Evaluation of virulence of isolates of certain species of entomopathogenic anamorphic ascomycetes (Fungi, Ascomycota) in relation to adult individuals of the tick Ixodes Persulcatus
- Authors: Borisov B.A.1, Bespyatova L.A.2, Lednev G.R.3, Levchenko M.V.3, Bugmyrin S.V.2
-
Affiliations:
- ООО «АгроБиоТехнология»
- Институт биологии КарНЦ РАН, ФИЦ «Карельский научный центр РАН»
- Всероссийский институт защиты растений
- Issue: Vol 58, No 2 (2024)
- Pages: 124-135
- Section: Articles
- URL: https://bakhtiniada.ru/0031-1847/article/view/256218
- DOI: https://doi.org/10.31857/S0031184724020030
- EDN: https://elibrary.ru/YNPKYS
- ID: 256218
Cite item
Full Text
Abstract
In nature, entomopathogenic fungi (EPF) play an important role in the control of population density in many arthropods. The lethal effects of EPF on ixodid ticks (Ixodidae) have been, however, reported mainly in southern warm-loving species, which are mostly not found in Europe. The aim of this study was to evaluate in laboratory the virulence of nine selected psychrotolerant EPF isolates of Beauveria bassiana s. l. (6), Akanthomyces cf. muscarius (2) and Metarhizium anisopliae s. l. (1) at a moderate average daily temperature of +14°C in relation to overwintering adult taiga ticks (Ixodes persulcatus), collected at the end of May in the Kondopoga region of the Republic of Karelia. Under this temperature, the use of suspensions for infection with a concentration of infectious spores (conidia) of 3×107 per 1 ml, all isolates showed a lethal effect on ticks. Among these isolates, the most virulent and rapidly acting one was B. bassiana s. l. CCi-Ar (SI)14 from the Arkhangelsk Province, Bolshoy Solovetsky Island (N 65°, E 35°), that killed 70% of specimens after 9 days, and 95% after 11 days. At the same time, it was found that male ticks have a slightly higher death rate from fungal infections. However, the potential suitability of some EPF isolates for biological control of I. persulcatus populations at low temperatures, shown in this study, requires confirmation in further tests in real conditions of recreational areas actively visited by humans, where infection with dangerous pathogens (tick-borne encephalitis, Lyme borreliosis) transmitted by tick bites often occurs.
Full Text
Таежный клещ Ixodes persulcatus Schulze, 1930 (Acarina, Ixodidae) – один из основных переносчиков и долговременных хранителей возбудителей наиболее опасных трансмиссивных болезней человека, в том числе клещевого энцефалита и иксодовых клещевых боррелиозов по всему ареалу вида. В настоящее время на большей части территории Республики Карелия таежный клещ преобладает и по обилию, и по широте расселения относительно второго эпидемиологически важного вида – европейского лесного клеща Ixodes ricinus (Linnaeus, 1758) (Беспятова, Бугмырин, 2012, 2021; Bugmyrin et al., 2013, 2019). Это и определило актуальность изучения потенциальных агентов для биологического контроля численности таежного клеща в Карелии.
Энтомопатогенные грибы (далее ЭПГ) расцениваются наиболее перспективными естественными врагами иксодид (Ment et al., 2010; Klingen, van Duijvendijk, 2016; Ub, Narladkar, 2018). Контактный способ внедрения в хозяев через кутикулярные покровы дает этим грибам явное преимущество над вирусами и бактериями, которые заражают членистоногих перорально, но почти не способны инфицировать гематофагов через режуще-сосущий ротовой аппарат.
К настоящему времени известно порядка 20 видов ЭПГ, трофически связанных в природе с иксодовыми клещами (Samish et al., 2008). Это, прежде всего, представители отдела сумчатых грибов (Ascomycota) из относящихся к разным порядкам родов Akanthomyces (=Lecanicillium), Aspergillus, Beauveria, Cordyceps (=Isaria), Fusarium, Hirsutella, Metarhizium, Purpureocillium и Tolypocladium.
В литературе имеется большой ряд сообщений о видовом составе, распространенности и уровне заражения ЭПГ конкретных видов клещей. Так, было показано (Kalsbeek et al., 1995), что особи I. ricinus, собранные из шерсти мелких грызунов и оленей в Дании, были заражены видами Beauveria bassiana s. l., В. brongniartii s. l., Cordyceps farinosа (устаревшие прежние названия: Isaria farinosa, Paecilomyces farinosus), C. fumosorosea (I. funosorosea, P. fumosoroseus), Akanthomyces lecanii (Lecanicillium lecanii, Verticillium lecanii). При этом микозы чаще всего встречались у напитавшихся (22%) и голодных самок (10%), тогда как инфекции у самцов, нимф и личинок не превышали 1%. В Чехии самки этого же вида клеща, собранные в летний период, были поражены Beauveria spp., а также условно-патогенными видами грибов из родов Aspergillus, Fusarium и Mucor (Samsinakova et al., 1974). B. bassiana s. l. был также изолирован из самок Boophilus microplus (Fernandes et al., 2003). Есть сведения об обнаружении B. bassiana s. l. и B. pseudobassiana на I. ricinus в Молдавии (Munteanu et al., 2014). Имеются данные, что в Европе природные спонтанные микозы могут приводить к летальному исходу до 50% клешей рода Dermacentor и других иксодид (Samish, Rehacek, 1999). Однако подобных данных не так много, что связано с трудностями сбора клещей, пораженных ЭПГ, и поэтому роль природных грибных инфекций в популяционной динамике иксодид явно недооценена (Chandler et al., 2000).
