Влияние аниона аммиачного комплекса серебра на активность сформированных in situ Ag/TiO2-катализаторов
- Authors: Садовников А.А.1,2, Новоселова К.Н.3, Судьин В.В.4, Наранов Е.Р.1
-
Affiliations:
- Институт нефтехимического синтеза имени А. В. Топчиева РАН
- Институт общей и неорганической химии имени Н. С. Курнакова РАН
- Национальный исследовательский университет “Высшая школа экономики”
- ООО “Завод Аэролайф”
- Issue: Vol 64, No 5 (2024)
- Pages: 491–498
- Section: Articles
- URL: https://bakhtiniada.ru/0028-2421/article/view/280867
- DOI: https://doi.org/10.31857/S0028242124050077
- EDN: https://elibrary.ru/MUOIUL
- ID: 280867
Cite item
Full Text
Abstract
В данной работе изучено влияние исходных комплексов серебра на активность полученных фотокатализаторов Ag/TiO2 в процессе газофазного фотоокисления ацетона. Физико-химические свойства катализаторов были исследованы методами РФЭС, РФА и РЭМ. Методом РФЭС показано, что серебро находится в металлическом состоянии. Наибольшей активностью в реакции фотокаталитического окисления ацетона обладал катализатор, полученный в присутствии фторид аниона. Увеличение количества серебра в катализаторе с 0.1 до 0.5 ат.% приводит к снижению активности, что обусловлено поглощением света наночастицами серебра на поверхности фотокатализатора.
Full Text
Нанокристаллический диоксид титана и созданные на его основе материалы широко используются в качестве катализаторов для фотокаталитической очистки воды и воздуха, а также являются составляющими фотоэлектрохимических устройств, преобразующих солнечную энергию в ячейках Гретцеля [1, 2]. Эффективность подобных материалов на основе диоксида титана может сильно варьироваться и зависит от их морфологии, а также присутствия на поверхности TiO2 различных ионов и допантов. Так, модификация поверхности различными анионами может как увеличивать фотокаталитическую активность в случае нитрат анионов [3, 4], так и уменьшать в случае сорбированных на поверхности сульфат анионов [3]. Отдельное внимание заслуживает модификация поверхности диоксида титана галогенид-анионами. Ряд исследователей показали, что фторирование поверхности диоксида титана оказывает положительное влияние на его фотокаталитические свойства [5, 6]. Высокая фотоактивность таких катализаторов связана с множеством факторов: это и образование кристаллов TiO2 в форме усеченного октаэдра с доступными высокоэнергетическими гранями {001} [7, 8], и увеличение удельной поверхности и адсорбционных свойств [9, 10], и, как следствие, изменение механизма окисления [11]. Так, из-за меньшей доступности поверхностно-связанных гидроксилов по причине присутствия на поверхности адсорбированных фторид-ионов, окисление органических частиц происходит преимущественно за счет образования гидроксильных групп –OH [11, 12]. Модификация поверхности хлорид анионами также способна приводить к увеличению активности как для УФ-катализаторов, так и для катализаторов видимого света [13]. В работе было показано, что допирование диоксида титана бромид-анионами может приводить к сдвигу края полосы поглощения в видимую область и, как следствие, к увеличению активности [14]. Допирование диоксида титана металлами способствует смещению края полосы поглощения в видимую часть спектра. Так, катализаторы состава Ag/TiO2 демонстрируют фотокаталитическую активность выше чем у исходного TiO2, как при УФ-воздействии [15], так и при воздействии видимого света [16]. Также катализаторы можно получать как золь–гель-методом с помощью восстановителей [17] или УФ- облучением [18], так и газофазным напылением серебра на поверхность диоксида титана [19].
В свою очередь ацетон — вещество, интенсивно используемое на различных производствах и в лабораториях в качестве органического сырья для синтеза, растворителя и компонента чистящих средств. Во всех этих случаях важно контролировать концентрацию ацетона вследствие его легкой воспламеняемости и высокой токсичности.
Максимально разовая ПДК рабочей зоны для ацетона составляет 800 мг/м3 [ГН 2.2.5.3532-18 “Предельно допустимые концентрации (ПДК) вредных веществ в воздухе рабочей зоны”].
