Карбонилирование диметилового эфира с использованием катализаторов на основе фосфорно-вольфрамовой кислоты и ее солей
- Authors: Остроумова В.А.1, Максимов А.Л.1,2
-
Affiliations:
- Институт нефтехимического синтеза им. А. В. Топчиева РАН
- Московский государственный университет имени М. В. Ломоносова
- Issue: Vol 64, No 6 (2024)
- Pages: 582-599
- Section: Articles
- URL: https://bakhtiniada.ru/0028-2421/article/view/282357
- DOI: https://doi.org/10.31857/S0028242124060041
- EDN: https://elibrary.ru/MFJBIO
- ID: 282357
Cite item
Full Text
Abstract
В обзоре проведен анализ реакции карбонилирования диметилового эфира (ДМЭ) с использованием катализаторов на основе фосфорно-вольфрамовой кислоты и ее солей. Методом 13C MAS ЯМР проанализированы и сравнены механизм и кинетика карбонилирования ДМЭ на образцах H3PW12O40, Cs2HPW12O40, Rh/Cs2HPW12O40, Pt/Cs2HPW12O40, Ag/Cs2HPW12O40. В гетерогенном карбонилировании ДМЭ рассмотрены катализаторы, представляющие собой цезиевые соли фосфорно-вольфрамовой кислоты, а также ее родиевые и иридиевые соли, нанесенные на алюмосиликатные и силикатные носители.
Full Text
Карбонилирование метанола — один из основных промышленных методов получения уксусной кислоты, которая используется в синтезе винилацетата и поливинилацетата, а также применяется в пищевой промышленности для получения крупнотоннажных растворителей — этилацетата, бутилацетата и т. д. Более чем 50% производимой в мире уксусной кислоты получают карбонилированием метанола по процессу Monsanto, разработанному в начале 70-х гг. ХХ в. с использованием гомогенных карбонильных комплексов Rh, промотированных метилйодидом [1–5]. Процесс проводят в достаточно жестких условиях (423–473 K, 2.5–4.5 МПа. Он является высокоселективным, конверсия метанола составляет более 99%) [6, 7]. С экономической точки зрения целесообразнее проводить карбонилирование ДМЭ, поскольку его получение из синтез-газа является более эффективным [8]. Схожий процесс карбонилирования метилацетата с получением уксусного ангидрида был запатентован компанией Halcon в 1973 г. (жидкофазное карбонилирование при температурах 433–463 K и давлениях монооксида углерода 2–5 МПа) [9].
Безгалогеновое карбонилирование ДМЭ до метилацетата протекает согласно схеме:
.
Основные побочные продукты — уксусная кислота и метиловый спирт [10].
Разработка безгалогеновых гетерогенных каталитических систем, способных катализировать карбонилирование метанола или ДМЭ с высокими селективностью и выходом, более предпочтительна по сравнению с галоген-промотированными системами. Действительно, наличие иодида в каталитической среде оказывает коррозионное влияние на реактор, а также отравляет многие типы катализаторов и таким образом может ограничить дальнейшее превращение продукта карбонилирования. Кроме этого, существуют определенные трудности в отделении продуктов и катализатора [11]. Недавно было показано, что безгалогеновое карбонилирование метанола и ДМЭ может быть реализовано в присутствии кислых форм цеолитов (H-MOR, H-BEA, H-ZSM-5, H-Y) [12–15], твердой фосфорно-вольфрамовой кислоты H3PW12O40 (гетерополикислоты, далее ГПК) и ее цезиевых солей, CsxH3–xPW12O40 [10, 11, 16]. Кроме этого, известно об использовании в качестве катализаторов карбонилирования ДМЭ родиевых и иридиевых солей фосфорно-вольфрамовой кислоты, нанесенных на различные типы носителей (оксид кремния, мезопористые силикаты) [15]. Такие каталитические системы обладают хорошей селективностью, но относительно низкой активностью [10]. Благодаря большой площади поверхности (40–150 м2/г) и высокой кислотности [16–19] промотированные родием цезиевые соли фосфорно-вольфрамовой кислоты состава Cs2.0–Cs2.5 являются новыми и эффективными твердыми катализаторами безгалогенового карбонилирования ДМЭ [10, 15]. Основной особенностью здесь является то, что ДМЭ может быть превращен с высокой селективностью по продукту (более 95%) при атмосферном давлении и температуре 498 К без использования галогенового промотора. К сожалению, конверсия ДМЭ при этом остается относительно невысокой [20].
Также известно об использовании в процессе карбонилирования ДМЭ в качестве катализаторов суперкислот, например BF3–HF, SO4/ZrO2, WOx/ZrO2 [21]. Суперкислотные системы эффективны в жестких условиях (при температурах выше 503 K и давлении 19 МПа). В таком случае конверсия ДМЭ достигает 99% и уксусная кислота является единственным продуктом после 6 ч эксперимента [19]. Тем не менее дизайн гетерогенных катализаторов для реакции безгалогенового карбонилирования остается до сих пор острой проблемой.
В данном обзоре представлен анализ реакции карбонилирования ДМЭ монооксидом углерода с использованием катализаторов на основе фосфорно-вольфрамовой кислоты и ее солей.
Строение фосфорно-вольфрамовой кислоты
Фосфорно-вольфрамовая кислота, H3PW12O40 ‧ nH2O, обладает наибольшей кислотностью по сравнению с другими гетерополикислотами (ГПК) структуры Коха [22–24]. Безводная ГПК является суперкислой, ее сила, измеряемая индикатором Гаммета (pKa), составляет менее –13.16 [25, 26].
Первичная структура ГПК устойчива, в ней центральный атом P окружен 12 октаэдрами металл–кислород (WO6) [27]. Анион ГПК несет отрицательный заряд 3–, который создается гидроксильными группами, расположенными на поверхности структуры. В структуре молекулы ГПК имеется четыре типа атомов кислорода: 4 центральных атома кислорода (Oa), 12 атомов кислорода, соединяющих между собой два атома вольфрама, связанных в свою очередь с центральным атомом кислорода (Oc с общим ребром), 12 атомов кислорода, соединяющих между собой атомы вольфрама, не связанные с центральным атомом кислорода (Ob), и 12 терминальных атомов кислорода (Od), связанных с одним атомом вольфрама (рис. 1).
Рис. 1. Структура Кеггина H3PW12O40 (три типа внешних атомов кислорода: Ob, Oc, Od в структуре молекулы, Oa — центральный атом кислорода) (по [28]).
Молекулы Кеггина могут кристаллизоваться вместе с молекулами воды, образуя вторичную структуру. Наиболее стабильная вторичная структура в условиях окружающей среды содержит 6 молекул воды на одну молекулу кислоты [29, 30], где полианионы ГПК соединены анионами воды вдоль кубических граней в узлах объемноцентрированной кубической (bcc) решетки [31]. Молекулы кристаллизационной воды десорбируются при нагревании, однако структура Кеггина сохраняется при температурах менее 573 К. На промежуточной стадии гидратации кислые протоны находятся в гидратированном либо негидратированном виде [28].
Механизм гетерогенного карбонилирования ДМЭ монооксидом углерода на фосфорно-вольфрамовой кислоте и ее солях
Для гетерогенной реакции карбонилирования ДМЭ [7, 12–15, 31–37] был предложен механизм Коха [25] (рис. 2), который предполагает захват алкилкарбенийиона, образующего из ДМЭ монооксидом углерода с образованием ацилийкатиона. Далее ацилийкатион взаимодействует со второй молекулой простого эфира (или воды) с образованием сложного эфира (или уксусной кислоты) [26, 38]. Кроме этого, карбений- и ацилийкатионы могут существовать на твердокислотном катализаторе в связанном состоянии в виде поверхностных алкокси- и ацетатных групп соответственно. Механизм карбонилирования ДМЭ на твердой ГПК, H3PW12O40, был доказан методом твердотельного ЯМР [16].
Рис. 2. Получение метилацетата из диметилового эфира по механизму Коха (по [6]).
Следует упомянуть о негативном воздействии образующейся в ходе реакции воды, обладающей выщелачивающим действием по отношению к растворимой в ней ГПК [6].
Скорость-определяющей стадией в реакции карбонилирования ДМЭ по механизму Коха является образование метоксигрупп на поверхности твердокислотного катализатора. В ряде работ Лузгина М. В., Казанцева М. С. и др. [16, 37] был изучен механизм реакции карбонилирования ДМЭ на твердокислотных катализаторах на основе фосфорно-вольфрамовой кислоты с использованием метода твердотельного ЯМР. Изучение механизма твердофазного карбонилирования ДМЭ CO на фосфорно-вольфрамовой кислоте и ее солях позволило изучить роль катионов щелочного и благородного металлов.
