Особенности термохимических превращений тяжелой смолы пиролиза при синтезе нефтеполимерной смолы
- Authors: Юсевич А.И.1, Трусов К.И.1
 - 
							Affiliations: 
							
- Белорусский государственный технологический университет
 
 - Issue: Vol 64, No 5 (2024)
 - Pages: 447–463
 - Section: Articles
 - URL: https://bakhtiniada.ru/0028-2421/article/view/280846
 - DOI: https://doi.org/10.31857/S0028242124050031
 - EDN: https://elibrary.ru/MVEJCH
 - ID: 280846
 
Cite item
Full Text
Abstract
Осуществлен синтез нефтеполимерной смолы путем термической полимеризации непредельных соединений тяжелой смолы пиролиза в автоклаве с мешалкой с последующей отгонкой непревращенных углеводородов под вакуумом. Определены кинетические параметры брутто-реакции по изменению иодного числа реакционной смеси, оценен вклад различных типов двойных связей в суммарный процесс полимеризации по данным инфракрасной спектроскопии. Методом хромато-масс-спектрометрии изучен состав дистиллятной фракции тяжелой смолы пиролиза до и после термической обработки. Определены групповой и элементный составы, физико-химические свойства вакуумного остатка тяжелой смолы пиролиза и нефтеполимерной смолы, изучены особенности их термохимических превращений методом термогравиметрии. На основе 1H и 13C спектров ЯМР установлены структурно-химические параметры исходных и вновь образующихся высокомолекулярных соединений. Предложен химизм их образования из винилароматических углеводородов, индена и его гомологов. Даны технологические рекомендации по повышению эффективности производства темных нефтеполимерных смол.
Keywords
Full Text
Тяжелая смола пиролиза (ТСП) — побочный продукт крупнотоннажного производства низших олефинов методом термического расщепления углеводородов. Выход ТСП может достигать 16 мас.% на сырье [1], что делает ее значимым вторичным материальным ресурсом.
ТСП представляет собой смесь непредельных и ароматических углеводородов С9+, кипящих выше 180°C. По способности перегоняться без разложения компоненты ТСП могут быть разделены на летучие и нелетучие. Летучая (низкомолекулярная) часть пиролизной смолы (Ткип ⪅ 340°C) наряду с алкил- и алкенилбензолами содержит инден, дициклопентадиен, нафталин, дифенил, флуорен, фенантрен, антрацен и их гомологи [2, 3] и может служить источником этих веществ для потребностей промышленного и препаративного органического синтеза. Нелетучая (высокомолекулярная) часть ТСП состоит из олигомеров непредельных соединений и высококонденсированных полиароматических углеводородов [4–6], являющихся прекурсорами нефтеполимерных смол (НПС) и пеков.
Массовая доля высокомолекулярных соединений в ТСП составляет около 40%, но может быть повышена до 64–68% за счет термической полимеризации низкомолекулярных непредельных углеводородов [7, 8], что используется для увеличения выхода НПС при их целевом получении из тяжелой смолы пиролиза. В процессе термической обработки ТСП наряду с образованием новых высокомолекулярных соединений, очевидно, изменяется химическая структура нелетучих веществ, изначально присутствовавших в пиролизной смоле, что в совокупности определяет свойства получаемой нефтеполимерной смолы.
Учитывая широкий спектр применения НПС: мягчители резин, модификаторы битумов, адгезивы клеевых композиций, пленкообразователи в лакокрасочных материалах, компоненты типографских красок и пр., — диапазон требований к их свойствам также широк. Чтобы прогнозировать и регулировать свойства нефтеполимерных смол, необходимо располагать знаниями об их химическом строении и реакционной способности. Наиболее изучен синтез НПС на основе дистиллятных фракций С5 и С8–С9 жидких продуктов пиролиза [9–14], но эти фракции более востребованы как источники диеновых и винилароматических мономеров для крупнотоннажного производства каучуков, полистирола, АБС-пластиков и др. В то же время химизм полимеризации менее дефицитной, но более сложной по составу остаточной фракции жидких продуктов пиролиза — ТСП — изучен недостаточно, что не позволяет в полной мере раскрыть потенциал получаемых из нее нефтеполимерных смол. Между тем НПС, синтезированные из тяжелой смолы пиролиза, могут быть перспективным сырьем для производства светлых углеводородных смол [15, 16], пекового углеродного волокна [17–19], анодов аккумуляторных батарей [20, 21]. Поэтому цель представляемой работы заключалась в изучении химических превращений низкомолекулярных и высокомолекулярных соединений ТСП при ее термической полимеризации.
Экспериментальная часть
Объект исследования — тяжелая смола пиролиза завода “Полимир” ОАО “Нафтан”, имеющая следующие характеристики: плотность при 20°С — 1.045 г/см3; иодное число — 58.8 г I2/100 г; массовая доля серы — 0.037%, воды — 0.12%, механических примесей — 0.0089%; температура перегонки 3% объема — 195°C; доля отгона при температуре 340°С — 56.5 мас.%. Показатели определяли по стандартным для нефтепродуктов методикам.
Синтез НПС осуществляли путем термической обработки ТСП в стальном реакторе Rexo Engineering Co., Ltd. объемом 1000 мл с лопастной мешалкой, наружным электрообогревом, встроенной петлей водяного охлаждения и микропроцессорным контроллером температуры, давления и скорости вращения мешалки CS-2000. Загрузка ТСП в реактор составляла 700 мл. Оптимальные условия синтеза были найдены в работе [8]: температура — 260°С, продолжительность термообработки — 7 ч, скорость вращения мешалки — 300 об/мин. Давление в реакторе зависело от упругости паров реакционной смеси и достигало максимального значения 2 бар (изб.). Для контроля за ходом процесса ежечасно через донный клапан отбирали пробы реакционной смеси, записывали их ИК-спектры и определяли иодные числа.
По окончании синтеза реакционную смесь охлаждали до 120°С, выгружали из реактора и разделяли на низкомолекулярную часть (дистиллят) и высокомолекулярную часть (кубовый остаток, представляющий собой НПС) перегонкой под вакуумом при 10 мм рт. ст. и конечной температуре отбора дистиллята 190°C. Аналогичным образом перегоняли и исходную ТСП.
Углеводородный состав дистиллятных фракций исходной ТСП и реакционной смеси после термообработки исследовали методом хромато-масс-спектрометрии на приборе Agilent 7890A/5975С (Agilent Technologies, США) с капиллярной колонкой HP-5MS (30 м × 0.25 мм × × 0.25 мкм) в режиме ионизации электронами с энергией 70 эВ. Температуру колонки с момента ввода пробы повышали от 80 до 300°С со скоростью 10°С/мин, затем поддерживали постоянной в течение 20 мин. Оценку содержания компонентов осуществляли методом внутренней нормализации без учета эффективности ионизации. Базовые линии при интегрировании хроматографических пиков проводили методом “от впадины к впадине”. Идентификацию веществ проводили по базе масс-спектров Национального института стандартов и технологии США NIST 11.
Для вакуумного остатка ТСП до и после термообработки определяли следующие показатели: температуру размягчения по ГОСТ 11506 на аппарате КиШ-20 (ОАО БСКБ “Нефтехимавтоматика”), плотность — методом гидростатического взвешивания по ГОСТ 15139 на аналитических весах Mettler Toledo XS105 DU (Швейцария), среднюю молекулярную массу — методом криоскопии в бензоле с использованием криотермостата жидкостного LOIP LT-912 и электронного термометра CENTER-375, элементный состав — методом сжигания пробы в CHNS/O-анализаторе Thermo Scientific FlashSmart Elemental Analyzer (США), иодное число по ГОСТ-2070, содержание асфальтенов (нерастворимых в н-гексане) и мальтенов (растворимых в н-гексане) — по методу Маркуссона. Кроме того, измеряли среднюю молекулярную массу и определяли элементный состав выделенных мальтенов и асфальтенов, а также записывали их спектры ядерного магнитного резонанса 1H (500 МГц) и 13C (125 МГц) на приборе Bruker Avance-500, США (растворитель — дейтерированный хлороформ) с целью структурно-группового анализа. Условия съемки спектра 1H: спектральная ширина 10504.2 Гц, задержка релаксации 10 с, число сканов 64. Условия съемки спектра 13C (с развязкой от протонов): спектральная ширина 30030.0 Гц, задержка релаксации 7 с, число сканов 1024.
