Определение закономерностей совместного превращения одноатомного спирта алифатического ряда и парафина нормального строения в условиях каталитического крекинга на примере модельной смеси н-гексадекан–изопропанол
- 作者: Липин П.В.1, Ковеза В.А.1, Потапенко О.В.1
-
隶属关系:
- Институт катализа СО РАН
- 期: 卷 64, 编号 2 (2024)
- 页面: 148–162
- 栏目: Articles
- URL: https://bakhtiniada.ru/0028-2421/article/view/266713
- DOI: https://doi.org/10.31857/S0028242124020041
- EDN: https://elibrary.ru/NDANGD
- ID: 266713
如何引用文章
全文:
详细
Определены закономерности совместного крекинга одноатомного спирта алифатического ряда и парафина нормального строения на примере модельной смеси н-гексадекан–изопропанол. Анализ температурных зависимостей константы скорости крекинга н-гексадекана и н-гексадекана в смеси с изопропанолом указывает на эффект промотирования крекинга углеводорода при его совместном превращении с алифатическим спиртом. Данные о составе продуктов крекинга модельной смеси показывают, что характер распределения продуктов в присутствии алифатического спирта существенно не меняется. Основную часть газообразных продуктов составляет пропан-пропиленовая фракция. Методом DFT-моделирования показана разница в энергиях адсорбции н-гексадекана и изопропанола при температурах крекинга.
全文:
Несмотря на быстро меняющуюся конъюнктуру мирового нефтегазового рынка, нефть остается основным источником получения топлив и нефтехимической продукции. Однако в научных кругах непрерывно ведется работа по поиску новых альтернативных природных источников сырья для получения моторных топлив и продуктов нефтехимии. В настоящее время основной сдерживающий фактор внедрения таких источников — технологическая стоимость процесса, что требует больших инвестиций. Тем не менее данное направление поиска перспективно и активно развивается.
В качестве возможных источников природного сырья для получения биотоплив в первую очередь рассматриваются отходы сельского хозяйства и переработки древесины [1–3], а также растительные масла [4–6]. Это обусловлено тем, что данные отходы не имеют экономической ценности, а используемые растительные масла не представляют пищевой ценности. Кроме того, в качестве биосырья могут выступать сахара [7, 8], жиры животного происхождения [9–11] и водоросли [12]. Так или иначе, все эти природные источники сырья входят в понятие “биомасса”.
Алифатические спирты также могут рассматриваться как альтернативные источники сырья для получения топлив и продуктов нефтехимии. Одна из особенностей одноатомных спиртов алифатического ряда, содержащих 1–5 атомов углерода, состоит в том, что получать их можно как химическим, так биохимическим методами с использованием биосырья. Так, например, этанол может быть получен как из синтез-газа, так и путем брожения пищевого сырья. Другой способ производства спиртов — гидратация олефинов; именно так, например, получают этанол или изопропанол.
В литературе описаны примеры процессов, позволяющих получать топлива и продукты нефтехимии при превращении спиртов. Так, например, процесс MTO (methanol-to-olefins) позволяет получать низшие олефины из метанола, что имеет особое значение из-за постоянно растущего спроса на олефины [13]. Для производства моторных топлив из алифатических спиртов применяют процесс MTG (methanol-to-gasoline) [14]. Для улучшения технических характеристик дизеля/биодизеля используется прием его смешения со спиртами [15]. Процесс ATJ (alcohol-to-jet) позволяет получать компоненты реактивного топлива в результате последовательного протекания реакций дегидратации спиртов (этанол, изобутанол и н-бутанол), олигомеризации и гидрирования [16]. Также существует процесс MTA (methanol-to-aromatics) для производства ароматических углеводородов – ценного сырья нефтехимической промышленности [17], протекающий по тому же механизму, что и процесс MTG.
Еще один возможный способ переработки спиртов – их совместное превращение с нефтяными фракциями в условиях каталитического крекинга. Благодаря тому, что одноатомные спирты алифатического ряда, содержащие в радикале 1–5 атомов углерода, являются хорошими растворителями, не возникнет сложностей с получением смесового сырья, а также отсутствует негативное влияние на металлоконструкции оборудования.
Интерес к переработке смесевого сырья в условиях каталитического крекинга обусловлен возможностью проявления эффекта синергизма при совместных превращениях различных видов сырья. Так в работах [18, 19] был продемонстрирован эффект увеличения конверсии парафинов и нафтенов при добавлении олефинов. Аналогичные закономерности были показаны при превращении смеси растительного масла с вакуумным газойлем [20]. Авторами было показано существование оптимального соотношения растительное сырье/нефтяное сырье, при котором максимально выражен эффект синергизма в превращениях смесей. Промотирующий эффект растительных масел был связан с образованием непредельных углеводородов — первичных полупродуктов термического крекинга масла. Подобная закономерность наблюдалась в работе [21], где были исследованы добавки олефинов к сырью крекинга. Таким образом, можно предположить, что добавление алифатических спиртов к реальному нефтяному сырью крекинга будет также способствовать возникновению эффекта синергизма при превращении смесевого сырья.
Для определения целесообразности вовлечения алифатических спиртов в процесс каталитического крекинга в качестве компонента сырья необходимо исследовать закономерности превращения модельных смесей, содержащих одноатомный спирт алифатического ряда, содержащий в радикале не более 5 атомов углерода, и индивидуальный углеводород. В данной работе в качестве объектов исследования были выбраны изопропанол и н-гексадекан.
