Капиллярные колонки, приготовленные на основе модифицированного органическими основаниями поли(1-триметилсилил‑1-пропина), для анализа товарного (целевого и технического) н-бутана
- Authors: Яковлева Е.Ю.1,2, Патрушев Ю.В.1,2
-
Affiliations:
- Институт катализа им. Г. К. Борескова СО РАН
- Новосибирский государственный университет
- Issue: Vol 64, No 6 (2024)
- Pages: 653-664
- Section: Articles
- URL: https://bakhtiniada.ru/0028-2421/article/view/282399
- DOI: https://doi.org/10.31857/S0028242124060103
- EDN: https://elibrary.ru/MESAPS
- ID: 282399
Cite item
Full Text
Abstract
Разработан способ газохроматографического анализа примесей углеводородов и метанола в н-бутане (содержание более 99%) с использованием капиллярных колонок, приготовленных на основе модифицированного поликатионным полиэтиленимином (ПЭИ) поли(1-триметилсилил- 1-ропина) (ПТМСП). Исследована селективность разделения определяемых компонентов и показано, что разрешающая способность для пиков углеводородов С3–С4 и метанола на пористослойных капиллярных колонках размером 30 м × 0.32 мм (ПТМСП032-ПЭИ) и 25 м × 0.53 мм (ПТМСП053-ПЭИ) с модифицированным полиэтиленимином слоем ПТМСП существенно выше, чем для предложенной ранее капиллярной колонки размером 30 м × 0.32 мм с поли(1-триметилсилил-1-пропином) (ПТМСП032). Метанол на колонках ПТМСП032-ПЭИ и ПТМСП053-ПЭИ элюируется в виде симметричного пика отдельно от всех компонентов, включая пропан, пропилен, 1-бутен, н-бутан. Рассчитанные пределы детектирования с использованием пламенно-ионизационного детектора находятся в диапазоне 1.51–7.95 × 10–12 г/с для углеводородов и 6.47 × 10–12 г/с для метанола.
Full Text
н-Бутан — один из ценных продуктов, используемый в качестве сырья в химической и нефтехимической промышленности для получения бутилена, синтеза бутиловых спиртов, метилэтилкетона, 1,3-бутадиена (для производства синтетического каучука), в смеси с пропаном — в качестве топлива для бытовых печей, транспортных средств хладагента в холодильных установках (как более безопасный для окружающей среды газ, чем фреоны). Бензин с высоким октановым числом также не обходится без применения н-бутана [1, 2].
В товарном (целевом и техническом) н-бутане в качестве примесей могут присутствовать ароматические, насыщенные и ненасыщенные алифатические углеводороды С1–С10, а также метанол, добавляемый в качестве ингибитора для предотвращения процесса гидратообразования при добыче и подготовке природного газа. Наличие примесей в н-бутане существенно влияет на качество продуктов, получаемых с его использованием. Так, примесь изобутана увеличивает выход малоценных продуктов — ацетона и метилацетата, а примесь бутенов и пропена снижает выход уксусной кислоты [3]. Контроль содержания сопутствующих примесей (ароматических углеводородов, метанола) в н-бутане необходим также для предотвращения химического загрязнения атмосферного воздуха и их влияния на здоровье человека [4, 5]. Поэтому определение качества н-бутана — важное условие его дальнейшего эффективного использования.
В настоящее время существуют различные методические подходы к определению состава используемого сырья и продуктов газо- и нефтепереработки. Хроматографическое определение углеводородов и метанола в сырье и продуктах газо- и нефтепереработки, в том числе и в н-бутане, согласно нормативным документам (межгосударственным стандартам) проводят одновременно или параллельно с использованием двух или трех хроматографических (насадочных, капиллярных) колонок, приготовленных на основе диатомитовых носителей, оксида алюминия, оксида кремния, силиконовых эластомеров и дивинилбензола [6–13].
В последние годы в качестве хроматографического сорбента для решения различных аналитических задач (разделение структурных изомеров углеводородов, гидридов, серосодержащих соединений, примесей тиофена в бензоле, определение продуктов каталитических реакций и т. д.) применяют пористый полимер ПТМСП [14–20]. В работах [21, 22] была продемонстрирована перспективность применения капиллярных колонок диаметром 0.2 и 0.53 мм с разной толщиной пленки ПТМСП для анализа смеси, близкой по составу к природному газу. Ранее предложенный способ [23, 24] с использованием только одной капиллярной колонки размером 30 м × 0.32 мм с толщиной пленки 1.55 мкм поли(1-триметилсилил-1-пропина) (ПТМСП032) позволял определять примеси углеводородов С1–С10 и метанола в 90%-ном н-бутане. На этой колонке метанол элюируется в виде асимметричного пика с растянутым задним фронтом, поэтому с целью повышения эффективности разделения на капиллярных колонках, приготовленных на основе ПТМСП, проводился поиск соединений для модифицирования слоя сорбента.
Известно, что при изготовлении мембран для повышения их разделительной способности применяют химическую или физическую модификацию исходных материалов (полимеров, неорганических носителей) [25]. Аналогичные подходы используют и для обработки сорбентов или неподвижных фаз, на основе которых изготавливают насадочные и капиллярные колонки.
Физическое модифицирование (пропитка) неполярного ПТМСП обработкой, например, хлорбензолом, этанолом, пентанолом [26] позволяет варьировать его селективность. Добавление к ПТМСП небольшого количества полифенилпропина приводит к повышению полярности исходного неполярного полимера [27], о чем свидетельствует уменьшение размывания пиков таких соединений, как H2S, SO2 и Н2О [28].
