Recent Benthic Foraminiferal Assemblages in the Western Part of the East Siberian Sea
- Authors: Ovsepyan E.A.1, Ovsepyan Y.S.1,2, Zenina М.А.1, Mitrofanova N.О.1,2
-
Affiliations:
- Shirshov Institute of Oceanology Russian Academy of Sciences
- Geological Institute Russian Academy of Sciences
- Issue: Vol 63, No 5 (2023)
- Pages: 749-761
- Section: Морская биология
- URL: https://bakhtiniada.ru/0030-1574/article/view/140444
- DOI: https://doi.org/10.31857/S003015742305012X
- EDN: https://elibrary.ru/CVJPQR
- ID: 140444
Cite item
Full Text
Abstract
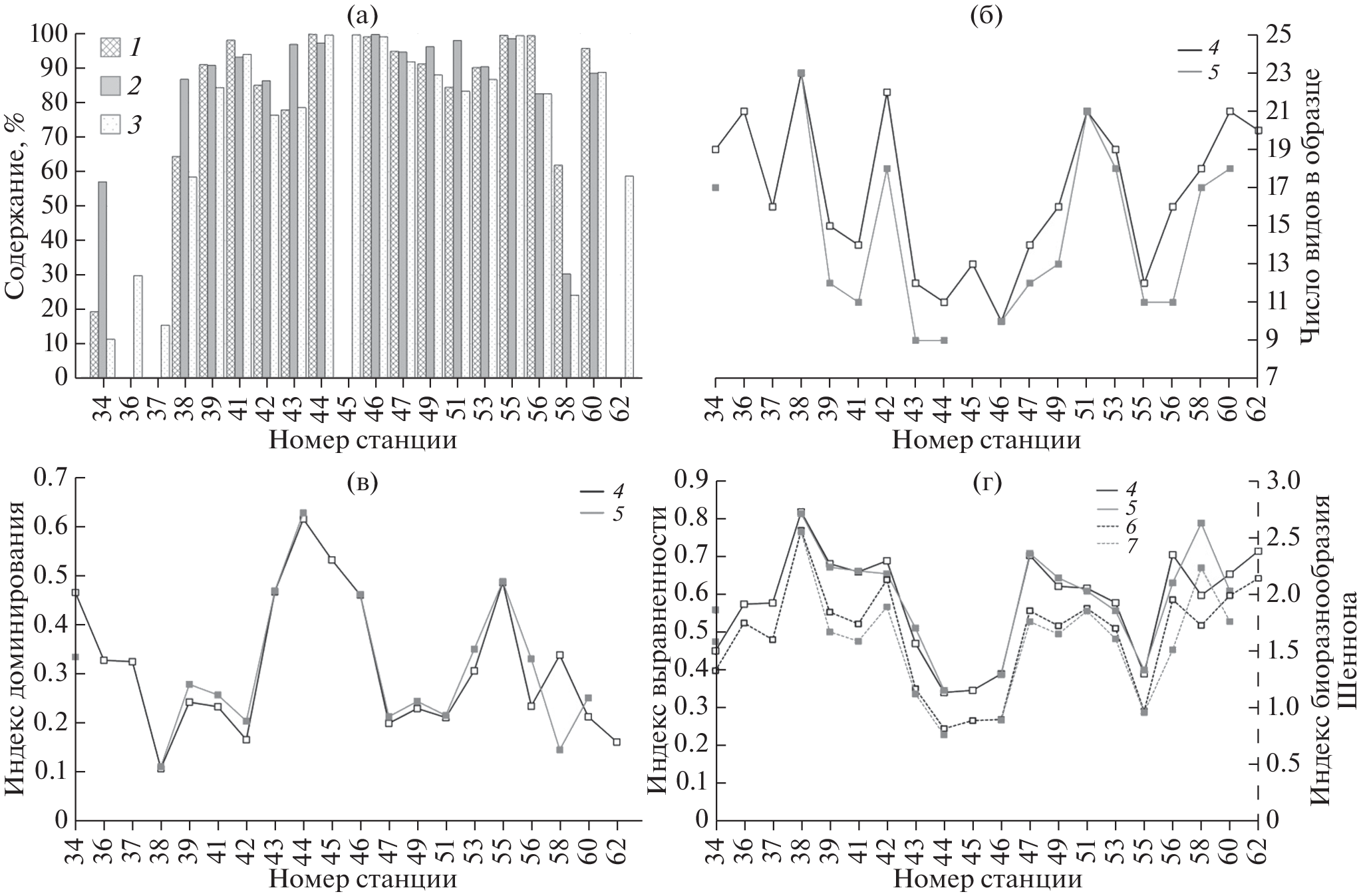
Benthic foraminiferal assemblages were studied in twenty surface sediment samples collected in the western part of the East Siberian Sea in the framework of the expedition of the R/V “Ivan Kireev” in 2004. Rose Bengal treatment allows us to separate “living” and “dead” individuals. Taxonomic analyses reveal that “living” calcareous foraminifers dominate in the study region with the exception of the New Siberian Islands area and area to the northeast from the Indigirka river mouth where agglutinated tests constitute up to a half of the assemblage. Little amount of dead individuals points to a rapid dissolution of calcareous tests immediately after death of organism. Taxonomic composition of the studied assemblages is similar to river-proximal benthic foraminiferal assemblage previously determined for the Kara Sea. In the East Siberian Sea, the most commonly occurred species are E-lphidium clavatum, Elphidiella groenlandica, Haynesina orbiculare, E. incertum и Lagenammina atlantica. Less abundant species are Gordiospira arctica, Buccella frigida, E. bartletti, Reophax curtus, R. scorpiurus and polymorphinids. As a result of statistical treatment, four areas with specific BF assemblages have been distinguished: area of the Indigirka River mouth, zone affected by Siberian Coastal Current, area located to the north of the Siberian Coastal Current and zone situated close to the New Siberian Island archipelago together with an area located to the northeast from the Indigirka river mouth. Such a distribution of BF assemblages in the study area seems to be related to the distance of the river discharge area, type of sediments and fresh organic matter content.