Воздействие высоких концентраций ацетона порядка 1000 млн долей вызывает раздражение носа и горла, провоцирует головную боль, тошноту, рвоту, вызывает чувство сонливости, может привести к повреждениям нервных тканей и почек [20, 21].
В связи с этим необходима разработка катализаторов, способных эффективно проводить процесс окисления летучих органических соединений. Анализ литературы показывает, что к настоящему времени отсутствуют работы, сравнивающие влияние галогенид анионов на фотокаталитическую активность TiO2 в газофазных реакциях, в том числе в реакции окисления ацетона.
Цель работы — получение in situ в процессе фотоокисления ацетона под действием УФ-излучения фотокатализаторов Ag/TiO2 и исследование влияния галогенид-анионов в предшественнике серебра на их фотокаталитическую активность. Отметим, что такие фотокатализаторы имеют потенциал применения в реакции фотокаталитического восстановления углекислого газа в ценные химические продукты [22].
Экспериментальная часть
Для получения катализаторов использовали следующие реактивы: TiO2 Hombikat UV100 Sachtleben Chemie GmbH (Sуд = 310 м2/г), нитрат серебра (ч. д. а., ООО “АО Реахим”), 25% водный раствор аммиака (ч. д. а., ООО ТД “Химмед”), хлорид аммония (ч., ООО “АО Реахим”), бромид аммония (х. ч., ООО “АО Реахим”), иодид аммония (х. ч., ООО “АО Реахим”), дистиллированная вода ГОСТ 6709-72.
Синтез фотокатализаторов Ag/TiO2
К заданному количеству AgNO3 и соли аммония (NH4Hal) добавляли 2.75 М водный раствор аммиака до растворения осадка с образованием соответствующего комплекса [Ag(NH3)2]Hal и достижения pH 10 при непрерывном перемешивании на магнитной мешалке. pH суспензии контролировали с помощью pH-метра И-160МИ. Полученным 0.03 М раствором комплекса пропитывали по влагоемкости навеску TiO2 и наносили на поверхность стеклянной чашки Петри диаметром 70 мм; расчетная концентрация серебра в образце составляла 0.1 ат.%. После чего катализатор высушивали на воздухе.
Эксперименты по фотоокислению проводили в камере, снабженной источником с 12 УФ-светодиодами, электрической мощностью 3 Вт каждый, с максимумом излучения на длине волны 365 нм. Расстояние между источником и поверхностью фотокатализатора составляло 25 мм. Скорость потока газа контролировалась с помощью газового расходомера и составляла 0.5 л/мин. Принципиальная схема установки представлена на схеме (рис. 1). Определение концентрации ацетона и CO2 в воздухе в процессе фотокаталитического окисления проводили по интегрированию характеристических полос соединений в ИК-спектрах в ходе фотокаталитической реакции. Для ацетона в пределах 1165–1256 см–1, для CO2–2281–2399 см–1. Измерение проводили при помощи ИК-Фурье спектрометра ФТ-801 под управлением ПО ZaIR3.5 (ООО НПФ “СИМЕКС”). Рассчитывали относительную концентрацию (млн д.) используя коэффициент экстинкции в единицах (млн д. —1 см–2) [23]. Длина оптического пути составляла 18 см. Для снижения влияния атмосферного СО2 ИК-спектрометр был помещен в герметичный бокс. Эффективность фотокаталитического окисления (Ф) рассчитывали по следующей формуле:
Ф (моль мин–1 Вт–1) =,
где CCO2 – максимальная концентрация образующегося CO2, υ — скорость потока газа, P — мощность излучения.
Рис. 1. Схема стенда для измерения фотокаталитической активности: 1 — ИК-Фурье спектрометр, 2 — газовая кювета, 3 — фотореактор, 4 — фотокатализатор, 5 — УФ-светодиод, 6 — вентилятор, 7 — раствор хлорида лития, 8 — раствор NaOHконц, 9 — угольный фильтр, 10 — насос, 11 — вход воздуха.
Для анализа фазового состава катализаторов Ag/TiO2/Hal использовали рентгенофазовый анализ (РФА). Дифрактограммы регистрировали в диапазоне 2θ 10°–80° с шагом 0.02 со скоростью 1°/мин на приборе Rigaku Rotaflex D/MAX-RC (Rigaku, Япония). Фазовый состав определяли с использованием справочной базы данных порошковых дифрактограмм ICDD PDF-2.