В разработке коммерческих микоакарицидов, которые можно использовать для биоконтроля этих клещей, наибольший интерес представляют гипокреальные (порядок Hypocreales) ЭПГ из родов Beauveria и Metarhizium. Показано, что при обработке растений, заселённых клещами Rhipicephalus appendiculatus и Amblyomma variegatum, масляными суспензиями B. bassiana и M. anisopliae с титром 1×109 конидий/мл смертность личинок и нимф достигала 80–100%, а взрослых особей – 80–90% (Kaaya, Hassan, 2000). При этом, если в контрольной группе жизнеспособность яиц клещей составляла 98%, то в вариантах с использованием этих ЭПГ она не превышала 30 и 50% соответственно. В Австрии были проведены работы по использованию M. brunneum (промышленный штамм BIPESCO 5) путем опрыскивания растительности в массовых очагах I. ricinus в зонах отдыха населения, показавшие весьма обнадеживающие результаты (Strasser et al., 2007). В США промышленный штамм F52 гриба M. brunneum был одобрен в качестве продуцента биопрепаратов Tick-EX EC и Tick-EX G для контроля численности гематофаговых пастбищных клещей (https://www3.epa.gov). Для I. persulcatus подобные данные фактически отсутствуют (Alekseev, 2011; Шашина и др., 2021). Для Республики Карелия есть лишь одна работа (Беспятова, Бобровских, 1988) по изучению ЭПГ как возможных регуляторов численности иксодовых клещей.
В связи с этим целью настоящего исследования был первичный скрининг изолятов ЭПГ разного природно-климатического происхождения из двух близких семейств порядка Hypocreales: B. bassiana s. l., A. cf. muscarius (сем. Cordycipitaceae) и M. anisopliae s. l. (сем. Clavicipitaceae) по признаку вирулентности в отношении таежного клеща.
МАТЕРИАЛЫ И МЕТОДЫ
В условиях европейского севера России, включая территорию Карелии, взрослые клещи Ixodes persulcatus активизируются весной вскоре после схода снега, и пик нападения на людей чаще всего приходится на май–июнь, когда среднесуточные температуры находятся в диапазоне +10…15ºС (Бугмырин и др., 2023; Bugmyrin, Bespyatova, 2023). Однако у большинства штаммов ЭПГ оптимальными для развития в культуре и реализации вирулентных свойств являются температуры +23…28°С. В связи с этим на первом этапе из большой серии природных коллекционных изолятов (более 40) разных видов ЭПГ из многих регионов России, а также Казахстана и Абхазии были отобраны только те, которые при температуре +7 ± 0.5°С образовывали на агаризованной модифицированной питательной среде Сабуро с 0.6% дрожжевого экстракта в чашках Петри через 30 суток наиболее крупные колонии диаметром от 1.5 см и более. Таковыми оказались 11 изолятов, из которых в данном исследовании были задействованы 9: B. bassiana s. l. – 6, A. cf. muscarius – 2 и M. anisopliae s. l. – 1 изолят (табл. 1).
Таблица 1. Происхождение изолятов энтомопатогенных грибов, использованных в эксперименте
Table 1. The origin of entomopathogenic fungal isolates u sed in the experiment
№ п/п | Изоляты грибов | Географическое происхождение | Источники выделения в культуру |
1 | Beauveria bassiana s. l. Col-Mag17 | Магаданская обл. | Остатки имаго жука (Coleoptera) 1 |
2 | B. bassiana s. l. CСi-Ar(SI)14 | Архангельская обл., остров Большой Соловецкий | Имаго жука-долгоносика Phyllobius sp. (Coleoptera, Curculionidae) в подстилке |
3 | B. bassiana s. l. IP-Irk17-2 | Иркутская обл., окрестности Байкальского тракта (пос. Листвянка) | Самка клеща Ixodes persulcatus 2 |
4 | B. bassiana s. l. Li-МR(G)17-2 | Московская обл., Одинцовский район | Зимующее имаго берёзовой моли Argyresthia goedartella (Lepidoptera, Argyresthiidae) |
5 | B. bassiana s. l. CS-KR12 | Краснодарский край, окрестности г. Сочи, Хостинский район, холодная карстовая пещера | Глинистые отложения |
6 | B. bassiana s. l. DE-Ab14 | Респ. Абхазия, Гульрипшский район, окрестности с. Амткел, холодная карстовая пещера | Имаго пещерника кавказского Dolichopoda euxina (Orthoptera, Rhaphidophoridae) 3 |
7 | Akanthomyces cf. muscarius IP-Irk17-5 | Иркутская обл., окрестности Байкальского тракта (пос. Листвянка) | Cамка клеща Ixodes persulcatus 2 |
8 | A. cf. muscarius Hov-S16 | Краснодарский край, г. Сочи, Хостинский район, Агурское ущелье | Кладка яиц клопа (Heteroptera) на листе лавровишни |
9 | Metarhizium anisopliae s. l. CAl-MR17 | Московская обл., Воскресенский район | Личинка бронзовки золотистой Cetonia aurata (Coleoptera, Scarabaeidae) в компостной куче |