Цезиевые соли фосфорно-вольфрамовой кислоты, промотированные металлом (Rh, Pt, Ag, Ir), готовят добавлением стехиометрических количеств водного раствора нитрата цезия к смеси раствора H3PW12O40 и соли соответствующего металла в необходимой пропорции. Конечная суспензия интенсивно перемешивается в течение суток и выпаривается (при 353–373 К) до твердого состояния [16, 37].
На рис. 3 представлены 13C CP/MAS ЯМР-спектры, записанные для ДМЭ с 13C в обеих метильных группах, адсорбированных на твердых H3PW12O40, Cs2HPW12O40 и M/Cs2HPW12O40 (где M = Rh, Ag, Pt). Непрореагировавшему ДМЭ соответствуют два сдвига: сдвиг при 64(63) м. д. и сдвиг при 67 м. д., определяемый в виде левого плеча по отношению к более интенсивному сдвигу при 64(63) м. д. (рис. 3). Эти два сдвига соответствуют ДМЭ, адсорбированному на бренстедовских кислотных центрах, образованных на терминальных и мостиковых атомах кислорода структуры Кеггина соответственно [25, 26, 28, 39].
Рис. 3. CP/MAS ЯМР 13C спектры комплексов, образующихся при адсорбции ДМЭ на H3PW12O40, Cs2HPW12O40, Rh/Cs2HPW12O40 при: а) 293 К, 30 мин; б) 373 К, 30 мин; в) 423 К, 30 мин); а также на Ag/Cs2HPW12O40 и Pt/Cs2HPW12O40 при: г) 293 К; д) 423 К; е) 473 К). Скорость вращения составила 5.0 кГц. Звездочки (*) обозначают боковые полосы вращения (по [37, 38]).
Для ГПК, ее немодифицированной и модифицированных солей при комнатной температуре в спектрах наблюдается сдвиг при 80 м. д. (рис. 3). Такой сигнал характерен для катиона триметилоксония в суперкислых средах [40, 41] и адсорбированному на цеолитах [40, 42]. Таким образом, при комнатной температуре ДМЭ частично превращается в ион триметилоксония. Поскольку такая ситуация схожа для всех типов рассмотренных катализаторов, то следует заключить, что бренстедовские кислотные группы –OH ответственны за образование катиона триметилоксония.
Согласно стехиометрии реакции, также при превращении ДМЭ в катион триметилоксония должен образовываться либо метанол, либо метоксигруппа, связанная с поверхностью катализатора. Сдвиг при 53–55 м. д., соответствующий метанолу, адсорбированному на поверхности катализатора [16, 26], в спектрах образцов не обнаруживается (рис. 3). Это связано с тем, что образующийся из ДМЭ метанол сразу же подвергается дегидратации, давая дополнительное количество поверхностных метоксигрупп. Метоксигруппа, связанная с поверхностью структуры ГПК, характеризуется сдвигом при 59 м. д. [16, 26], однако этот сдвиг глушится интенсивным сдвигом при 64(63) м. д. Действительно, нагрев образцов до температур более 373 К приводит к появлению в спектрах сдвигов при 59 м. д. от метоксигруппы и при 80 м. д. от иона триметилоксония (рис. 3б, в, д, е).
Следует отметить изменение интенсивностей сдвигов в спектрах образцов H3PW12O40, Cs2HPW12O40 и Rh/Cs2HPW12O40 при увеличении температуры обработки катализаторов ДМЭ (до 423 К — температуры реакции карбонилирования). В данном случае увеличивается интенсивность сдвига от поверхностной метоксигруппы, а интенсивность сдвига катиона триметилоксония снижается (рис. 3б, в). Обращает на себя внимание увеличение интенсивности сигнала при 76 м. д., наблюдаемого в спектрах цезиевых солей ГПК, немодифицированной и модифицированной родием (рис. 3в). В спектре образца H3PW12O40 такой сдвиг отсутствует (рис. 3в) [37]. Очевидно, что появление данного сдвига происходит за счет наличия катионов цезия [41]: в данном случае метоксигруппа включает терминальный кислород структуры Кеггина, образующий связь с катионом цезия. В спектрах образцов Ag/Cs2HPW12O40 и Pt/Cs2HPW12O40 сдвиг при 76 м. д. также присутствует, однако его интенсивность ниже (рис. 3д, е).
Следует подчеркнуть, что промотирование Cs-соли H3PW12O40 родием не оказывает какого-либо влияния на адсорбцию ДМЭ на поверхности ГПК. В CP/MAS ЯМР 13C спектре не наблюдается сдвигов в области 1 — 6 м. д., типичных для групп Rh–CH3 [42, 43]. Активация связи C–O в ДМЭ на бренстедовских кислотных центрах H3PW12O40 и ее солей приводит к образованию поверхностной метоксигруппы, связанной с поверхностью ГПК.
Адсорбция ДМЭ на Ag- и Pt-содержащих ГПК происходит схожим образом [37, 38, 44]. Однако следует отметить, что концентрация метоксигрупп для образцов Ag- и Pt/Cs2HPW12O40 более низкая по сравнению с их концентрацией для катализатора Rh/Cs2HP12O40 даже при самой высокой температуре реакции, что оказывает существенное влияние на эффективность реакции карбонилирования [38].
На рис. 4 представлены CP/MAS ЯМР 13C спектры, записанные для13CO, адсорбированном на катализаторах M/Cs2HPW12O40 (M = Rh, Pt, Ag) при 293–423 К. В спектре образца Rh/Cs2HPW12O40, снятого при комнатной температуре, присутствуют сдвиги при 175 м. д. и 184 м. д. от газообразного 13CO [16]. Сдвиг в области 169–180 м. д. характерен для линейных родиевых карбонильных комплексов Rh–CO, для родиевых комплексов в растворах [42, 43, 45] и родия, нанесенного на оксид алюминия, кремния и цеолиты [46–53]. Монооксид углерода, адсорбируясь на металле при комнатной температуре, образует на поверхности катализатора мультикарбонильные родиевые комплексы Rh(CO)n (n = 2, 3) [48, 49, 52].
Рис. 4. CP/MAS ЯМР 13C спектры частиц, образованных 13CO при 293–423 К на поверхности: а) Rh/Cs2HPW12O40; б) Pt/Cs2HPW12O40, в) Ag/Cs2HPW12O40. Скорость вращения магнитного поля составила 8.0 кГц; звездочки (*) обозначают боковые полосы вращения (по [38]).
При нагревании катализатора до 423 К сдвиг от свободного CO не наблюдается в спектрах. Однако при 423 К монооксид углерода на поверхности образца Rh/Cs2HPW12O40 представлен в виде монокарбонила Rh–CO [48, 49, 52]. Полное разложение Rh-кластеров в мономерные Rh-комплексы происходит при 300 К [38]. Сдвиг низкой интенсивности при 126 м. д. соответствует диоксиду углерода. CO2 образуется в результате окисления CO остаточными комплексами Rh(III). Таким образом, адсорбция монооксида углерода на Rh/Cs2HPW12O40 приводит к образованию мультикарбонильных родиевых комплексов, которые при более высокой температуре превращаются в монокарбонильные.
В спектре образца Ag/Cs2HPW12O40 сдвиг при 178 м. д. также наблюдается при комнатной температуре (рис. 4в). Схожие сигналы были обнаружены для Ag-карбонильных комплексов в растворе [54, 55].
При адсорбции монооксида углерода на поверхности образца Pt/Cs2HPW12O40 при комнатной температуре образуются поверхностные Pt-карбонильные комплексы, для которых сдвиг характерен при 188 м. д. [56] (рис. 4б). Нагревание образцов до 373–473 К не вызывает каких-либо изменений в спектрах Ag- и Pt-карбонилов. Для образцов Ag/Cs2HPW12O40 и Pt/Cs2HPW12O40 в условиях одинаковых концентраций металла и адсорбированного CO при комнатной температуре приблизительно 60% CO превращается в комплекс металл–карбонил. В то же время на образце Rh/Cs2HPW12O40 происходит почти количественное превращение CO в комплексы Rh–CO [37]. Поверхностные комплексы Ag–CO и Pt–CO существуют только в атмосфере монооксида углерода, вакуумирование образцов приводит к полному исчезновению сдвигов в спектрах [37]. Для образцов Rh- и Pt-ГПК, активированных в токе водорода, характерно нуль-валентное состояние металла [57]. Химический сдвиг Rh–CO 175 м. д. типичен для Rh(I) карбонильных комплексов [42, 45–48, 58], что указывает на превращение Rh(0)- в Rh(I)-карбонильные комплексы [59–62]. Сдвиг 188 м. д. для комплексов Pt–CO указывает на наличие металла в виде высокодисперсных комплексов Pt(0) [56]. Для образца Ag/ГПК в 13C CP/MAS ЯМР спектрах Ag представлен в виде комплексов Ag(I) [54, 55].
