The Problem of Reconstructing the Profile of the Sea Surface from the Video Image of Laser Beams
- Authors: Sterlyadkin V.V.1
-
Affiliations:
- MIREA-Russian Technological University
- Issue: Vol 64, No 3 (2024)
- Pages: 396-407
- Section: Физика моря
- URL: https://bakhtiniada.ru/0030-1574/article/view/272798
- DOI: https://doi.org/10.31857/S0030157424030022
- EDN: https://elibrary.ru/QCOFRH
- ID: 272798
Cite item
Full Text
Abstract
Currently, there are no remote methods for recording the instantaneous two-dimensional profile of the sea surface Z(x, y, t) in field conditions. There are no methods for recording capillary wave profiles directly on the sea surface. The short-wave component of sea waves plays a very important role in radiometry in the formation of the surface's own radiation and in solving inverse radar problems. This article proposes an optical measurement technique that makes it possible to measure the parameters of the entire wave spectrum, including capillary waves with amplitude of less than 0.1 mm. However, the author has not yet been able to fully solve the inverse problem of reconstructing the two-dimensional wave profile. The author considered it expedient to formulate this problem and involve the scientific community in its successful solution. Obtaining the profile of sea waves Z(x, y, t) in natural conditions with a high update rate will allow obtaining complete information about the characteristics of waves, temporal and spatial spectra of elevations, spectra of slopes, and studying the evolution of waves when the wind changes. Of particular value is the possibility of recording and studying the short-wave components of waves, including capillary waves.
Full Text
ВВЕДЕНИЕ
Измерение профиля морской поверхности, спектров волнения, уклонов необходимо для решения многих научных и прикладных задач. Примером могут служить задачи дистанционного зондирования, основанные на связи радиолокационных и радиометрических параметров морской поверхности с её структурой. Не менее важна структура морской поверхности при изучении эволюции волнения во времени и её связи с ветровым полем. Диапазон волновых чисел, описывающих структуру морского волнения, перекрывает три с лишним порядка: длины волн изменяются от десятков метров у гравитационных волн до единиц миллиметров у коротких капиллярных волн. В настоящее время существуют различные методы измерения гравитационных и гравитационно-капиллярных компонент волнения. В отношении капиллярных составляющих волнового спектра, которые условно занимают диапазон длин волн ниже 15 мм, ситуация намного сложнее. Нам не встречались в литературе прямые методы измерения спектра капиллярных волн в натурных условиях. В то же время именно капиллярные волны играют весьма важную роль в большинстве задач дистанционного зондирования как в оптическом, так и в микроволновом диапазонах длин волн.
Для измерения параметров волнения широко используются струнные волнографы [1, 5, 9]. Эти методы являются контактными, они изменяют состояние морской поверхности, особенно при наличии волнения или течения, и практически не позволяют измерять капиллярные волны. Фотографирования солнечного блика с самолёта [19], спутника [18] или квадрокоптера [15] позволяют получить параметры волнения, но капиллярная фракция маскируется отражённым фоновым и облачным излучениями, которые трудно разделять. Кроме того, эти методы не прямые, не позволяют получать структуру поверхности в любое время суток или в режиме онлайн, поскольку связаны с наличием солнца. Возможно измерение спектра волнения на основе стереофотограмметрии [16]. Однако эта методика также не является прямым методом измерений профиля волновой поверхности. Лазерное сканирование морской поверхности с самолёта позволяет получать структуру пространственных спектров направлений волнения [21]. Были разработаны методы регистрации уклонов поверхности, основанные на регистрации рассеянного или преломлённого лазерного луча [4, 17, 20]. Недостатком этих методов является наличие громоздкой приёмной оптической системы, которую необходимо фиксировать на расстоянии 30–60 см над поверхностью. Это приводит к существенным ограничениям по амплитуде регистрируемого волнения и диапазону регистрируемых уклонов. В работе [22] используется метод измерения лазерного блика, который позволяет получить статистику наклона путём подсчёта бликов лазера от зеркально ориентированных участков по мере того, как лазерный луч сканирует поверхность моря. Но в данном методе регистрируются только вероятности уклонов, не измеряются форма морской поверхности, спектры волнения. Несколько отличается лазерно-бликовый метод, в котором регистрируются блики при падении на поверхность веерного луча [3, 8]. Метод может регистрировать кривизну поверхности на участках, удовлетворяющих зеркальному отражению. Недостатками этих методов являются малая вероятность попадания блика в объектив приёмной системы и, соответственно, недостаточная статистика, а также необходимость весьма большого динамического диапазона приёмника (более 60 дБ). В работе [10] лазерный луч разворачивается в ножевой вид и при падении на поверхность засвечивает её верхний край, который регистрируется оптической камерой. Недостаток такого волнографа заключается, во-первых, в том, что за время выдержки край будет смещаться за счёт вертикального движения волны на 5–15 мм, что приведёт к размыванию границы. Во-вторых, размытие границы приводит к уменьшению отношения сигнал/шум. Более подробно обзор известных оптических дистанционных методов измерения ветрового волнения приведён в работе [11].
В наших предыдущих публикациях описан лазерный волнограф, который позволил получать “мгновенный” профиль морской поверхности вдоль траекторий лазерного сканирования с синхронизацией по времени 10–4 с и точностью регистрации аппликат свыше 0.5 мм [12–14, 23]. Данный волнограф позволил в натурных условиях получать характеристики капиллярных компонент волнения.
Настоящая публикация является продолжением работ [12–14], поскольку опирается на ту же методику измерений. Отличие заключается в том, что на каждом видеокадре предлагается восстановить не только одномерный профиль поверхности вдоль линии сканирования лазерного луча, но и двумерный мгновенный профиль водной поверхности.