При химическом модифицировании ПТМСП оксидом азота(1) (N2O) (окислительная обработка) происходит образование карбонильных (альдегидных и кетонных) групп, которые также существенно изменяют полярность ПТМСП [29, 30].
Разработаны и другие методы химической модификации высокопроницаемого ПТМСП, основанные на введении в структуру полимера этиленоксидных и N-бутилимидазольных групп, обладающих сильным сродством к СО2 [31]. Полимерные мембраны на основе ПТМСП функционализировали амидоксимом (посредством гидроксилилирования и постполимеризационной модификации [32]) или солями четвертичного аммония [33, 34].
Существенным ограничением использования функционализированных ПТМСП в качестве неподвижных фаз для газовой хроматографии является трудоемкость химической модификации исходного ПТМСП [31–34] или нерастворимость модифицированного ПТМСП в органических растворителях [34].
В. Ю. Гуськовым с соавторами [35, 36] был предложен наиболее доступный способ модифицирования органическими основаниями пористого полимера на основе стирола и дивинилбензола Dowex L-285: при обработке полимера 6-метилурацилом полярность его поверхности значительно возрастала, тогда как в результате модифицирования этого же сорбента 5-гидрокси-6-метилурацилом она не изменялась. К аналогичным выводам пришли Ю. Ю. Гайнуллина с соавторами [37]: ими было исследовано сродство поверхности образцов неполярного полимера полисорб-1, модифицированных 5-метилурацилом и 6-метилурацилом, к различным аналитам. Так же, как в предыдущем случае, было показано, что общая полярность поверхности сорбента в результате модифицирования 5-метилурацилом меняется незначительно, в то время как модифицирование пористого полимера таким же количеством 6-метилурацила приводит к значительному повышению полярности за счет роста вкладов индукционных и ориентационных взаимодействий.
Известно, что одним из перспективных методов улавливания углекислого газа и отделения СО2 от кислорода или азота является использование мембран на основе кремнеземных материалов (или полимеров) и линейного (или разветвленного) полиэтиленимина; это органическое основание хорошо растворимо в воде, этаноле и при нагревании образует стабильную нанопористую полимерную пленку [38–40].
В нашей работе высокоселективный разделительный слой для капиллярных колонок удалось получить, применяя в качестве неподвижной фазы ПТМСП, модифицированный ПЭИ.
Цель работы — усовершенствование способа газохроматографического анализа примесей углеводородов и метанола в н-бутане с использованием капиллярных колонок, приготовленных на основе модифицированного полиэтиленимином полимерного слоя поли(1-триметилсилил-1-пропина).
ЭКСПЕРИМЕНТАЛЬНАЯ ЧАСТЬ
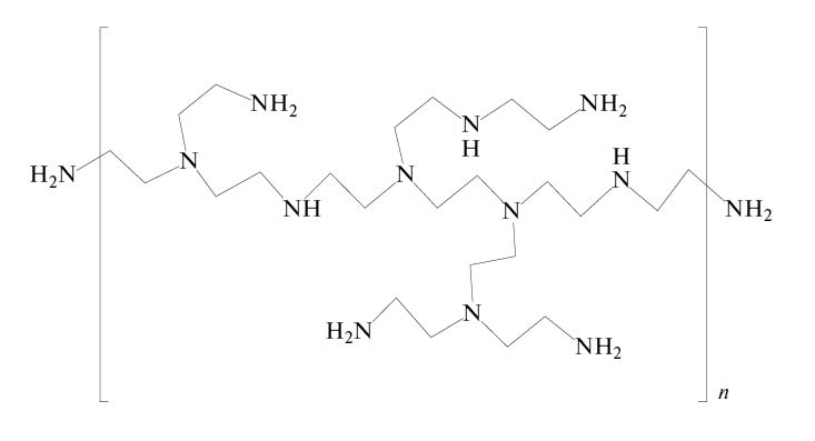
Используемые реактивы. Образец ПТМСП был синтезирован способом, описанным ранее в работах [41, 42]. Модификатор: разветвленный полиэтиленимин Mn (среднечисленная масса) ~60000 (определено методом ГПХ), 50 мас. % ПЭИ в H2O (Aldrich). Структура модификатора представлена на рис. 1.
Рис. 1. Структура модификатора — полиэтиленимина (ПЭИ), использованного в работе.
Термогравиметрический анализ (ТГА) исходного и модифицированного полиэтиленимином поли(1-триметилсилил-1-пропина) проводили на приборе NETZSCH STA 409 при скорости нагрева 10°C/мин в инертной среде (He).
Приготовление капиллярных колонок на основе ПТМСП, модифицированных ПЭИ. Навеску ПТМСП в количестве 0.1000 г помещали в стеклянную колбу объемом 50 мл, добавляли 20 мл растворителя (толуол или хлороформ) и перемешивали на магнитной мешалке в течение 4 ч. Приготовленным раствором заполняли кварцевый капилляр диаметром 0.32 мм (или 0.53 мм) и длиной от 10 до 30 м. Затем растворитель удаляли из кварцевого капилляра при повышенной температуре. ПТМСП остается внутри капилляра в виде пленки толщиной 1.55 (или 2.80) мкм [29, 30]. Колонку подсоединяли к источнику инертного газа (аргон) и продували им сначала в течение часа при температуре 200, а затем при 220°С в течение 4 ч. Капиллярные колонки размером 30 м × 0.32 мм с толщиной слоя 1.55 мкм ПТМСП (ПТМСП032-ПЭИ), а также 25 м × 0.53 мм с толщиной пленки 2.80 мкм ПТМСП (ПТМСП053-ПЭИ), промывали (1–2)%-ным водным раствором органического основания ПЭИ, подсоединяли колонку к источнику инертного газа (аргон) и продували в течение часа при температуре 200°C. Затем температуру термостата повышали до 220°C и кондиционировали колонку в токе аргона в течение 4 ч.