About the authors
E. A. Ovsepyan
Shirshov Institute of Oceanology Russian Academy of Sciences
Author for correspondence.
Email: eovsepyan@ocean.ru
Russia, Moscow
Ya. S. Ovsepyan
Shirshov Institute of Oceanology Russian Academy of Sciences; Geological Institute Russian Academy of Sciences
Author for correspondence.
Email: yaovsepyan@yandex.ru
Russia, Moscow; Russia, Moscow
М. А. Zenina
Shirshov Institute of Oceanology Russian Academy of Sciences
Author for correspondence.
Email: maria_zenina@mail.ru
Russia, Moscow
N. О. Mitrofanova
Shirshov Institute of Oceanology Russian Academy of Sciences; Geological Institute Russian Academy of Sciences
Email: maria_zenina@mail.ru
Russia, Moscow; Russia, Moscow
References
- Ветров А.А., Семилетов И.П., Дударев О.В. и др. Исследование состава и генезиса органического вещества донных осадков Восточно-Сибирского моря // Геохимия. 2008. № 2. С. 183–195.
- Гудина В.И. Морской плейстоцен сибирских равнин. Фораминиферы Енисейского севера. М.: Наука, 1969. 80 с.
- Демидов А.Б., Гагарин В.И., Шеберстов С.В. Сезонная изменчивость первичной продукции Восточно-Сибирского моря и оценка ее годовой величины. Сравнение с другими морями Сибирской Арктики // Океанология. 2020. Т. 60. № 5. С. 696–710.
- Добровольский А.Д., Залогин Б.С. Моря СССР. М.: изд-во МГУ, 1982. 192 с.
- Корсун С.А., Погодина И.А., Тарасов Г.А., Матишов Г.Г. Фораминиферы Баренцева моря (гидробиология и четвертичная палеоэкология). Апатиты: Кольский научный центр РАН, 1994. 140 с.
- Лукина Т.Г. Особенности распределения фораминифер в море Лаптевых // Фауна и экосистемы моря Лаптевых и сопредельных глубоководных участков арктического бассейна. Исследования фауны морей. Т. 54. № 62. СПб.: 2004. С. 86–123.
- Матуль А.Г., Хусид Т.А., Мухина В.В. и др. Современные и позднеголоценовые природные условия на шельфе юго-восточной части моря Лаптевых по данным микрофоссилий // Океанология. 2007. Т. 47. № 1. С. 90–101.
- Овсепян Я.С. Позднечетвертичные фораминиферы моря Лаптевых и реконструкции изменения среды на основе палеоэкологического анализа. Дисс. на соиск. уч. степ. к.г.-м.н. М.: 2016. 240 с.