ОПИСАНИЕ МЕТОДИКИ ИЗМЕРЕНИЙ
Принцип измерений, описанный в работе [23], заключается в сканировании морской поверхности лазерным лучом и регистрации на видеокамеру рассеянного изображения (рис. 1). Лазер и управляемый сканатор находятся в блоке 1 и с частотой работы видеокамеры сканируют морскую поверхность игольчатым лучом 2 по заданной траектории 3. Траектория представляет собой два ортогональных прямых отрезка длиной около 35 см каждый.
Рис. 1. Схема измерений волнения с морской платформы. Сканатор 1 направляет игольчатый лазерный луч 2 по заданной траектории 3. Рассеянное поверхностью излучение регистрируется на цифровую видеокамеру 4.
Лазерный луч падает вертикально вниз и начинает рассеиваться на неоднородностях морской воды. Изображение регистрируется видеокамерой 4, синхронизованной по частоте с частотой развёртки сканатора. В результате мы получаем длинные серии видеоизображений, две пары из которых представлены на рис. 2.
Рис. 2. Две пары последовательных видеоизображения лазерных лучей, полученные в ночное и дневное время с морской платформы. На нижних фото в дневное время зарегистрированы капиллярные волны.
В работе [23] в сериях по 16 000 кадров проводилась регистрация верхнего края изображения, которое соответствует профилю волнения вдоль траектории сканирования. В результате удалось получать зависимости высоты морской поверхности Z(L, t) вдоль траектории L. Для повышения отношения сигнал/шум сканирование вдоль траектории проводилось не равномерно, а с короткими остановками: в четырёх точках на левой прямой, затем следовал участок в центре с равномерной развёрткой во времени t, и на правой прямой вновь были короткие остановки в четырёх точках траектории. Измерения, проведённые в 2021 г. на морской платформе в Кацивели, показали возможность измерения “мгновенных” профилей морской поверхности с временной синхронизацией в 10–4 с и пространственной точностью лучше 0.5 мм [14]. Метод позволяет регистрировать спектры волнения в интервале длин волн, который охватывает три порядка: от десяти миллиметров (капиллярные компоненты) до десятков метров. Нам не известны мировые аналоги, имеющие такие характеристики. Метод запатентован [12, 13].
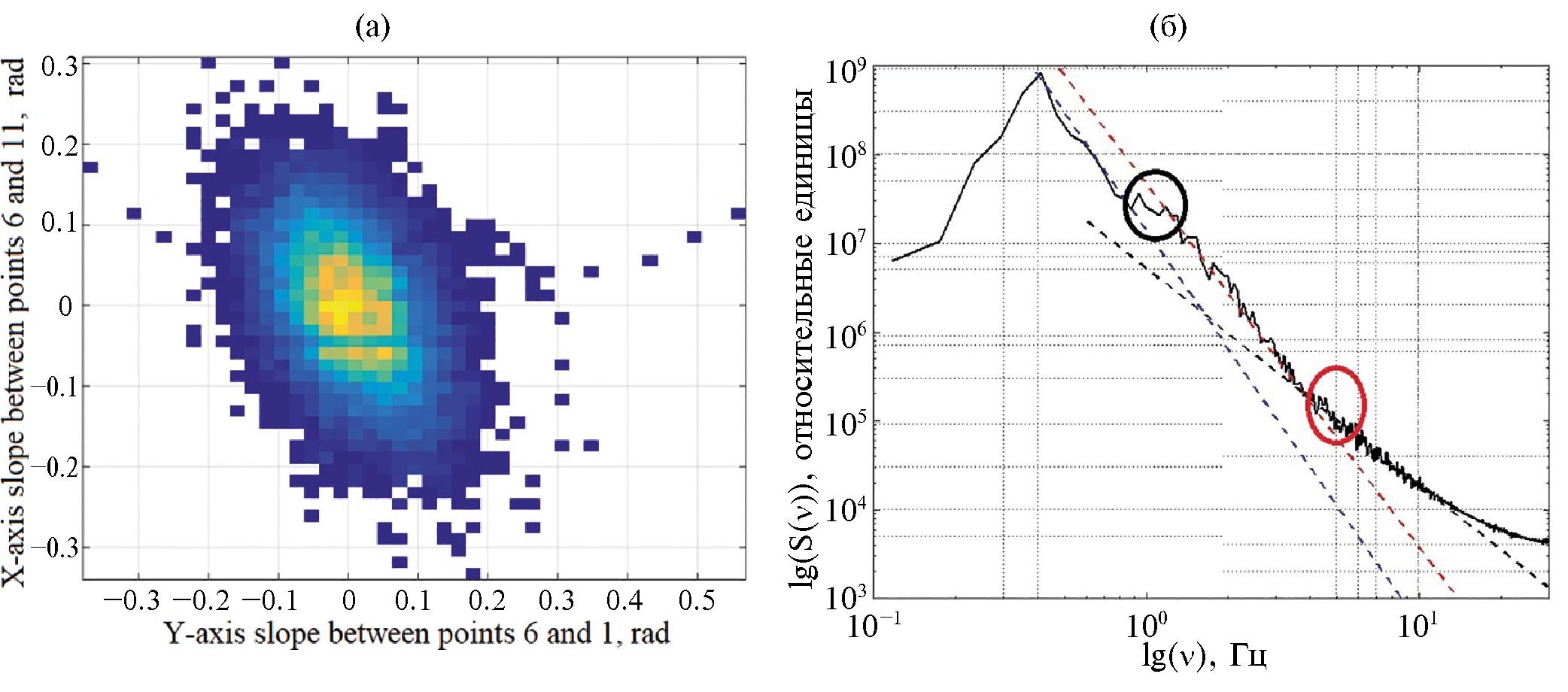
На рис. 3а представлено двумерное распределение уклонов поверхности, построенное по трём точкам прямоугольного треугольника со сторонами 283×253 мм для серии из 16 000 кадров [23]. Аналогичное распределение уклонов можно получать на меньших масштабах вплоть до 5×5 мм. На рис. 3б показаны спектры развивающегося волнения, полученные 26.08.2021 на морской платформе Морского гидрофизического института РАН, расположенной в пгт Кацивели, Крым [14]. Частота видеосъёмки – 60 Гц. На спектре прослеживаются три участка, наклон которых различается. Самый низкочастотный участок спектра имеет наклон –4.5 ± 0.3, что, по-видимому, является переходом к спектру Филлипса S(ν) ~ ν–5, где S – спектральная плотность, ν – частота [2]. Средний участок отвечает за гравитационное волнение и имеет наклон –4.0 ± 0.2, что соответствует спектру В.Е. Захарова и Н.Н. Филоненко [6, 7], а третий участок, по-видимому, уже учитывает капиллярные волны. Его наклон существенно ниже первых двух и составляет –2.6 ± 0.3.
