
- Schelfhout S., Wasof S., Mertens J., Vanhellemont M., Demey A., Haegeman A., DeCock E., Moeneclaey I., Vangansbeke P., Viaene N., Baeyen S., De Sutter N., Maes M., van der Putten W.H., Verheyen K., De Schrijver A. Effects of bioavailable phosphorus and soil biota on typical Nardus grassland species in competition with fast-growing plant species // Ecological Indicators. 2021. V. 120. Art. № 106880. https://doi.org/10.1016/j.ecolind.2020.106880
- Schimel J.P., Schaeffer S.M. Microbial control over carbon cycling in soil // Front. Microbiol. 2012. V. 3. Art. № 348. https://doi.org/10.3389/fmicb.2012.00348
- Semenov A.M. Physiological bases of oligotrophy of microorganisms and the concept of microbial community // Microbial Ecology. 1991. V. 22. P. 239–247. https://doi.org/10.1007/BF02540226
- Smith V.H., Schindler D.W. Eutrophication science: where do we go from here? // Trends in Ecology and Evolution. 2009. V. 24(4). P. 201–207. https://doi.org/10.1016/j.tree.2008.11.009
- Smith V.H., Tilman G.D., Nekola J.C. Eutrophication: impacts of excess nutrient inputs on freshwater, marine, and terrestrial ecosystems // Environmental Pollution. 1999. V. 100(1–3). P. 179–196. https://doi.org/10.1016/S0269-7491(99)00091-3
- Stevens C.J., Thompson K., Grime J.P., Long C.J., Gowing D.J.G. Contribution of acidification and eutrophication to declines in species richness of calcifuge grasslands along a gradient of atmospheric nitrogen deposition // Functional Ecology. 2010. V. 24. P. 478–484. https://doi.org/10.1111/j.1365-2435.2009.01663.x
- Van Dobben H.F., De Vries W. The contribution of nitrogen deposition to the eutrophication signal in understorey plant communities of European forests // Ecology and Evolution. 2017. V. 7. P. 214–227. https://doi.org/10.1002/ece3.2485
- Wheeler B.D., Proctor M.C.F. Ecological gradients, subdivisions and terminology of north-west European mires // J. Ecology. 2000. V. 88(2). P. 187–203. https://doi.org/10.1046/j.1365-2745.2000.00455.x
- Withers P.J.A., Neal C., Jarvie H.P., Doody D.G. Agriculture and Eutrophication: Where Do We Go from Here? // Sustainability. 2014. V. 6. P. 5853–5875. https://doi.org/10.3390/su6095853
- Xu X., Du X., Wang F., Sha J., Chen Q., Tian G., Zhu Z., Ge S., Jiang Y. Effects of Potassium Levels on Plant Growth, Accumulation and Distribution of Carbon, and Nitrate Metabolism in Apple Dwarf Rootstock Seedlings // Frontiers Plant Sci. 2020. V. 11. Art. № 904. https://doi.org/10.3389/fpls.2020.00904
Supplementary files