Исследование поверхности катализаторов методом РФЭС проводили на спектрометре PREVAC EA15 оснащенном полусферическим анализатором высокого разрешения. Для возбуждения спектров использовали характеристическое немонохроматизированное рентгеновское излучение AlKα (hν = 1486.6 эВ, 150 Вт). Давление остаточных газов в ходе измерения не 5×10–9 мбар. Шкала энергий связи (Есв) была предварительно откалибрована по положению фотоэлектронных линий остовных уровней золота (Au4f7/2 – 84.0 эВ), серебра (Ag3d5/2 – 368.3 эВ). Эффект зарядки, возникающий̆ в процессе фотоэмиссии электронов, учитывали, используя в качестве внутреннего стандарта положение линии C1s (Есв= 284.8 эВ) атомов углерода, входящих в состав поверхностных примесей. Деконволюцию спектров проводили с использованием программного обеспечения CasaXPS с учетом параметров фона, рассчитанных по алгоритму Ширли.
Измерения удельной поверхности порошков Ag/TiO2/Hal проводили методом низкотемпературной адсорбции азота с использованием анализатора Катакон АТХ-06. Парциальное давление азота определяли с использованием катарометра. Площадь удельной поверхности образцов рассчитывали с использованием модели Брунауэра–Эммета–Теллера по 5 точкам. Перед измерениями образцы массой 100 мг дегазировали при температуре 200°С в токе гелия в течение 60 минут.
Морфологию полученных катализаторов методом растровой электронной микроскопии исследовали с помощью микроскопа Carl Zeiss NVision 40, оснащенного анализатором X-Max Oxford Instruments (80 мм2).
Результаты и их обсуждение
Единственно детектируемыми в газовой фазе продуктами реакции фотоокисления ацетона являются углекислый газ и вода (уравнение 1) [24].
CH3COCH3 + 4O2 3CO2 + 3H2O. (1)
Известно, что влажность может изменять скорость фотокаталитической реакции [25], как уменьшая, так и увеличивая ее в зависимости от исходного разлагаемого соединения. Поэтому в экспериментах влажность контролировали пропусканием газовой смеси через насыщенный раствор хлорида лития.
Исследование каталитической активности показало, что при окислении при УФ-воздействии концентрация получаемого углекислого газа составляет от 2000 млн долей для образца Ag/TiO2 до 4396 млн долей для образца Ag/TiO2/F (рис. 2а). Данный положительный эффект в первую очередь может быть связан как с образованием наноразмерных частиц серебра, так и изменением сорбционных свойств вследствие наличия на поверхности связей Ti–Hal. Так, фторид анион способствует сорбции молекул воды на поверхности диоксиде титана [26], окисляющейся, в свою очередь, на ней с образованием –OH, который уже участвует в окислении ацетона.
Рис. 2. Зависимость концентрации образуемого СО2 (а) и эффективности фотокаталитического окисления (б) от используемого катализатора и условий облучения.
Изменение источника излучения с УФ на видимый свет (4 светодиода с длиной волны 470 нм по 3 Вт каждый) приводит к уменьшению каталитической активности. Для образца без серебра и катализатора, полученного из нитрата серебра, в видимом свете активности не наблюдалось вовсе, в то время как образцы Ag/TiO2/Hal демонстрируют схожую зависимость, как и при УФ-окислении. Максимальное значение концентрации углекислого газа составило 224 и 210 млн долей для образцов Ag/TiO2/F и Ag/TiO2/I соответственно. Для образца, полученного из иодидного комплекса, это может быть обусловлено обратимым переходом иодид аниона на поверхности диоксида титана в иодат анион с увеличением каталитической активности [27].
При увеличении содержания серебра в катализаторе с 0.1 до 0.5 ат.% активность (в УФ-окислении ацетона) для образца Ag/TiO2 падает с 2000 млн долей (выход CO2) до 1105 млн долей, при дальнейшем увеличении серебра до 2.5 ат.% до 191 млн долей.