Примечания. Oбразцы членистоногих, которые были поражены грибными инфекциями и из которых были выделены использованные в эксперименте изоляты, авторам любезно предоставили:
Затем с периферической части полученных 45-суточных колоний этих культур, выросших при +7°С, стерильным скальпелем вырезали кусочки ≈1 см2 мицелиально-споровой биомассы и использовали их в качестве инокулята для дальнейших рассевов на разлитую в чашки Петри по 20 мл жидкую модифицированную среду Сабуро. На ней изоляты выращивали в течение месяца поверхностным способом при температуре +21 ± 1ºС, после чего плёнки грибной биомассы гомогенизировали в стерильной дистиллированной воде, фильтровали через мелко- ячеистую капроновую ткань, определяли концентрацию спор микроскопией с использованием счётной камеры Горяева и доводили её до единого для всех изолятов «стандарта» – 3×107 спор (конидий) в 1 мл. Для двух изолятов (B. bassiana s. l. Col-Mag17 и A. cf. muscarius IP-Irk17-5) были также приготовлены суспензии с утроенной концентрацией 9×107 спор/мл. До момента использования полученные суспензии хранили 10 дней в стерильных пластиковых пробирках в холодильнике при температуре +5 ± 1°С.
Сбор взрослых иксодид был проведен с растительности общепринятым флаговым методом в период с 23 по 27 мая 2018 г. в окрестностях стационара ИБ КарНЦ РАН (Кондопожский район, д. Гомсельга, 62.07° с.ш., 33.96° в.д.). Было собрано около 1000 особей самцов и самок I. persulcatus. Непосредственно перед закладкой опыта (28 мая) хранившихся в холодильнике клещей осматривали, отбирали из них наиболее активных (подвижных) особей и раскладывали в пластиковые пробирки типа Эппендорф. В каждую пробирку объёмом 2.5 мл помещали по 8 самок и 8 самцов в расчёте на одну повторность. Каждый вариант закладывали в четырех повторностях.
Для заражения изолятами ЭПГ в пробирки с клещами вносили по 0.4 мл споровых суспензий с добавлением эмульгатора СильветГолд (0.01%). После этого пробирки встряхивали в течение 5 с, а затем клещей быстро переносили с помощью тонких пинцетов в пластиковые чашки Петри (d = 8.8 см) на диски фильтровальной бумаги, равномерно смоченные 0.5 мл стерильной воды. В контрольном варианте клещей погружали на 5 с в 0.4 мл 0.01%-ного водного раствора СильветГолда. Всего для 12 вариантов (11 опытных и 1 контрольный) эксперимента было использовано 768 особей (384 самок и 384 самца) I. persulcatus.
Чашки с клещами герметизировали лентами «Paraphilm М» и перенесли в прохладное темное помещение. Температуру и относительную влажность воздуха регистрировали каждые 2 часа логгером DS1923, помещенным в пустую герметизированную чашку Петри с фильтровальной бумагой, смоченной 0.5 мл 0.01%-ного раствора СильветГолда. На протяжении опыта температура воздуха в ночные часы колебалась в пределах +4 …11°С, в дневные часы – +11…18°С (средняя около +14°С) при относительной влажности воздуха внутри чашек 100%.
Для оценки смертности клещей чашки Петри просматривали под бинокуляром, не вскрывая, через 3, 5, 7, 9, 11, 17 и 21 сутки, подсчитывая количество мертвых особей. Через 3 недели опыт был остановлен. К этому времени часть погибших клещей покрылась мицелием грибов; их отдельно переносили тонкими иглами по вариантам и повторностям на предметные стёкла. Мёртвых, но не обросших мицелием клещей, помещали во влажные камеры (в чашки Петри на предметные стёкла поверх мокрой ваты) на 10 суток в термостат при +24 ± 0.5°С. Затем все опутанные мицелием с дочерним спороношением трупы клещей осматривали под микроскопом для подтверждения их гибели от целевых микозов.
Значимость различий уровня смертности клещей в вариантах опыта и контроля оценивали по наименьшей существенной разности (НСР). Если фактическая разность между данными по смертности в каких-либо вариантах и в контрольном варианте оказывалась больше рассчитанного значения НСР05, то она считалась значимой. Действие изолятов на уровень смертности самцов и самок иксодовых клещей в разные дни эксперимента оценивали с использованием однофакторного дисперсионного анализа (PerMANOVA). Расчёты выполнены в программе PAST v4.05 (Hammer et al., 2001).
РЕЗУЛЬТАТЫ
В контрольном варианте первые единичные погибшие особи таежного клеща были зарегистрированы через 7 суток после закладки опыта, но лишь через 3 недели средняя смертность здесь возросла до 15.6%, тогда как в большинстве других вариантов, начиная с 7 суток, она значимо превышала контрольные показатели (табл. 2).