- Овсепян Я.С., Талденкова Е.Е., Баух Х.А., Кандиано Е.С. Реконструкция событий позднего плейстоцена–голоцена на континентальном склоне моря Лаптевых по комплексам бентосных и планктонных фораминифер // Стратиграфия. Геологическая корреляция. 2015. Т. 23. № 6. С. 96–112.
- Пипко И.И., Семилетов И.П., Тищенко П.Я. и др. Изменчивость параметров карбонатной системы в прибрежно-шельфовой зоне Восточно-Сибирского моря в осенний сезон // Океанология. 2008. Т. 48. № 1. С. 59–72.
- Романкевич Е.А., Ветров А.А. Углерод в Мировом океане. М.: ГЕОС, 2021. 352 с.
- Саидова Х.М. Сообщества фораминифер Чукотского моря // Океанология. 1990. Т. 30. Вып. 3. С. 450–454.
- Семилетов И.П. Разрушение мерзлых пород побережья как важный фактор в биогеохимии шельфовых вод Арктики // Докл. РАН. 1999. Т. 368. № 5. С. 679–682.
- Таманова С.В. Видовой состав современных фораминифер как индикатор гидрологического режима Арктических морей // Северный Ледовитый океан и его побережье в кайнозое. Л.: Гидрометеоиздат, 1970. С. 199–203.
- Таманова С.В. Фораминиферы моря Лаптевых // Геология моря. Л.: НИИГА, 1971. Вып. 1. С. 54–63.
- Хусид Т.А. Либина Н.В., Доманов М.М. Бентосные фораминиферы моря Лаптевых и их связь с гидрологическими условиями моря // Океанология. 2021. Т. 61. № 3. С. 423–432.
- Шорников Е.И., Зенина М.А. Фауна донных остракод Карского, Лаптевых и Восточно-Сибирского морей (по материалам экспедиций ТОИ ДВО РАН) // Морские исследования ДВО РАН в Арктике: Тр. Аркт. регион. центра. Т. 4. Владивосток: Дальнаука, 2006. С. 156–211.
- Anderson L.G., Björk G., Jutterström S. et al. East Siberian Sea, an Arctic region of very high biogeochemical activity // Biogeosciences. 2011. V. 8. P. 1745–1754.
- Bernhard J.M., Ostermann D.R., Williams D.S., Blanks J.K. Comparison of two methods to identify live benthic foraminifera: A test between Rose Bengal and CellTracker Green with implications for stable isotope paleoreconstructions // Paleoceanography. 2006. V. 21. PA4210.
- Cronin T.M., O’Regan, M., Pearce C. et al. Deglacial sea level history of the East Siberian Sea and Chukchi Sea margins // Clim. Past. 2017. V. 13. P. 1097–1110.
- Cushman J.A. Arctic Foraminifera. Cushman Lab. For Foraminiferal Research. 1948. Special Publication no. 23. 105 p.
- Dittmar T., Kattner G. The biogeochemistry of the river and shelf ecosystem of the Arctic Ocean: a review // Marine Chemistry. 2003. V. 83. P. 103–120.
- Dmitrenko I.A., Polyakov I.V., Kirillov S.A. et al. Toward a warmer Arctic Ocean: Spreading of the early 21st century Atlantic Water warm anomaly along the Eurasian Basin margins // J. Geophys. Res. 2008. V. 113. C05023.
- Feyling-Hanssen R.W. Weichselian interstadial foraminifera from the Sandnes-Jæren area // Late Quaternary foraminifera from Vendsyssel, Denmark and Sandnes / Bull. Geol. Soc. Den. 1971. V. 21. P. 72–116.
- Fossile E., Nardelli M.P., Jouini A. et al. Benthic foraminifera as tracers of brine production in the Storfjorden “sea ice factory” // Biogeosciences. 2020. V. 17. P. 1933–1953.
- Gordeev V.V., Martin J.M., Sidorov I.S., Sidorova M.V. A reassessment of the Eurasian river input of water, sediment, major elements, and nutrients to the Arctic Ocean // American Journal of Science. 1996. V. 296. P. 664–691.
- Hald M., Korsun S. Distribution of modern benthic foraminifera from fjords of Svalbard, European Arctic // J. of Foraminiferal Research. 1997. V. 27. № 2. P. 101–122.
- Hammer Ø., Harper D.A., Ryan P.D. PAST: Paleontological Statistics software package for education and data analysis // Palaeontologia Electronica. 2001. V. 4. № 1. P. 9.