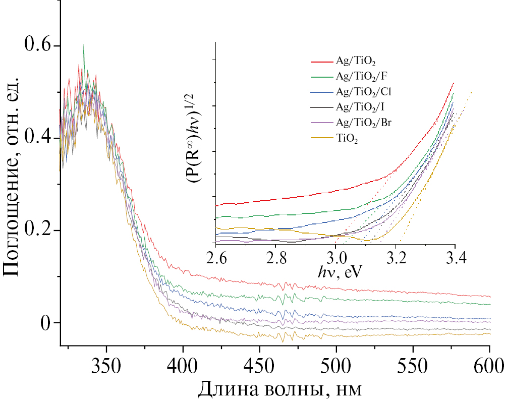
При изучении фазового состава полученных катализаторов наблюдались рефлексы диоксида титана со структурой анатаза (JCPDS No. 21–1272), анализ которых определил размер частиц TiO2 как ~8 нм (рис. 3). В свою очередь рефлексов от кристаллического серебра обнаружено не было, так как количество Ag (~0.1 ат.% по данным РСМА, табл. 1) недостаточно для идентификации металла данным методом. Площадь удельной поверхности всех полученных катализаторов составила ~300 м2/г. Спектроскопия диффузного отражения показывает небольшой сдвиг края полосы поглощения в видимую область спектра по отношению к образцу сравнения.
Рис. 3. Рентгенограммы полученных in situ Ag/TiO2-катализаторов в реакции фотоокисления ацетона в присутствии различных аммиачных комплексов серебра и образца сравнения Hombikat UV100.
Рис. 4. Спектр поглощения и перестроенные спектры в координатах Тауца полученных in situ Ag/TiO2 и образца сравнения Hombikat UV100.
Таблица 1. Содержание Ag в образцах фотокатализаторов и рассчитанное значение ширины запрещенной зоны
Содержание Ag, ат.% | Eg, эВ | |
TiO2 | – | 3.21 |
Ag/TiO2 | 0.13±0.02 | 2.99 |
Ag/TiO2/F | 0.11±0.02 | 3.03 |
Ag/TiO2/Cl | 0.09±0.01 | 3.08 |
Ag/TiO2/Br | 0.08±0.01 | 3.14 |
Ag/TiO2/I | 0.10±0.02 | 3.11 |
По данным РСМА, содержание серебра составляло порядка 0.1 ат.%. Ширина запрещенной зоны составляет от 2.99 до 3.21 эВ для образца диоксида титана без серебра.
В табл. 2 представлен состав поверхности катализатора Ag/TiO2/F, концентрация атомов O, Ti и Ag составляет 73.87, 26.06, 0.07 ат.% соответственно. После аппроксимации спектров, можно заметить, что Ti находится в одном состоянии, отвечающем Ti(IV) в TiO2 [28]. После аппроксимации спектра O1s можно утверждать, что атомы кислорода, в свою очередь, находятся в трех состояниях: O–Ti, O–H, O–H (из H2O, адсорбированной на поверхности диоксида титана). Для спектра углерода можно наблюдать состояние в виде CO2 или CO32–, что напрямую связано с сорбцией продуктов фотоокисления ацетона на поверхности катализаторов. Согласно результатам РФЭС атомов галогенов на поверхности обнаружено не было (рис. 5). Указанные в табл. 2 значения энергии связи для Ti2p, O1s и Ag3d в их состояниях согласуются с литературными данными.
Рис. 5. РФЭС спектры: (а) — Ti2p, (б) — O1s, (в) — Ag3d, полученного in situ катализатора Ag/TiO2/F в реакции фотокаталитического окисления ацетона.
Таблица 2. Состав поверхности полученного in situ Ag/TiO2/F-фотокатализатора
Элемент | Ag/TiO2/F | |||
энергия связи, эВ | доля,% | доля, ат.% | ||
Ti | 2p3/2 | 458.8 (TiO2) | 73.87 | 100 |
2p1/2 | 464.5 (TiO2) | |||
O | 1s | 530.3 (Ti–O) | 26.06 | 65.2 |
1s | 531.7 (Ti–OH) | 27.7 | ||
1s | 533.4(H2O адс) | 7.1 | ||
Ag | 3d5/2 | 367.9 (Ag(0) [29] | 0.07 | 100 |
3d3/2 | 373.9 (Ag(0) [29] | |||
На микрофотографиях (рис. 6) полученного Ag/TiO2/F-катализатора методом РЭМ, видны агрегаты из наночастиц диоксида титана размером от 2 до 10 мкм, сформированные из наночастиц размером ~8 нм. На микрофотографии справа в режиме фазового контраста отлично видны наночастицы серебра, которые не были обнаружены с помощью рентгенофазового анализа. Данные катализатора элементного анализа подтверждают наличие серебра в количестве ~0.1 ат.%, в то время как атомы галогенов обнаружены не были.