Таблица 2. Вирулентность разных изолятов энтомопатогенных грибов в отношении самок и самцов Ixodes persulcatus при концентрации спор 3×107 в 1 мл рабочей суспензии
Table 2. Virulence of different isolates of entomopathogenic fungi against females and males of Ixodes persulcatus at a spore concentration in working suspensions of 3×107 in 1 ml
Изолят | Пол | Смертность (%) за период (число суток) | ||||||
3 | 5 | 7 | 9 | 11 | 17 | 21 | ||
Beauveria bassiana s. l. | ||||||||
Col-Mag17 | Самки | 0 | 0 | 9.4 ± 6.0 | 18.8 ± 3.6 | 59.4 ± 7.9 | 93.8 ± 3.6 | 100 |
Самцы | 0 | 3.1 ± 3.1 | 31.3 ± 6.3 | 59.4 ± 9.4 | 84.4 ± 3.1 | 100 | 100 | |
Среднее | 0 | 1.6 ± 1.6 | 20.3 ± 5.3 | 39.1 ± 3.0 | 71.9 ± 5.4 | 96.9 ± 1.8 | 100 | |
CСi-Ar(SI)14 | Самки | 3.1 ± 3.1 | 3.1 ± 3.1 | 34.4 ± 9.4 | 56.3 ± 8.1 | 90.6 ± 3.1 | 93.8 ± 3.6 | 96.9 ± 3.1 |
Самцы | 0 | 0 | 56.3 ± 8.1 | 84.4 ± 3.1 | 100 | 100 | 100 | |
Среднее | 1.6 ± 1.6 | 1.6 ± 1.6 | 45.3 ± 6.9 | 70.3 ± 3.9 | 95.3 ± 1.6 | 96.9 ± 1.8 | 98.4 ± 1.6 | |
IP-Irk17-2 | Самки | 0 | 0 | 0 | 0 | 3.1 ± 3.1 | 25.0 ± 5.1 | 62.5 ± 5.1 |
Самцы | 0 | 0 | 3.1 ± 3.1 | 12.5 ± 8.8 | 28.1 ± 7.9 | 59.4 ± 9.4 | 93.8 ± 6.3 | |
Среднее | 0 | 0 | 1.6 ± 1.6 | 6.3 ± 4.4 | 15.6 ± 3.1 | 42.2 ± 6.9 | 78.1 ± 4.0 | |
Li-МR(G)17-2 | Самки | 3.1 ± 3.1 | 6.3 ± 3.6 | 9.4 ± 3.1 | 21.9 ± 3.1 | 50.0 ± 7.2 | 78.1 ± 7.9 | 96.9 ± 3.1 |
Самцы | 0 | 12.5 ± 5.1 | 21.9 ± 6.0 | 43.8 ± 3.6 | 59.4 ± 11.8 | 96.9 ± 3.1 | 100 | |
Среднее | 1.6 ± 1.6 | 9.4 ± 3.2 | 15.6 ± 4.0 | 32.8 ± 1.6 | 54.7 ± 5.3 | 87.5 ± 4.4 | 98.4 ± 1.6 | |
CS-KR12 | Самки | 0 | 0 | 0 | 0 | 0 | 15.6 ± 3.1 | 31.3 ± 8.1 |
Самцы | 3.1 ± 3.1 | 3.1 ± 3.1 | 6.3 ± 3.6 | 21.9 ± 6.0 | 31.3 ± 3.6 | 59.4 ± 6.0 | 81.3 ± 3.6 | |
Среднее | 1.6 ± 1.6 | 1.6 ± 1.6 | 3.1 ±1 .8 | 10.9 ± 3.0 | 15.6 ± 1.8 | 37.5 ± 2.6 | 56.3 ± 5.7 | |
Изолят | Пол | Смертность (%) за период (число суток) | ||||||
3 | 5 | 7 | 9 | 11 | 17 | 21 | ||
DE-Ab14 | Самки | 0 | 0 | 0 | 3.1 ± 3.1 | 6.3 ± 3.6 | 31.3 ± 8.1 | 65.6 ± 6.0 |
Самцы | 0 | 3.1 ± 3.1 | 9.4 ± 6.0 | 18.8 ± 8.1 | 37.5 ± 13.5 | 53.1 ± 10.7 | 68.8 ± 8.1 | |
Среднее | 0 | 1.6 ± 1.6 | 4.7 ± 3.0 | 10.9 ± 5.6 | 21.9 ± 8.5 | 42.2 ± 9.4 | 67.2 ± 7.0 | |
Akanthomyces cf. muscarius | ||||||||
IP-Irk17-5 | Самки | 3.1 ± 3.1 | 12.5 ± 5.1 | 12.5 ± 5.1 | 18.8 ± 6.3 | 37.5 ± 0.0 | 71.9 ± 7.9 | 87.5 ± 8.8 |