Рис. 3. Результаты натурных измерений: а – распределение уклонов поверхности для прямоугольного треугольника со сторонами 283×253 мм [23]; б – спектр возвышений в отдельной точке профиля в логарифмическом масштабе для развивающегося волнения 26.08.2021, Кацивели. Показатели степени на первом, втором и третьем (капиллярном) участках составляют 4.5 ± 0.3, 4.0 ± 0.2 и 2.6 ± 0.3.
Создание волнографа, позволяющего проводить прямые дистанционные измерения волнения, открывает широкие возможности для исследования физики эволюции волнения, влияния волнения, включая капиллярную фракцию, на рассеяние электромагнитных волн. Достоинством метода является прямой характер измерения аппликат и всех характеристик волнения не только во времени, но и в пространстве. Это позволяет получать не только временные, но и пространственные спектры волнения, длинные ряды “мгновенных” профилей волнения для каждой 6-минутной реализации. Метод полностью дистанционен, не искажает свойства поверхности, может использоваться в любое время суток, не подвержен влиянию ветра, волн и морского течения, позволяет измерять долю пены на поверхности.
Однако более внимательный анализ рис. 2 позволяет заметить, что информация о профиле морской поверхности “записана” не только в верхней границе лучей, но и в форме лазерных линий (лазерных хвостов), которые, изгибаясь, уходят вниз. Действительно, лазерный луч, очень тонкий (диаметром около 2 мм), преломляясь на поверхности раздела, в воде также распространяется по прямой. Его искривление на видеоизображениях обусловлено смещением прямого луча при его наблюдении через искривлённую морскую поверхность. По степени смещения относительно невозмущённого изображения, по-видимому, можно восстановить уклон поверхности в точке, через которую луч идёт в видеокамеру. Если таких лучей будет несколько, как на рис. 2, то можно будет восстановить форму участка морской поверхности, который находится напротив лучей. В этом заключается идея метода. Лазерные лучи реагируют на малейшие искажения поверхности, поэтому будут регистрироваться все виды волн, включая капиллярные. На рис. 2 на нижних фотографиях видны очень высокочастотные синусоидальные искажения лазерного хвоста, которые, очевидно, свидетельствуют о появлении капиллярных волн. По этим изображениям можно определить и частоту, и амплитуду капиллярной волны. Постановке и частичному анализу обратной задачи посвящена настоящая работа. На данном этапе обратная задача в общем виде автором не решена. Существуют условия неоднозначного решения, имеются сложности программирования. По этой причине в статье формулируется постановка задачи и заинтересованным исследователям предлагается испытать свои силы в её успешном решении.
ПОСТАНОВКА ОБРАТНОЙ ЗАДАЧИ ВОССТАНОВЛЕНИЯ ПРОФИЛЯ МОРСКОЙ ПОВЕРХНОСТИ Z(x, y, t) ПО ВИДЕОИЗОБРАЖЕНИЮ ЛАЗЕРНЫХ ЛУЧЕЙ
Очевидно, что обратную задачу целесообразно формулировать сначала в самом простом виде.
Дано: пусть имеется один луч, который, упав на поверхность раздела, в воде распространяется вертикально вниз. Имеются длинные ряды видеокадров, выполненных с частотой 30 или 60 Гц. Известна калибровка видеоизображения, т. е. угловые координаты каждой точки кадра. При горизонтальной невозмущённой морской поверхности это позволяет для любой точки изображения однозначно определить координаты поверхности x и y. Известно возвышение морской поверхности в точке падения луча (или возвышения поверхности в точках падения лучей при увеличении числа лучей), т. е. имеются граничные условия на краю изображения.
Требуется: по видеоизображению луча получить максимальное количество информации о форме морской поверхности, через которую изображение луча регистрируется видеокамерой. Частной задачей является определение формы и параметров капиллярных цугов.
Следует отметить несколько дополнительных замечаний.
- Если вертикально падающий луч попадает на наклонную границу раздела, то он в воде распространяется уже не вертикально вниз, а немного отклоняется от вертикали. Это отклонение составляет примерно 1/4 часть от угла падения. (Нужно учесть, что показатель преломления воды близок к 4/3) Следовательно, по наклону верхней части луча можно определить одну из составляющих уклона морской поверхности в точке падения. Это также может входить в граничные условия задачи. Как обычно, уклоны поверхности связаны с углами наклона нормали к поверхности соотношениями:
, .