Рабочий температурный режим используемых хроматографических колонок изменяли в интервале от 25 до 220°C.
Все измерения для исследования хроматографических характеристик приготовленных колонок проводили на хроматографе Хромос ГХ-1000 (ООО “ХРОМОС Инжиниринг”, г. Дзержинск) с пламенно-ионизационным детектором (ПИД). Для обработки хроматографических данных использовали программу “Хромос”, версия 2.24. Температуру термостата колонок поддерживали с точностью ± 0.5°C. Газ-носитель — азот.
Приготовление модельных смесей. Исходная смесь: градуировочная газовая смесь алифатических углеводородов С1–С10, приготовленная в баллоне объемом 10 л в ООО “ПГС-сервис” г. Заречный (Свердловская область). Модельная смесь I: н-бутан (>99%, ООО “Чистые газы”, г. Новосибирск) + исходная смесь + метанол, бензол, толуол, о-, м-, п-ксилолы, приготовленная в газоплотном шприце, объемом 500 мкл (Hamilton, USA). Основной состав модельной смеси I был приготовлен согласно ГОСТ 33012–2014 [6]. В ее состав добавлены ароматические углеводороды и метанол (см. ниже табл. 1). Модельная смесь II: н-бутан (99.97%, ООО “Чистые газы”, г. Новосибирск) (см. ниже табл. 2).
Таблица 1. Разрешения пиков (Rf) для пар компонентов смеси 1 c содержанием н-бутана >99%
Пары компонентов | ПТМСП032-ПЭИ | ПТМСП053-ПЭИ | |
Rf | |||
Метанол / пропилен | – | 1.15 | 4.15 |
Метанол / пропан | – | 1.87 | 2.44 |
Метанол / 1-бутен | 4.37 | 4.00 | 1.89 |
п-Ксилол / м-ксилол | 1.25 | 3.50 | < 0.5 |
м-Ксилол / о-ксилол | 3.09 | < 0.5 | 1.14 |
Таблица 2. Хроматографические характеристики (среднее значение времен удерживания (<tR>, мин); сходимость измерений (ОСКО, %) (n = 3, P = 0.95); разрешения пиков (Rf) компонентов модельной смеси II (содержание н-бутана > 99.97%); предел обнаружения (Сmin (г/с) для метанола
Компоненты смесей | ПТМСП032-ПЭИ | ||
<tR>, мин | Rf | Сmin, г/с | |
Метан | 1.52 | – | 1.51 × 10–12 |
Этан | 1.69 | 5.70 | 2.36 × 10–12 |
Пропилен | 2.03 | 4.00 | 1.89 × 10–12 |
Метанол | 2.30 | 3.64 | 6.47 × 10–12 |
Пропан | 2.60 | 19.86 | 3.61 × 10–12 |
изо-Бутан | 4.80 | 0.18 | 5.71 × 10–12 |
н-Бутан | 5.09 | 2.93 | 5.43 × 10–12 |
Не идентифицировано | 9.00 | 6.28 | – |
Бензол | 13.84 | 12.23 | 7.67 × 10–12 |
н-Гексан | 15.99 | 16.09 | 7.95 × 10–12 |
ОСКО, % <tR> | 0.03 | – | – |
РЕЗУЛЬТАТЫ И ИХ ОБСУЖДЕНИЕ
Полиэтиленимин, используемый в данной работе в качестве модификатора, представляет собой разветвленный алифатический полиамин, имеющий в своем составе первичные, вторичные и третичные аминогруппы, разделенные алифатическими фрагментами CH2CH2. Структурная формула разветвленного полиэтиленимина приведена на рис. 1.
Линейный ПЭИ при комнатной температуре представляет собой полукристаллическое твердое вещество, в то время как разветвленный ПЭИ — полностью аморфный полимер, существующий в виде жидкости при любых молекулярных массах [38].
Как линейный, так и разветвленный ПЭИ, которым часто пропитывают пористые материалы, используют для улавливания СО2 [38], модифицирования кремнеземных и полимерных материалов с целью изучения селективности адсорбции CO2/O2 и CO2/N2 [39].
Поскольку хроматографические колонки (ПТМСП032-ПЭИ и ПТМСП053-ПЭИ) работают при повышенных температурах (до 220°C), термическая устойчивость ПЭИ, используемого для модифицирования слоя ПТМСП, была исследована методом термогравиметрии. На рис. 2 приведены кривые термогравиметрии (ТГ) и дифференциальной термогравиметрии (ДТГ) ПТМСП и ПЭИ. Потеря массы около 7% при нагреве ПЭИ до температуры 200°C вызвана десорбцией воды и СО2. Температуры начала разложения ПТМСП составила 330°C, ПЭИ — 263°C. Эти результаты показывают, что ПТМСП и ПЭИ в процессе работы при повышенных температурах сохраняют свои характеристики.