Самцы | 9.4 ± 9.4 | 9.4 ± 9.4 | 15.6 ± 7.9 | 40.6 ± 9.4 | 71.9 ± 10.7 | 96.9 ± 3.1 | 100 | |
Среднее | 6.3 ± 3.6 | 10.9 ± 5.6 | 14.1 ± 3.9 | 29.7 ± 6.9 | 54.7 ± 5.3 | 84.4 ± 3.1 | 93.8 ± 4.4 | |
Hov-S16 | Самки | 0 | 0 | 0 | 18.8 ± 6.3 | 31.3 ± 8.1 | 40.6 ± 11.8 | 53.1 ± 16.4 |
Самцы | 0 | 0 | 6.3 ± 3.6 | 43.8 ± 6.3 | 65.6 ± 7.9 | 75.0 ± 5.1 | 93.8 ± 6.3 | |
Среднее | 0 | 0 | 3.1 ± 1.8 | 31.3 ± 5.1 | 48.4 ± 5.3 | 57.8 ± 4.7 | 73.4 ± 5.3 | |
Metarhizium anisopliae s. l. | ||||||||
CAl-MR17 | Самки | 0 | 0 | 0.0 ± 0.0 | 31.3 ± 3.6 | 65.6 ± 3.1 | 71.9 ± 6.0 | 96.9 ± 3.1 |
Самцы | 0 | 0 | 9.4 ± 3.1 | 50.0 ± 5.1 | 68.8 ± 8.1 | 81.3 ± 8.1 | 93.8 ± 3.6 | |
Среднее | 0 | 0 | 4.7 ± 1.6 | 40.6 ± 3.1 | 67.2 ± 5.3 | 76.6 ± 5.9 | 95.3 ± 3.0 | |
Контроль | Самки | 0 | 0 | 0 | 0 | 0 | 0 | 12.5 ± 5.1 |
Самцы | 0 | 0 | 3.1 ± 3.1 | 3.1 ± 3.1 | 6.3 ± 3.6 | 6.3 ± 3.6 | 18.8 ± 3.6 | |
Среднее | 0 | 0 | 1.6 ± 1.6 | 1.6 ± 1.6 | 3.1 ± 1.8 | 3.1 ± 1.8 | 15.6 ± 3.1 | |
НСР05. самцы или самки | 14.6 | 16.3 | 18.2 | 17.1 | 15.4 | |||
По результатам однофакторного дисперсионного анализа межгрупповые различия по уровню смертности клещей (p < 0.05) от разных изолятов грибов (исключая контроль) также начинали проявляться через 7 суток.
В вариантах опыта с использованием суспензий с концентрацией спор (конидий) 3×107 в 1 мл наиболее высокие, с большим отрывом, значения были получены для изолята B. bassiana s. l. CСi-Ar(SI)14 (Архангельская обл.): уже через 7 суток средняя смертность клещей в этом варианте достигла более 45%, через 9 суток возросла до 70%, а через 11 – до 95%. И лишь к семнадцатым суткам по акарицидной активности его «догнал» изолят B. bassiana s. l. Col-Mag17 (Магаданская обл.). Все остальные использованные изоляты ЭПГ при этой инфекционной нагрузке к данному сроку, когда смертность в контроле составляла всего 3.1%, привели к гибели 37.5–87.5% взрослых клешей.
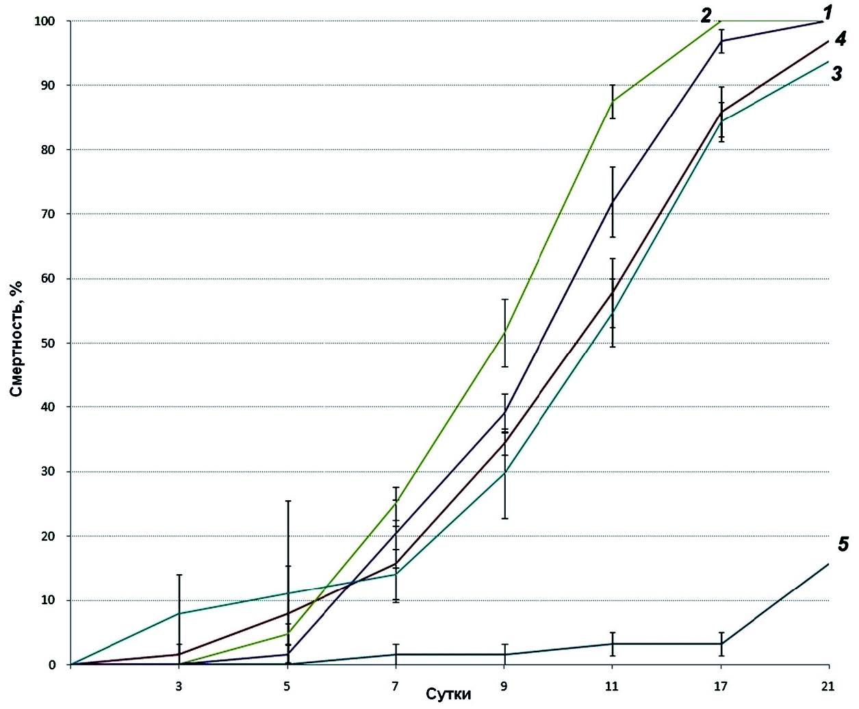
В вариантах с использованием утроенной дозы спор (9×107 в 1 мл) изолятов B. bassiana s. l. Col-Mag17 и A. cf. muscarius IP-Irk17-5 увеличение смертности клещей в более ранние сроки было выявлено только от B. bassiana s. l. Col-Mag17; от воздействия второго изолята A. cf. muscarius IP-Irk17-5 летальность клещей от увеличенной инфекционной нагрузки спор практически не отличалась от базовой 3×107 в 1 мл (рис. 1).