Для оценки степени ассоциации асфальтенов в бензольном растворе при криоскопии дополнительно рассчитывали их среднюю молекулярную массу , исходя из правила аддитивности:
где xм, xа — массовые доли соответственно мальтенов и асфальтенов в вакуумном остатке; M — экспериментально определенная средняя молекулярная масса вакуумного остатка, Mм — экспериментально определенная средняя молекулярная масса мальтенов. Степень ассоциации асфальтенов вычисляли как соотношение их экспериментальной и расчетной средних молекулярных масс.
Термогравиметрический анализ (ТГА) вакуумных остатков осуществляли на приборе Mettler Toledo TGA/DSC-1/1600 HF (Швейцария) в атмосфере паро-газов (навеска 15 мг, тигель из оксида алюминия с крышкой объемом 70 мкл) в диапазоне температур 30–800°C со скоростью нагрева 5°C/мин.
ИК-спектры многократного нарушенного полного внутреннего отражения (МНПВО) исходной ТСП и образцов реакционной смеси, отобранных из реактора в разные моменты времени, регистрировали на ИК-Фурье спектрометре ФСМ 1202 (ООО “Инфраспек”) в диапазоне волновых чисел от 4000 до 600 см–1. По площадям соответствующих спектральных полос оценивали содержание непредельных связей: винильных — при 991 см–1, транс-этиленовых — при 945 см–1, винилиденовых — при 879 см–1, циклопентеновых (в индене и его гомологах) — при 767 см–1 [22].
Результаты и их обсуждение
В результате полимеризации непредельных соединений при термической обработке ТСП на 21.2 мас.% увеличился выход высокомолекулярной фракции — вакуумного остатка (табл. 1), на 18.7 г I2/100 г снизилось его иодное число и на 32 единицы возросла средняя молекулярная масса. Полученная НПС характеризовалась более высокими температурой размягчения и отношением C/H, но имела несколько меньшую плотность, чем вакуумный остаток исходной ТСП.
Таблица 1. Характеристика вакуумного остатка тяжелой смолы пиролиза до и после ее термической обработки
Показатель  | Значение для вакуумного остатка  | |
до термообработки  | после термообработки (НПС)  | |
Выход в расчете на ТСП, мас.%  | 43.5  | 64.7  | 
Плотность, кг/м3  | 1147  | 1100  | 
Иодное число, г I2/100 г  | 58.6  | 39.9  | 
Температура размягчения, °C  | 80.0  | 94.0  | 
Средняя молекулярная масса, криоскопическая  | 458.2  | 490.0  | 
Элементный состав, C/H/S, мас.%  | 92.31/7.65/0.04  | 92.92/7.06/0.02  | 
Содержание асфальтенов, мас.%  | 36.1  | 26.5  | 
Выход асфальтенов в расчете на ТСП, мас.%  | 15.7  | 17.2  | 
Средняя молекулярная масса асфальтенов, криоскопическая  | 1407.5  | 1356.0  | 
Средняя молекулярная масса асфальтенов, расчетная  | 610.7  | 644.0  | 
Средняя степень ассоциации молекул асфальтенов  | 2.3  | 2.1  | 
Элементный состав асфальтенов, C/H/S, мас.%  | 93.37/6.56/0.07  | 93.68/6.29/0.03  | 
Средняя молекулярная масса мальтенов, криоскопическая  | 401.5  | 451.1  | 
Элементный состав мальтенов, C/H/S,мас. %  | 91.71/8.27/0.02  | 92.65/7.34/0.01  | 
Содержание асфальтенов в НПС оказалось на 9.6 мас.% ниже, чем в вакуумном остатке исходной ТСП, что обусловлено небольшим, лишь в 1.5 мас.%, приростом выхода асфальтенов после термообработки. Это обстоятельство в совокупности с более низкой плотностью НПС говорит о том, что олигомеры, образующиеся в результате термической полимеризации низкомолекулярных непредельных соединений ТСП, пополняют преимущественно фракцию мальтенов. При этом несколько увеличивается средняя молекулярная масса мальтенов и растет отношение углерода к водороду в них (табл. 1).
Термообработка ТСП приводит также к увеличению C/H в асфальтенах, однако данные по изменению их молекулярной массы не столь однозначны. Так, измерения, выполненные методом криоскопии разбавленных бензольных растворов, показали, что средняя молекулярная масса асфальтенов, выделенных из НПС, на 51.5 единицы меньше, чем у “нативных” асфальтенов исходной ТСП. При этом измеренные молекулярные массы более чем в два раза превосходят свои расчетные значения, полученные на основе материального баланса. Такое различие можно объяснить тем, что при групповом анализе по Маркуссону асфальтены, будучи осажденными из бензольного раствора большим избытком гексана, лишаются стабилизирующих сольватных оболочек из мальтенов, теряют агрегативную устойчивость и образуют ассоциаты за счет ван-дер-ваальсовых сил между параллельно ориентированными полиароматическими фрагментами соседних молекул. Ассоциаты эти, по-видимому, столь прочны, что не разрушаются полностью при повторном растворении асфальтенов в бензоле и дают завышенное значение молекулярной массы при криоскопии. Следовательно, расчетное значение молекулярной массы представляется более достоверной оценкой истинной молекулярной массы асфальтенов, а соотношение криоскопической и расчетной молекулярных масс дает среднее число молекул в ассоциате.
Из табл. 1 следует, что в результате термообработки ТСП расчетная молекулярная масса асфальтенов увеличилась на 33.3 единицы при одновременном снижении степени ассоциации молекул. Относительно небольшой прирост средней молекулярной массы говорит о том, что отмеченное ранее увеличение выхода асфальтенов обусловлено скорее присоединением к ним одиночных малых молекул дистиллятной фракции, чем димеризацией мальтенов остаточной фракции. Присоединение низкомолекулярных непредельных соединений к асфальтенам может происходить по механизму алкилирования ароматического ядра либо по реакции Дильса–Альдера при наличии сопряженных двойных связей. В любом случае в молекулу асфальтена вносятся дополнительные алифатические и/или алкилароматические фрагменты, что нарушает ее планарность и затрудняет ассоциацию с другими молекулами асфальтенов.
Термические превращения низкомолекулярных непредельных соединений ТСП, очевидно, приводят к изменению состава ее дистиллятной фракции, что было изучено методом хромато-масс-спектрометрии (табл. 2). Из представленных данных видно, что летучие вещества исследуемой ТСП состоят в основном из ароматических углеводородов С8–С14.
Таблица 2. Групповой углеводородный состав дистиллятов, выделенных из тяжелой смолы пиролиза до и после термообработки, по данным хромато-масс-спектрометрии
Компоненты  | Площади хроматографических пиков*, Xi, %  | Содержание в дистилляте, Ci, мас.%  | Содержание в ТСП, ωi, мас.%  | ||||
до  | после  | до  | после  | до  | после  | ∆**  | |
Алкилбензолы С8–С10  | 8.55  | 16.22  | 9.45  | 18.18  | 5.34  | 6.42  | 20.2  | 
Алкенилбензолы С8–С11  | 14.61  | 9.02  | 16.21  | 9.55  | 9.16  | 3.37  | –63.2  | 
(Би)циклоалк(ди)ены С10–С13  | 1.85  | 0.00  | 1.52  | 0.00  | 0.86  | 0.00  | –100.0  | 
Индан  | 1.05  | 2.37  | 1.18  | 2.70  | 0.67  | 0.95  | 42.5  | 
Инден  | 6.46  | 1.14  | 7.40  | 1.32  | 4.18  | 0.47  | –88.9  | 
Алкилинданы С10–С11  | 1.03  | 2.56  | 1.04  | 2.58  | 0.59  | 0.91  | 55.3  | 
Алкилиндены С10–С11  | 11.98  | 7.00  | 11.96  | 6.95  | 6.76  | 2.45  | –63.7  | 
Тетралин  | 0.00  | 0.83  | 0.00  | 0.84  | 0.00  | 0.30  | –  | 
Дигидронафталины  | 2.56  | 1.06  | 2.62  | 1.09  | 1.48  | 0.39  | –73.9  | 
Нафталин  | 12.55  | 19.80  | 13.02  | 20.76  | 7.36  | 7.33  | –0.4  | 
Метилдигидронафталины  | 1.47  | 0.40  | 1.36  | 0.37  | 0.77  | 0.13  | –82.8  | 
Алкилнафталины С11–С13  | 19.08  | 28.81  | 17.33  | 26.54  | 9.79  | 9.37  | –4.3  | 
Бифенил  | 2.85  | 4.29  | 2.46  | 3.74  | 1.39  | 1.32  | –5.0  | 
1-Изопропенилнафталин  | 0.19  | 0.14  | 0.15  | 0.11  | 0.08  | 0.04  | –53.5  | 
Алкилбифенилы С13–С14  | 1.08  | 1.86  | 0.84  | 1.48  | 0.48  | 0.52  | 9.3  | 
Аценафтен  | 0.96  | 1.04  | 0.83  | 0.91  | 0.47  | 0.32  | –31.6  | 
Флуорен  | 1.89  | 0.97  | 1.51  | 0.78  | 0.85  | 0.28  | –67.6  | 
Метилфлуорены  | 1.47  | 0.95  | 1.08  | 0.71  | 0.61  | 0.25  | –59.2  | 
Фенантрен, антрацен  | 1.03  | 0.62  | 0.77  | 0.47  | 0.43  | 0.17  | –62.0  | 
ИТОГО:  | 90.66  | 99.08  | 90.73  | 99.08  | 51.26  | 34.98  | –  | 
* Относительные площади рассчитаны методом внутренней нормализации.