- Форма лазерного луча, проходящего через морскую поверхность, включает не только его смещение от прямой линии, которая сформировалась бы при отсутствии волнения. Толщина лазерного луча на видеокадре меняется, она зависит как от размеров падающего луча, так и от кривизны поверхности в точке преломления.
- Дополнительную информацию, по-видимому, можно получать из яркости луча на том или ином участке.
- Отметим и очевидную сложность поставленной задачи, которая заключается в том, что лазерный луч, вошедший в воду, формирует линию. Уклоны морской поверхности вдоль линии наблюдения (только вдоль оси x) приводят к смещению изображения по вертикали вдоль той же оси x. То есть изображение линии смещается вдоль этой же линии, что невозможно зарегистрировать. По этой причине по лазерным хвостам сложно регистрировать уклоны по оси x. Далее мы покажем, что если имеются уклоны и смещение лазерной линии по ортогональной оси y, то становятся возможным и оценки уклонов по оси x.
- Формально метод может стать более завершённым, если вместо луча в воде будет находиться набор светящихся точек, например, светодиодов, опущенных в воду. В этом случае мы сможем регистрировать углы смещения по обеим осям x и y. Однако при этом возникают все сложности контактных измерений из-за необходимости погружения светодиодов в морскую воду, влияния конструкции на форму морской поверхности, влияния ветра, течения и др. Однако для понимания закономерностей этой задачи целесообразно рассмотреть и упрощённые ситуации со светящимся светодиодом на заданной глубине.
МОДЕЛИРОВАНИЕ ПРЯМОЙ ЗАДАЧИ
По традиции, чтобы оценить подходы к решению обратной задачи, целесообразно рассмотреть набор прямых задач и провести их анализ. Схема проведения измерений представлена на рис. 4. Сканатор 1 направляет лазерный луч 2 на морскую поверхность. Луч, вошедший в воду, рассеивается, создавая светящуюся линию, уходящую в глубину. Пусть точка С с координатами C = (0, 0, –zc) – одна из светящихся (за счёт рассеяния) точек на лазерном луче, проходящем в воде. Рассеянный луч СА преломляется в точке А = (x, y, z) на морской поверхности и попадает в точку В = (L, 0, H) – объектив видеокамеры 3.
Рис. 4. Ход лучей через взволнованную морскую поверхность: а – вид сбоку, проекции лучей на плоскость xz; б – вид сверху, разрез xy.
Решение прямой задачи основывается на простой геометрической оптике и законе преломления Снелля.
- Точки А, В и С лежат в плоскости падения/преломления. По известным трём точкам можно найти единичный вектор n1, перпендикулярный этой плоскости. Уклоны морской поверхности в точке преломления А задают единичный вектор нормали n2 к поверхности, который должен лежать в плоскости падения АВС. Отсюда получаем первое уравнение для решения поставленной задачи, которое требует ортогональности векторов n1 и n2 или равенства нулю их скалярного произведения:
(1)
- Закон Снелля даёт второе уравнение:
(2)
где n – показатель преломления воды, αпад – угол падения луча СА на поверхность, αпр – угол преломления. Очевидно, что синусы этих углов можно найти из векторных произведений:
Проведём анализ этих уравнений. В них используются координаты трёх точек А = (x, y, z), В = (L, 0, H) и С = (0, 0, –zc), а также два угла γx и γy наклона нормали n2 морской поверхности в точке преломления А в плоскостях xz и yz, соответственно; L – расстояние от начала координат до проекции точки В на плоскость z = 0; Н – высота видеокамеры над уровнем моря. Фиксированными являются три координаты точки В = (L, 0, H), две координаты точки С = (0, 0, –zc) и одна координата точки А = (x, y, 0). (В первом приближении будем считать, что z-координата точки А равна нулю.) Итого переменными являются пять величин: –zc, x, y, γx и γy. Из двух уравнений (1) и (2) мы можем вычислить две переменные, если заданы три остальные переменные. Перейдём к решению простых прямых задач, которые помогут установить связи между параметрами задачи.
Прямая задача 1. Пусть морская поверхность имеет угол наклона γx только по оси x, а наклон γy = 0 по оси y отсутствует. Глубина светящейся точки на луче zc = 0.2 м (пусть в этой точке находится светодиод). Как будет зависеть положение точки преломления А, через которую видеокамера увидит светодиод, от угла γx?
Решение. На рис. 5а (кривая 1) представлена зависимость координаты x точки А = (x, 0, 0) от угла γx наклона взволнованной поверхности, если γy = 0° а светодиод находится на глубине zc = 0.2 м. На этом графике видно, что при отрицательном наклоне поверхности по оси x (нормаль направлена от видеокамеры) точка А смещается от камеры по оси x к точке падения луча на поверхность. При положительном уклоне поверхности по оси x точка А смещается по оси x ближе к камере.
Рис. 5. Зависимость координат точки А в от уклонов морской поверхности: а) кривая 1 – зависимость координаты x светящейся точки А от уклона γx морской поверхности при глубине светодиода zc = 0.2 м и отсутствии уклона по оси y, кривая 2 – то же при γy = 10°; б) зависимость смещения точки А по оси y от уклона γy по оси y. Уклоны по оси x указаны в легенде на графике.
Прямая задача 2. Пусть морская поверхность имеет уклон γx и дополнительно угол наклона γy = 10°. Глубина светящейся точки на луче zc = 0.2 м. Как изменится зависимость координаты x точки преломления А, через которую видеокамера увидит светодиод от угла γx?
Решение представлено на рис. 5а в виде кривой 2. Видно, что смещение точки А по оси x почти не зависит от угла наклона по оси y.