Рисунок 1. Динамика смертности Ixodes persulcatus в вариантах опыта с разной концентрацией спор изолятов грибов: 1, 2 – Beauveria bassiana s. l. Col-Mag17 (1 – 3×107 спор в 1 мл, 2 – 9×107); 3, 4 – Akanthomyces cf. muscarius IP-Irk-5 (3 – 3×107, 4 – 9×107); 5 – контроль.
Любопытными в этом эксперименте явились результаты оценки различий в восприимчивости к грибным инфекциям самок и самцов I. persulcatus (табл. 2). Если в контрольном варианте естественная смертность самок в разные сроки была лишь незначительно ниже (на 3–6%), чем у самцов, то при заражении ЭПГ смертность самцов оказалась выше, особенно через 9 суток (рис. 2), когда различия полов в восприимчивости были максимальными и достигали в некоторых вариантах более 20%, а при использовании магаданского штамма B. bassiana s. l. – свыше 40%. К концу эксперимента (21 сутки) различия в летальности самок и самцов стали нивелироваться.
Рисунок 2. Смертность самок и самцов Ixodes persulcatus через 9 суток после заражения разными изолятами энтомопатогенных грибов при концентрации спор 3×107 в 1 мл суспензии.
ОБСУЖДЕНИЕ
В природе голодные взрослые особи клеща I. persulcatus при умеренных температурах воздуха и высокой относительной влажности, которая непосредственно в травостое отличается от влажности воздуха окружающей среды и может быть близка к 100%, способны в течение продолжительного времени выживать в ожидании встречи с теплокровными хозяевами (прокормителями). Это же наблюдалось и в опыте, где в герметизированных чашках Петри (V ≈75 см3) с влажностью 100% и отсутствием воздухообмена гибель клещей в контрольном варианте через 17 суток составила лишь 3%, что подтверждает правильность выбранного способа содержания клещей в эксперименте по их заражению ЭПГ.
Среди проверенных психротолерантных изолятов наиболее перспективным для разработки биоакарицидного препарата представляется архангельский изолят гриба B. bassiana s. l. CСi-Ar(SI)14, который уже через 7 суток вызвал гибель 45% взрослых клещей, а через 11 суток – 95%, тогда как занимающий вторую позицию магаданский изолят B. bassiana s. l. Col-Mag17 в эти же сроки привёл к гибели 20 и 72% особей, соответственно. При этом оба они были выделены из насекомых отряда Coleoptera, т.е. из таксономически далеких хозяев, тогда как два изолята (B. bassiana s. l. IP-Irk17-2 и A. cf. muscarius IP-Irk17-5), выделенные в Иркутской обл. непосредственно из I. persulcatus, показали более умеренную акарицидную активность. Среди наименее вирулентных, вопреки ожиданиям, оказались изоляты B. bassiana s. l. CS-KR12 и DE-Ab14, которые были выделены из глубин холодных карстовых пещер (с круглогодичной температурой в пределах +6…9 °С). Вероятно, необходимым условием для успешной жизнедеятельности микроорганизмов при низких положительных температурах является усиление синтеза защитных веществ-криопротекторов, что ведет к уменьшению доступных ресурсов для продуцирования литических экзоферментов и токсинов, отвечающих за вирулентность.
Следует обратить внимание, что во многих процитированных выше и других работах в испытаниях ЭПГ против иксодид порой используются очень высокие инфекционные нагрузки (108 ‒ 109 спор/мл). Согласно нашим экспериментальным данным, высокая смертность клещей может быть достигнута при умеренной, экономически оправданной, инфекционной нагрузке 3×107 спор/мл. В дальнейших исследованиях представляется актуальным оценить возможность ещё более значительного снижения (в 2–3 раза) расхода спорового материала.
Неожиданными в данном эксперименте оказались результаты, свидетельствующие о различиях полов I. persulcatus в восприимчивости к ЭПГ. В дальнейшем необходимо будет определить причину более высокой уязвимости самцов в ранние сроки после заражения (не исключено, что это обусловлено особенностями строения и/или химического состава кутикулярных покровов, через которые происходит внедрение ЭПГ), но ещё более важно выяснить возможные демографические последствия. Может ли это оказывать существенное влияние на успешность копуляции и на снижение плодовитости самок?
Таким образом, по результатам проведенного эксперимента, около половины испытанных культур ЭПГ оказались высоковирулентными в отношении взрослых особей I. persulcatus. С прикладной точки зрения для разработки акарицидного биопрепарата наиболее перспективным продуцентом представляется изолят B. bassiana s. l. CСi-Ar(SI)14, выделенный из жука-долгоносика в Архангельской области. Однако в наших исследованиях оценка акарицидной активности разных изолятов ЭПГ осуществлялась в лабораторных условиях при идеальной для развития микозов постоянной относительной влажности 100%. В дальнейшем необходимы исследования в реальных полевых условиях, чтобы объективно оценить возможность практической реализации биологического контроля иксодовых клещей.