** Относительное изменение содержания компонента после термообработки, %.
Приведенные в табл. 2 относительные площади хроматографических пиков, Xi, соответствуют долям полного ионного тока анализируемой смеси, приходящимся на каждый индивидуальный или групповой компонент смеси. Величина Xi пропорциональна концентрации вещества (Ci):
где Qi — эффективное сечение ионизации молекулы i-го вещества; Qср — среднее значение сечений ионизации молекул разделяемой смеси. Величина Qi в общем случае зависит от молекулярной массы (Mi) и природы вещества. Однако сечение ионизации, отнесенное к единице массы вещества (Qmi), не зависит от молекулярной массы:
.
Кроме того, значения Qmi ароматических углеводородов варьируются в достаточно узком диапазоне. Так, по данным [23] были вычислены Qmi ряда аренов относительно толуола: этилбензола — 0.97; н-пропилбензола — 0.99; нафталина — 0.90; метилнафталина — 0.90; антрацена — 0.85. Из полученных результатов следует, что удельные сечения ионизации моно- и бициклических ароматических углеводородов различаются не более чем на 10%, моно- и трициклических — не более чем на 16.5%, а в гомологических рядах бензола и нафталина эти различия вовсе незначительны. Это позволило допустить, что (QiMср)/(QсрMi) ≈ 1, и рассчитать массовые доли компонентов дистиллятной фракции ТСП по формуле:
где Mср — средняя молекулярная масса дистиллятной фракции. Полученные концентрации Ci зависят от количества дистиллята, которое изменяется в результате термообработки ТСП. Поэтому для оценки степени конверсии различных групп углеводородов вычислили их содержание в ТСП: ωi = Ci (1 — β/100), где β — выход вакуумного остатка тяжелой смолы пиролиза, мас.% (табл. 1).
Из данных табл. 2 следует, что в дистилляте исходной ТСП велико содержание индивидуальных веществ — индена и нафталина. Среди групповых компонентов преобладают гомологи бензола, стирола и α-метилстирола, индена и нафталина. Винилнафталины отсутствуют вследствие их высокой склонности к термополимеризации (в 2000 раз выше, чем у стирола [24]). Из гомологов винилнафталинов обнаружен в небольшом количестве 1-изопропенилнафталин. Среди минорных компонентов были идентифицированы индан и алкилинданы, аценафтен, бифенил и алкилбифенилы, а также трициклические ароматические углеводороды: флуорен, фенантрен, антрацен и их метильные производные. В группу бициклических алкенов и диенов вошли дициклопентадиен и 5-фенилбицикло[2.2.1]гепт-2-ен (продукт реакции циклоприсоединения стирола к циклопентадиену). Примечательно наличие в ТСП дигидронафталинов, способных участвовать в реакциях переноса водорода.
В результате термической обработки ТСП в ней ожидаемо сильно уменьшилось содержание реакционноспособных мономеров: алкенилбензолов, индена и его гомологов, хотя они не расходовались полностью. В то же время степень конверсии бициклических непредельных соединений составила 100%. С другой стороны, в реакционной смеси появился тетралин, который, по-видимому, является продуктом диспропорционирования дигидронафталинов [25]. Кроме того, заметно увеличилось содержание алкилбензолов, индана и алкилинданов при эквивалентном уменьшении содержания дигидронафталинов и алкилдигидронафталинов, что может быть объяснено протеканием реакций перераспределения водорода:
Рассчитанные на основании справочных и литературных данных по термодинамическим свойствам веществ [26–29] свободные энергии Гиббса (∆G 0533) приведенных модельных реакций в газовой фазе при температуре 260°C (533 K) оказались меньше нуля, что говорит о термодинамической возможности такого рода превращений. При этом, однако, содержание нафталина и алкилнафталинов в реакционной смеси после термообработки не только не увеличилось, но даже немного уменьшилось (табл. 2). Это можно объяснить своего рода компенсационным эффектом, когда прибыль соединений нафталинового ряда в результате реакций перераспределения водорода нивелируется их убылью, например, в реакциях алкилирования в ароматическое ядро с образованием высокомолекулярных продуктов. То, что конденсированные ароматические углеводороды в условиях синтеза НПС расходуются, подтверждается значительным уменьшением содержания флуорена, метилфлуоренов, фенантрена и антрацена в реакционной смеси. В то же время концентрации неконденсированных бициклических аренов в ТСП после термообработки изменились слабо и разнонаправленно: содержание бифенила снизилось, а алкилбифенилов — возросло менее чем на 0.1 мас.%. По-видимому, зафиксированное изменение концентраций лежит в пределах погрешности измерений, и бифенилы не проявляют реакционной способности в условиях эксперимента.
Кинетику термической полимеризации непредельных соединений ТСП изучали по изменению иодного числа реакционной смеси в течение термообработки (рис. 1). Для оценки аррениусовских параметров брутто-процесса опыты проводили при двух температурах: 240 и 260°C. Иодные числа (ИЧ) переводили в моляльные концентрации двойных связей (C, моль/г) по формуле
Рис. 1. Кинетические кривые термической полимеризации непредельных соединений ТСП: 1, 1´— зависимости иодного числа реакционной смеси от времени реакции при температурах 260 и 240°C соответственно; 2, 2´— зависимости обратных концентраций двойных связей в реакционной смеси от времени реакции при температурах 260 и 240°С соответственно.
Зависимости концентрации от времени, C = f(τ) преобразовывали к линейному виду в различных координатах, изучая порядок реакции. При этом не удалось подобрать уравнение, удовлетворительно аппроксимирующее кинетические кривые во всем исследованном временном интервале, на основании чего было сделано предположение, что процесс термической полимеризации протекает в несколько стадий. В итоге наибольшие значения коэффициента линейной детерминации показало уравнение 1/C = k × τ + 1/C0 при разбиении кинетических кривых на два участка по времени: 0–2 и 2–7 ч. Параметры кинетических уравнений вместе с коэффициентами детерминации приведены рядом с соответствующими участками линейных зависимостей на рис. 1. На основании значений k при двух разных температурах были рассчитаны параметры уравнения Аррениуса (табл. 3).
Таблица 3. Кинетические параметры брутто-реакции термической полимеризации непредельных соединений ТСП
Параметр  | Значение для временного интервала  | |
0–2 ч  | 2–7 ч  | |
Порядок, n  | 2  | 2  | 
Предэкспоненциальный множитель, k0, г/(моль·ч)  | 4.41 × ١٠6  | 1.79 × 106  | 
Энергия активации, Еа, кДж/моль  | 47.5  | 49.0  | 
Таким образом, процесс термической полимеризации непредельных соединений ТСП протекает в две стадии, каждая из которых имеет второй порядок по реагентам. Первая стадия имеет более высокую константу скорости и длится ~2 ч. При этом энергии активации обеих стадий близки, и различие их скоростей обусловлено, прежде всего, стерическим фактором, очевидно, связанным с химической структурой реагентов, доминирующих на каждой из стадий. Для выяснения этого обстоятельства была изучена кинетика расходования различных двойных связей по изменению интенсивности соответствующих им полос δCsp2H в ИК-спектре реакционной смеси (рис. 2).
Рис. 2. ИК-спектры МНПВО ТСП в начале (сплошная линия) и после семи часов (пунктирная линия) термообработки. Над волновыми числами в скобках указаны значения коэффициента корреляции Пирсона между интенсивностями полос и иодным числом реакционной смеси.
Из рис. 2 видно, что в результате термообработки в спектре ТСП практически исчезла полоса при 991 см–1, относящаяся к винильной группе, заметно снизились интенсивности полос транс-этиленовой группы при 945 см–1 и циклоолефиновых групп при 767 и 717 см–1. Также сильно уменьшилась интенсивность интегральной полосы при 912 см–1, в которую вносят вклад δCsp2H-колебания всех вышеперечисленных групп. Вместе с тем площадь полосы при 879 см–1, относящейся к винилиденовым группам, практически не изменилась, т. е. последние не реакционноспособны в условиях синтеза НПС. Это хорошо согласуется с данными [30] о том, что α-метилстиролы подвергаются термической полимеризации лишь при высоких давлениях.