Реакция карбонилирования ДМЭ была исследована методом13C MAS ЯМР на образцах Rh/Cs2HPW12O40, Pt/Cs2HPW12O40 и Ag/Cs2HPW12O40 (рис. 5).
Рис. 5. CP/MAS ЯМР 13C спектры продуктов, полученных при взаимодействии ДМЭ-13C и 13CO на Rh/Cs2HPW12O40: а) при комнатной температуре; б) при 400 К в течение 30 мин, в) при 423 К в течение 30 мин, г) при 423 К в течение 90 мин; и на Ag/Cs2HPW12O40 и Pt/Cs2HPW12O40 при д) 293 К, е) 423 К в течение 60 мин, ж) 473 К в течение 30 мин, з) 473 К в течение 2 ч. Звездочки обозначают боковые полосы вращения (по [37, 38]).
Для образца Rh/Cs2HPW12O40 при температурах менее 400 К CO и ДМЭ превращаются в Rh-карбонилы и метоксигруппы соответственно (рис. 5а). При комнатной температуре сдвиг при 64 м. д. соответствует непрореагировавшему ДМЭ, при 174 м. д. — родиевому карбонилу; кроме этого, образуется небольшое количество иона триметилоксония. Нагрев образца до 423 К в течение 30 мин приводит к практически полному поглощению ДМЭ и уменьшению интенсивности сдвига от Rh-карбонилов (рис. 5в). Вместо ДМЭ наиболее интенсивный сдвиг при 59 м. д. от поверхностной метоксигруппы представлен в алифатической области спектра, а также сдвиг от метоксида и катиона цезия, связанного с атомом кислорода (76 м. д., рис. 5в). Сдвиги при 22 и 193 м. д. соответствуют продуктам карбонилирования — метильной и карбоксильной от ацетата группам соответственно. Кроме этого, образуется незначительное количество уксусной кислоты (186 м. д. (–COOH) и 20 м. д. (CH3-групп) [16, 63]) из ацетата и воды [38].
На образцах Ag/Cs2HPW12O40 и Pt/Cs2HPW12O40 реакция не протекает до 423 К, небольшая конверсия имеет место быть на платиновом катализаторе (рис. 5е). Реакция начинает протекать при 423 К, и метилацетат является единственным продуктом, идентифицируемым типичными сдвигами при 22 (CH3), 54 (CH3-O) и 179 м. д. (C=O) [39, 62]. Сдвиги низкой интенсивности при 193 и 22 м. д. указывают на образование ацетата, связанного с поверхностью катализатора (ацетат Кеггина) [65]. Ацетат образуется за счет внедрения CO в связь O–CH3 поверхностной метоксидной группы. Для образца Rh/Cs2HPW12O40 наблюдается непосредственное превращение карбонил-родия во фрагмент > C=O ацетата, поэтому свободный CO в газовой фазе отсутствует. На Ag- и Pt-содержащем катализаторе комплексы карбонил-металл находятся в равновесии с газообразным монооксидом углерода. Таким образом, ацетат Кеггина может образоваться либо из фрагмента карбонил– металл или непосредственно из газообразного CO, что характерно для Ag/Cs2HPW12O40 и Pt/Cs2HPW12O40 (рис. 5ж, з).
Метилацетат образуется из ацетата Кеггина в реакции с молекулой ДМЭ. При использовании Rh/Cs2HPW12O40 ацетат Кеггина является основным продуктом карбонилирования ДМЭ, что является следствием низкой концентрации непрореагировавшего эфира. На образце Rh/Cs2HPW12O40 метилацетат образуется только при адсорбции дополнительного количества ДМЭ [38]. Карбонилирование ДМЭ на Ag/Cs2HPW12O40 и Pt/Cs2HPW12O40 происходит при более высокой температуре, чем при использовании катализатора Rh/Cs2HPW12O40 [38].
В отличие от Rh-промотированного катализатора для немодифицированного Cs2HPW12O40 образование продукта карбонилирования не происходит вплоть до 473 К (рис. 6а, б). При 473 К в CP/MAS ЯМР 13C-спектре обнаружен поверхностный ацетат (рис. 6в). Конверсия в ацетат на образце Cs2HP12O40 при 473 К (60 мин) менее выражена по сравнению с Rh/Cs2HPW12O40 при 423 К (30 мин) (рис. 5в и 6в), в то же время сигналы от любых поверхностных CO не наблюдаются (рис. 6в). Таким образом, эффект промотирования родием очевиден и состоит в существенном снижении температуры, требуемой для протекания реакции. Этот эффект объясняется способностью родия образовывать Rh-карбонилы и таким образом обеспечивать доставку монооксида углерода к центрам активации ДМЭ на поверхности ГПК, что способствует взаимодействию между поверхностными интермедиатами.
Рис. 6. CP/MAS ЯМР 13C спектры продуктов карбонилирования ДМЭ-13C 13CO на Cs2HPW12O40: а) при комнатной температуре; б) при 423 К в течение 30 мин, в) при 473 К в течение 60 мин.
Взаимодействие метоксигрупп с карбонилами родия происходит при температуре более 423 К, в то время как образование поверхностных ацетатов с ДМЭ наблюдается при температурах 293–423 К. Таким образом, внедрение CO в связь C–O метоксида является скорость-определяющей стадией реакции карбонилирования. По сравнению с галоген-промотированным катализатором образцы M/Cs2HPW12O40 проявляют себя как бифункциональные катализаторы. Активация связи C–O ДМЭ происходит на сильных бренстедовских кислотных центрах ГПК с образованием поверхностной метоксигруппы, а химическая адсорбция монооксида углерода приводит к образованию родиевых карбонильных комплексов. Родиевые комплексы не участвуют в активации ДМЭ. Роль родия в каталитической системе состоит в улавливании монооксида углерода из газовой фазы и переносе CO к центру активации ДМЭ — кислой OH-группе ГПК. Наоборот, решетка Cs2HP12O40 способна локализовать эти два различных активных центра в непосредственной близости, т. е. на двух соседних атомах кислорода — терминальном и мостиковом, таким образом содействуя взаимодействию между интермедиатами — Rh-карбонилом и метоксигруппой [37].
Кинетика гетерогенного карбонилирования ДМЭ монооксидом углерода на фосфорно-вольфрамовой кислоте и ее солях
Для исследования кинетики реакции карбонилирования ДМЭ использовали метод 1H MAS ЯМР [38, 66]. На рис. 7 представлены 1H MAS ЯМР-спектры ДМЭ, взаимодействующего с CO на H3PW12O40, Rh/Cs2HPW12O40 и Ag/Cs2HPW12O40 как функцию времени реакции (рис. 7).
Рис. 7. Стековый график 1H MAS ЯМР спектров: а) при 453 К ДМЭ, адсорбированного на H3PW12O40 и реагирующего с CO. Начальный спектр записан через 5 мин после достижения температуры 453 K, конечный спектр записан после 400 мин реакции; б) при 449 K ДМЭ, адсорбированного на Rh/Cs2HPW12O40 и реагирующего с CO. Начальный спектр записан через 5 мин после достижения температуры 449 К, и конечный спектр записан после 180 мин реакции; в) при 482 K ДМЭ, адсорбированного на Ag/Cs2HPW12O40 и реагирующего с CO. Начальный спектр записан через 2 мин после достижения температуры 482 K, и конечный спектр записан после 80 мин реакции (по [38, 66]).
Сдвиги при 4.6 и 4.0 м. д., интенсивность которых снижается с течением времени, соответствуют группам CH3–O [41, 67–69]. Сдвиг при 4.0 м.д. соответствует адсорбированному ДМЭ, широкий сигнал, центрированный при 4.6 м. д., — смеси метоксигруппы, протонированного эфира и катиона триметилоксония [41, 67, 68]. Сдвиги при 2.9 и 2.5 м. д., интенсивность которых возрастает со временем, относятся к метильным группам ацетата Кеггина и уксусной кислоте соответственно [69]. Сдвиг, соответствующий образованию уксусной кислоты, достигает максимального значения через 1 ч после начала реакции, далее его интенсивность практически не изменяется, в то время как интенсивность сигнала от ацетата Кеггина существенно возрастает с течением времени. Образование уксусной кислоты происходит в результате взаимодействия воды с ацетатом Кеггина до полного ее исчезновения [66]. Сдвиг при 8.8 м. д. описывает кислые гидроксильные группы ГПК [70–73], связанные через водород с соседними анионами Кеггина [74]. Данный сдвиг типичен и для других твердых ГПК [73, 74].