БЛАГОДАРНОСТИ
Авторы выражают благодарность Н.И. Шашиной (Научно-исследовательский институт дезинфектологии, Москва), И.В. Сендерскому и А.В. Ковалю (Всероссийский институт защиты растений, С.-Петербург – Пушкин) за передачу образцов пораженных микозами клещей и насекомых для выделения из них изолятов, которые были использованы в данной работе.
ФИНАНСИРОВАНИЕ РАБОТЫ
Финансовое обеспечение исследований осуществлялось: Б.А. Борисов – из средств ООО «АгроБиоТехнология» (генеральный директор Д.О. Морозов); Л.А. Беспятова и С.В. Бугмырин – из средств федерального бюджета на выполнение государственного задания ИБ КарНЦ РАН (№ г.р. 122032100130-3) и проекта DIAS (Данные по инвазионным и чужеродным видам, № KA5046); Г.Р. Леднёв и М.В. Левченко – из средств на выполнение государственного задания (№ г.р. 12203900142-8).
Никаких дополнительных грантов на проведение или руководство данным конкретным исследованием получено не было.
СОБЛЮДЕНИЕ ЭТИЧЕСКИХ СТАНДАРТОВ
В данной работе отсутствуют исследования человека и животных, соответствующих критериям Директивы 2010/63/EU.
КОНФЛИКТ ИНТЕРЕСОВ
Авторы данной работы заявляют, что у них нет конфликта интересов.
About the authors
B. A. Borisov
ООО «АгроБиоТехнология»
Author for correspondence.
Email: borborisov@mail.ru
Russian Federation, Кронштадтский бульвар, 7-4, Москва, 125212
L. A. Bespyatova
Институт биологии КарНЦ РАН, ФИЦ «Карельский научный центр РАН»
Email: borborisov@mail.ru
Russian Federation, ул. Пушкинская, 11, Петрозаводск, 185910
G. R. Lednev
Всероссийский институт защиты растений
Email: borborisov@mail.ru
Russian Federation, ш. Подбельского, 3, Санкт-Петербург, Пушкин, 196608
M. V. Levchenko
Всероссийский институт защиты растений
Email: borborisov@mail.ru
Russian Federation, ш. Подбельского, 3, Санкт-Петербург, Пушкин, 196608
S. V. Bugmyrin
Институт биологии КарНЦ РАН, ФИЦ «Карельский научный центр РАН»
Email: sbugmyr@mail.ru
Russian Federation, ул. Пушкинская, 11, Петрозаводск, 185910
References
- Беспятова Л.А., Бобровских Т.К. 1988. Энтомопатогенные грибы как возможные регуляторы численности иксодовых клещей // Сб. Материалы Республиканской медико-географической конференции «Региональные аспекты охраны здоровья населения Карельской АССР». Петрозаводск, С. 3. [Bespyatova L.A., Bobrovskikh T.K. 1988. Entomopathogenic fungi as possible regulators of the abundance of ixodid ticks // Materials of the Republican medical-geographical conference “Regional aspects of protecting the health of the population of the Karelian ASSR”. Petrozavodsk, P. 3. (in Russian)].
- Беспятова Л.А., Бугмырин С.В. 2012. Иксодовые клещи Карелии (распространение, экология, клещевые инфекции). Учебно-методическое пособие. Петрозаводск: Карельский научный центр РАН, 100 c. [Bespyatova L.A., Bugmyrin S.V. 2012. Ixodid ticks of Karelia (distribution, ecology, the main tick-borne infect). Petrozavodsk, Karelian Research Centre of RAS, 100 pp. (in Russian)].
- Беспятова Л.А., Бугмырин С.В. 2021. О распространении европейского лесного клеща Ixodes ricinus (Acarina, Ixodidae) в Республике Карелия (Россия). Зоологический журнал 100 (7): 745–755. doi: 10.31857/S0044513421070035 [Bespyatova L.A., Bugmyrin S.V. 2021. On distribution of the castor bean tick Ixodes ricinus (Acarina, Ixodidae) in the Republic of Karelia, Russia. Zoologicheskiy zhurnal 100 (7): 745–755. (in Russian)].
- Бугмырин С.В., Поутонен Т.Б., Пахомова Т.Н., Беспятова Л.А., Чевская В.Е., Кочерова Н.А. 2023. Иксодовые клещи и переносимые ими инфекции в Карелии: анализ клещей, поступивших от населения в республиканский центр гигиены и эпидемиологии в Республике Карелия (г. Петрозаводск) // Паразитология 57 (1): 3–19. doi: 10.31857/S0031184723010015 [Bugmyrin S.V., Poutonen T.B., Pakhomova T.N., Bespyatova L.A., Chevskaya V.E., Kocherova N.A. 2023. Ticks and tick-borne infections in Karelia: Analysis of ticks brought by citizens to be tested at the Center for hygiene and epidemiology in the Republic of Karelia (Petrozavodsk). Parazitologiya 57 (1): 3–19.]