Кинетические кривые расходования разных олефиновых групп при термообработке ТСП представлены на рис. 3 в виде временных зависимостей интенсивности соответствующих спектральных полос, нормированных относительно интенсивности этих же полос в начальный момент времени. Из приведенных графиков следует, что при 260°С винильные группы (кривая 1) за 2 ч термополимеризации прореагировали на 96.5%, а за 4 ч были израсходованы практически полностью. Степень конверсии цис-этиленовых групп в инденах и дигидронафталинах (кривая 2) за 7 ч реакции достигла 95.5%. Наименее реакционноспособными оказались транс-этиленовые группы открытых цепей (кривая 3): к концу термообработки их степень конверсии составила 71.1%. Скорость превращения различных олефиновых связей в разной степени зависит от температуры термообработки. Так, при снижении температуры термообработки с 260 до 240°С время полуреакции винильных групп возросло на 0.1 ч, с 0.5 до 0.6 ч; цис-этиленовых групп — на 1.1 ч, с 1.6 до 2.7 ч; транс-этиленовых групп — на 3.5 ч, с 3.2 до 6.7 ч. Очевидно, симбатно приращению времени полуреакции должна изменяться энергия активации соответствующих превращений.
Рис. 3. Зависимость интенсивности олефиновых полос в ИК-спектре ТСП от времени ее термообработки: 1, 2, 3 — соответственно 991, 767 и 945 см–1 при 260°C; 1´, 2´, 3´ — то же при 240°C.
Выявленные различия в реакционной способности олефиновых групп объясняют двухстадийность брутто-процесса термической полимеризации непредельных соединений ТСП. В первые два часа реакции активно расходуются все виды двойных связей. Например, при 260°С к этому времени вклад каждой из групп в суммарную конверсию составил: винильных — 50%; циклоолефиновых — 31%; транс-этиленовых — 19%. После двух часов термообработки концентрация винильных групп в реакционной смеси сильно снижается, и главную роль в уменьшении иодного числа ТСП начинают играть превращения 1,2-дизамещенных алкенов. Так, вклад циклоолефиновых и транс-этиленовых групп в общую конверсию за промежуток времени с двух до семи часов реакции возрос до 49 и 46% соответственно, а винильных групп — уменьшился до 5%. Таким образом, значительная доля реакций относительно легкодоступных монозамещенных этиленов на первой стадии и доминирование реакций пространственно затрудненных 1,2-дизамещенных этиленов на второй стадии предопределяют отмеченные выше (табл. 3) меньшую энергию активации и более высокое значение предэкспоненциального множителя в начале процесса термической полимеризации непредельных соединений ТСП.
Термическую стабильность вакуумного остатка исходной ТСП и полученной из нее НПС изучали методом термогравиметрии (рис. 4). Из термограмм следует, что образцы теряют массу в интервале 200–636°С. При этом обе остаточные фракции химически неоднородны, и в процессе их термолиза можно выделить четыре стадии (I–IV) в соответствии с положениями максимумов на кривых ДТГ.
Рис. 4. Термограммы вакуумного остатка ТСП (1, 1´) и НПС (2, 2´): 1, 2 — кривые ТГ; 1´, 2´ — кривые ДТГ; I–IV — стадии реакции.
Первая стадия термолиза вакуумного остатка ТСП характеризуется максимумом скорости потери массы при 282°С и завершается к 306°С. Согласно классификации продуктов пиролиза по методу Rock-Eval [31], при температурах до 300°С выделяются т. н. свободные углеводороды, в нашем случае — летучие низкомолекулярные соединения, растворенные в тяжелом остатке перегонки.
Стадия I термолиза НПС не имеет выраженных экстремумов на кривой ДТГ, поэтому ее верхняя температурная граница была установлена такой же, как и у образца сравнения. Потеря массы у НПС на первой стадии ниже, чем у вакуумного остатка ТСП (табл. 4), что говорит о меньшем содержании в ней низкомолекулярных веществ. Это подтверждается более высокой средней мол. массой мальтенов НПС по сравнению с мальтенами, выделенными из остатка исходной ТСП (табл. 1). Отсюда можно сделать вывод, что термообработка ТСП способствует повышению четкости разделения фракций при перегонке, по-видимому, за счет упрощения состава смеси и увеличения относительной летучести низкомолекулярных и высокомолекулярных компонентов. С другой стороны, жидкие дистиллятные фракции пластифицируют твердый остаток перегонки, что объясняет меньшую температуру размягчения вакуумного остатка ТСП по сравнению с НПС (табл. 1).
Таблица 4. Данные термогравиметрического анализа вакуумного остатка ТСП и НПС
Образец  | TImaxа  | ∆WIб  | TIкв  | TIImaxа  | ∆WIIб  | TIIкв  | TIIImaxа  | ∆WIIIб  | TIIIкв  | TIVmaxа  | ∆WIVб  | TIVкв  | Wостг  | 
Вакуумный остаток ТСП  | 282  | 18.8  | 306  | 321  | 6.3  | 331  | 380  | 31.0  | 455  | 579  | 41.3  | 620  | 2.6  | 
НПС  | –  | 13.3  | 306  | 336  | 14.5  | 356  | 384  | 30.1  | 480  | 583  | 40.2  | 636  | 1.9  | 
а Температуры максимума скорости потери массы на I, II, III и IV стадиях, °С.
б Потеря массы на I, II, III и IV стадиях, %.
в Конечные температуры I, II, III и IV стадий, °С.
г Выход остатка термолиза, %.
Потеря массы при температурах выше 306°С связана с термодеструкцией образцов. Она протекает в три стадии (рис. 4), которые соответствуют разложению трех групп веществ (II, III и IV) с разной термической стабильностью. В целом деструкция НПС происходит при более высоких температурах, чем расщепление молекул вакуумного остатка ТСП. Если рассматривать параметр Timax (табл. 4) как меру термостойкости i-й группы веществ, то можно сделать вывод, что в результате термической обработки ТСП наиболее сильно, на 15°С, увеличивается термическая стабильность соединений II группы. В то же время температуры максимумов скорости потери массы III и IV групп возрастают только на 4°С. Это говорит о том, что наиболее существенные изменения химического состава претерпевают вещества II группы.
Уменьшение массы на каждой из стадий термодеструкции (табл. 4) соответствует содержанию одноименных групп веществ в образце. Содержание наименее термостойких веществ II группы в НПС на 8.2 мас.% выше, чем в вакуумном остатке ТСП. В то же время концентрация более термически стабильных соединений III и IV групп в НПС ниже на 0.9 и 1.1 мас.% соответственно. Таким образом, в процессе термообработки ТСП вновь образующиеся олигомеры пополняют в основном II группу веществ, из-за чего доля остальных групп в вакуумном остатке уменьшается.
В работе [32] изучали термическую стабильность нефтеполимерной смолы C9 (C9PR) методом термогравиметрии, совмещенной с ИК- и масс-спектрометрией. Было установлено, что C9PR теряет 85% своей массы в интервале температур 273–393°С с максимумом скорости разложения при 374°С. Среди летучих веществ были идентифицированы дициклопентадиен, стирол, инден и их гомологи, а также нафталин и алкилбензолы. При этом смола C9PR полностью растворима в уайт-спирите [33], на основании чего ее можно отнести к мальтенам. Сопоставление приведенных литературных данных с полученными нами (табл. 2 и 4) позволяет утверждать, что при термогравиметрии вакуумного остатка ТСП и НПС потеря массы на стадиях II и III обусловлена деалкилированием ароматических ядер и деполимеризацией мальтенов, входящих в состав образцов. При этом опубликованные данные термического анализа полииндена [34, 35], полистирола [36, 37] и стирольно-инденовых смол [38] указывают на то, что реакции деполимеризации активно протекают в температурном диапазоне, соответствующем стадии III на рис. 4.
Наиболее высокотемпературная IV стадия термолиза, начинающаяся после 455°С (табл. 4), связана с разложением асфальтенов и наиболее термостойкой части мальтенов и, по всей видимости, сопровождается деструкцией катаконденсированных ароматических структур. Так, например, известно [39], что антрацен разлагается до газообразных продуктов при 475°С. Вместе с тем выход кокса при термогравиметрии образцов мал. В частности, для вакуумного остатка ТСП он составляет 2.6 мас.%, что говорит о низком содержании в образце мезогенных периконденсированных ароматических углеводородов и свидетельствует в пользу структуры молекул асфальтенов типа “архипелаг”. При этом выход углеродистого остатка термолиза НПС еще меньше — 1.9 мас.% — за счет “разбавления” образца вновь образовавшимися некоксующимися мальтенами. На основании этого можно сделать вывод, что в процессе термообработки ТСП при 260°С реакции конденсации ароматических углеводородов неразвиты. Также следует заметить, что наиболее термостойкие структуры в составе ТСП формируются в основном еще на стадии пиролиза углеводородного сырья и дополнительно образуются в условиях синтеза НПС лишь в малой степени.