Прямая задача 3. Пусть глубина светящейся точки на луче остаётся прежней zc = 0.2 м. Морская поверхность в точке А имеет фиксированный угол наклона нормали γx и изменяющиеся углы наклона γy. Как изменяется координата y точки преломления А(x, y, 0) при изменении угла γy?
Решение представлено на рис. 5б для трёх различных фиксированных уклонов по оси x и изменения уклонов γy от 0 до 30°. Кривая 1 соответствует γx = 0 – отсутствию уклона по оси x. Кривая 2 соответствует уклону γx = –30°, а кривая 3 соответствует γx = +30°. Видно, что смещение точки А по оси y очень чувствительно к уклону по оси y и слабо зависит от уклона по оси x. Отметим, что уклоны в 30 градусов по обеим осям являются экстремально большими. В реальности уклоны редко превышают 10 градусов.
Прямая задача 4. Пусть светодиод находится на заданной глубине zc = 0.3 м, а по поверхности под определённым углом α по отношению к оси x распространяется гармоническая волна заданной амплитуды A0 и заданной длины волны λ. Следовательно, форма поверхности в точке А = (x, y, z) имеет вид: , где , φ0 – начальная фаза. Необходимо найти траекторию смещения точки А = (x, y, z) (изображения светодиода) при перемещении волны по поверхности, которое зададим изменением 0 < φ0 < 2π.
Решение. Из пяти переменных величин: –zc, x, y, γx и γy у нас задана всего одна величина –zc и все параметры волновой поверхности A0, λ, φ0. Нам необходимо найти изменение неизвестных координат x, y светящейся точки А по мере перемещения волны вдоль поверхности. Это перемещение волны мы будем задавать последовательным изменением фазы φ0. По заданным x, y мы однозначно определяем координату поверхности z и уклоны γx и γy. Поэтому задача заключается в поиске двух величин x, y на основе известных уравнений для z, γx и γy и соотношений (1) и (2).
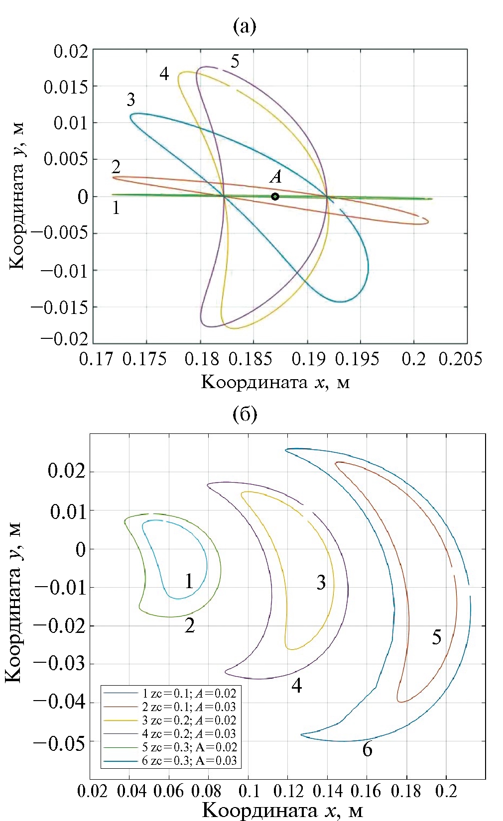
Результаты вычислений представлены на рис. 6. Слева, на рис. 6а, “светодиод” находится на глубине zc = 0.3 м, амплитуда волны А = 7.5 мм, длина волны λ = 50 см, а направление распространения волны по отношению к оси x изменяется от 1° на кривой 1 до 89° на кривой 5. Положение изображения светодиода при невозмущённой поверхности отмечено на рис. 6а жирной точкой А. Формы замкнутых кривых соответствуют перемещению изображения светодиода на морской поверхности при прохождении волны. Рисунок 6б относится к волне, которая распространяется под углом 45° относительно оси x, и наличию трёх светодиодов на разных глубинах расположения. Кривые 1 и 2 соответствуют светодиоду на глубине zc = 0.1 м и амплитудам А = 20 мм и А = 30 мм соответственно. Кривые 3 и 4 – изображения светодиода при глубине zc = 0.2 м, а кривые 5 и 6 имеют zc = 0.3 м.
Рис. 6. Перемещение изображения светящегося диода, расположенного на заданной глубине zc при прохождении гармонической волны λ = 50 см; а – при амплитуде волны 7.5 мм, глубине светодиода zc = 0.3 м и различных направлениях α относительно оси x: 1 – α = 1°, 2 – α = 10°, 3 – α = 45°, 4 – α = 80°, 5 – α = 89°; б – при направлении волны α = 45° и различной амплитуде A волны и глубине светодиода zc (указаны в легенде).
Из рис. 6а видно, что если волна распространяется вдоль оси x (кривая 1) и формирует уклоны по оси x, то смещение светящейся точки А происходит только по оси x. Чем больше направление волны отклоняется от оси x, (кривые 2, 3, 4) тем больше отклонения по оси y. Однако волна, которая движется вдоль оси y (кривая 5), имея наклоны только по оси y, приводит к смещению точки по обеим осям. Из рис. 6б следует, что с увеличением глубины светодиода смещение точки А растёт, при этом растут и нелинейные эффекты.
Следующая прямая задача уже близка к той, которую необходимо решить при расшифровке формы лазерных хвостов.
Прямая задача 5. Рассмотрим уже не отдельную светящуюся точку на лазерном луче (светодиод) на заданной глубине, а реальный лазерный светящийся луч, уходящий на глубину. Возьмём на изображении луча некоторую точку А, которая отклонилась от прямой линии и имеет координаты А = (x, y, 0). Координаты любой точки А на лазерном хвосте мы однозначно получаем из кадра. Для примера пусть x = 0.124, y = 0.03. Что можно сказать о наклонах поверхности в этой точке?
