Оценка содержания взвеси в прибрежной зоне северо-восточной части Черного моря по относительной прозрачности
- Авторы: Коновалов Б.В.1
-
Учреждения:
- Институт океанологии им. П.П. Ширшова РАН
- Выпуск: Том 63, № 1 (2023)
- Страницы: 72-83
- Раздел: Морская геология
- URL: https://bakhtiniada.ru/0030-1574/article/view/136225
- DOI: https://doi.org/10.31857/S0030157423010057
- EDN: https://elibrary.ru/AHHZYP
- ID: 136225
Цитировать
Полный текст
Аннотация
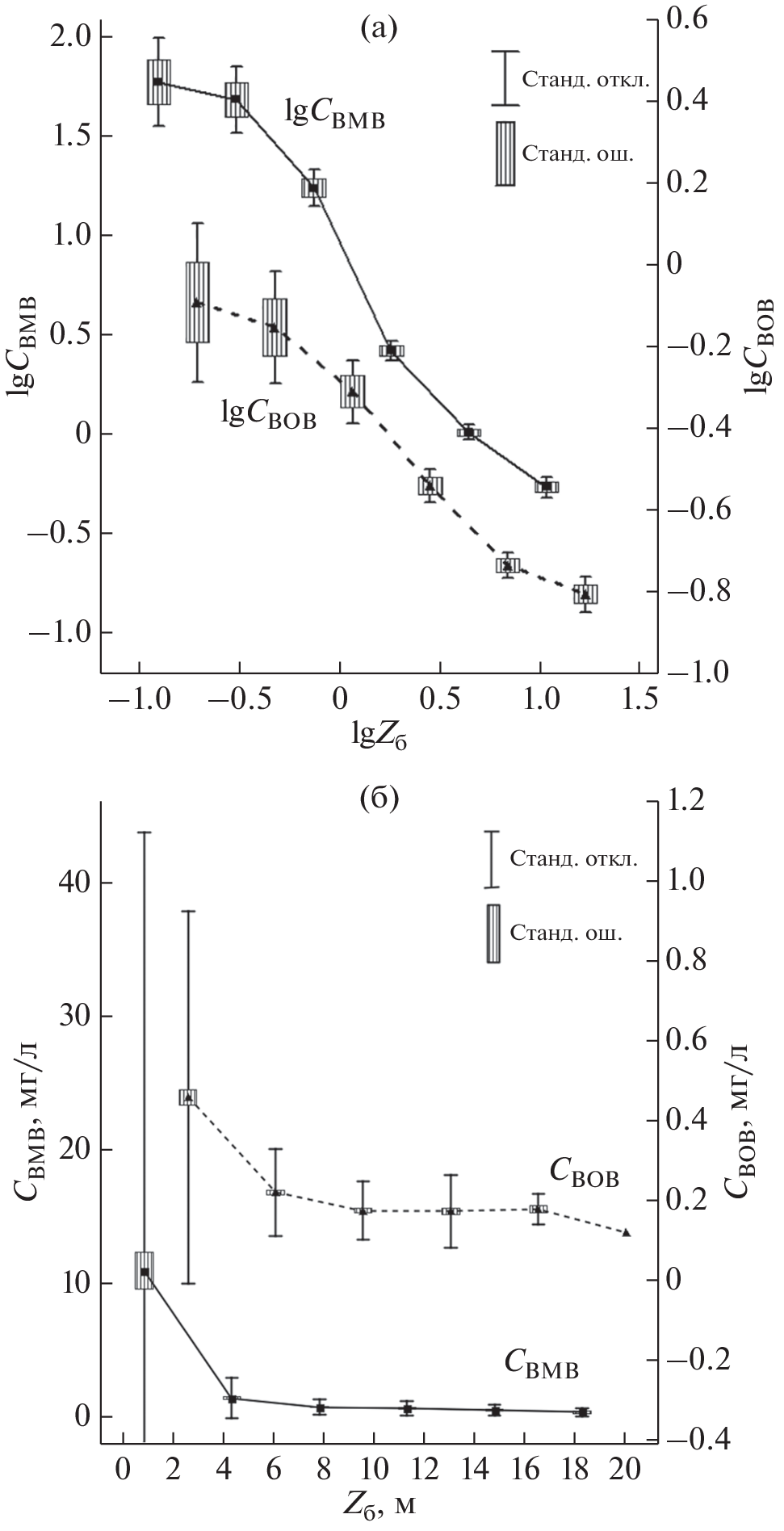
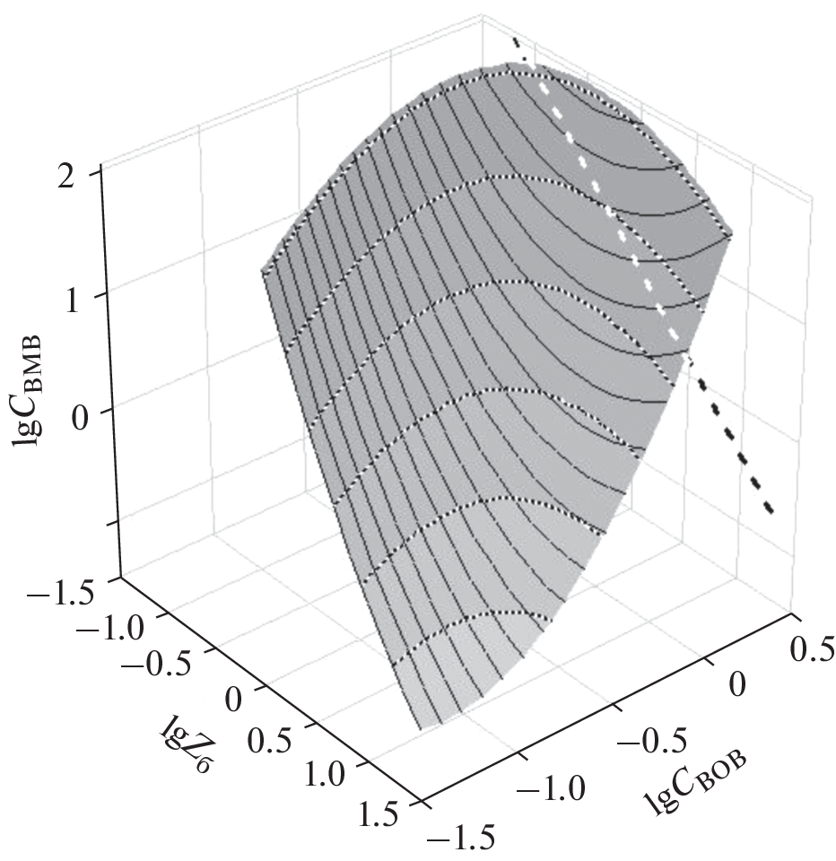
На основе анализа материалов 20-ти экспедиций ИО РАН, проведенных в различных районах прибрежной зоны российского сектора Черного моря в период с 1999 по 2021 гг., получены эмпирические уравнения связи между глубиной видимости белого диска Zб и массовыми концентрациями общего взвешенного вещества (ВВ) и ее минеральной (ВМВ) и органической (ВОВ) фракций (Свв, Свмв и Свов соответственно). Значения Zб зафиксированы в диапазоне от 0.1 до 21 м, концентрации ВМВ – от 0.11 до 104 мг/л, ВОВ – от 0.09 до 2.0 мг/л и хлорофилла a (Схa) – от 0.03 до 4.4 мкг/л. Проведена оценка погрешности при расчетах по указанным уравнениям. Коэффициенты детерминации r 2 ≈ 0.85 (для lgСвв и lgСвмв) и 0.72 (для lgСвов). Выявлено влияние концентрации ВОВ на точность расчета Свмв и концентрации хлорофилла a на точность расчета Свов. Сделан вывод о возможности использования эмпирических формул, относящихся ко всему массиву, для расчета концентраций указанных фракций взвеси на всей исследованной акватории. Предложено рассматривать метод оценки содержания фракций взвеси на основе полученных эмпирических уравнений в качестве регионального варианта метода пассивного зондирования верхнего слоя моря с использованием белого диска.