Рис. 2. Кривые термогравиметрии (а) и дифференциальной термогравиметрии (б) для ПТМСП (сплошная линия), ПЭИ (пунктирная линия).
Исследования хроматографического поведения метанола, компонентов смеси ароматических и алифатических углеводородов С1–С10, в том числе структурных изомеров н-бутана, а также м-, п- и о-ксилолов проводили на капиллярных колонках, отличающихся диаметром и концентрацией органического основания в растворе, используемом для модифицирования ПТМСП: ПТМСП032-ПЭИ; ПТМСП053-ПЭИ [43].
Модифицирование сорбента на основе ПТМСП полиэтиленимином приводит к изменению полярности [43], следствием чего является изменение селективности хроматографического разделения примесей углеводородов и метанола от основного компонента н-бутана (модельная смесь I). Особенности неподвижной фазы с модифицированным полимерным слоем ПТМСП на колонках ПТМСП032-ПЭИ (рис. 3) и ПТМСП053-ПЭИ (рис. 4) более наглядно проявилось на поведении метанола. На данных колонках пик метанола имеет более симметричную форму, чем на колонке с немодифицированным ПТМСП (рис. 5), и элюируется отдельно от остальных компонентов. На колонке ПТМСП032-ПЭИ метанол элюируется между пропиленом и н-пропаном (рис. 3, табл. 1).
Рис. 3. Хроматограмма модельной смеси I предельных, непредельных, ароматических углеводородов и метанола на колонке ПТМСП032-ПЭИ 30 м × 0.32 мм. Температурная программа: 40°C в течение 3 мин, затем нагрев со скоростью 7°C/мин до 220°C, температуры испарителя и детектора — 240°C; объем пробы 1.0 мкл; газ-носитель — азот при давлении 0.7 бар, детектор — пламенно-ионизационный.
1 — метан; 2 — ацетилен; 3 — этилен; 4 — этан; 5 — пропилен; 6 — метанол; 7 — н-пропан; 8 – 1, 3-бутадиен; 9 — изо-бутен; 10 – 1-бутен; 11 — изо-бутан; 12 — транс-2-бутен; 13 — цис-2-бутен; 14 — н-бутан; 15 — неопентан; 16 — изо-пентан; 17 — н-пентан; 18 — бензол; 19 — н-гексан; 20 — толуол; 21 –н-гептан; 22 — этилбензол; 23 — м-ксилол; 24 — п-ксилол; 25 — о-ксилол; 26 — н-октан; 27 — н-нонан [43].
Рис. 4. Хроматограмма модельной смеси I предельных, непредельных, ароматических углеводородов и метанола на колонке ПТМСП053-ПЭИ 30 м × 0.53 мм. Температурная программа: 40°C в течение 3 мин, затем нагрев со скоростью 7 °C/мин до 220°C, температуры испарителя и детектора — 240°C; объем пробы 1.0 мкл; газ-носитель — азот при давлении 0.35 бар, детектор — пламенно-ионизационный.
1 — метан; 2 — ацетилен; 3 — этилен; 4 — этан; 5 — пропилен; 6 – метанол; 7 — пропан; 10 — 1-бутен; 14 — н–бутан; 15 — неопентан; 16 — изо-пентан; 17 — н-пентан; 18 — бензол; 19 — н-гексан; 20 — толуол; 21 — н-гептан; 23 — м-ксилол; 24 — п-ксилол; 25 — о-ксилол; 26 — н-октан; 27 – н-нонан [43].
Рис. 5. Хроматограмма модельной cмеси I предельных, непредельных, ароматических углеводородов и метанола на капиллярной колонке ПТМСП032 30 м × 0.32 мм. Температурная программа: 40°C в течение 11 мин, затем нагрев со скоростью 7°C/мин до 220°C; температуры испарителя и детектора — 240°C; объем пробы 1.0 мкл; газ-носитель — гелий (0.7 бар), детектор — ПИД.
1 — метан, 2 — ацетилен, 3 — этилен, 4 — этан, 5 — метанол, 6 — пропилен, 7 — н-пропан, 8 — 1-бутен, 9 — изо-бутан, 10 — транс-2-бутен, 11 — цис-2-бутен, 12 — н-бутан, 13 — нео-пентан, 14 — изо-пентан, 15 — н-пентан, 16 — н-гексан, 17 — бензол, 18 – н-гептан, 19 — толуол, 20 — м-ксилол, 21 — п-ксилол, 22 — o-ксилол, 23 — н-октан, 24 — н-нонан, 25 — н-декан [23, 24].
На колонке ПТМСП053-ПЭИ с большим содержанием полиэтиленимина в неподвижной фазе метанол элюируется между пропаном и структурными изомерами н-бутана (рис. 4, табл. 1).
Такое поведение метанола существенно отличается от характера его элюирования на колонке с немодифицированным слоем ПТМСМ032. На данной колонке форма пика метанола асимметрична и на его затянутом заднем фронте находятся хорошо разрешенные пики пропилена и н-пропана. Однако только при концентрации меньше 6 × 10–5 мг/мл метанол элюируется отдельным широким пиком после н-пропана (рис. 5, табл. 1). Предел детектирования для метанола составил 2.78 × 10–11 г/с [23, 24].
В табл. 1 представлены значения разрешения пиков для отдельных пар компонентов, проанализированных на трех колонках: ПТМСП032, ПТМСП032-ПЭИ и ПТМСП053-ПЭИ.