Структурно-групповой анализ мальтенов и асфальтенов, выделенных из вакуумного остатка ТСП и НПС, осуществляли на основе их спектров ЯМР1 H и 13C по методике [40] с некоторыми модификациями. Так, области химических сдвигов ароматических и олефиновых протонов были скорректированы по данным, полученным для нафты коксования [41]. Кроме того, был уточнен физический смысл параметра RA — степень конденсированности ароматических структур, равная отношению числа ароматических колец к числу ароматических ядер (в т. ч. конденсированных полициклических) в молекуле. Также был введен новый параметр — среднее число атомов углерода, приходящееся на одно ароматическое кольцо (#CAr/RAr), что позволило вычислить количество ароматических колец в средней молекуле. Параметры RA и #CAr/RAr определяли в зависимости от числа мостиковых ароматических атомов углерода в молекуле на основе корреляций, полученных для модельных ароматических систем (рис. 5). При этом следует отметить, что по методике [40] в качестве мостиковых ароматических атомов углерода идентифицируются не только общие атомы конденсированных циклов, но и взаимосвязанные углеродные атомы двух изолированных бензольных колец в соединениях типа бифенила или флуорена. Соответственно, зависимость I на рис. 5 позволяет оценить эквивалентную степень конденсированности формально неконденсированных полициклических аренов с ненулевой энергией сопряжения бензольных колец, что может служить дополнительной информацией в структурно-групповом анализе. Так, например, для флуорена RA = 1.75.
Рис. 5. Зависимости структурных параметров средних молекул от степени конденсированности ароматических систем (RA): I — доля мостиковых атомов среди ароматических атомов углерода (#CAr–Ar/#CAr); II — среднее число атомов углерода, приходящееся на одно ароматическое кольцо (#CAr/RAr). Точки на графиках соответствуют модельным ароматическим системам: 1 — бензол; 2 — нафталин + два бензола; 3 — нафталин + бензол; 4 — нафталин; 5 — нафталин + антрацен; 6 — антрацен; 7 — антрацен + тетрацен; 8 — тетрацен.
Характеристики ЯМР-спектров и структурно-групповые параметры мальтенов и асфальтенов приведены в табл. 5. Молекулы мальтенов, выделенных из вакуумного остатка ТСП, содержат в среднем 31 атом углерода, большая часть которого находится в ароматических структурах, представленных 3–4 кольцами. При этом значение параметра RA относительно невелико, что говорит о преобладании изолированных бензольных колец в ароматических фрагментах. Атомы углерода sp3-гибридизации формируют нафтеновые кольца либо входят в состав метильных и этильных заместителей ароматических ядер. Неароматические атомы углерода sp2-гибризизации в основном сосредоточены в ненасыщенных циклических структурах с изолированными либо конъюгированными с ароматической системой двойными связями. При этом по одной олефиновой связи могут содержать до 83% молекул.
Таблица 5. Результаты структурно-группового анализа мальтенов и асфальтенов, выделенных из вакуумного остатка ТСП и НПС, по данным спектроскопии ЯМР
Отнесение сигналов ЯМР / структурные параметры “средней” молекулы  | Химический сдвиг / условное обозначение  | Интенсивность сигнала / значение параметра  | |||
вакуумный остаток ТСП  | НПС  | ||||
маль-тены  | асфальтены  | маль-тены  | асфаль-тены  | ||
13C ЯМР  | |||||
Замещенный углерод sp2-гибридизации (ароматический или олефиновый)  | 130–150  | 24.38  | 34.41  | 27.47  | 31.24  | 
Незамещенный углерод sp2-гибридизации (ароматический или олефиновый)  | 100–130  | 40.33  | 34.37  | 39.66  | 38.43  | 
Углерод парафиновых и циклопарафиновых структур  | 9–60  | 35.29  | 31.22  | 32.86  | 30.33  | 
1H ЯМР  | |||||
Водород, связанный с ароматическим углеродом  | 6.5–9.0  | 33.41  | 39.02  | 40.83  | 45.90  | 
Водород, связанный с sp2-гибридизованным углеродом, в том числе:  | 4.6–6.5  | 3.85  | 1.76  | 0.92  | 1.80  | 
геминальные водороды винильной группы  | 4.9–5.1  | 0.25  | 0.02  | 0.04  | 0.03  | 
водород тризамещенного этилена  | 5.1–5.3  | 0.33  | 0.68  | 0.23  | 0.15  | 
водороды 1,2-дизамещенного этилена  | 5.3–5.7  | 1.59  | 0.12  | 0.39  | 0.22  | 
водороды конъюгированных олефиновых групп  | 5.9–6.5  | 1.69  | 0.93  | 0.26  | 1.40  | 
Водород, связанный с α-углеродом алкильного заместителя ароматического ядра  | 2.0–4.6  | 33.97  | 38.08  | 32.54  | 30.31  | 
Водород, связанный с алкильным углеродом в положении β- и далее от ароматического ядра  | 1.0–2.0  | 25.27  | 19.62  | 22.98  | 19.79  | 
Водород концевых и изолированных CH3-групп  | 0.5–1.0  | 3.50  | 1.53  | 2.73  | 2.19  | 
Структурные параметры  | |||||
Массовая доля ароматического углерода, %  | CAr  | 54.36  | 61.93  | 61.08  | 63.27  | 
Массовая доля углерода в насыщенных структурах, %  | CPN  | 32.36  | 29.15  | 30.45  | 28.41  | 
Массовая доля углерода sp2-гибридизации, %  | COL  | 4.99  | 2.29  | 1.13  | 2.00  | 
Массовая доля водорода в ароматических структурах, %  | HAr  | 2.76  | 2.56  | 3.00  | 2.89  | 
Массовая доля водорода в насыщенных структурах, %  | HPN  | 5.19  | 3.88  | 4.27  | 3.29  | 
Массовая доля олефинового водорода, %  | HOL  | 0.32  | 0.12  | 0.07  | 0.11  | 
Число аром. атомов С  | #CAr  | 18.19  | 31.52  | 22.96  | 33.96  | 
Число атомов С в парафино-нафтеновых структурах  | #CPN  | 10.83  | 14.84  | 11.45  | 15.25  | 
Число атомов С в олефиновых структурах  | #COL  | 1.67  | 1.16  | 0.42  | 1.07  | 
Число ароматических атомов H  | #HAr  | 11.10  | 15.63  | 13.51  | 18.59  | 
Число атомов H в парафино-нафтеновых структурах  | #HPN  | 20.83  | 23.72  | 19.28  | 21.18  | 
Число атомов H в олефиновых структурах  | #HOL  | 1.28  | 0.70  | 0.30  | 0.73  | 
Число мостиковых ароматических атомов  | #CAr–Ar  | 1.23  | 6.35  | 3.06  | 6.52  | 
Средняя степень конденсированности ароматических структур  | RA  | 1.23  | 2.01  | 1.54  | 1.94  | 
Среднее число атомов углерода на ароматическое кольцо  | #CAr/RAr  | 5.63  | 4.99  | 5.29  | 5.03  | 
Число ароматических колец  | RAr  | 3.23  | 6.31  | 4.34  | 6.75  | 
Среднее число замещенных атомов С в ароматическом ядре  | #S/ring  | 2.23  | 3.04  | 2.28  | 2.54  | 
Среднее число атомов С в боковой цепи  | n  | 1.85  | 1.56  | 1.79  | 1.73  | 
Среднее число двойных связей в алифатической части молекулы  | #=  | 0.83  | 0.58  | 0.21  | 0.54  | 
В результате термической обработки ТСП строение мальтенов изменилось. Во-первых, среднее число атомов углерода в молекуле увеличилось до 35. Во-вторых, на 6.72 мас.% возросла доля ароматического углерода. При этом количество ароматических колец увеличилось в среднем на 1 и значительно повысилась степень их конденсированности. В-третьих, доля олефинового углерода снизилась более чем в 4 раза и, как следствие, вероятность наличия двойной связи в молекуле уменьшилась до 21%.