Рис. 6. Микрофотографии, полученные с использованием РЭМ, сформированного in situ Ag/TiO2/F-катализатора в присутствии хинолина в реакции фотокаталитического окисления ацетона.
Заключение
В ходе исследования были in situ получены катализаторы Ag/TiO2 из аммиачного комплекса серебра с различными анионами. Методом РФЭС выявлено, что при данном способе получения Ag (0.1 ат.%) серебро находится в металлическом состоянии. В реакции фотоокисления ацетона наибольшей активностью обладает катализатор, полученный в присутствии фторид- и иодид- анионов. Показано, что полученные катализаторы также обладают активностью при воздействии видимого света. Таким образом, метод in situ получения фотокатализаторов состава Ag/TiO2 является перспективным для создания проточных фотокаталитических установок по окислению летучих органических соединений.
Благодарности
Работа выполнена с использованием оборудования ЦКП “Аналитический центр проблем глубокой переработки нефти и нефтехимии” ИНХС РАН. Авторы выражают благодарность ЦКП ФМИ ИОНХ РАН за содействие в проведении исследований свойств катализаторов методом растровой электронной микроскопии. Аттестация синтезированных образцов гетерогенных катализаторов выполнена при финансовой поддержке Минобрнауки России (Соглашение № 075-15-2021-1363).
Финансирование
Исследования проводились в рамках проекта РНФ № 23-23-00662.
Конфликт интересов
Авторы заявляют об отсутствии конфликта интересов, требующего раскрытия в данной статье.
About the authors
Алексей Александрович Садовников
Институт нефтехимического синтеза имени А. В. Топчиева РАН; Институт общей и неорганической химии имени Н. С. Курнакова РАН
Email: naranov@ips.ac.ru
ORCID iD: 0000-0002-3574-0039
Russian Federation, 119991, Москва; 119991, Москва
Кристина Николаевна Новоселова
Национальный исследовательский университет “Высшая школа экономики”
Email: naranov@ips.ac.ru
ORCID iD: 0009-0006-4139-1476
Russian Federation, 101000, Москва
Владислав Витальевич Судьин
ООО “Завод Аэролайф”
Email: naranov@ips.ac.ru
ORCID iD: 0000-0001-9091-855X
к. ф.- м. н.
Russian Federation, 119048, МоскваЕвгений Русланович Наранов
Институт нефтехимического синтеза имени А. В. Топчиева РАН
Author for correspondence.
Email: naranov@ips.ac.ru
ORCID iD: 0000-0002-3815-9565
к. х. н.