Полного разделения ароматических и алифатических углеводородов С1–С10, в том числе структурных изомеров н-бутана, а также м-, п- и о-ксилолов удалось достичь как на колонке с немодифицированным сорбентом ПТМСП032 [22, 24] (рис. 5), так и на колонках с модифицированным ПТМСП разными количествами органического основания (1 или 2% ПЭИ) (рис. 3 и 4).
На этих колонках такие вещества, как 1-бутен, изо-бутан, транс-2-бутен — и цис-2-бутен, а также неопентан, изо-пентан и н-пентан, хорошо отделяются от макрозоны н-бутана, что говорит о высокой селективности хроматографических колонок (рис. 3, 4).
Следует отметить, что на колонках со слоем ПТМСП, модифицированным полиэтиленимином, все соединения при тех же условиях хроматографирования (рис. 3, 4) элюируются с меньшими временами удерживания по сравнению с немодифицированным полимером (рис. 5).
Предложенный способ физической модификации полиэтиленимином слоя ПТМСП не только упростил и ускорил процесс приготовления капиллярных колонок по сравнению с известными методами, но существенно изменил в зависимости от количества модифицирующего агента (1 или 2% ПЭИ) характер и порядок элюирования метанола.
В нашей работе анализ смеси II проводили на капиллярной колонке ПТМСП032-ПЭИ с модифицированным 1%-ным водным раствором полиэтиленимина слоя ПТМСП. Пробу модельной смеси II в количестве 250 мкл вводили в испаритель хроматографа (три параллельных измерения) и анализировали в условиях программированного режима (рис. 6, табл. 2).
Рис. 6. Хроматограмма компонентов предельных, ароматических углеводородов и метанола модельной смеси II (содержание н-бутана > 99.97%); наложение трех последовательных хроматограмм, записанных на колонке ПТМСП032-ПЭИ 30 м × 0.32 мм. Температурная программа: 40°C в течение 3 мин, затем нагрев со скоростью 7°C/мин до 220°C, температуры испарителя и детектора — 240°C; объем пробы 250 мкл; газ-носитель — азот при давлении 1.2 атм, детектор — пламенно-ионизационный.
1 — метан; 2 — этан; 3 — пропилен; 4 — метанол; 5 — пропан; 6 — изо-бутан; 7 — н–бутан; 8 — неидентифицированный пик; 9 — бензол; 10 — н-гексан.
Относительное среднеквадратичное отклонение (ОСКО) при оценке сходимости результатов измерений времен удерживания анализируемых соединений не превышает 0.03% (рис. 6, табл. 2).
При разработке методики анализа важной количественной характеристикой является предел детектирования определяемых соединений. В табл. 2 представлены рассчитанные значения пределов детектирования компонентов модельной смеси II.
Пределы обнаружения (пределы детектирования) Сmin (г/с) углеводородов и метанола, анализируемых на колонке ПТМСП032 и детектируемых пламенно-ионизационным детектором (ПИД), были представлены в работах [22, 23] и рассчитаны по формуле 1, описанной в национальном стандарте [49]:
, (1)
где σ — фоновый сигнал детектора (мВ); <S> — среднее значение площадей пиков компонента (мВ × с); G — содержание компонента (г), которое при использовании капиллярной колонки вычисляют с учетом коэффициента деления пробы в испарителе хроматографа в соответствии с ГОСТ [49] по формуле 2:
, (2)
где Vr — объем пробы (мл); P — атмосферное давление, Па; М — молекулярная масса компонента, г/моль; Y — объемная доля компонента в газовой пробе, %; R — газовая постоянная; T — температура окружающей среды, °C; К — коэффициент деления пробы в испарителе (в данном случае К = 11.94).
Рассчитанные пределы детектирования для углеводородов модельной смеси II (колонка ПТМСП032-ПЭИ) имеют близкие (сопоставимые) значения с ранее полученными результатами для этих же соединений, но проанализированными на колонке ПТМСП032 с немодифицированным слоем полимера [23, 24].
Исключение составила величина предела детектирования для метанола (асимметричная форма пика), определяемого на колонке ПТМСП032 с немодифицированным слоем ПТМСП (2.78 × 10–11 г/с) [23, 24].
Предел детектирования для метанола (форма пика близка к Гауссовой), определяемого на колонке ПТМСП032-ПЭИ с модифицированным слоем ПТМСП, рассчитывали аналогично. При этом значение предела детектирования (6.47 × 10–12) примерно в 5 раз ниже, чем для колонки ПТМСП032.
ЗАКЛЮЧЕНИЕ
В работе показано, что при анализе продуктов нефтепереработки и их использовании актуальным является определение метанола и ароматических, ациклических углеводородов в товарном (целевом и техническом) н-бутане. В настоящее время почти на всех газоконденсатных месторождениях для борьбы с гидратообразованием при добыче и промысловой подготовке газа в качестве ингибитора широко применяют метанол, вводимый в газовый поток. Благодаря малой вязкости и высокой упругости паров (летучести) он легко распыляется и интенсивно испаряется, что приводит к перераспределению паров воды и газа, способствующему интенсивному разрушению гидратов [44, 45]. Наряду с отмеченными преимуществами, метанол токсичен, пожароопасен, загрязняет окружающую среду, опасен для жизни обслуживающего персонала на промыслах.
Ароматические, ациклические углеводороды С4 и выше также входят в состав попутных газов, газовых конденсатов и некоторых сортов нефти, поэтому их следовые количества также могут присутствовать при получении н-бутана.