Решение. В этой задаче из пяти переменных, которые входят в два уравнения (1) и (2), мы должны задать три. Мы уже задали x, координату точки А = (x, y, 0) и зададим некоторый γx угол наклона нормали по оси x. На рис. 7а x = 0.124, а кривые 1, 2 и 3 имеют параметры γx = 12°, –12° и 0°, соответственно. Для расчёта этих кривых координата y точки А задаётся переменной и представлена по оси ординат, а определяются глубина светящейся точки zc и угол наклона γy поверхности в точке А. Из этого рисунка видно, что при заданном отклонении луча в точке А = (0.124, 0.03, 0) наиболее вероятный наклон γy = 22°, он соответствует среднему уклону γx = 0°. Если предположить, что с вероятностью до 90% уклон γx находится в интервале –12 < γx < 12°, тогда из графиков рис. 7а следует, что при y = 0.03 с той же вероятностью уклон γy находится в интервале 17 < γy < 26°. Следует отметить, что при смещении координаты y точки А в интервале 0 < y < 0.05 координата zc светящейся точки на лазерном луче изменяется очень слабо – от 0.196 до 0.190. Если на следующей итерации мы уточним уклон по оси x, то уклон по оси у будет определён с точностью в несколько раз лучшей. (Процедура использования второй итерации станет возможна, если мы будем использовать две видеокамеры, расположенные ортогонально друг к другу. Такая методика измерений будет предложена в последнем разделе.)
Рисунок 7б отличается от рис. 7а только координатой x = 0.187. При этом одинаковое смещение по оси y происходит при меньшем наклоне по этой оси: наиболее вероятное значение γy = 15.5°. Таким образом, можно утверждать, что отклонение изображения лазерного луча по оси y отвечает в первую очередь за наклон γy по оси y. Знак наклона γy определяется знаком смещения по координате y, а наиболее вероятное значение наклона соответствует нулевому наклону по оси x.
Рис. 7. Зависимость смещения точки А по оси y от уклона γy: а – для этих графиков A = (0.124, y, 0), наклон γx морской поверхности указан в легенде; б – то же, но координата x в точке А находится дальше – A = (0.187, y, 0)
Из рис. 7 можно оценить чувствительность данного метода и его погрешности. Так, зависимость смещения по оси y от уклона по этой оси для координаты x = 0.187 можно оценить соотношением
y = 2.0 γy ,
где смещение луча y выражено в миллиметрах, а уклон γy – в градусах. Учитывая, что толщина лазерного луча составляет около 2 мм, (σy = 1 мм), получим, что чувствительность и точность определение уклонов составит половину градуса (σγ = 0.5°).
Прямая задача 6. Вновь рассмотрим весь лазерный светящийся луч, уходящий на глубину, зададим форму морской поверхности в виде синусоидальной волны заданной амплитуды A0 и заданной длины волны λ распространяющейся под определённым углом α по отношению оси x. Следовательно, форма поверхности в точке А = (x, y, z) имеет известный вид: , где . Необходимо найти форму лазерной линии, которая будет регистрироваться видеокамерой.
Решение. Здесь непрерывно изменяется zc глубина светящейся точки (светодиода) и имеем два неизвестных: x и y. Уклоны поверхности в точке А и координата z связаны с x и y очевидными соотношениями:
На рис. 8 показана форма лазерного луча, соответствующая капиллярной волне λ = 15 мм, которая при амплитуде A0 = 0.2 мм распространяется под углом 45° по отношению к оси x. Далее мы покажем, что именно такую форму имеет видеоизображение лазерного луча в натурных измерениях.
Рис. 8. Форма лазерного луча на морской поверхности при капиллярной волне λ = 15 мм, А = 0.2 мм, которая распространяется под углом α = 45° по отношению к оси x.
АНАЛИЗ КАПИЛЛЯРНЫХ ВОЛН, ПОЛУЧЕННЫХ В НАТУРНЫХ УСЛОВИЯХ
На рис. 9 показаны примеры капиллярных волн, зарегистрированных в виде высокочастотных осцилляций формы лазерных хвостов. В ночное время отношение сигнал/шум на видеокадрах высокое, и нам удаётся сканировать поверхность с остановками во многих точках (см. рис. 9а). В дневное время фоновое излучение требует увеличения яркости лазерного луча, и приходится сократить количество точек на траектории до трёх или одной (см. рис. 9б). В данном разделе мы попробуем восстановить параметры капиллярных волн, включая длину волны и амплитуду, на основе формы лазерных хвостов.
Рис. 9. Участки видеокадров с увеличением: а – ночные измерения, масштаб изображения по двум осям представлен отрезками по 50 мм, тонкая вертикальная линия – форма луча при невозмущённой поверхности, кривая ab – средняя форма луча при отсутствии капиллярной волны; б – капиллярные волны, зарегистрированные в дневное время.