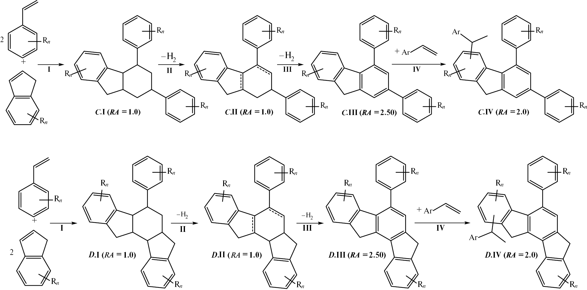
Как было отмечено выше при обсуждении результатов термического анализа и кинетических исследований, мальтены имеют олигомерную природу, и их основными “строительными блоками” являются производные стирола и индена, содержащие 9–11 атомов углерода (табл. 2). Это позволяет рассматривать мальтены, имеющие 31–35 атомов углерода, как продукты взаимодействия трех мономерных молекул. С другой стороны, известно [30], что термическая полимеризация стирола протекает через образование димеров и тримеров типа 1-фенилтетралина и 1-фенил-4-фенилэтилтетралина. Кроме того, согласно [42], при нагревании индена получаются термически стабильный труксен и эквивалентное количество индана за счет протекания реакций тримеризации и перераспределения водорода. Эти сведения, а также данные структурно-группового анализа дают возможность смоделировать структуру и предложить наиболее вероятные пути синтеза мальтенов (рис. 6 и 7).
Рис. 6. Схемы реакций гомоолигомеризации производных стирола и индена: R — метил, этил; Ar — замещенный или незамещенный фенил; n = 0–2.
Рис. 7. Схемы реакций соолигомеризации производных стирола и индена: R — метил, этил; Ar — замещенный или незамещенный фенил; n = 0–2.
Олигомеризация производных стирола и индена имеет место как при пиролизе углеводородного сырья, так и при термической обработке ТСП, причем химизм процесса в обоих случаях во многом схож. На I стадии в результате тримеризации образуются конденсированные нафтеноароматические структуры с изолированными бензольными кольцами: A.I и B.I на рис. 6, C.I и D.I на рис. 7. Затем при высокой температуре пиролиза протекает ступенчатое дегидрирование нафтенов с образованием циклоолефинов (стадия II) и конденсированных ароматических ядер (стадия III). При этом из-за скоротечности пиролиза и последующей закалки реакционной смеси в продуктах накапливается значительное количество термодинамически наименее выгодных частично ненасыщенных кольцевых структур типа A.II или B.II (C.II, D.II).
Судя по значению параметра RAr (табл. 5), доля молекул с тремя ароматическими кольцами (продукты стадий I и II, рис. 6 и 7) среди мальтенов вакуумного остатка ТСП может достигать 77%. Исходя из этого средняя степень конденсированности структур с четырьмя ароматическими циклами (продукты стадии III, рис. 6 и 7) составляет 2.0. Такое значение параметра RA может достигаться при соотношении молекул типа A.III и B.III (C.III, D.III), равном 3.6 : 1. Есть все основания полагать, что и среди их триароматических предшественников имеет место большой избыток структур типа A. Отсюда можно сделать вывод, что при пиролизе углеводородного сырья высокомолекулярные побочные продукты образуются главным образом за счет олигомеризации винилароматических соединений. Это хорошо согласуется с вышеприведенными результатами кинетических исследований (рис. 3), согласно которым винильные группы наиболее реакционноспособны при термополимеризации.
В процессе термической обработки ТСП при 260оС протекают реакции тримеризации мономеров (стадия I) и диспропорционирования циклоолефинов, образовавшихся по реакции II при пиролизе, с одновременным получением продуктов стадий I и III. Также в некоторой степени идет алкилирование ароматических ядер гомологами стирола (стадия IV), чем объясняется появление пятикольчатых аренов среди молекул мальтенов. В то же время новые циклоолефиновые структуры типа A.II, B.II не формируются из-за термодинамической невозможности стадии II. Так, например, свободная энергия Гиббса реакции дегидрирования тетралина в 1,2-дигидронафталин принимает отрицательные значения при температурах выше 600°C. Из-за того, что не образуются предшественники конденсированных полиаренов, следовало бы ожидать уменьшения степени конденсированности мальтенов после термообработки ТСП. Однако, согласно табл. 5, значение параметра RA у мальтенов, выделенных из НПС, выше, чем у мальтенов вакуумного остатка ТСП. Это можно объяснить прямым образованием гомологов труксена типа B.III по реакции V (рис. 6), когда тримеризация производных индена сопровождается перераспределением водорода с одновременным получением гомологов индана.
Асфальтены ТСП имеют в среднем 47–48 атомов углерода в молекуле (табл. 5). По сравнению в мальтенами они более ароматизированы, но содержат меньше олефиновых групп. На каждую молекулу приходится 6–7 бензольных колец, средняя степень конденсированности которых соответствует структуре нафталина. Ароматические ядра имеют в среднем по 3 метильных или этильных заместителя.
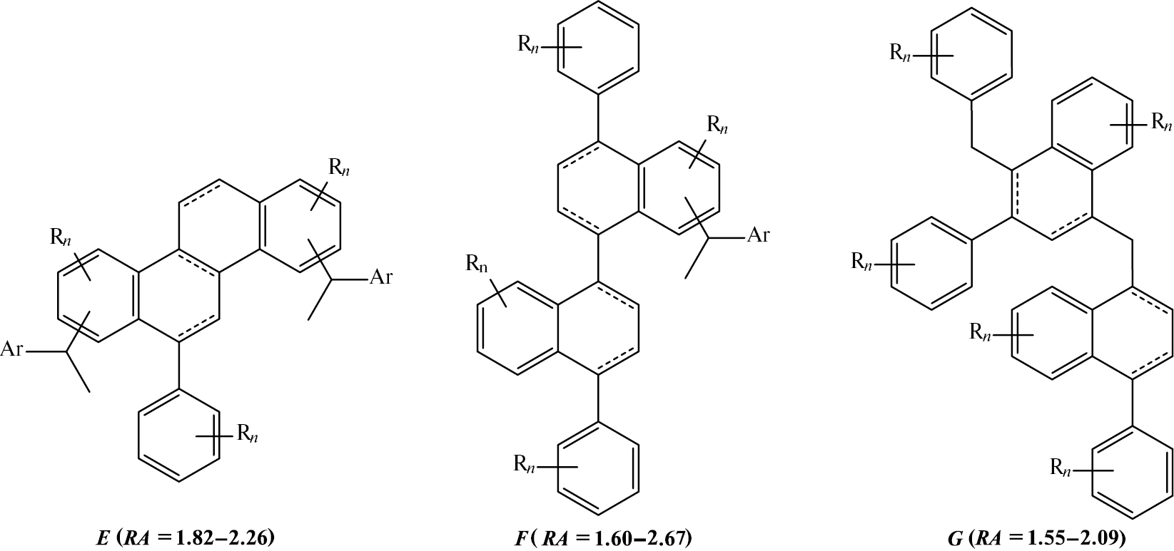
Изменения в молекулярной структуре асфальтенов, вызванные термической обработкой ТСП, не столь значительны, как в случае мальтенов. Так, увеличивается на три единицы среднее число атомов углерода преимущественно за счет добавления новых ароматических фрагментов. При этом несколько снижается степень конденсированности ароматических ядер и количество боковых заместителей в них. Число олефиновых связей остается практически неизменным. Все указывает на то, что асфальтены формируются в основном еще на стадии пиролиза, а отмеченные небольшие изменения их строения после термообработки ТСП обусловлены частичным алкилированием конденсированных ароматических ядер гомологами стирола. Возможные структуры молекул асфальтенов, построенные на основе данных структурно-группового анализа и логики описанных выше химических превращений, представлены на рис. 8.
Рис. 8. Возможные структуры средних молекул асфальтенов на основе тримера (E), тетрамера (F) и пентамера (G) стирола: R — метил, этил; Ar — замещенный или незамещенный фенил; n = 0–2.
“Ядрами” молекул асфальтенов выступают производные тетралина разной степени дегидрирования, образованные в результате олигомеризации 3–5 винилбензолов. Труксеноподобные структуры в качестве ядра асфальтенов маловероятны, т. к. они получаются, главным образом, по сопряженным реакциям тримеризации и переноса водорода (стадия V, рис. 6). В условиях пиролиза реакция переноса водорода с циклогексанового кольца тримера на молекулу индена невозможна в силу того, что при температурах выше 630°C ее свободная энергия Гиббса принимает положительные значения.