В спектре образца Rh/Cs2HPW12O40, помимо сдвигов 8.8, 4.0 и 2.5 м. д., присутствует сдвиг при 5.0 м. д., соответствующий кислым OH группам ГПК. Однако в отличие от 8.8 м. д., обладающего низкой интенсивностью, сдвиг при 5.0 м. д. соответствует менее кислым “свободным” (как в цеолите) OH-группам [75], т. е. без водородного связывания. Сдвиг относится к OH-группам изолированных анионов Кеггина или их малым кластерам, в которых отсутствует водородное связывание между анионами [41, 72]. Cs2HPW12O40 обладает существенно большими пористостью и площадью поверхности, около 100 м2/г, по сравнению с 5–10 м2/г для H3PW12O40. Таким образом, цезиевая соль может содержать больше протонов, не связанных через водород с атомами кислорода соседних анионов Кеггина. Интенсивность сигнала водород-связанных OH-групп возрастает и смещается по ходу реакции к 9.8 м. д. Это становится возможным за счет воды, образованной при превращении ДМЭ в метоксигруппы. Молекулы воды связаны с кислыми OH-группами ГПК с образованием катиона H2n+1On+ (n = 1, 2) [73], что приводит к дополнительному смещению сигнала в слабое поле к 8.8 м. д. Происходит практически количественное превращение ДМЭ в продукты карбонилирования [66].
Для образца Ag/Cs2HPW12O40 сдвиг при 3.2 м. д., наблюдаемый в начале реакции и относящийся к ДМЭ в газовой фазе, быстро исчезает по ходу реакции. Сдвиг при 5.4 м. д. относится к кислым OH-группам при влиянии серебра [66].
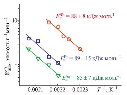
Для приготовленных образцов была оценена температурная зависимость начальной скорости реакции (W0ДМЭ) для определения энергии активации (рис. 8).
Рис. 8. Кривые Аррениуса для исходной скорости, W0ДМЭ, карбонилирования ДМЭ на: (○) — Rh/Cs2HPW12O40; (□) — Pt/Cs2HPW12O40; (∇) — Ag/Cs2HPW12O40 (по [66]).
Образец Rh/Cs2HPW12O40 более активен по сравнению с образцами Pt/Cs2HPW12O40 и Ag/Cs2HPW12O40 (рис. 8). Для непромотированного Cs2HPW12O40 скорость реакции существенно ниже по сравнению со скоростями для M/Cs2HPW12O40 (табл. 1). Это свидетельствует о том, что эффективность металл-содержащей соли ГПК определяется двумя типами центров на поверхности катализатора: бренстедовскими кислотными и металлическими центрами. Образование метоксигруппы из ДМЭ происходит на бренстедовских кислотных центрах, в то время как металлические центры обеспечивают доставку монооксида углерода к центрам активации ДМЭ. Для внедрения монооксида углерода из комплекса M–CO в связь CH3–O метоксигруппы необходимо расщепление связи M–CO комплекса, в котором электронная плотность на атоме углерода ниже по сравнению с электронной плотностью на атоме углерода в свободном CO [66].
Таблица 1. Начальные скорости карбонилирования ДМЭ (W0ДМЭ, μмоль г–1 мин–1) на катализаторах M/Cs2HPW12O40 (M = Ag, Pt, и Rh) [66]
T, K | Ag/Cs2HPW12O40 | Pt/Cs2HPW12O40 | Rh/Cs2HPW12O40 | Cs2HPW12O40 |
434 | – | – | 21 ± 0.1 | – |
444 | – | – | 3.6 ± 0.2 | – |
449 | – | – | 4.2 ± 0.3 | – |
454 | 0.51 ± 0.03 | 1.0 ± 0.06 | 6.9 ± 0.4 | – |
462 | 0.90 ± 0.06 | 1.38 ± 0.07 | 8.8 ± 0.4 | – |
473 | 1.25 ± 0.05 | 3.2 ± 0.2 | – | – |
482 | 2.1 ± 0.2 | 3.7 ± 0.2 | – | ≤ 1.0 |
Различие в активностях катализаторов M/Cs2HPW12O40 может быть объяснено в рамках относительных концентраций промежуточных комплексов, образующихся на поверхности этих катализаторов. Скорость-определяющей стадией реакции карбонилирования на Rh/Cs2HPW12O40 является взаимодействие Rh-карбонила с поверхностным метоксидом [37]. Для Pt- и Ag-содержащих катализаторов ситуация схожа. Действительно, интермедиаты реакции — метоксигруппа и комплекс металл-карбонил — образуются при температурах 293–423 К, в то время как взаимодействие между этими частицами и образование продуктов карбонилирования происходит при температурах более 453 К. Скорость такого взаимодействия пропорциональна концентрациям промежуточной метоксигруппы и металл-карбонила: WДМЭ ~ [CH3–O–W] × [M–CO]. Родиевый катализатор обеспечивает более высокую концентрацию как метоксиинтермедиата, так и карбонильного комплекса, что объясняет более высокую скорость реакции на образце Rh/Cs2HPW12O40 [66].
Что касается метоксигрупп, возможными факторами, определяющими их концентрацию на поверхности ГПК, являются природа и кислотность OH групп ГПК. Согласно данным 1H MAS ЯМР-спектра, все катализаторы содержат приблизительно одинаковую концентрацию OH-групп (примерно 340 μмоль г–1), однако Rh/Cs2HPW12O40 имеет более высокую концентрацию кислых OH-групп со сдвигом при 8.8 м. д., в то время как образцы Ag- и Pt/Cs2HPW12O40 содержат предположительно меньшее количество кислых OH-групп со сдвигами при 5.0–5.4 м. д. Для непромотированной соли ГПК, Cs2HPW12O40, характерно схожее распределение OH-групп, как и для Rh/Cs2HPW12O40, что сказывается в их схожем поведении в активации ДМЭ [16, 37, 73–78]. Активация ДМЭ на более кислых группах OH Rh/Cs2HPW12O40 может быть причиной увеличения концентрации метоксигруппы [66]. Кроме этого, концентрация поверхностных карбонильных комплексов для Ag/Cs2HPW12O40 и Pt/Cs2HPW12O40 ниже, чем для Rh-катализатора. Это сказывается на более высокой скорости реакции, достигаемой для Rh/Cs2HPW12O40. Причина разницы в концентрациях может быть разумно объяснена в рамках стабильности карбонильных интермедиатов. Более высокая стабильность Rh-карбонилов обеспечивает их более высокую концентрацию в реакции с родиевым катализатором. Более высокая энергия связывания, характерная для Rh-карбонилов, влияет на увеличение энергии активации для такого катализатора. На энергию активации влияние оказывает также энтальпия образования метоксигруппы. Более низкая энтальпия образования метоксигрпуппы для Rh-катализатора компенсирует более высокую энергию связывания [66].
Таким образом, следует различать два принципиальных фактора, определяющих активность металлсодержащих солей ГПК. Они отражают бифункциональный характер этих катализаторов. Сначала сильнокислые OH-группы обеспечивают активацию ДМЭ и образование промежуточных метоксигрупп. Второй фактор определяется выбором металлического модификатора. Модификатор может быть способен захватить монооксид углерода из газовой фазы для переноса CO в центр активации ДМЭ в виде карбонила [38].
Гетерогенное карбонилирование ДМЭ монооксидом углерода с использованием катализаторов на основе фосфорно-вольфрамовой кислоты и ее солей
Используя метод твердотельного ЯМР 13C, карбонилирование ДМЭ было изучено на Rh-промотированном твердокислотном катализаторе, цезиевой соли фосфорно-вольфрамовой кислоты. Содержание родия на всех приготовленных образцах составляло 1 мас. %. В ИК-спектрах адсорбированного пиридина кислых цезиевых солей H3PW12O40 присутствуют полосы, характерные как для льюисовских (1450 см–1), так и бренстедовских (1540 см–1) кислотных центров. В табл. 2 представлены данные по кислотности, вычисленные из ИК-спектров адсорбции пиридина. Максимум бренстедовских кислотных центров (139–118 μмоль г–1) достигается на образцах Rh/Cs1H2PW12O40, Rh/Cs1.5H1.5PW12O40 и Rh/Cs2HPW12O40.
Таблица 2. Кислотность катализаторов по ИК-спектрам адсорбции пиридина [10, 21]
Образцы | Бренстедовские кислотные центры | Льюисовские кислотные центры N, мкмоль г–1 | |
N, мкмоль г–1 | PA, кДж моль–1 | ||
Rh/Cs1H2PW12O40 | 139 | 1120 | 25 |
Rh/Cs1.5H1.5PW12O40 | 128 | 1120 | 32 |
Rh/Cs2HPW12O40 | 118 | 1150 | 57 |
Rh/Cs2.5H0.5PW12O40 | 48 | 1150 | 63 |
Было показано, что кислотность исходной ГПК, вычисленная Бардиным (PA = 1088 кДж моль–1) [24] и Максимовым [79] (PA = 1070 кДж моль–1), выше кислотности ее солей Cs1H2PW12O40 и Cs1.5H1.5PW12O40 (PA = 1120 кДж моль–1) (табл. 2).