Из формы лазерного хвоста можно определить как параметры капиллярного цуга, так и параметры волны, которая его формирует. Видно, что на протяжении капиллярного цуга уменьшаются длина капиллярной волны и её амплитуда. Например, из геометрии измерений можно получить, что длина капиллярной волны в нижней части изображения вблизи точки b составляет 14 мм, и чем ближе к точке a, тем короче длина волны: вблизи точки a она составляет 4 мм, т. е. уменьшается более чем в три раза. Амплитуду капиллярной волны A0 можно оценить, аппроксимируя её синусоидой (что не совсем верно), исходя из длины волны λ на рассматриваемом участке и соответствующих максимальных уклонов по формуле . Уклоны γy поверхности по оси y мы можем оценить, исходя из смещений лазерного хвоста от средней линии ab. Для точки b длина капиллярной волны λ = 14 мм, координата x = 130 мм, смещение y = 25 мм. На основе графиков на рис. 7а можно оценить уклон γy = 18 ± 5°. Без учёта уклонов по оси x мы получаем амплитуду капиллярной волны . Даже если уклон по оси x имеет аналогичное значение, то максимальный уклон и амплитуда волны будут в раз больше, при этом амплитуда составит A0 = 0.85 мм. Это и есть оценка амплитуды волны в точке b. Аналогичные оценки амплитуды в конце капиллярного цуга, в точке a, дают значение амплитуды A0 = 0.08 мм.
Отметим, что смещения и уклоны по оси x на данном этапе мы определять не можем. Автор будет признателен, если читателям данной статьи удастся решить поставленную задачу.
Даже частичное решение поставленной задачи уже позволяет исследовать динамику развития волнения, включая физику капиллярных волн. Например, на рис. 9а видно, что капиллярные цуги формируются перед относительно длинной гравитационной волной с крутым верхним гребнем. Это следует из формы лазерной линии ниже капиллярного цуга ab. Кроме того, можно отметить, что отклонение капиллярного цуга от средней линии ab имеет несимметричный характер. Следовательно, передние и задние склоны капиллярной волны отличаются по форме.
МОДЕРНИЗАЦИЯ МЕТОДА, УПРОЩЕНИЕ ОБРАТНОЙ ЗАДАЧИ И ПОВЫШЕНИЕ ТОЧНОСТИ ЕЁ РЕШЕНИЯ
В предыдущем разделе было установлено, что по одному видеокадру мы можем определять знак уклонов по оси y, которая перпендикулярна плоскости, составленной лазерным лучом и видеокамерой, а величину уклона γy можем оценивать с относительной погрешностью около 10–25%. Такая погрешность восстановления γy возникает при отсутствии информации об уклоне γx. Если у нас будет информация о знаке и величине γx уклона по оси x, то погрешность будет уменьшена почти на порядок до 1–3%. Кроме того, полная информация о морской поверхности будет получена только при измерении уклонов по обеим осям. В этом и заключается модернизация методики измерений.
Модернизация метода измерений заключается в использовании двух видеокамер 1 и 2, расположенных ортогонально друг к другу (рис. 10, вид сверху). Лазерные лучи 3, падающие на морскую поверхность сверху вниз, дают два видеоизображения, полученные в ортогональных направлениях. Видеоснимки камеры 1 имеют высокую чувствительность к уклонам поверхности по оси y, а видеоснимки камеры 2 чувствительны к уклонам по оси x. В результате можно восстановить двумерные уклоны в рабочей области 4. С учётом граничных условий в точках падения лазерных лучей представляется возможным восстановление двумерного профиля волнения Z(x, y, t) в рабочей зоне 4.
Рис. 10. Геометрия измерений двумерного профиля морской поверхности, вид сверху: 1, 2 – ортогонально расположенные видеокамеры; 3 – два набора лазерных лучей, падающих на поверхность; 4 – область измеряемой морской поверхности.
Регистрация двумерного профиля морской поверхности с частотой работы видеокамеры позволит получать все необходимые характеристики волнения: частотные и пространственные спектры, двумерные распределения уклонов, анизотропные свойства волнения. Предполагается, что предложенным методом вполне возможно будет регистрировать обрушения волн и долю пены на поверхности.
Поскольку в данном методе можно анализировать отдельные кадры и не требуется накопление данных в сериях при фиксированной геометрии измерений, представляется вполне возможным установка аппаратуры на подвижный носитель: корабль или беспилотный летательный аппарат, по аналогии с методами, описанными в работах [3, 8]. Это позволит получать информацию со значительных акваторий за сравнительно небольшое время. Однако оценка таких перспектив выходит за рамки настоящей работы.
ЗАКЛЮЧЕНИЕ
Рассмотрена задача восстановления уклонов и формы морской поверхности по видеоизображениям лазерных лучей, распространяющихся от поверхности вниз. Показано, что отклонение лучей от прямой линии весьма чувствительно к уклонам поверхности в направлении, ортогональном оси измерений, и имеет слабую зависимость от уклонов вдоль данной оси. Отмечен рост неоднозначности решения поставленной задачи по мере удаления изображения от точки падения луча на поверхность. Чем ниже изображение, тем больше искажения лазерного луча и больше вероятность двойных изображений. Показано, что предложенный метод регистрации лазерных “хвостов” весьма эффективен для регистрации капиллярных волн и определения их параметров. Чувствительность метода позволяет измерять капиллярные волны длиной волны до 4 мм и амплитудой колебаний в 50 мкм. Метод в определённой степени изящен: он позволяет регистрировать полную форму капиллярной волны в нескольких сечениях с расстояния 6–10 м. Нам не известны другие методы, позволяющие проводить такой анализ.
Предложена модернизация метода, основанная на регистрации лазерных лучей в двух взаимно ортогональных направлениях. Это позволит измерять двумерные уклоны поверхности на всей рабочей области. С учётом граничных условий на верхнем крае лучей представляется возможным получение мгновенной двумерной формы морской поверхности с частотой работы видеокамер.
В настоящее время автору не удалось решить задачу в общем случае. Данная публикация имеет постановочный характер и имеет целью привлечение заинтересованных исследователей к её успешному решению.