Как было отмечено выше, определение сопутствующих примесей углеводородов [6–13] и метанола [46–48] в н-бутане (целевом, техническом, товарном) проводят параллельно или последовательно на нескольких насадочных (приготовленных на основе пористых полимеров) или капиллярных пористослойных колонках с сорбентами на основе оксида алюминия, силикагеля, хроматосорба Р (Chromosorb P NAW) и пористых органических полимеров.
Показано, что модифицирование полиэтиленимином пористого полимера поли(1-триметилсилил-1-пропина) в капиллярных колонках приводит к повышению симметрии хроматографических пиков спиртов; селективному разделению молекул различной полярности. Предлагаемый нами подход обеспечивает разделение метанола и сопутствующих примесей углеводородов от н-бутана с содержанием более 99% с использованием только одной капиллярной колонки, приготовленной на основе модифицированного разным количеством полиэтиленимина слоя полимерного сорбента ПТМСП: ПТМСП032-ПЭИ или ПТМСП053-ПЭИ. Использование колонок данного типа позволяет существенно упростить и расширить решение аналитических задач, связанных с разделением полярных и неполярных соединений методом газовой хроматографии.
ФИНАНСИРОВАНИЕ РАБОТЫ
Работа выполнена при финансовой поддержке Министерства науки и высшего образования РФ в рамках государственного задания Института катализа СО РАН (проекты FWUR-2024-0035, FWUR-2024-0032).
КОНФЛИКТ ИНТЕРЕСОВ
Авторы заявляют об отсутствии конфликта интересов, требующих раскрытия в данной статье.
About the authors
Елена Юрьевна Яковлева
Институт катализа им. Г. К. Борескова СО РАН; Новосибирский государственный университет
Author for correspondence.
Email: yakovl@catalysis.ru
ORCID iD: 0000-0002-8284-7832
к. х. н.
Russian Federation, Новосибирск, 630090; Новосибирск, 630090Юрий Валерьевич Патрушев
Институт катализа им. Г. К. Борескова СО РАН; Новосибирский государственный университет
Email: yakovl@catalysis.ru
ORCID iD: 0000-0002-2078-5488
к. х. н.
Russian Federation, Новосибирск, 630090; Новосибирск, 630090References
- Другов Ю.С., Родин А.А. Мониторинг органических загрязнений природной среды. 500 методик: практическое руководство. 4-е изд. (эл.). М.: Бином. Лаборатория знаний, 2015. 896 c. https://www.books-up.ru/ru/book/monitoring-organicheskih-zagryaznenij-prirodnoj-sredy-500 metodik-3709861 (дата обращения 15.05.2024).
- Molchanov S.A., Samakaeva T.O. Complex preparation and processing of multicomponent natural gases at gas-chemical complexes. Moscow: Nedra, 2013. 515 p.
- Chemist’s Handbook 21. Chemistry and chemical technology. https://www.chem21.info/info/1159614 (дата обращения 15.05.2024).
- http://chemanalytica/com/book/novyy_spravochnik_khimika_i_tekhnologa/11_radioaktivnya_veshchestva_vrednye_veshchestva_gigienicheskie_ normativy/5171 (дата обращения 15.05.2024)
- Истомин В.А., Квон В.Г. Предупреждение и ликвидация газовых гидратов в системах добычи газа. М.: ООО “ИРЦ Газпром”, 2004. 509 с.
- ГОСТ 33012-2014 Пропан и бутан товарные. Определение углеводородного состава методом газовой хроматографии.
- Russian national standard GOST R54484-2011 Liquefied petroleum gases. Methods for determining the hydrocarbon composition.
- Krylov V.A., Chernova O. Iu., Sozin A. Iu., Kotkov A.P., Pushkarev G.V. Chromato-mass-spectrometric determination of impurities in high-purity phosphine using capillary adsorption chromatographic columns // Analytics and control. 2013. № 17. Р. 452–458.
- Yuzhakova T., Kovács T., Rédey Á., Scurtu R., Kovács Z., Somogyi V., Domokos E., Ráduly I., Ráduly L. PtPd-CeO2/γ-Al2O3 Catalysts for VOC treatment of exhaust gases // Environmental Engineering and Management J. 2012. № 11. P. 1963–1968. https://doi.org/10.30638/ eemj.2012.245.
- Russian national standard GOST R55997-2014 Stable gas condensate, broad fraction of light hydrocarbons, liquefied petroleum gases. Determination of methanol by gas chromatography.
- ISO 6974-4:2002 Natural gas. Determination of composition with defined uncertainty by gas chromatography. Part 4: Determination of nitrogen, carbon dioxide and C1 to C5 and C6+ hydrocarbons for a laboratory and on-line measuring system using two columns.
- ISO 6974-5:2002 Natural gas. Determination of composition with defined uncertainty by gas chromatography method. Part 5. Determination of nitrogen, carbon dioxide and C1 to C5 and C6+ hydrocarbons for a laboratory and on-line process application using three columns.
- ISO 6974-6:2002 Natural gas. Determination of composition with defined uncertainty by gaschromatography method. Part 6. Determination of hydrogen, helium, oxygen, nitrogen, carbon dioxide and C1 to C8 hydrocarbons using three capillary columns.
- Krylov V.A., Berezkin V.G., Korolev A.A., Chernova O.Yu., Salganskii Yu.M. Gas-adsorption chromatography of reactive compounds on poen-tubular columns with poly(trimethylsilylpropyne) // J. of Anal. Chem. 2003. V. 58. № 4. ID372374.
