About a Possible Frontogenetic Role of Salt Finger Type Convection in the Ocean
- Authors: Pereskokov A.I.1
-
Affiliations:
- All-Russian Scientific Research Institute of Hydrometeorological Information – World Data Center
- Issue: Vol 63, No 1 (2023)
- Pages: 20-31
- Section: Физика моря
- URL: https://bakhtiniada.ru/0030-1574/article/view/136220
- DOI: https://doi.org/10.31857/S0030157423010148
- EDN: https://elibrary.ru/AGCNNB
- ID: 136220
Cite item
Full Text
Abstract
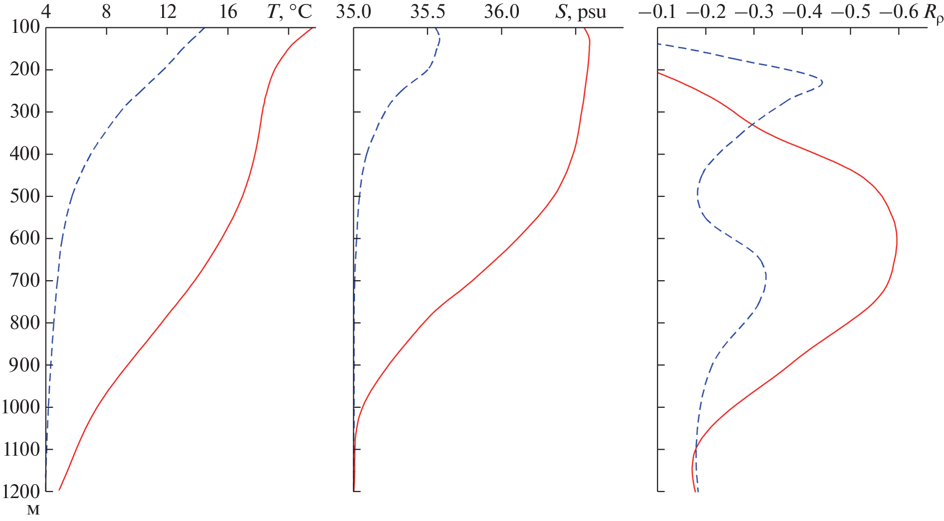
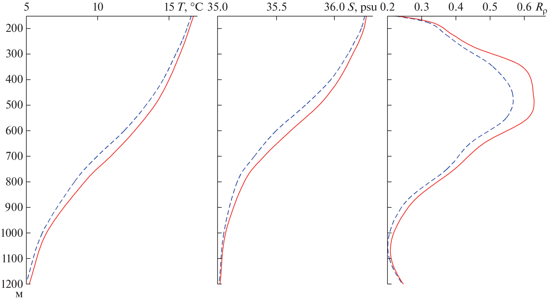
The fundamental problem of the study of oceanic fronts is to find the mechanisms that play an essential role in the generation of fronts (frontogenesis) of planetary scale and to maintain them. To study this problem with regard to the North Atlantic Ocean the fields of horizontal temperature (and salinity) gradients in the intermediate water column have been compared for the first time to the field of density ratio that characterizes the spatial inhomogeneity of vertical heat and mass transfer due to the processes of double diffusion of heat and salt. The comparison shows the presence of more or less sharp thermohaline frontal zones throughout the periphery of the two vast areas in the subtropical and tropical zones covered by intense differential-diffusion convection in the salt finger regime. This is a strong argument for the fact that this previously ignored small-scale (experiencing impact of molecular processes) convection may be a prime cause of large-scale frontogenesis in the oceanic water column.
About the authors
A. I. Pereskokov
All-Russian Scientific Research Institute of Hydrometeorological Information – World Data Center
Author for correspondence.
Email: peres@meteo.ru
Russia, 249035, Obninsk
References
- Баранов Е.И. Структура и динамика вод системы Гольфстрима. М.: Гидрометеоиздат, 1988. 252 с.