- Husum K., Hald M., Stein R., Weissschnur M. Recent benthic foraminifera in the Arctic Ocean and Kara Sea continental margin // Arktos. 2015. V. 1. 5.
- Ivanova E.V., Ovsepyan E.A., Risebrobakken B., Vetrov A.A. Downcore distribution of living calcareous foraminifera and stable isotopes in the Western Barents Sea // Journal of Foraminiferal Research. 2008. V. 38. № 4. P. 337–356.
- Jakobsson M. Hypsometry and volume of the Arctic Ocean and its constituent seas // Geochemistry Geophysics Geosystems. 2002. V. 3. № 5. P. 1–18.
- Jones R.W. The Challenger Foraminifera. Oxford University Press, 1994. 149 p.
- Korsun S., Hald M. Modern benthic foraminifera off Novaya Zemlya tidewater glaciers, Russian Arctic // Arctic Alpine Res. 1998. V. 30. P. 61–77.
- Korsun S., Hald M. Seasonal dynamics of benthic foraminifera in a glacially fed fjord of Svalbard, European Arctic // Journal of Foraminiferal Res. 2000. V. 30. № 4. P. 251–271.
- Lukina T.G. Foraminifera of the Laptev Sea // Protistology. 2001. V. 2. № 2. P. 105–122.
- Nooijer L.J., Toyofuku T., Kitazato H. Foraminifera promote calcification by elevating their intracellular pH // PNAS. 2009. V. 106. № 36. P. 15374–15378.
- Osadchiev A.A. Pisareva M.N., Spivak E.A. et al. Freshwater transport between the Kara, Laptev and East Siberian seas // Scientific Reports. 2020. V. 10. 13041.
- Osadchiev A.A., Silvestrova K., Myslenkov S. Wind-driven coastal upwelling near large river deltas in the Laptev and East-Siberian Seas // Remote Sensing. 2020. V. 12. 844.
- Polyak L., Korsun S., Febo L. et al. Benthic foraminiferal assemblages from the southern Kara Sea, a river influenced Arctic marine environment // J. of Foraminiferal Res. 2002. V. 32. № 3. P. 252–273.
- Racine C., Bonnin J., Nam S.I. et al. Distribution of living benthic foraminifera in the northern Chukchi Sea // Arctos. 2018. V. 4. 28.
- Semiletov I.P., Dudarev O., Luchin V. et al. The East Siberian Sea as a transition zone between Pacific-derived waters and Arctic shelf waters // Geophysical Research Letters. 2005. V. 32. L10614.
- Semiletov I., Pipko I., Gustafsson Ö. et al. Acidification of East Siberian Arctic Shelf waters through addition of freshwater and terrestrial carbon // Nature Geoscience. 2016. Published online.
- Schönfeld J., Alve E., Geslin E. et al. The FOBIMO (FOraminiferal BIo-MOnitoring) initiative—Towards a standardized protocol for soft-bottom benthic foraminiferal monitoring studies // Mar. Micropal. 2012. V. 94–95. P. 1–13.
- Steinsund P.I., Hald M. Recent calcium carbonate dissolution in the Barents Sea: Paleoceanographic applications // Marine Geology 1994. V. 117. P. 303–316.
- Taldenkova E., Bauch H.A., Gottschalk J. et al. History of ice-rafting and water mass evolution at the North Siberian continental margin (Laptev Sea) during Late Glacial and Holocene times // Quat. Sci. Rev. 2010. V. 29. P. 3919–3935
- Todd R., Low D. Foraminifera from the Arctic Ocean off the eastern Siberian coast // U.S. Geol. Surv. Prof. Paper. 1966. № 550-C. P. 79–85.
- Walton W.R. Techniques for recognition of living foraminifera // Contributions from the Cushman Foundation for Foraminiferal Research. 1952. V. 3. P. 56–60.
- Weingartner T.J., Danielson S., Sasaki Y. et al. The Siberian Coastal current: a wind and buoyancy forced coastal current // J. Geophys. Res. 1999. V. 104. P. 29 697–29 713.
- Wollenburg J., Mackensen A. Living benthic foraminifers from the central Arctic Ocean: faunal composition, standing stock and diversity // Marine Micropaleontology. 1998. V. 34. № 3–4. P. 153–185.
Supplementary files