- Шашина Н.И., Ахметшина М.Б., Германт О.М. 2021. Уничтожение иксодовых клещей в природных биотопах: поиск путей совершенствования. Национальные приоритеты России 3 (42): 301–303. EDN: CVNUWJ [Shashina N.I., Akhmetshina M.B., Germant O.M. 2021. Elimination of ixodid ticks in natural biotopes: ways of further improvement. Natsionalʼnyye prioritety Rossii 3 (42): 301–303.]
- Alekseev A.N. 2011. Environmentally safe control of ticks: use of Ixodes (Acarina, Ixodidae) tick sexual behavior peculiarities for pathogenic fungal effect reinforcement, Intern. J. Acarology 37 (Suppl. 1): 156–165. doi: 10.1080/01647954.2010.543925
- Bugmyrin S.V., Bespyatova L.A. 2023. Seasonal Activity of Adult Ticks Ixodes persulcatus (Acari, Ixodidae) in the North-West of the Distribution Area. Animals 13 (24): 3834. doi: 10.3390/ani13243834
- Bugmyrin S.V., Bespyatova L.A., Korotkov Y.S. 2019. Long-term dynamics of Ixodes persulcatus (Acari: Ixodidae) abundance in the north–west of its range (Karelia, Russia). Experimental and Applied Acarology 77 (2): 229–240. doi: 10.1007/s10493-019-00342-y
- Bugmyrin S.V., Bespyatova L.A., Korotkov Y.S., Burenkova L.A., Belova O.A., Romanova L.I., Kozlovskaya L.I., Karganova G.G., Ieshko E.P. 2013. Distribution of Ixodes ricinus and I. persulcatus ticks in southern Karelia (Russia). Ticks and Tick-borne Diseases 4 (1-2): 57–62. doi: 10.1016/j.ttbdi s.2012.07.004
- Chandler D., Davidson G., Pell J.K., Ball B.V., Shaw K., Sunderland K.D. 2000. Fungal biocontrol of acari. Biocontrol. Sci. Technol. 10: 357–384.
- Fernandes E.K., da Costa G.L., de Souza E.J., de Moraes A.M., Bittencourt V.R. 2003. Beauveria bassiana isolated from engorged females and tested against eggs and larvae of Boophilus microplus (Acari: Ixodidae). J. Basic Microbiol. 43(5): 393–398. doi: 10.1002/jobm.200310263
- Hammer Ø., Harper D.A.T., Ryan P.D. 2001. PAST: paleontological statistics software package for education and data analysis. Paleontological Electronica 4 (1): 1–9. https://www3.epa.gov/pesticides/chem_search/ppls/070127-00010-20150310.pdf (05 июля 2023)
- Kaaya G.P., Hassan S. 2000. Entomogenous fungi as promising biopesticides for tick control. Experimental and Applied Acarology 24: 913–926.
- Kalsbeek V., Frandsen F., Steenberg T. 1995. Entomopathogenic fungi associated with Ixodes ricinus ticks. Experimental and Applied Acarology 19: 45–51.
- Klingen I., van Duijvendijk G. 2016. Biological control of the tick Ixodes ricinus by pathogens and invertebrates. In: M.A.H. Braks, S.E. van Wieren, W. Takken, and H. Sprong (Eds.). Ecology and prevention of Lyme borreliosis (pp. 279–293). (Ecology and prevention of Lyme borreliosis; V. 4). Wageningen Academic Publishers. doi: 10.3920/978-90-8686-838-4_20
- Ment D., Gindin G., Soroker V., Glazer I., Rot A., Samish M. 2010. Metarhizium anisopliae conidial responses to lipids from tick cuticle and tick mammalian host surface. J. Invertebr. Pathol. 103: 132–139. doi: 10.1016/j.jip.2009.12.010
- Munteanu N.V., Mitkovets P.V., Mitina G.V., Movila A., Tokarev Y.S., Leclerque A. 2014. Prevalence of Beauveria pseudobassiana among entomopathogenic fungi isolated from the hard tick, Ixodes ricinus. Ticks and Tick-Borne Diseases 5(6): 641–648. doi: 10.1016/j.ttbdis.2014.04.015
- Ub G.R., Narladkar B.W. 2018. Role of entomopathogenic fungi in tick control: A Review. J. Entomol. and Zool. Studies 6 (1): 1265–1269.
- Samish M., Rehacek J. 1999. Pathogens and predators of ticks and their potential in biological control. Ann. Rev. Entomol. 44: 159–182. doi: 10.1146/annurev.ento.44.1.159
- Samish M., Gunsberg H., Glazer I. 2008. Anti-tick biological control agents: assessment and future perspectives. In: A.S. Bowman and P. Nuttall (Eds). Ticks biology, diseases and control. Cambridge University Press, New York, USA, 447–469.
- Samsinakova A., Kalakova S., Daniel M., Dusbabek F., Honzakova E., Cerny V. 1974. Entomogenous fungi associates with the tick Ixodes ricinus (L.). Folia Parasitology 21: 39–48.
- Strasser H., Vanas V., Hutwimmer S., Zelger R. 2007. Biologische Kontrolle von Zecken (Ixodes ricinus L.) durch den insektentotenden Pilz Metarhizium anisopliae (Metch) Petch. Eigenverlag Universitat Innsbruck, Innsbruck, Austria.
Supplementary files