Ключевые слова
Об авторах
Б. В. Коновалов
Институт океанологии им. П.П. Ширшова РАН
Автор, ответственный за переписку.
Email: bvkonovalov@yandex.ru
Россия, 117997, Москва
Список литературы
- Березкин В.С., Гершун А.А., Янишевский Ю.Д. Прозрачность и цвет моря – Л.: Изд-во военно-морской академии ВМВ, 1940. 123 с.
- Витюк Д.М. Использование визуальных наблюдений для расчета концентрации взвеси в морской воде // Взвешенное вещество и его биогенные компоненты. Киев: Наукова Думка, 1983. С. 70–72.
- Горнер И. Инструкция лейтенанту Коцебу о физических наблюдениях // В Отчете О. Коцебу “Путешествие в Южный океан и Берингов пролив для отыскания северо-восточного морского прохода, предпринятое в 1815—1818 гг. на корабле “Рюрик””. Ч. 1. СПб.: 1821. С. 149–181.
- ГОСТ 17.1.04.02–90. “Вода. Методика спектрофотометрического определения хлорофилла a”. М.: Изд-во стандартов Госкомприроды, 1990. 16 с.
- ГОСТ 19 210–73. Гидрооптические характеристики. Термины и определения. М. Изд-во Госкомитета Стандартов СССР. 1974. 10 с.
- Зубов Н.Н. Гидрологические работы Морского научного института летом 1928 г. на э/с “Персей” // Труды ГОИН. 1932. Т. 2. Вып. 4.
- Иванов Р.Н. К теории диска Секки // Журнал геофизики. 1936. Т. 6. Вып. 2–3.
- Иванов К.И. О зависимости между прозрачностью и содержанием взвешенных веществ // Труды ГОИН. М.-Л.: Гидрометеоиздат, 1948. Вып.10/22. С. 117–129.
- Книпович Н.М. Гидрологические исследования в Каспийском море в 1914–1915 гг. // Тр. Касп. эксп. 1914–1915 гг. 1921.
- Козлянинов М.В. Руководство по гидрооптическим измерениям в море // Труды ИО АН. 1961. Т. 47. С. 37–80.
- Козлянинов М.В. О расчете видимости белого стандартного диска // Океанология. 1980. Т. 20. № 2. С. 329–334.
- Коновалов Б.В. Определение показателя поглощения света компонентами сестона по спектру поглощения его осадка на мембранном фильтре // Океанология. 1992. Т. 32. № 3. С. 588–593.
- Коновалов Б.В., Кравчишина М.Д., Беляев Н.А., Новигатский А.Н. Определение концентрации минеральной взвеси и взвешенного органического вещества по их спектральному поглощению // Океанология. 2014. Т. 54. № 5. С. 704–711.
- Лебединцев А.А. Журнал гидрологических и метеорологических наблюдений в Каспийской экспедиции1904 г. // Тр. Касп. эксп. 1904 г. 1913. Т. 3.
- Левенштерн Е.Е. Вокруг света с Иваном Крузенштерном // Сост. А.В. Крузенштерн, О.М. Федорова, Т.К. Шафрановская. СПб. ЦКП ВМФ. 2003. 600 с.
- Маньковский В.И. Эмпирическая формула для оценки показателя ослабления света в морской воде по глубине видимости белого диска // Океанология. 1978. Т. 18. Вып. 4. С. 750–753.
- Маньковский В.И. Основы оптики океана. Севастополь: НАН Украины, Морской гидрофизический институт, 1996. 119 с.
- Маньковский В.И. Оценка концентрации общей взвеси и ее органической и минеральной фракций в озере Байкал по глубине видимости белого диска // Опт. атм. и океана. 2018. Т. 31. № 4. С. 313–317.