Russian Federation, 119991, МоскваReferences
- Nakata K., Fujishima A. TiO2 photocatalysis: Design and applications. // J. of Photochemistry and Photobiology C: Photochemistry Reviews. 2012. V. 13. № 3. P. 169–189. https://doi.org/10.1016/j.jphotochemrev.2012.06.001
- Regan B. O., Grätzel M. A low-cost, high-efficiency solar cell based on dye-sensitized colloidal TiO2 films // Nature. 1991. V. 353. № 6346. P. 737–740. https://doi.org/10.1038/353737a0
- Abdullah M., Low G. K.C., Matthews R.W. Effects of common inorganic anions on rates of photocatalytic oxidation of organic carbon over illuminated titanium // J. Phys. Chem. 1990. V. 94. P. 6820–6825. https://doi.org/10.1021/j100380a051
- Ivanov V.K., Maksimov V.D., Shaporev A.S., Baranchikov A. E., Churagulov B. P., Zvereva I. A., Tret’yakov Yu. D. Hydrothermal synthesis of efficient TiO2-based photocatalysts // Russ. J. Inorg. Chem. 2010. V. 55. № 2. P. 150–154. https://doi.org/10.1134/S0036023610020026
- Sadovnikov A.A., Baranchikov A.E., Zubavichus Y.V., Ivanova O.S., Murzin V.Y., Kozik V.V., Ivanov V.K. Photocatalytically active fluorinated nano-titania synthesized by microwave-assisted hydrothermal treatment // J. of Photochemistry and Photobiology A: Chemistry. 2015. V. 303–304. P. 36–43. https://doi.org/10.1016/j.jphotochem.2015.01.010
- Sadovnikov A.A., Naranov E.R., Maksimov A.L., Baranchikov A.E., Ivanov V.K. Photocatalytic activity of fluorinated titanium dioxide in ozone decomposition // Russ J Appl Chem. 2022. V. 95. № 1. P. 118–125. https://doi.org/10.1134/S1070427222010153
- Yang H., Sun C., Qiao S. et al. Anatase TiO2 single crystals with a large percentage of reactive facets // Nature. 2008. V. 453. № 7195. P. 638–641. https://doi.org/10.1038/nature06964
- Henderson M.A. A surface science perspective on TiO2 photocatalysis. // Surface Science Reports. 2011. V. 66. № 6. P. 185–297. https://doi.org/10.1016/j.surfrep.2011.01.001
- Yu W., Liu X., Pan L., Li J., Liu J., Zhang J., Li P., Chen C., Sun Z. Enhanced visible light photocatalytic degradation of methylene blue by F-doped TiO2 // Applied Surface Science. 2014. V. 319. P. 107–112. https://doi.org/10.1016/j.apsusc.2014.07.038
- Díaz-Sánchez M., Reñones P., Mena-Palomo I., López-Collazo E., Fresno F., Oropeza F.E., Prashar S., de la Peña O’Shea V.A., Gómez-Ruiz S. Ionic liquid-assisted synthesis of F-doped titanium dioxide nanomaterials with high surface area for multi-functional catalytic and photocatalytic applications // Applied Catalysis A: General. 2021. V. 613. ID118029. https://doi.org/10.1016/j.apcata.2021.118029
- Schneider J., Matsuoka M., Takeuchi M., Zhang J., Horiuchi Y., Anpo M., Bahnemann D. W. Understanding TiO2 photocatalysis: mechanisms and materials // Chem. Rev. 2014. V. 114. № 19. P. 9919–9986. https://doi.org/10.1021/cr5001892
- Lv K., Guo X., Wu X., Li Q., Ho W., Li M., Ye H., Du D. Photocatalytic selective oxidation of phenol to produce dihydroxybenzenes in a TiO2/UV system: Hydroxyl radical versus hole // Applied Catalysis B: Environmental. 2016. V. 199. P. 405–411. https://doi.org/10.1016/j.apcatb.2016.06.049
- Yuan R., Chen T., Fei E., Lin J., Ding Z., Long J., Zhang Z., Fu X., Liu P., Wu L., Wang X. Surface chlorination of TiO2-based photocatalysts: A Way to remarkably improve photocatalytic activity in both UV and visible region // ACS Catal. 2011. V. 1. № 3. P. 200–206. https://doi.org/10.1021/cs100122v
- Luo H., Takata T., Lee Y., Zhao J., Domen K., Yan Х. Photocatalytic activity enhancing for titanium dioxide by co-doping with bromine and chlorine // Chem. Mater. 2004. V. 16. № 5. P. 846–849. https://doi.org/10.1021/cm035090w
- Lee W., Shen H.-S., Dwight K., Wold A. Effect of Silver on the Photocatalytic Activity of TiO2 // J. of Solid State Chemistry. 1993. V. 106. № 2. P. 288–294. https://doi.org/10.1006/jssc.1993.1288