Результаты карбонилирования ДМЭ представлены в табл. 3. Наиболее активным катализатором является образец Rh/Cs1.5H1.5PW12O40 (активность по метилацетату составляет 180 г л–1 ч–1), что на порядок выше активности родиевых солей той же кислоты, нанесенных на оксид кремния [20]. Активность образцов возрастает с увеличением содержания цезия. Rh/Cs1.5H1.5PW12O40 и Rh/Cs2HPW12O40 являются наиболее активными, активность Rh/Cs1H2PW12O40 и Rh/Cs2.5H0.5PW12O40 в 3–5 раз ниже.
Таблица 3. Площадь поверхности и каталитические свойства образцов в реакции карбонилирования диметилового эфира (ДМЭ) при 473 К и 1 МПа после 120 мин в потоке [10, 21]
Образцы | SBET, м2/г | Конверсия ДМЭ, % | Скорость образования метилацетата | Селективность, % | ||
г л–1 ч–1 | 10–8 моль г–1 с–1 | 10–8 моль м–2 с–1 | ||||
Rh/Cs1H2PW12O40 | 37 | 11.5 | 60 | 15 | 0.40 | 91 |
Rh/Cs1.5H1.5PW12O40 | 57 | 33.0 | 180 | 45 | 0.78 | 94 |
Rh/Cs2HPW12O40 | 103 | 31.2 | 170 | 43 | 0.42 | 95 |
Rh/Cs2.5H0.5PW12O40 | 216 | 6.4 | 35 | 9 | 0.042 | 96 |
С увеличением содержания цезия в образцах селективности по метилацетату для образцов снижаются. Льюисовские кислотные центры инициируют крекинг молекулы ДМЭ, что приводит к образованию побочных продуктов. Образцы с самым высоким и самым низким содержанием цезия относительно неактивны в реакции карбонилирования ДМЭ. Это может быть связано с двумя факторами: площадью поверхности и бренстедовской кислотностью. Катализатор Rh/Cs1H2PW12O40 имеет относительно низкую площадь поверхности, Rh/Cs2.5H0.5PW12O40 обладает более низкой плотностью бренстедовских кислотных центров. Таким образом, катализаторы Rh/CsxH3-xPW12O40 (1.5 < x < 2) наиболее эффективны в реакции безгалогенового карбонилирования ДМЭ в метилацетат по сравнению с другими твердыми суперкислотами благодаря высокой плотности сильных бренстедовских кислотных центров [10, 17].
В работе [80] изучалось карбонилирование ДМЭ на ГПК, нанесенных на мезопористый алюмосиликат — SBA-15 [81]. Фосфорно-вольфрамовая кислота была диспергирована на материале SBA-15 с использованием метода влагопоглощения.
Текстурные и морфологические свойства катализаторов и подложки представлены в табл. 4.
Таблица 4. Состав, текстурные свойства и количество кислотных центров в χ мас. % образцах ГПК/SBA-15 [80]
Образец | Содержание ГПК, мас. % | Площадь поверхности, м2/г | Объем пор, см3/г | Количество бренстедовских кислотных центров, мкмоль/г | Количество льюисовских кислотных центров, мкмоль/г |
SBA-15 | 0 | 702.0 | 0.99 | – | – |
15 мас. % ГПК/SBA-15 | 12.2 | 588.2 | 0.70 | 127.7 | 23.8 |
25 мас. % ГПК/SBA-15 | 19.5 | 485.5 | 0.59 | 215.0 | 21.7 |
35 мас. % ГПК/SBA-15 | 24.2 | 461.5 | 0.56 | 259.1 | 23.5 |
50 мас. % ГПК/SBA-15 | 38.3 | 344.5 | 0.40 | 372.5 | 10.9 |
75 мас. % ГПК/SBA-15 | 63.2 | 117.9 | 0.06 | 269.2 | 2.9 |
Как следует из табл. 4, при увеличении содержания ГПК на подложке наблюдается существенное снижение ее площади поверхности и объема пор. Это связано с локализацией ГПК в мезопорах материала SBA-15 при ее низких концентрациях [81]. При содержании ГПК более 35 мас. % определенные агломераты структуры Кеггина блокируют входы в каналы, что приводит к резкому снижению площади поверхности и объема пор. Тем не менее подложка в виде мезопористого материала обеспечивает высокую площадь поверхности катализатора [80].
На дифрактограммах образцов ГПК/SBA-15 присутствует широкий рефлекс в области 13°–35° (кроме образца 75 мас. % ГПК/SBA-15), соответствующий структуре подложки SBA-15 (рис. 9). При низком содержании ГПК (< 25 мас. %) для образцов характерны рефлексы исходной подложки, что свидетельствует о высокой дисперсии ГПК на носителе. При содержании ГПК выше 25 мас. % на дифрактограммах образцов присутствуют рефлексы при 10°, 20°, 27° и 35°, относящиеся к структуре ГПК в гидратированной форме (H3PW12O40 6H2O) [82]. Появление характерных рефлексов предположительно обусловлено совокупностью отдельных структур Кеггина, чьи интенсивности рефлексов возрастают, а их ширина уменьшается с ростом содержания ГПК на мезопористом материале [80].
Рис. 9. Дифрактограммы образцов χ мас. % ГПК/SBA-15 (по [80]).
Методом ТЭМ было показано, что диспергированные и изолированные кластеры ГПК (~1.5 нм) характерны для образца 25 мас. % ГПК/SBA-15. Для катализатора 75 мас. % ГПК/SBA-15 высокое содержание ГПК обеспечивает образование ее крупных агломератов на SBA-15 со средним размером частиц 21.7 нм (рис. 10) [80].
Рис. 10. Образцы ТЭМ: а) 25 мас. % ГПК/SBA-15 и б) 75 мас. % ГПК/SBA-15 (по [80]).
Количество доступных бренстедовских кислотных центров демонстрирует почти пропорциональную зависимость от содержания ГПК, возрастающего от 0 до 35 мас. %. Далее при увеличении содержания ГПК на подложке количество бренстедовских кислотных центров снижается. Это происходит за счет агломерации ГПК внутри мезопор SBA-15, которые блокируют мезопористые каналы и бренстедовские кислотные центры (табл. 4) [80].
Для различных образцов χ мас. % ГПК/SBA-15 выход по продукту — метилацетату — возрастает с увеличением бренстедовских кислотных центров, но их рост становится намного ниже, когда содержание ГПК достигает 25 мас. % на подложке (рис. 11а). Это означает, что эффективность активных центров ГПК постепенно снижается. Таким образом, выход метилацетата монотонно снижается с увеличением содержания на подложке ГПК (рис. 11б). Чем больше содержание нанесенной ГПК, тем ниже реакционная способность катализатора.
Рис. 11. Зависимость: а) выхода метилацетата от времени потока; б) селективности по метилацетату на различных образцах χ мас. % ГПК/SBA-15. Условия реакции: масса катализатора = 1 г, соотношение ДМЭ/CO (1 : 49), температура 473 К, давление 1.5 МПа, общая скорость потока = 30 мл/мин, время в потока = 1.5 ч (по [80]).
Резкое уменьшение площади поверхности и объема пор наряду с низкой дисперсией ГПК на подложке приводит к резкому снижению активности катализаторов. Селективность по метилацетату (рис. 12) возрастает с увеличением содержания ГПК, в то время как селективность по побочным продуктам (в т. ч. метанолу, метилформиату и уксусной кислоте) постепенно снижается. Таким образом, бренстедовские кислотные центры также активны в катализе метилацетата, в то время как льюисовские кислотные центры приводят к образованию побочных продуктов [80].
Рис. 12. Селективность по метилацетату и побочным продуктам (метанол: MeOH, метилформиат MF, уксусная кислота AcOH) на образцах χ мас. % ГПК/SBA-15. Условия реакции: масса катализатора = 1 г, соотношение ДМЭ/CO (1 : 49), температура 473 К, давление 1.5 МПа, общая скорость потока = 30 мл/мин, время потока = 1.5 ч (по [80]).
Кроме вышеописанного активного металла Rh, карбонилирование ДМЭ проводится с использованием катализаторов на основе фосфорно-вольфрамовой кислоты с нанесенными металлами VIII группы — иридием (Ir) и рутением (Ru). В качестве носителя использовали силикагель марки Aldrich класс 12 (меш размер 28–200, площадь поверхности 777 м2/г, средний размер пор 4 Å) [6].
На рис. 13 представлены профили конверсии и состава продуктов при использовании образцов 58 мас. % RhPW12O40/SiO2 и 58 мас. % IrPW12O40/SiO2. На рис. 14 представлены профили селективности по метилацетату на данных образцах.