Заключение
Наиболее высокомолекулярные соединения ТСП представляют собой олигомеры винилароматических углеводородов. По аналогии с высококипящими веществами нефти они могут быть разделены на мальтены и асфальтены. Растворимые в гексане мальтены представлены в основном продуктами тримеризации гомологов стирола — замещенными 1-фенил-4-фенилэтилтетралинами и их дегидрированными производными с дигидронафталиновыми и нафталиновыми ядрами. Молекулы асфальтенов построены на основе тримеров, тетрамеров и пентамеров винилбензола и включают двух-четырехкольчатые конденсированные фрагменты разной степени ароматичности, соединенные непосредственно или через алкиленовые мостики в структуру типа “архипелаг”.
Несмотря на значительное присутствие индена и его гомологов в продуктах пиролиза, их олигомеры сравнительно слабо представлены среди высокомолекулярных соединений ТСП. Обусловлено это, во-первых, более низкой реакционной способностью индена по сравнению с винилбензолом, во-вторых, особенностью механизма термической полимеризации индена, состоящей во взаимосогласованном протекании реакций циклотримеризации мономера и переноса водорода с тримера на мономер с образованием труксена и индана. Последняя реакция термодинамически невозможна при температуре пиролиза.
Термохимические превращения мальтенов в процессе синтеза НПС сводятся к диспропорционированию дигидронафталиновых фрагментов с образованием тетралиновых и нафталиновых ядер, а также замещению некоторых атомов водорода в конденсированных полиаренах на фенилалкильные группы. Асфальтены ТСП при термообработке претерпевают минимальные изменения, связанные с частичным алкилированием полиароматических ядер гомологами винилбензола. Новых асфальтенов в процессе синтеза НПС практически не образуется.
Образование мальтенов при термической обработке ТСП происходит в результате циклотримеризации обоих типов мономеров. Винилароматические соединения реагируют в первую очередь, что приводит к формированию арилзамещенных тетралинов. Возможна также соолигомеризация гомологов стирола и индена с получением фенилзамещенных гексагидрофлуоренов. Основное же количество индена и его производных при термополимеризации превращается в труксен и его гомологи.
Таким образом, химический состав высокомолекулярных соединений, изначально присутствующих в ТСП и вновь образующихся при ее термической обработке, значительно различается. При этом термообработка не приводит к существенному изменению химического строения исходных высокомолекулярных соединений. Поэтому представляется целесообразным предварительно подвергать ТСП вакуумной перегонке с концентрированием низкомолекулярных непредельных соединений в дистиллятной фракции и получением т. н. остаточной НПС в виде кубового продукта. Последующая термическая или каталитическая полимеризация отогнанных непредельных соединений позволит получить т. н. дистиллятную НПС, отличающуюся по физическим и химическим свойствам от остаточной. Такое технологическое решение расширит ассортимент и возможные области применения темных НПС, а также будет способствовать снижению энергозатрат на их производство.
Благодарности
Авторы выражают благодарность к. х. н. Т. Н. Бочко (Институт тепло- и массообмена им. А. В. Лыкова НАН Беларуси) за проведение измерений методом хромато-масс-спектрометрии.
Финансирование работы
Работа выполнялась в рамках Государственной программы научных исследований Республики Беларусь “Химические процессы, реагенты и технологии, биорегуляторы и биооргхимия”.
Конфликт интересов
Авторы заявляют об отсутствии конфликта интересов, требующего раскрытия в данной статье.
About the authors
Андрей Иосифович Юсевич
Белорусский государственный технологический университет
							Author for correspondence.
							Email: usevich@mail.ru
				                	ORCID iD: 0000-0001-5592-4882
				                	SPIN-code: 6449-6964
																		                								
к. х. н., доцент
Belarus, 220006, МинскКирилл Игоревич Трусов
Белорусский государственный технологический университет
														Email: usevich@mail.ru
				                	ORCID iD: 0000-0001-8320-6570
				                	SPIN-code: 7754-1530
																		                												                	Belarus, 							220006, Минск						
References
- Young B., Hawkins T.R., Chiquelin C., Sun P., Gracida-Alvarez U.R., Elgowainy A. Environmental life cycle assessment of olefins and by-product hydrogen from steam cracking of natural gas liquids, naphtha, and gas oil // J. of Cleaner Production. 2022. V. 359. ID131884. https://doi.org/10.1016/j.jclepro.2022.131884
 - Лебедева М.А., Колесник В.Д., Машуков В.И., Егоров А. В. Хроматографическое определение химического состава тяжелых смол пиролиза // Известия Томского политехнического университета. 2010. Т. 316. № 3. С. 102–105.
 - Ristic N.D., Djokic M.R., Delbeke E.I.P., Quiroga A.G., Stevens C.V., Van Geem K.M., Marin G. B. Compositional characterization of pyrolysis fuel oil from naphtha and vacuum gas oil // Energy Fuels. 2018. V. 32. № 2. P. 1276–1286. https://doi.org/10.1021/acs.energyfuels.7b03242
 - Цеунова М.А., Машуков В.И., Головко А.К. Исследование состава и строения высококипящей фракции тяжелой смолы пиролиза широкой фракции легких углеводородов // Химия в интересах устойчивого развития. 2013. Т. 21. С. 437–444.
 - Djokic M.R., Muller H., Ristic N.D., Akhras A.R., Symoens S.H., Marin G.B., Van Geem K.M. Combined characterization using HT-GC × GC-FID and FT-ICR MS: A pyrolysis fuel oil case study // Fuel Processing Technology. 2018. V. 182. P. 15–25. https://doi.org/10.1016/j.fuproc.2018.10.007
 - Fatayer Sh., Poddar N.B., Quiroga S., Schulz F., Schuler B., Kalpathy S.V., Meyer G., Pérez D., Guitián E., Peña D., Wornat M.J., Gross L. Atomic force microscopy identifying fuel pyrolysis products and directing the synthesis of analytical standards // J. of the Am. Chem. Soc. 2018. V. 140 (26). P. 8156–8161. https://doi.org/10.1021/jacs.8b02525
 - Лебедева М.А., Машуков В.И., Головко А.К. Анализ и переработка тяжелой смолы пиролиза // Химия в интересах устойчивого развития. 2012. Т. 20. С. 633–638.
 - Юсевич А.И., Трусов К.И., Осипенок Е.М., Куземкин Д.В. Оптимизация условий термической полимеризации тяжелой пиролизной смолы с целью получения нефтеполимерных смол — мягчителей резиновых смесей // Труды БГТУ. Сер. 2, Химические технологии, биотехнологии, геоэкология. 2020. № 2. С. 56–61. https://elib.belstu.by/handle/123456789/35280
 - Zohuriaan-Mehr V.J., Omidian Et.H. Petroleum Resins: An Overview // J. of Macromolecular Science, Part C: Polymer Reviews. 2000. V. 40. № 1. P. 23–49. https://doi.org/10.1081/MC-100100577
 - Лесняк В.П., Гапоник Л.В., Шиман Д.И., Костюк С.В., Капуцкий Ф.Н. Синтез, модификация и применение нефтеполимерных смол на основе мономерсодержащих пиролизных фракций // Химические проблемы создания новых материалов и технологий: Сб. ст. под ред. О. А. Ивашкевича. Вып. 3. Минск, 2008. С. 204–245. https://elib.bsu.by/handle/123456789/13348
 - Wei Q., Chen X., He Y., Fu J., Liang J., Wei X., Wang L. Ni Nanoparticles supported on N-doped carbon nanotubes for efficient hydrogenation of C5 hydrocarbon resins under mild conditions // Microporous and Mesoporous Materials. 2022. V. 333. ID111727. https://doi.org/10.1016/j.micromeso.2022.111727
 - Мельчаков И.С., Занавескин Л.Н., Максимов А.Л. Каталитический синтез алифатических нефтеполимерных смол // Химическая промышленность сегодня. 2024. № 3. С. 49–56.