- Berezkin V.G., Muhina V.P., Korolev A.A., Faktullina A.F., Seroshtan V.A. Poly (1-trimethylsilyl-1-propine) — a new porous polymer sorbent for capillary gas chromatography of hydrocarbon raw materials // Zavodskaya laboratoriya. Diagnostika materialov. 2004. № 5. P. 9–13.
- Belotserkovskaya V.Yu., Yakovleva E.Yu. Chromatographic properties of poly-(1-trimethylsilyl-1-propyne) // Russ. J. Phys. Chem. A. 2011. V. 85. № 5. P. 939–934.
- Yakovleva E.Yu., Belotserkovskaya V.Yu. Separation of hydrocarbon and sulfur-containing gases on a new poly-(1-trimethylsilyl-1-propyne)/poly-(1-phenyl- 1-propyne) mixed stationary phase in the presence of water // J. Anal. Chem. 2013. V. 68. № 7. P. 646–651. https://doi.org/10.1134/S1061934813070125
- Yakovleva E.Yu., Patrushev Yu.V., Belotserkovskaya V.Yu. Determination of the composition of the reaction products of the catalytic synthesis of pentafluoroethane by hydrofluorination of perchloroethylene in the mixed stationary phase of poly-(1-trimethylsilyl-1-propine/poly — (1-phenyl-1-propine) by gas chromatography // Kataliz v promyshlennоsti 2015. V. 15. № 2. P. 15–19.
- Yakovleva E.Yu., Patrushev Yu.V. Analysis of light hydrocarbons and sulfur compounds on porous layer capillary columns with a nonpolar phase // Catalysis in Industry. 2020. V. 12. № 4. P. 280–286. https://doi.org/10.1134/S2070050420040108
- Yakovleva E.Yu., Patrushev Yu.V., Pai Z.P. Analysis of isobutane dehydrogenation products by gas chromatographic method // Kataliz v promyshlennosti. 2017. V. 17. № 6. P. 460–464. https://doi.org/10.18412/1816-0387-2017-6-460-464
- Yakovleva E.Yu., Patrushev Yu.V., Pai Z.P. Capillary columns with a sorbent based on functionalized poly (1-trimethylsilyl-1-propyne) for the elution analysis of natural gas // Russ. J. Phys. Chem. A. 2018. V. 92. № 5. P. 1018–1024. https://doi.org/10.1134/S0036024418050357
- Yakovleva E.Y., Patrushev Y.V. Determination of hydrocarbons in n-butane on porous layer capillary columns with nonpolar stationary phase // Chromatographia. 2021. V. 84. P. 1095–1104. https://doi.org/10.1007/s10337-021-04092-1
- Yakovleva E.Y., Patrushev Y.V. Analysis of residual hydrocarbons and methanol in n-butane on a porous-layer capillary column with poly(1-trimethylsilyl- 1-propyne) // Petrol. Chemistry. 2022. V. 62. № 1. P. 112–120. https://doi.org/10.1134/S0965544122010029
- Yakovleva E.Y., Patrushev Y.V. Porous-layer columns with a poly(1-trimethylsilyl-1-propyne) stationary phase for determining of catalytic reactions components, natural gas and its processed products // J. Chromatogr. A. 2023. V. 1693. 463883. https://doi.org/10.1016/j.chroma.2023.463883
- Malakhov A.O., Volkov A.V. Modification of polymer membranes for use in organic solvents // Russ. J. of Appl. Chem. 2020. V. 93. № 1. P. 14–24. https://doi.org/10.1134/S1070427220010024.
- Березкин В.Г., Королев А.А., Хотимский В.С. Модифицирование адсорбционного слоя политриметилсилилпропина в открытых капиллярных колонках // Известия АН. Серия химическая. 2002. № 4. С. 580–581.
- Yakovleva E.Y., Belotserkovskaya V.Y. Chromatographic properties and polarity evaluation of poly-(1-trimethylsilyl-1-propyne) and poly-(1-phenyl-1-propyne) // J. of Anal. Chemistry. 2010. V. 65. № 10. P. 1014–1020.
- Yakovleva E.Yu., Belotserkovskaya V.Yu., Litvak G.S., Paukshtis E.A., Babushkin D.E., Fadeeva V.P. Effect of chemical modification on gas chromatographic properties of polymer sorbents Polysorb-1, Haysep Q and diatomite carrier of chromosorb P NAW // Russ. J. of Phys. Chem. A. 2009. V. 83. № 5. P. 849–853.