Рис. 13. Профили конверсии и состава продуктов при использовании: а) 58 мас. % RhPW12O40/SiO2; б) 58 мас. % IrPW12O40/SiO2. Условия потока: 3 : 1 (мольное) CO : ДМЭ, WHSV = 0.15 ч–1; носитель: Aldrich класс 12, 28– 200 меш; условия эксплуатации: 498 К, 10 МПа (по [6]).
Рис. 14. Профили селективности по метилацетату при использовании: а) 58 мас. % RhPW12O40/SiO2; б) 58 мас. % IrPW12O40/SiO2. Условия потока: 3 : 1 (мольное) CO : ДМЭ, WHSV = 0.15 ч–1; носитель: Aldrich класс 12, 28– 200 меш; условия эксплуатации: 498 К, 10 МПа (по [6]).
Важным каталитическим свойством, которым обладает Ir-содержащий образец, является более высокая конверсия CO. В данном случае значение конверсии CO составляет 10%, которая далее неуклонно снижается со временем (примерно до 2% в течение 5.5 ч). Исходное значение селективности по метилацетату составляет 80%, далее быстро падает в течение 5.5 ч. Катализатор на основе Ir-замещенной фосфорно-вольфрамовой кислоты является более эффективным в карбонилировании ДМЭ по сравнению с его родиевым аналогом [78].
ЗАКЛЮЧЕНИЕ
Эффективный процесс безгалогенового гетерогенного карбонилирования ДМЭ является актуальной задачей, позволяющей решить проблему коррозии металлического оборудования и энергоемкого разделения жидких продуктов и катализатора, имеющих место при гомогенном карбонилировании. В качестве гетерогенного катализатора было предложено использовать системы на основе ГПК (фосфорно-вольфрамовой кислоты) и их солей с нанесенными металлами (Rh, Ag, Pt, Ir). Показано, что для создания высокоэффективного гетерогенного катализатора необходимо обеспечить необходимую бренстедовскую кислотность, а также наличие благородного металла, способного создавать с монооксидом углерода реакционноспособные карбонильные комплексы.
ФИНАНСИРОВАНИЕ РАБОТЫ
Работа выполнена в рамках государственного задания ИНХС РАН.
КОНФЛИКТ ИНТЕРЕСОВ
Максимов А. Л. является главным редактором журнала “Нефтехимия”, остальные авторы заявляют об отсутствии конфликта интересов.
About the authors
Вера Александровна Остроумова
Институт нефтехимического синтеза им. А. В. Топчиева РАН
Author for correspondence.
Email: ostroumova@ips.ac.ru
ORCID iD: 0000-0003-2870-6534
к. х. н.
Russian Federation, Москва, 119991Антон Львович Максимов
Институт нефтехимического синтеза им. А. В. Топчиева РАН; Московский государственный университет имени М. В. Ломоносова
Email: ostroumova@ips.ac.ru
ORCID iD: 0000-0001-9297-4950
Russian Federation, Москва, 119991; Москва, 119991
References
- Paulik F.E., Roth J.F. Novel catalysts for the low- pressure carbonylation of methanol to acetic acid // Chem. Commun. 1968. P. 1578a. https://doi.org/10.1039/C1968001578A
- Roth J.F., Craddock J.H., Hershman. Roth F.E. Low-pressure process for acetic acid via carbonylation //Chem. Technol. 1971. V. 1. P. 600–605.
- Schultz R.G., Montgomery P.D. Vapor phase carbonylation of methanol to acetic acid // J. Catal. 1969. V. 13(1). P. 105–106. https://doi.org/10.1016/0021-9517(69)90377-7
- Shultz R.G. Пат. 371770 США. 1973. // to Monsanto Company.
- Howard M.J., Jones M.D., Roberts M.S., Taylor S.A. C1 to acetyls: catalysis and process // Catal. Today 1993. V. 18(4). P. 325–354. https://doi.org/10.1016/0920-5861(93)80060-E
- Sardesai A., Lee S., Tartamella T. Synthesis of methyl acetate from dimethyl ether using group VIII metal salts of phosphotungstic acid // Energ. Sourc. 2002. V. 24. P. 301–317. https://doi.org/10.1080/00908310252888682
- Mortreux A., Petit F. Industrial applications of homogeneous catalysts. D. Reidel Publishing Co.: Dordrecht, Holland.
- Shikada T., Ohno Y., Ogawa T., Ono M., Mizuguchi M., Tomura K., Fugimoto K. Direct Synthesis of dimethyl ether form synthesis gas // Stud. Surf. Sci. Catal. 1998. V. 119. P. 515–520. https://doi.org/10.1016/S0167-2991(98)80483-7
- El-Zeftawy A.M. Focus on the chemical value of methanol // J. King Saud Univ. 1995. V. 7. P. 209–256. https://doi.org/10.1016/S1018-3639(18)31058-4
- Volkova G.G., Plyasova L.M., Salanov A.N., Kustova G.N., Yurieva T.M., Likholobov V. A. Heterogeneous catalysts for halide-free carbonylation of dimethyl ether // Catal. Lett. 2002. V. 80(3–4). P. 175–179. https://doi.org/10.1023/A:1015420828251
- Foster D. Kinetic and spectroscopic studies of the carbonylation of methanol with an iodide-promoted iridium catalyst // J. Chem. Soc. Dalton Trans. 1979. P. 1639–1645. https://doi.org/10.1039/DT9790001639
- Fujimoto K., Shikada T., Omata K., Tominaga H. Vapor phase carbonylation of methanol with solid acid catalysts // 1984. V. 13(12). P. 2047–2050. https://doi.org/10.1246/cl.1984.2047
- Ellis B., Howard M.J., Joyner R.W., Reddy K.N., Padley M.B., Smith W.J. Heterogeneous catalysts for the direct, halide-free carbonylation of methanol // Stud. Surf. Sci. Catal. 1996. V. 101. P. 771–779. https://doi.org/10.1016/S0167-2991(96)80288-6
- Cheung P., Bhan A., Sunley G.J., Iglesia E. Selective Carbonylation of Dimethyl Ether to Methyl Acetate Catalyzed by Acidic Zeolites // Angew. Chem. Int. Ed. 2006. V. 45. P. 1617–1620. https://doi.org/10.1002/anie.200503898
- Cheung P., Bhan A., Sunley G.J., Lawb D.J., Iglesia E. Site requirements and elementary steps in dimethyl ether carbonylation catalyzed by acidic zeolites // J. Catal. 2007. V. 245(1). P. 110–123. https://doi.org/10.1016/j.jcat.2006.09.020
- Luzgin M.V., Kazantsev M.S., Wang W., Stepanov A.G. Reactivity of methoxy species toward CO on Keggin 12-H3PW12O40: a study with solid state NMR // J. Phys. Chem. C2009. V. 113(45). P. 19639–19644. https://doi.org/10.1021/jp906888m
- Guisnet M., Bichon P., Gnep N. S., Essayem N. Transformation of propane, n-butane and n-hexane over H3PW12O40 and cesium salts. Comparison to sulfated zirconia and mordenite catalysts // Topic. Catal. 2000. V. 11–12(1–4). P. 247–254. https://doi.org/10.1023/A:1027229915673
- Essayem N., Coudurier G., Fournier M., Védrine J.C. Acidic and catalytic properties of CsxH3–xPW12O40 heteropolyacid compounds // Catal. Lett. 1995. V. 34. P. 223–235. https://doi.org/10.1007/BF00808337
- Okuhara T., Nishimura T., Misono M. Novel microporous solid “Superacids”: CsxH3–xPW12O40 (2 ≤ x ≤ 3) // Stud. Surf. Sci. Catal. 1996. V. 101. P. 581–590. https://doi.org/10.1016/S0167-2991(96)80269-2
- Wegman W.R. European Patent 0 353 722 (1989).