- Маньковский В.И. Влияние состава взвеси на глубину видимости белого диска // Опт. атм. и океана. 2019. Т. 32. № 1. С. 24–28.
- Определение относительной прозрачности воды // Руководство по гидрологическим работам в океанах и морях. М.: Изд-во ГОИН, 2016. Гл. 14.3. С. 339–340.
- Федорова И.К. Океанийские заметки И.К. Горнера во время первой русской кругосветной экспедиции (1803–1806). Электронная библиотека МАЭ РАН (Музея антропологии и этнографии им. Петра Великого (Кунсткамера) РАН. 2007. (http://www.kunstkamera.ru/lib/rubrikator//08/08_ 03/ 978-5-02-025219-6/).
- Шемшура В.Е., Владимиров В.Л. Оценка концентрации взвеси в море по глубине видимости белого диска и спектрам восходящего излучения // Океанология. 1989. Т. 29. № 6. С. 946–950.
- Шифрин К.С. Введение в оптику океана. Л.: Гидрометиздат, 1983. 278 с.
- Шпиндлер Б. Материалы по гидрологии Карабугаза и средней части Каспийского моря // Тр. Карабугазск. эксп. 1902. Ч. 1.
- Шулейкин В.В. Гидрографические работы во 2-ой экспедиции 1924 г. // Исследование оптических свойств воды // Тр. Плавучего морского научн. ин-та. 1925. Вып. 19.
- Aas E., Høkedal J., Sørensen K. Secchi depth in the Oslofjord–Skagerrak area: theory, experiments and relationships to other quantities // Ocean Sciences. 2014. V. 10. P. 177–199.
- Cialdi C.A. Sul moto ondoso del mare e su le correnti de esso specialmente auquelle littorali. 2nd Ed. 1866. P. 258–288. Cited in ONI Transl. A-655, P. 1. Hydrographic Office, 19.
- Clarke O.L., Jaraes H.K. Laboratory Anahsis of the selective absorption of light by sea water // Optical Society of America. 1939. V. 29. № 2.
- Gordon H.R., Wouters A.W. Some relations between Secchi depthand inherent optical properties of natural waters // Appl. Opt. 1978. V. 17. P. 3341–3343.
- Graham J. Secchi disc observations and extinction coefficients in the central and eastern north Pacific Ocean // Limnol. Oceanog. 1966. V. 11. P. 184–190.
- Horner J.C. Nachrichten von der Russischen Entdeckungsreise // Monatliche Correspondentz zur Beforderung der Erd- und Himmelskunde / F.X. V. Zach. Bd. 11. 1805. S. 149–160.
- Lee Z.P., Shang S., Hu C. et al. Secchi disk depth: A new theory and mechanistic model for underwater visibility // Remote Sensing of Environment. 2015. V. 169. P. 139–149.
- Levin J.M., Radomyslskaya T.M. Secchi disk theory: a reexamination // Current Research on Remote Sensing. Proc. of SPIE. 2007. V. 6615. P. 1–11.
- Pellerson H. Scattering and extinction of light in sea water // Kungl. Vetens. Vitterhets samhal. 1934. Handl. Ser. B. Bd. 4. № 4.
- Pitarch, J. A Review of Secchi’s contribution to marine optics and the foundation of Secchi disk science // Oceanography. 2020. V. 3. № 3. P. 26–37.
- Preisendorfer R.W. Secchi disk science: visual optics of natural waters // Limnol. Oceanogr. 1986. V. 31. P. 909–926.
- Wernand M.R. On the history of the Secchi disc // Journal European Optical Society — Rapid Publications. 2010. V. 5. P. 10013S1–10013S6.
- Witting R. Zusammenfassende ubersicht der hydrographie des bottnischen und finnischen meerbusens und der Nordlichen Ostsee nach den Untersuchungen bis Ende 1910 // Finlandische Hydr. Biol. Unters. 1912. № 7.
Дополнительные файлы