- Patrushev Yu.V., Yakovleva E.Yu., Shundrina I.K., Ivanov D.P., Glasneva T.S. The properties of capillary columns with sorbents based on poly-(1-trimethylsilyl-1-propyne) modified with nitrous oxide // J. Chromatogr. A. 2015. V. 1406. P. 291–298. https://doi.org/10.1016/j.chroma.2015.06.013
- Yakovleva E.Yu., Patrushev Y.V., Ivanov D.P., Prosvirin I.P. Gas chromatography columns based on functionalized polymer for the analysis of catalytic reaction products // Chromatographia. 2018. V. 81. P. 1305–1315. https://doi.org/10.1007/s10337-018-3567-4
- Kiryukhina Y.V., Khotimskiy V.S., Tepliakov V.V., Roizard D., Barth D. Synthesis and CO2 sorption in poly (1-trimethylsilyl-1-propyne) and polyvinyltrimethylsilane containing ethylene oxide groups and N-butylimidazol-based “ionic liquids” groups // Desalination and Water Treatment. 2011. V. 35.P. 255–262. https://doi.org//5004/dwt.2011.2481
- Hongbo Feng, Tao Hong, Shannon M. Mahurin, Konstantinos D. Vogiatzis, Kevin R. Gmernicki, Brian K. Long, Jimmy W. Mays, Alexei P. Sokolov, Nam-Goo K. and Tomonori S. Gas separation mechanism of CO2 selective amidoxime-poly(1-trimethylsilyl-1-propyne) // Membranes Polym. Chem. 2017. V. 8. P. 3341–3350. https://doi.org/10.1039/c7py00056a
- Polevaya V.G., Geiger V.Yu., Matson S.M., Shandryuk G.A., Shishatskii S.M., Khotimskii V.S. Synthesis and properties of poly(1-trimethylsilyl-1-propyne) containing quaternary ammonium salts with methyl and ethyl substituents // Polymer Science. Series B. 2019. V. 61. № 5. P. 613–621. https://doi.org/10.1134/S1560090419050130
- Matson S.M., Litvinova E.G., Chernikov V.K., Bondarenko G.N., Khotimskiy V.S. Preparation and characterization of poly(1-trimethylsilyl-1-propyne) cross-linked by aliphatic diamines // Polymer. 2021. V. 236. 124308. https://doi.org/10.1016/j.polymer.2021.124308
- Гуськов В.Ю., Кудашева Ф.Х. Структура и полярность модифицированных производными урацила пористых полимеров // Сорбционные и хроматографические процессы. 2012. Т. 12. Вып. 6. С. 916–921.
- Gus’kov V.Yu., Khabibullina R.A., Kudasheva F.Kh., Ivanov S.P., Garafutdinov R.R. Gas chromatographic investigation of the properties of a styrene-divinylbenzenecopolymer modified by 5-hydroxy-6-methyluracil // Russ. J. of Phys. Chem. A. 2012. V. 86. № 3. P. 475–478. https://doi.org/10.1134/S003602441203013237
- Gainullina Y.Y., Gus’kov V.Y., Timofeeva D.V. Polarity of thymine and 6-methyluracil-modified porous polymers, accoding to data from inverse gas chromatography // Russ. J. of Phys. Chem. A. 2019. V. 93. № 12. P. 2477–2481. https://doi.org/10.1134/S0036024419120082
- Satyapal S., Filburn T., Trela J., Strange J. Performance and properties of a solid amine sorbent for carbon dioxide removal in space life // Support Applications, Energy & Fuels. 2001. V. 15. № 2. P. 250–255. https://doi.org/10.1021/ef0002391
- Yemul O., Imae T. Synthesis and characterization of poly(ethyleneimine) dendrimers // Colloid and Polymer Science. 2008. V. 286. № 6–7. P. 747–752. https://doi.org/10.1007/s00396-007-1830-6
- Xu X., Song C., Wincek R., Andrésen J.M., Miller B.G., Scaroni A.W. Separation of CO2 from power plant flue gas using a novel CO2 “Molecular Basket” Adsorbent // Fuel Chem. Div. Prepr. 2003. V. 48. P. 162–163.
- Yakovleva E.Y., Belotserkovskaya V.Y. Chromatographic and adsorption properties of the mixed stationary phase poly(1-trimethylsilyl–1-propyne)/poly(1-phenyl–1-propyne) // J. of Anal. Chem. 2011. V. 66. № 6. P. 629–633.
- Белоцерковская В.Ю. Хроматографические и адсорбционные свойства поли(1-триметилсилил-1-пропина) и их стабилизация добавлением поли(1-фенил-1-пропина) 02.00.02 — аналитическая химия, диссертация на соискание ученой степени кандидата химических наук, Новосибирск — 2012. 118 с.
- Yakovleva E.Y., Patrushev Y.V., Shundrina I.K., Glazneva T.S. Properties of chromatographic columns prepared on the basis of poly(1-trimethylsilyl-1-propyne) modified with organic bases // J. of Chromatogr. A. 2024. № 1723. 464914. P. 1–10. https://doi.org/10.1016/j.chroma.2024.464914
- Коротаев Ю.П. Борьба с гидратами при транспортировке природных газов / Ю.П. Коротаев, А.М. Кулиев, Р.М. Мусаев. М.: Недра. 1973. 136 с.
- Бухгалтер Э.Б. Предупреждение и ликвидация гидратообразования при подготовке и транспортировке нефтяного и природного газов / Э.Б. Бухгалтер // Нефтепромысловое дело. 1982. Вып. 10 (34). 41 с.
- Tipler A., Marotta L., DiSanzo F., Grecsek H. Determination of low levels of methanol in crude oils by multi-dimensional gas chromatography (mdgc) using novel micro channel flow technology // J. Chromatogr. Sci. 2012. V. 50. P. 184–189. https://doi.org/10.1093/chromsci/bmr045
- Russian national standard GOST R55997–2014 Stable gas condensate, broad fraction of light hydrocarbons, liquefied petroleum gases. Determination of methanol by gas chromatography.
- ASTM D7059-09-2017 Standard Test Method for Determination of Mehtanol in Crude Oil by Multidimensional Gas Chromatography.
- ГОСТ Р 8.919-2016 Государственная система обеспечения единства измерений. Эталонные комплексы для аттестации стандартных образцов состава природного газа магистрального и имитаторов природного газа.
Supplementary files