- Бубнов В.А. Структура и динамика средиземноморских вод в Атлантическом океане // Океанологические исследования. 1971. Т. 22. С. 220–278.
- Бубнов В.А. Северо-Атлантическое течение по данным эксперимента “Атлантэкс” // Океанология. 1994. Т. 34. № 6. С. 805–810.
- Галеркин Л.И., Гриценко A.M., Панфилова С.Г. и др. Сезонная изменчивость горизонтальных градиентов температуры в Северной Атлантике // Докл. РАН. 2002. Т. 384. № 4. С. 539–543.
- Грузинов В.М. Геострофические течения зоны субполярного фронта северной части Атлантического океана // Океанология. 1964. Т. 4. Вып. 2. С. 243–248.
- Грузинов В.М. Гидрология фронтальных зон Мирового океана. Л.: Гидрометеоиздат, 1986. 272 с.
- Добролюбов С.А., Лаппо С.С., Морозов Е.Г. и др. Изменчивость водных масс в Северной Атлантике по данным гидрологических разрезов вдоль 60° с.ш. // Докл. РАН. 2003. Т. 390. № 2. С. 255–259.
- Емельянов М.В., Федоров К.Н. Структура и трансформация промежуточных вод Средиземного моря и Атлантического океана // Океанология. 1985. Т. 25. Вып. 2. С. 206–214.
- Иванов Ю.А., Нейман В.Г. Фронтальные зоны Южного океана // Антарктика. М.: Наука, 1965. С. 98–109.
- Материалы океанологических исследований. Вып. 3. Мезоструктура гидрофизических полей океана: Каталог / Под ред. Озмидова Р.В. и Паки В.Т. М.: Акад. наук СССР, Междувед. геофизический комитет, Секция океанографии, 1989. 108 с.
- Никитин О.П. О квазистационарном антициклоническом вихре над Ньюфаундлендской котловиной // Тр. ГОИН. 2017. Вып. 218. С. 63–73.
- Никифоров Е.Г., Савченко В.Г., Шпайхер А.О. Системы гидрологических фронтов Северной Атлантики // Тр. ААНИИ. 1977. Т. 338. С. 5–16.
- Перескоков А.И. Исключение грубых ошибок при статистической обработке глубоководных гидрологических данных // Тр. ВНИИГМИ–МЦД. 1984. Вып. 101. С. 106–113.
- Перескоков А.И. Экстремумы статической устойчивости в экваториально-тропической области Северной Атлантики и их связь с границами водных масс // Тр. ВНИИГМИ–МЦД. 1984. Вып. 102. С. 22–32.
- Перескоков А.И. Влияние конвекции в режиме солевых пальцев на структуру океанического термохалоклина // Океанология. 2019. Т. 59. № 6. С. 913–919. https://doi.org/10.31857/S0030-1574596913-919
- Перескоков А.И., Федоров К.Н. Дифференциально-диффузионная конвекция в толще вод океана как климатообразующий фактор // Докл. АН СССР. 1985. Т. 285. № 1. С. 229–232.
- Перескоков А.И., Федоров К.Н. Вентиляция вод термоклина океана конвекцией типа солевых пальцев // Докл. АН СССР. 1989. Т. 309. № 1. С. 192–196.
- Россов В.В., Кисляков А.Г. Новые исследования Северо-Атлантического течения (по материалам э/с “Атлантида”) // Океанология. 1971. Т. 11. Вып. 4. С. 753–758.
- Семенов В.М., Перескоков А.И. Эволюция атмосферной циркуляции над Северной Атлантикой при сдвиге гидрологического фронта // Метеорология и гидрология. 1991. № 5. С. 101–105.
- Степанов В.Н. Океаносфера. М.: Мысль, 1983. 270 с.
- Степанов В.Н., Галеркин Л.И., Кутько В.П. и др. Формирование и изменчивость гидрофизических полей северной части Атлантического океана. М.: Гидрометеоиздат, 1984. 139 с.
- Федоров К.Н. Тонкая термохалинная структура вод океана // Л.: Гидрометеоиздат, 1976. 184 с.