- Volkova G.G., Plyasova L.M., Shkuratova L.N., Budneva A.A., Paukshtis E.A., Timofeeva M.N., Likholobov V.A. Solid superacids for halide-free carbonylation of dimethyl ether to methyl acetate // Stud. Surf. Sci. Catal. 2004. V. 147. P. 403–408. https://doi.org/10.1016/S0167-2991(04)80085-5
- Kozhevnikov I.V. Advances in catalysis by heteropolyacids // Russ. Chem. Rev. 1987. V. 56 (9). P. 811–825. https://doi.org/10.1070/RC1987v056n09ABEH003304
- Okuhara T., Mizuno N., Misono M. Catalytic chemistry of heteropolycompounds // Adv. Catal. 1996. V. 41. P. 113–252. http://dx.doi.org/10.1016/S0360-0564(08)60041-3
- Bardin B.B., Bordawekar S.V., Neurock M., Davis R.J. Acidity of Keggin-type heteropolycompounds evaluated by catalytic probe reactions, sorption microcalorimetry, and density functional quantum chemical calculations // J. Phys. Chem. B. 1998. V. 102. P. 10817–10825. https://doi.org/10.1021/jp982345y
- Ueda T., Tatsumi T., Eguchi T., Nakamura N. Structure and properties of acidic protons in anhydrous dodecatungstophosphoric acid, H3PW12O40, As studied by solid-state1H,2H NMR, and 1H-31P Sedor NMR // J. Phys. Chem. B. 2001. V. 105 (23). P. 5391–5396. https://doi.org/10.1021/jp003439m
- Zhang H.I., Zheng A.M., Yu H.G., Li S.H., Lu X., Deng F. Formation, location, and photocatalytic reactivity of methoxy species on Keggin 12-H3PW12O40: a joint solid-state NMR spectroscopy and DFT calculation Study // J. Phys. Chem. C. 2008. V. 112(40). P. 15765–15770. https://doi.org/10.1021/jp806588q
- Pope M.T., Müller A. Polyoxometalate chemistry — an old field with new dimensions in several disciplines // Angew. Chem. Int. Ed. Engl. 1991. V. 30. P. 34–48. https://doi.org/10.1002/anie.199100341
- Yang J., Janik M.J., Ma D., Zheng A., Zhang M., Neurock M., Davis R. J., Ye Ch., Deng F. Location, acid strength, and mobility of the acidic protons in Keggin 12-H3PW12O40: a combined solid-state NMR spectroscopy and DFT quantum chemical calculation study // J. Am. Chem. Soc. 2005. V. 127(51). P. 18274–18280. https://doi.org/10.1021/ja055925z
- Nakamura O., Ogino I., Kodama T. The water content and humidity ranges of dodecamolybdophosphoric acid and dodecatungstophosphoric acid crystals // Mater. Reas. Bull. 1980. V. 15(8). P. 1049–1054. https://doi.org/10.1016/0025-5408(80)90064-1
- Nakamura O., Ogino I., Kodama T. Temperature and humidity ranges of some hydrates of high-proton-conductive dodecamolybdophosphoric acid and dodecatungstophosphoric acid crystals under an atmosphere of hydrogen or either oxygen or air // Sol. State Ion. 1981. V. 3–4. P. 347–341. https://doi.org/10.1016/0167-2738(81)90111-9
- Brown G.M., Noe-Spirlet M.-R., Busing W.R., Levy H.A. Dodecatungstophosphoric acid hexahydrate, (H5O2+)3(PW12O403–). The true structure of Keggin’s ‘pentahydrate’ from single-crystal X-ray and neutron diffraction data // Acta Crystallogr. 1977. V. B33. P. 1038–1046. https://doi.org/10.1107/S0567740877005330
- Keggin J.F. Structure of the Molecule of 12-Phosphotungstic Acid // Nature. 1933. V. 131. P. 908–909. https://doi.org/10.1038/131908b0
- Spirlet M.-R., Busing W.R. Dodecatungstophosphoric acid-21-water by neutron diffraction // Acta Cryst. B1978. V. 34. P. 907–910. https://doi.org/10.1107/S0567740878004306
- Bradley A.J., Illingsworth J.W. The crystal of H3PW12O40·29H2O // Proc. R. Soc. (London). 1936. V. 157(890). P. 113–131. https://doi.org/10.1098/rspa.1936.0183
- Fournier M., Feumi-Jantou Ch., Rabia Ch., Herve G., Launay S. Polyoxometalates catalyst materials: X-ray thermal stability study of phosphorus-containing heteropolyacids H3 +xPM12 –xVxO40·13–14H2O (M = = Mo, W; x = 0–1) // J. Mater. Chem. 1992. V. 2. P. 971–978. https://doi.org/10.1039/JM9920200971
- Lee K.Y., Mizuno N., Okuhara T., Misono M. Catalysis by heteropoly compounds. XIII. An infrared study of ethanol and diethyl ether in the pseudoliquid phase of 12-tungstophosphoric acid // Bull. Chem. Soc. Jpn. 1989. V. 62. P. 1731–1739. https://doi.org/10.1246/bcsj.62.1731
- Luzgin M.V., Kazantsev M.S., Volkova G.G., Wang W., Stepanov A.G. Carbonylation of dimethyl ether on solid Rh-promoted Cs-salt of Keggin 1-H3PW12O40: a solid-state NMR study of the reaction mechanism // J. Catal. 2011. V. 277. P. 72–79. https://doi.org/10.1016/j.jcat.2010.10.015
- Luzgin M.V., Kazantsev M.S., Volkova G.G., Stepanov A.G. Solid-state NMR study of the kinetics and mechanism of dimethyl ether carbonylation on cesium salt of 12-tungstophosphoric acid modified with Ag, Pt, and Rh // J. Catal. 2013. V. 308. P. 250–257. https://doi.org/10.1016/j.jcat.2013.08.024
- Kazantsev M.S., Luzgin M V., Volkova G.G., Stepanov A.G. Carbonylation of dimethyl ether on Rh/Cs2HPW12O40: solid-state NMR study of the mechanism of reaction in the presence of a methyl iodide promoter // J. Catal. 2012. V. 291. P. 9–16. https://doi.org/10.1016/j.jcat.2012.03.024
- Breitmaier E., Voelter W. 13C NMR spectroscopy, methods and applications in organic chemistry. VCH, Weinheim. 1978.
- Olah G.A., Doggweiler H., Felberg J.D., Fronlich S. Onium ions. 33. (Trimethylsilyl)- and [(trimethylsilyl)methyl]oxonium and halonium ions // J. Org. Chem. 1985. V. 50. P. 4847–4851. https://doi.org/10.1021/jo00224a039
- Haynes A., Mann B.E., Gulliver D.J., Morris G.E., Maitlis P.M. Direct observation of MeRh(CO)2I3–, the key intermediate in rhodium-catalyzed methanol carbonylation // J. Am. Chem. Soc. 1991. V. 113(22). P. 8567–8569. https://doi.org/10.1021/ja00022a079
- Haynes A., Mann B.E., Morris G.E., Maitlis P.M. Mechanistic studies on rhodium-catalyzed carbonylation reactions: spectroscopic detection and reactivity of a key intermediate, [MeRh(CO)2I3]– // J. Am. Chem. Soc. 1993. V. 115(10). P. 4093–4100. https://doi.org/10.1021/ja00063a030
- Munson E.J., Haw J.F. NMR observation of trimethyloxonium formation from dimethyl ether on zeolite HZSM-5 // J. Am. Chem. Soc. 1991. V. 113(16). P. 6303–6305. https://doi.org/10.1021/ja00016a075
- Xu Q., Nakatani H., Souma Y. A new rhodium catalyst: formation of [Rh(CO)4]+ in concentrated sulfuric acid and its application to carbonylation of olefins // J. Org. Chem. 2000. V. 65(5). P. 1540–1543. https://doi.org/10.1021/jo991659u
- Duncan T.M., Yates J.T., Vaughan R.W. 13C NMR of CO chemisorbed on Rh dispersed on Al2O3 // J. Chem. Phys. 1979. V. 71. P. 3129–3130. https://doi.org/10.1063/1.438669
- Duncan T.M., Yates J.T., Vaughan R.W. A 13C NMR study of the adsorbed states of CO on Rh dispersed on Al2O3 // J. Chem. Phys. 1980. V. 73. P. 975–985. https://doi.org/10.1063/1.440746
- Duncan T.M., Root T.W. Adsorbed states of CO on dispersed metals: quantitative analysis with 13C NMR spectroscopy // J. Phys. Chem. 1988. V. 92(15). P. 4426–4432. https://doi.org/10.1021/j100326a036
- Duncan T.M., Zilm K.W., Hamilton D.M., Root T.W. Adsorbed states of carbon monoxide on dispersed metals: a high-resolution solid-state NMR study // J. Phys. Chem. 1989. V. 93. P. 2583–2590. https://doi.org/10.1021/j100343a067
- Gleeson J.W., Vaughan R.W. 13C NMR chemical shift tensors of metal carbonyls // J. Chem. Phys. 1983. V. 78. P. 5384–5392. https://doi.org/10.1063/1.445465