 - Rahmatpour A., Meymandi M.Gh. Large-Scale production of C9 aromatic hydrocarbon resin from the cracked-petroleum-derived C9 fraction: chemistry, scalability, and Techno-economic analysis // Organic Process Research & Development. 2020. V. 25. Issue 1. P. 120–135. https://doi.org/10.1021/acs.oprd.0c00474
 - Wu Ch., Chen X., Fu J., Zou J., Liang J., Wei X., Wang L. ZIF-derived Co/NCNTs as a superior catalyst for aromatic hydrocarbon resin hydrogenation: Scalable green synthesis and insight into reaction mechanism // Chem. Engineering J. 2022. V. 443. ID136193. https://doi.org/10.1016/j.cej.2022.136193
 - Петрухина Н.Н., Захарян Е.М., Корчагина С.А., Нагиева М.В., Максимов А.Л. Гидрирование нефтеполимерных смол на сульфидных ненанесенных наноразмерных катализаторах // Наногетерогенный катализ. 2017. Т. 2. № 2. С. 127–135. https://doi.org/10.1134/10.1134/S2414215817020083 [Petrukhina N.N., Zakharyan E.M., Korchagina S.A., Maksimov A.L., Nagieva M.V. Hydrogenation of polymeric petroleum resins in the presence of unsupported sulfide nanocatalysts // Petrol. Chem. 2017. V. 57. N14. P. 1295–1303. https://doi.org/10.1134/S0965544117140080 ]
 - Петрухина Н.Н., Захарян Е.М., Корчагина С.А., Нагиева М.В., Максимов А.Л. Гидрирование нефтеполимерных смол на сульфидных нанесенных катализаторах // Нефтехимия. 2018. Т. 58. № 1. С. 52–59. https://doi.org/10.7868/S0028242118010070 [Petrukhina N.N., Zakharyan E.M., Korchagina S.A., Nagieva M.V., Maksimov A.L. Hydrogenation of petroleum resins in the presence of supported sulfide catalysts // Petrol. Chem. 2018. V. 58. N 1. P. 48–55. https://doi.org/10.1134/S0965544118010127]
 - Абрамов О.Н., Сидоров Д.В., Апухтина Т.Л., Храмкова В.А. Получение пекового углеродного волокна на основе нефтяного сырья // Изв. вузов. Химия и хим. технология. 2015. Т. 58. Вып. 5. С. 86–89.
 - Мухамедзянова А.А., Мухамедзянов А.Т., Гимаев Р.Н., Хайбуллин А. А. Получение пластичных анизотропных пеков из продуктов термообработки тяжелой смолы пиролиза углеводородного сырья // Журнал прикладной химии. 2015. Т. 88. Вып. 8. С. 1203–1207. [Mukhamedzyanova A.A., Mukhamedzyanov A.T., Gi-maev R.N., Khaibullin A.A. Preparation of plastic anisotropic pitches from products of heat treatment of heavy tar from pyrolysis of hydrocarbon raw materials // Russian J. of Applied Chemistry. 2015. V. 88. N 8. P. 1321–1325. https://doi.org/10.1134/S1070427215080157 ]
 - Liu J., Chen X., Xie Q., Liang D. Controllable synthesis of isotropic pitch precursor for general purpose carbon fiber using waste ethylene tar via bromination–dehydrobromination // J. of Cleaner Production. 2020. V. 271. Article 122498. https://doi.org/10.1016/j.jclepro.2020.122498
 - Chung Wen-Ya, Brahma Sanjaya, Hou Shang-Chieh, Chang Chia-Chin, Huang Jow-Lay. Petroleum waste hydrocarbon resin as a carbon source modified on a Si composite as a superior anode material in lithium ion batteries // Materials Chemistry and Physics. 2021. V. 259. Article 124011. https://doi.org/10.1016/j.matchemphys.2020.124011
 - Wu Sh., Song Y., Lu Ch., Yang T., Yuan Sh., Tian X., Liu Zh. High-rate soft carbon anode in potassium ion batteries: The role of chemical structures of pitches // Carbon. 2023. V. 203. P. 211–220. https://doi.org/10.1016/j.carbon.2022.11.058
 - Наканиси К. Инфракрасные спектры и строение органических соединений: Пер. с англ. М.: Мир. 1965. 217 с.
 - Бродский Е.С. Масс-спектрометрический анализ углеводородов и гетероатомных соединений нефти // В сб. “Методы исследования состава органических соединений нефти и битумоидов”. Под ред. Г. Д. Гальперина. М.: Наука, 1985. С. 57–119.
 - Никулина Н.С., Дмитренков А.И., Никулин С.С., Власова Л.А., Санникова Н.Ю. Перспектива применения для модификации древесных материалов α-винилнафталина // Вестник БГТУ им. В. Г. Шухова. 2021. № 2. С. 73–78.
 - Gill G.B., Hawkins S., Gore P.H. Concerted and non-concerted hydrogen transfer: the thermal disproportionation of 1,2- and 1,4-dihydronaphthalenes // J. of the Chem. Soc. Chem. Communications. 1974. V. 18. P. 742. https://doi.org/10.1039/c39740000742
 - Справочник нефтехимика. В двух томах. Т. 1. Под ред. С.К. Огородникова. Л.: Химия, 1978. 496 с.
 - NIST Standard Reference Database Number 69. https://doi.org/10.18434/T4D303
 - Chirico R.D., Steele W.V., Kazakov A.F. Thermodynamic properties of indan: Experimental and computational results // J. Chem. Thermodynamics. 2016. V. 96. P. 41–51. https://dx.doi.org/10.1016/j.jct.2015.12.005
 - Chirico R.D., Steele W.V. Thermodynamic properties of 1.2-dihydronaphthalene: Glassy crystals and missing entropy // J. Chem. Thermodynamics. 2008. V. 40. Is. 5. P. 806–817. https://doi.org/10.1016/j.jct.2008.01.009
 - Курбатов В.А. Термическая полимеризация и олигомеризация мономеров // Успехи химии. 1987. Т. LVI. Вып. 5. С. 865–887.
 - Behar F., Beaumont V., Penteado H. Rock-Eval 6 Technology: Performances and Developments // Oil & Gas Science and Technology. 2001. V. 56. № 2. P. 111–134. https://doi.org/10.2516/ogst:2001013
 - Zhou D., Chen X., Liang J., Wei X., Wu Ch., Li W., Wang L. High-Temperature Stability and Pyrolysis Kinetics and Mechanism of Bio-Based and Petro-Based Resins Using TGFTIR/MS // Industrial & Engineering Chemistry Research. 2021. V. 60. Is. 38. P. 13774–13789. https://doi.org/10.1021/acs.iecr.1c02535
 - Jiang M., Wei X., Chen X., Wang L. Liang J. C9 Petroleum resin hydrogenation over a peg1000-modified nickel catalyst supported on a recyclable fluid catalytic cracking catalyst residue // ACS Omega. 2020. V. 5. Is. 32. P. 20291–20298. https://doi.org/10.1021/acsomega.0c02193
 - Bozkurt A., Akbulut U., Toppare L. Conducting polymer composites of polypyrrole and polyindene // Synthetic Metals. 1996. V. 82. Is. 1. P. 41–46. https://doi.org/10.1016/S0379-6779(97)80007-0
 - Goel Sh., Mazumdar N., Gupta A. One-dimensional nanofibers of polyindene: Synthesis and characterization // J. of Polymer Research. 2010. V. 17. Is. 5. P. 639–645. https://doi.org/10.1007/s10965-009-9352-1
 - Schnabel W., Levchik G.F., Wilkie Ch., Jiang D.D., Levchik S.V. Thermal degradation of polystyrene, poly(1.4-butadiene) and copolymers of styrene and 1.4-butadiene irradiated under air or argon with60Co-γ-rays // Polymer Degradation and Stability. 1999. V. 63. № 3 P. 365–375. https://doi.org/10.1016/S0141-3910(98)00114-1
 - Федотов А.В., Красновских М.П., Мокрушин И.Г. Термическая деструкция изделий из пенополистирола // Вестник Пермского университета. Химия. 2015. Вып. 2 (18). С. 102–109.
 - Becker C.M., Biagini A.B., Forte M.M.C., Amico S.C., Vargas J.V.C., Azambuja D.S. Sulfonation and characterization of styrene-indene copolymers for the development of proton conducting polymer membranes // Polímeros. 2012. V. 22. № 4. P. 395–400. http://dx.doi.org/10.1590/S0104-14282012005000069
 - Химия углеводородов нефти. В трех томах. Т. II / Под ред. Б.Т. Брукса, С.Э. Бурда, С.С. Куртца, Л. Шмерлинга / Пер. с англ. под ред. проф. М.М. Кусакова. Л.: Гостоптехиздат, 1958. 391 с.
 - Pyase L. Gupta, Prem V. Dogra, Rakesh K. Kuchhal and Pradeep Kumar. Estimation of average structural parameters of petroleum crudes and coal-derived liquids by13C and1H n. m. r. // Fuel. 1986. V. 65. Is. 4. P. 515–519. https://doi.org/10.1016/0016-2361(86)90042-6
 - Кривдин Л.Б. Последние достижения в области ЯМР топлив: краткий обзор // Успехи химии. 2024. Т. 93. Вып. 1. RCR5105. https://doi.org/10.59761/RCR5105
 - Вацулик П. Химия мономеров. Т. I. Под ред. И.Л. Кнунянца. М.: Изд-во иностранной литературы, 1960. 739 с.
 
Supplementary files
				
			
					
						
						
						
						
				