Источники финансирования. Исследование выполнено за счёт гранта Российского научного фонда № 23-17-00189, https://rscf.ru/project/23-17-00189/
About the authors
V. V. Sterlyadkin
MIREA-Russian Technological University
Author for correspondence.
Email: sterlyadkin@mail.ru
Russian Federation, Moscow
References
- Антонов В.В., Садовский И.Н. Исследование параметров морского волнения в рамках международного натурного эксперимента CAPMOS05: контактные измерения с использованием пятиструнного волнографа // Современ. проблемы дистанц. зондирования Земли из космоса. 2007. № 1. С. 254–261.
- Бадулин С.И., Захаров В.Е. Спектр Филлипса и модель диссипации ветрового волнения // Теорет. и мат. физика. 2020. Т. 202(3). С. 353–363.
- Глебова Т.В., Иванов С.Г., Каледин С.Б. и др. Оценка радиусов кривизны поверхностных волн по измеренным амплитудам лазерно-бликовых сигналов в натурных экспериментах // Физические основы приборостроения. 2021. Т. 10. № 2(40). С. 74–80.
- Запевалов А.С. Статистические модели морской поверхности в задачах рассеяния акустического и электромагнитного излучения: дис. … физ.-мат. наук. Севастополь: МГИ НАН Украины, 2008. 290 c.
- Запевалов А.С., Большаков А.Н., Смолов В.Е. Исследование уклонов морской поверхности с помощью массива волнографических датчиков // Океанология. 2009. Т. 49. № 1. С. 37–44.
- Захаров В.Е., Филоненко Н.Н. Спектр энергии для стохастических колебаний поверхности жидкости // Докл. АН СССР. 1966. Т. 170(6). С. 1292–1295.
- Захаров В.Е., Филоненко H.H. Слабая турбулентность капиллярных волн // Приклад. механика и теорет. физика. 1967. № 5. С. 62–67.
- Иванов С.Г., Каледин С.Б., Носов В.Н. и др. Перспективы применения беспилотных летательных аппаратов для лазерного зондирования морской поверхности // Физические основы приборостроения. 2021. Т. 10. № 1(39). С. 70–81.
- Калинин С.А., Лейкин И.А. Измерение уклонов ветровых волн в Каспийском море // Изв. АН СССР. Физика атмосферы и океана. 1988. Т. 24. № 11. С. 1210–1217.
- Караев В.Ю., Мешков Е.М. Способ определения угла наклона и высоты волнения водной поверхности относительно её равновесного состояния: патент на изобретение RU2448324 C2. 20.04.2012.
- Лебедев Н.Е., Алескерова А.А., Плотников Е.М. Развитие оптических методов измерений уклонов морской поверхности // Современ. проблемы дистанц. зондирования Земли из космоса. 2016. Т. 13. № 3. С. 136–149.
- Стерлядкин В.В. Сканирующий оптический волнограф: патент РФ № 2746186. 20.12.2019.
- Стерлядкин В.В. Сканирующий лазерный волнограф с регистрацией “мгновенной” формы поверхности: патент РФ № 2749727. 16.10.2020.
- Стерлядкин В.В., Куликовский К.В. Измерение капиллярных волн лазерным волнографом // Российский технолог. журн. 2022. Т. 10. № 5. C. 100–110. https://www.rtj-mirea.ru/jour/article/view/571/415
- Юровская М.В., Кудрявцев В.Н., Широков А.С., Надоля И.Ю. Натурные измерения спектра поверхностных волн по фотографиям с беспилотного мультикоптера // Современ. проблемы дистанц. зондирования Земли из космоса. 2018. Т. 15. № 1. С. 245–257.
- Banner M.L., Jones I.S., Trinder J. Wavenumber spectra of short gravity waves // J. Fluid Mechanics. 1989. V. 198. P. 321–344. https://doi.org/10.1017/S0022112089000157
- Bock E.J., Hara T. Optical measurements of capillary-gravity wave spectra using a scanning laser slope gauge // J. Atmospheric and Oceanic Technology. 1995. V. 12. P. 395–403. https://doi.org/10.1175/1520–0426(1995)0122.0.CO;2
- Bréon F.M., Henriot N. Spaceborne observations of ocean glint reflectance and modeling of wave slope distributions // J. Geophysical Research: Oceans. 2006. V. 111. No. 6. Article C06005. https://doi.org/10.1029/2005JC003343
- Cox C., Munk W. Slopes of the sea surface deduced from photographs of sun glitter // J. Optical Society of America. 1954. V. 44. No. 11. P. 838–850.
- Hughes B.A., Grant H.L., Chappel R.W.A. Fast response surface-wave slope meter and measured wind components // Deep-Sea Research. 1977. V. 24. P. 1211–1223. https://doi.org/10.1016/0146-6291(77)90524-0
- Hwang P.A., Wang D.W., Walsh E.J. et al. Airborne measurements of the wave number spectra of ocean surface waves. Part I: Spectral slope and dimensionless spectral coefficient // J. Physical Oceanography. 2000. V. 30. No. 11. P. 2753–2767.
- https://doi.org/10.1175/1520–0485(2001)031<2753: AMOTWS>2.0.CO;2
- Shaw J.A., Churnside J.H. Scanning-laser glint measurements of sea-surface slope statistics // Applied Optics. V. 36. P. 4202–4213. https://doi.org/10.1364/AO.36.004202
- Sterlyadkin V.V., Kulikovskii K.V., Kuzmin A.V. et al. Scanning laser wave recorder with registration of “instantaneous” sea surface profiles // J. Atmospheric and Oceanic Technology. 2021. V. 38. No. 8. P. 1415–1424. https://doi.org/10.1175/JTECH-D-21-0036.1
Supplementary files