- Sanzone G., Zimbone M., Cacciato G., Ruffino F., Carles R., Privitera V., Grimaldi M. G. Ag/TiO2 nanocomposite for visible light-driven photocatalysis. // Superlattices and Microstructures. 2018. V. 123. P. 394–402. https://doi.org/10.1016/j.spmi.2018.09.028
- Lee M. S., Hong S.-S., Mohseni M. Synthesis of photocatalytic nanosized TiO2–Ag particles with sol–gel method using reduction agent // J. of Molecular Catalysis A: Chemical. 2005. V. 242. № 1. P. 135–140. https://doi.org/10.1016/j.molcata.2005.07.038
- Arabatzis I. M., Stergiopoulos T., Bernard M. C., Labou D., Neophytides S. G., Falaras P. Silver-modified titanium dioxide thin films for efficient photodegradation of methyl orange // Applied Catalysis B: Environmental. 2003. V. 42. № 2. P. 187–201. https://doi.org/10.1016/S0926-3373(02)00233-3
- Li C.-H., Hsieh Y.-H., Chiu W.-T., Liu C.-C., Kao C.-L. Study on preparation and photocatalytic performance of Ag/TiO2 and Pt/TiO2 photocatalysts // Separation and Purification Technology. 2007. V. 58. № 1. P. 148–151. https://doi.org/10.1016/j.seppur.2007.07.013
- Williams J., Koppmann R. Volatile Organic Compounds in the Atmosphere // Wiley Online Books. 2007. P. 1–32. https://doi.org/10.1002/9780470988657.ch1
- Sun L., Yao Z., Haidry A. A., Li Z., Fatima Q., Xie L. Facile one-step synthesis of TiO2 microrods surface modified with Cr2O3 nanoparticles for acetone sensor applications // J. Mater Sci: Mater Electron. 2018. V. 29. № 17. P. 14546–14556. https://doi.org/10.1007/s10854-018-9589-8
- Yu B., Zhou Y., Li P., Tu W., Li P., Tang L., Ye J., Zou Z. Photocatalytic reduction of CO2 over Ag/TiO2 nanocomposites prepared with a simple and rapid silver mirror method // Nanoscale. 2016. V. 8. № 23. P. 11870–11874. https://doi.org/10.1039/C6NR02547A
- Selishchev D.S., Kolinko P.A., Kozlov D.V. Influence of adsorption on the photocatalytic properties of TiO2/AC composite materials in the acetone and cyclohexane vapor photooxidation reactions // J. of Photochemistry and Photobiology A: Chemistry. 2012. V. 229. № 1. P. 11–19. https://doi.org/10.1016/j.jphotochem.2011.12.006
- Bianchi C.L., Gatto S., Pirola C., Naldoni A., Di Michele A., Cerrato G., Crocellà V., Capucci V. Photocatalytic degradation of acetone, acetaldehyde and toluene in gas-phase: Comparison between nano and micro-sized TiO2 // Applied Catalysis B: Environmental. 2014. V. 146. P. 123–130. https://doi.org/10.1016/j.apcatb.2013.02.047
- Choi W., Ko J.Y., Park H., Chung J.S. Investigation on TiO2-coated optical fibers for gas-phase photocatalytic oxidation of acetone // Applied Catalysis B: Environmental. 2001. V. 31. № 3. P. 209–220. https://doi.org/10.1016/S0926-3373(00)00281-2
- Barsukov D.V., Saprykin A.V., Subbotina I.R., Usachev N.Ya. Beneficial effect of TiO2 surface fluorination on the complete photooxidation of ethanol vapor // Mendeleev Communications. 2017. V. 27. № 3. P. 248–250. https://doi.org/10.1016/j.mencom.2017.05.010
- Su W., Zhang Y., LiZ., Wu L., Wang X., Li J., Fu X.Multivalency iodine doped TiO2: preparation, characterization, theoretical studies, and visible-light photocatalysis // Langmuir. 2008. V. 24. № 7. P. 3422–3428. https://doi.org/10.1021/la701645y
- Yang L., Jiang X., Ruan W., Yang J., Zhao B., Xu W., Lombardi J. R. Charge-transfer-induced surface-enhanced raman scattering on Ag–TiO2 nanocomposites // J. Phys. Chem. C. 2009. V. 113. № 36. P. 16226–16231. https://doi.org/10.1021/jp903600r
- Zhang J., Li Y., Zhang Y., Chen M., Wang L., Zhang C., He H. Effect of support on the activity of Ag-based catalysts for formaldehyde oxidation // Sci. Rep. 2015. V. 5. № 1. P. 12950. https://doi.org/10.1038/srep12950
Supplementary files