- Molitor P.F., Shoemaker R.K., Apple T.M. Detection and structural characterization of rhodium dicarbonyls adsorbed in Y zeolites // J. Phys. Chem. 1989. V. 93. P. 2891–2893. https://doi.org/10.1021/j100345a010
- Gay I.D., Hu B., Sheng T.C. Two-dimensional 31P exchange NMR study of adsorbed phosphine layers // Langmuir. 1999. V. 15. P. 6132–6134. https://doi.org/10.1021/la990302i
- Rao L.F., Pruski M., King T.S. Structure and stability of rhodium clusters in NaY studied by NMR and FTIR // J. Phys. Chem. 1997. V. 101(29). P. 5717–5724. https://doi.org/10.1021/jp970971+
- Hurlburt P.K., Rack J.J., Luck J.S., Dec S.F., Webb J.D., Anderson O.P., Strauss S.H. Nonclassical metal carbonyls: [Ag(CO)]+ and [Ag(CO)2]+ // J. Am. Chem. Soc. 1994. V. 116. P. 10003–10014. https://doi.org/10.1021/ja00101a021
- Souma Y., Kawasaki H. Synthesis of tert.-Alkanoic acid catalyzed by Cu(CO)n+ and Ag(CO)2+ under atmospheric pressure // Catal. Today 1997. V. 36. P. 91–97. https://doi.org/10.1016/S0920-5861(96)00201-5
- Bradley J.S., Millar J.M., Hill E.W., Behal S. Surface chemistry on transition metal colloids — an infrared and NMR study of carbon monoxide adsorption on colloidal platinum // J. Catal. 1991. V. 129. P. 530–539. https://doi.org/10.1016/0021-9517(91)90056-A
- Newkirk A. E., McKee D. W. Thermal decomposition of rhodium, iridium, and ruthenium chlorides // J. Catal. 1968. V. 11. P. 370–377. https://doi.org/10.1016/0021-9517(68)90061-4
- Gay I.D. Observation of bridging carbon monoxide on rhodium/silica carbon-13 MAS NMR // J. Phys. Chem. 1990. V. 94. P. 1207–1209. https://doi.org/10.1021/j100367a001
- Rica C.A., Worley S.D., Curtis C.W., Guin C.W., Guin J.A., Tarrer A.R. The oxidation state of dispersed Rh on Al2O3 // J. Chem. Phys. 1981. V. 74. P. 6487–6497. https://doi.org/10.1063/1.440987
- Cavanagh R.R., Yates J.T. Site distribution studies of Rh supported on Al2O3 — An infrared study of chemisorbed CO // J. Chem. Phys. 1981. V. 74. P. 4150–4155. https://doi.org/10.1063/1.441544
- Van‘t Blik H.F.J., Van Zon J.B.A.D., Huizinga T., Vis J.C., Koningsberger D. C., Prim R. Structure of rhodium in an ultradispersed rhodium/alumina catalyst as studied by EXAFS and other techniques // J. Am. Chem. Soc. 1985. V. 107. P. 3139–3147. https://doi.org/10.1021/ja00297a020
- Basu P., Panayotov D., Yates J. Spectroscopic evidence for the involvement of hydroxyl groups in the formation of dicarbonylrhodium(I) on metal oxide supports // J. Phys. Chem. 1987. V. 91. P. 3133–3136. https://doi.org/10.1021/j100296a007
- Luzgin M.V., Rogov V.A., Shmachkova V.P., Kotsarenko N.S., Stepanov A.G. Methane Carbonylation with CO on Sulfated Zirconia: Evidence from Solid-State NMR for the Selective Formation of Acetic Acid // J. Phys. Chem. C2007. V. 111. P. 10624–10629. https://doi.org/10.1021/jp0728757
- Dortman D.E., Bauer D., Roberts J.D. Nuclear magnetic resonance spectroscopy. Carbon-13 chemical and carbon-13 proton couplings in some esters and ethers // J. Org. Chem. 1975. V. 40. P. 3729–3735. https://doi.org/10.1021/jo00913a024
- Luzgin M.V., Rogov V.A., Arzumanov S.S., Toktarev A.V., Stepanov A.G., Parmon V.N. Understanding methane aromatization on a Zn-modified high-silica zeolite // Angew. Chem. Int. Ed. 2008. V. 47. P. 4559–4562. https://doi.org/10.1002/anie.200800317
- Kazantsev M.S., Luzgin M.V., Stepanov A.G. Carbonylation of dimethyl ether with CO on solid 12-tungstophosphoric acid: in situ magic angle spinning NMR monitoring of the ration kinetics // J. Phys. Chem. 2013. V. 117(21). P. 11168–11175. https://doi.org/10.1021/jp401604r
- Lacey M.J., Macdonald C.G., Pross A. Geminal proton coupling constants in some methyl derivatives // Aust. J. Chem. 1970. V. 23. P. 1421–1429. https://doi.org/10.1071/CH9701421
- Gottlieb H.E., Kotlyar V., Nudelman A. NMR chemical of common laboratory solvents as trace impurities // J. Org. Chem. 1997. V. 62. P. 7512–7515. https://doi.org/10.1021/jo971176v
- Olah G., O’Brien D. Stable Carbonium Ions. XXXVI. 1aProtonated aliphatic ethers and their cleavage to carbonium ions // J. Am. Chem. 1967. V. 89. P. 1725–1728. https://doi.org/10.1021/ja00983a033
- Kanda Y., Lee k.Y., Nakata Sh., Asaoka S., Misono M. Solid-State NMR of H3PW12O40·nH2O and H3PW12O40·6C2H5OH // Chem. Lett. 1988. V. 17(1). P. 139–142. https://doi.org/10.1246/cl.1988.139
- Mastikhin V.M., Kulikov S.M., Nosov A.V., Kozhevnikov I.V., Mudrakovsky I.L., Timofeeva M.N. 1H and 31P MAS NMR studies of solid heteropolyacids and H3PW12O40 supported on SiO2 // J. Mol. Catal. 1990. V. 60(1). P. 65–70. https://doi.org/10.1016/0304-5102(90)85068-S
- Mastikhin V.M., Terskikh V.V., Timofeeva M.N., Krivoruchko O.P. 1H, 31P NMR MAS, infrared and catalytic studies of heteropolyacid H3PW12O40 supported on MgF2 // J. Mol. Catal. A 1995. V. 95(2). P. 135–140. https://doi.org/10.1016/1381-1169(94)00003-4
- Filek U., Bressel A., Sulikowski B., Hunger M. Structural Stability and Brønsted Acidity of Thermally Treated AlPW12O40 in Comparison with H3PW12O40 // J. Phys. Chem. C. 2008. V. 112(49). P. 19470–19476. https://doi.org/10.1021/jp807947v
- Misono M., Sakata K., Yoneda Y., Lee W.Y. Acid-redox bifunctional properties of heteropoly compounds of molybdenum and tungsten correlated with catalytic activity for oxidation of methacrolein. Elsevier, Kodansha, Tokyo. 1980. ID1047.
- Hunger M. Bronsted Acid Sites in Zeolites Characterized by Multinuclear Solid-State NMR Spectroscopy // Catal. Rev.-Sci. Eng. 1997. V. 39. P. 345–393. https://doi.org/10.1080/01614949708007100
- McMurry J. Fundamentals of organic chemistry. Cengage learning. Stamford. 2011.
- Jiang Y., Hunger M., Wang W. On the reactivity of surface methoxy species in acidic zeolites // J. Am. Chem. Soc. 2006. V. 128. P. 11679–11692. https://doi.org/10.1021/ja061018y
- Bhan A., Allian A.D., Sunley G.J., Law D.J., Iglesia E. Specificity of Sites within Eight-Membered Ring Zeolite Channels for Carbonylation of Methyls to Acetyls // J. Am. Chem. Soc. 2006. V. 129(16). P. 4919–4924. https://doi.org/10.1021/ja070094d
- Maksimov G.M., Paukshis E.A., Budneva A.A., Maksimovskay R.I., Likholobov B.A. // Acidity of heteropoly acids with various structures and compositions studied by IR spectroscopy of the pyridinium salts // Russ. Chem. Bull. Int. Ed. 2001. V. 20. P. 584–590. https://doi.org/10.1023/A:1011384005996
- Shen H., Li Y., Huang Sh., Cai K., Cheng Z., Lv J., Ma X. The carbonylation of dimethyl ether catalyzed by supported heteropoly acids: the role of Bronsted acid properties // Catal. Today 2019. V. 330. P. 117–123. https://doi.org/10.1016/j.cattod.2018.04.001
- Khder A.E.R.S., Hassan H.M.A., El-Shall M.S. Acid catalyzed organic transformations by heteropoly tungstophosphoric acid supported on MCM-41 // Appl. Catal. A Gen. 2012. V. 411–412. P. 77–86. https://doi.org/10.1016/j.apcata.2011.10.024
- Sushkevich V.L., Ordomsky V.V., Ivanova I.I. Isoprene synthesis from formaldehyde and isobutene over Keggin-type heteropolyacids supported on silica // Catal. Sci. Technol. 2016. V. 6. P. 6354–6364. https://doi.org/10.1039/C6CY00761A
Supplementary files