- Федоров К.Н. Физическая природа и структура океанических фронтов. Л.: Гидрометеоиздат, 1983. 296 с.
- Федоров К.Н. Изопикнический эффект локального турбулентного перемешивания в океанском пикноклине // Докл. АН СССР. 1983. Т. 271. № 5. С. 1230–1234.
- Федоров К.Н. О термохалинных характеристиках фронтов в океане // Докл. АН СССР. 1988. Т. 302. № 1. С. 206–210.
- Федоров К.Н., Перескоков А.И. Типизация термохалинных условий стратификации в Мировом океане // Метеорология и гидрология. 1986. № 12. С. 71–77.
- Филюшкин Б.Н., Кожелупова Н.Г. Обзор исследований средиземноморских внутритермоклинных вихрей в Атлантическом океане // Океанологические исследования. 2020. Т. 48. № 3. С. 123–147.
- Auer S.J. Five-year climatological survey of the Gulf Stream system and its associated rings // J. Geophys. Res. 1987. V. 92. № C11. P. 11 709–11 726.
- Barret J.R. Salinity changes in the western North Atlantic // Deep-Sea Res. 1969. Suppl. to V. 16. P. 7–16.
- Clarke R.A., Hill H.W., Reiniger R.F. et al. Current system south and east of the Grand Banks of Newfoundland // J. Phys. Oceanogr. 1980. V. 10. № 1. P. 25–65.
- Defant A. Die Troposphere des Atlantischen Ozeans // Wiss. Ergebh. Deut. Atl. Exped. 1936. Bd. 6. № 7. H. 2.
- Dickson R.R., Lazier J., Meincke J. et al. Long-term coordinated changes in the convective activity of the North Atlantic // Progr. Oceanogr. 1996. V. 38. P. 241–295.
- Lazier J.R.N. Observations in the Northwest Corner of the North Atlantic Current // J. Phys. Oceanogr. 1994. V. 24. № 7. P. 1449–1463.
- Mann C.R. The termination of the Gulf Stream and the beginning of the North Atlantic Current // Deep-Sea Res. and Oceanographic Abstract. 1967. V. 14. Issue 3. P. 337–359.
- McWilliams J.C. Oceanic frontogenesis // Annu. Rev. Mar. Sci. 2021. V. 13. P. 227–253. https://doi.org/10.1146/annurev-marine-032320-120725
- McWilliams J.C., Gula J., Molemaker M. J. The Gulf Stream north wall: ageostrophic circulation and frontogenesis // J. Phys. Oceanogr. 2019. V. 49. № 4. P. 893–916. https://doi.org/10.1175/JPO-D-18-0203.1
- Olson D.B., Brown O.B., Emmerson S.R. Gulf Stream frontal statistics from Florida Straits to Cape Hatteras derived from satellite and historical data // J. Geophys. Res. 1983. V. 88. № C8. P. 4569–4577.
- Pickart R.S. Is Labrador Sea water formed in the Irminger Basin // Int. WOSE Newsl. 2000. № 39. P. 6–8.
- Pickart R.S., Torres D.J., Clarke R.A. Hydrography of the Labrador Sea during active convection // J. Phys. Oceanogr. 2002. V. 32. № 2. P. 428–457.
- Schmitt R.W. The Caribbien sheets and layers transects (C-Salt) program // EOS. 1987. V. 68. P. 57–60.
- Spall M.A., Pickart R.S. Where does dense water sink? A Subpolar Gyre example // J. Phys. Oceanogr. 2001. V. 31. P. 810–826.
- Sverdrup H.U., Johnson M.W., Fleming R.H. The oceans, their physics, chemistry and general biology // New York, Prentice-Hall, 1942. 1060 p.
- Talley L.D., McCartney M.S. Distribution and circulation of Labrador Sea water // J. Phys. Oceanogr. 1982. V. 12. № 11. P. 1189–1205.
Supplementary files