Моделирование структуры на атомном уровне методом теории функционала плотности (DFT) – мощный инструмент для понимания структуры, кислотности и реакционной способности цеолитов [22, 23]. Методами DFT-моделирования возможно оценить влияние модификаций различными металлами на целевые свойства цеолитных катализаторов (стабильность и каталитическая активность), а также молекулярные термодинамические свойства адсорбированных внутри пор цеолитов молекул: энергию Гиббса, энтропию и энтальпию адсорбции при различных температурах.
К примеру, используя DFT-моделирование, была исследована роль ионов редкоземельных элементов в предотвращении деалюминирования цеолита Y как одного из ключевых компонентов промышленного катализатора крекинга [24]. Аналогичным образом методами DFT-моделирования были установлены реакционные пути при крекинге н-гексана с образованием промежуточных карбониевых ионов на цеолитах Y и ZSM-5 [25]. Роль редкоземельных элементов и щелочноземельных металлов на структуру, реакционную способность и кислотность цеолита Y была учтена в расчетной периодической DFT-модели процесса крекинга н-октана [26].
Цель данной работы — определение закономерностей совместного превращения одноатомного спирта алифатического ряда (изопропанола) и парафина нормального строения (н-гексадекана) в условиях каталитического крекинга, а также изучение влияния присутствия одноатомного спирта алифатического ряда при крекинге гидроочищенного вакуумного газойля. Проведены расчеты методом DFT-моделирования для сравнения энергий адсорбции н-гексадекана и изопропанола в условиях каталитического крекинга.
Экспериментальная часть
В работе использованы: изопропанол (не менее 98 мас. %, АО “ЭКОС-1”, Россия) и н-гексадекан (не менее 98 мас. %, АО “ЭКОС-1”, Россия), а также гидроочищенный вакуумный газойль, его характеристики приведены в табл. 1.
Таблица 1. Характеристики гидроочищенного вакуумного газойля
Характеристики | Гидроочищенный вакуумный газойль |
Плотность при 20°С, г/см3 | 0.9028 |
Фракционный состав по D-1160, °С: | |
н.к. | 329.5 |
10% | 384.9 |
50% | 446.4 |
90% | 524.9 |
95% | 545.8 |
к.к. | 560.0 |
Коксуемость по Конрадсону, мас. % | 0.07 |
Содержание атомов элементов, %: | |
C | 87.1 |
H | 12.8 |
N | 0.020 |
S | 0.084 |
Состав приготовленной модельной смеси приведен в табл. 2. Содержание в сырье каталитического крекинга дополнительного компонента выше 10 мас. % может привести к снижению выхода целевых продуктов крекинга и образованию нежелательных продуктов.
Таблица 2. Составы модельных смесей и реального сырья
Компоненты модельных смесей | Содержание компонента в смеси, мас. % | |
сырье 1 | сырье 2 | |
н-Гексадекан | 100.0 | 90.0 |
Изопропанол | – | 10.0 |
Компоненты реального сырья | Содержание компонента в смеси, мас. % | |
сырье 3 | сырье 4 | |
Гидроочищенный вакуумный газойль | 100.0 | 90.0 |
Изопропанол | – | 10.0 |
Исследования превращения различного сырья в условиях крекинга выполняли на промышленном равновесном катализаторе крекинга. Катализатор содержал в своем составе цеолит Y в НРЗЭ-форме (HREY) и матрицу, в композицию которой входили аморфный алюмосиликат, гидроксид алюминия и глина [27].
Каталитические испытания проводили на лабораторной установке проточного типа с неподвижным слоем катализатора в интервале температур 425–527°C при весовом соотношении катализатор : сырье, равном 4.0, скорость подачи сырья – 30 ч−1.
Состав газообразных продуктов крекинга анализировали на газовом хроматографе “Хро-матэк-Кристалл 5000.2”, оборудованном: а) капиллярной колонкой HP-Al/S (50 м × 0.537 мм × × 15.00 мкм, неподвижная фаза HP-Al/S) и пламенно-ионизационным детектором для определения состава углеводородных газов С1–С5+; б) насадочной колонкой (3 м × 2 мм, адсорбент NaX, фракции 80/100 меш) и детектором по теплопроводности для определения содержания продувочного газа (азота).
Количественный состав жидких продуктов крекинга анализировали в соответствии с методикой ASTM D 2887 (метод имитированной дистилляции) на газовом хроматографе “Хроматэк-Кристалл 5000.2”, оборудованном капиллярной колонкой DB-2887 (10 м × × 0.530 мм × 3.00 мкм, неподвижная фаза диметилполисилоксан) и пламенно-ионизационным детектором. К бензиновой фракции относили жидкие углеводороды, имеющие температуру кипения менее 216°C.
Эксперименты проводили на газовом хроматографе Agilent 6890, который был оснащен колонкой HP-5MS (30 м × 0.25 мм × 0.25 мкм). К газовому хроматографу был подключен массселективный детектор Agilent 5973N. В ходе анализа были установлены следующие параметры масс-селективного детектора: метод ионизации — ионизация электронами с энергией 70 эВ, температура источников ионов — 200°C, скорость сканирования 632 Да/с. Для анализа состава смесей была использована библиотека масс-спектров NIST 20.
Количество образующейся при крекинге воды определяли методом ЯМР по соотношению сигналов, соответствующих ацетону и воде. Ацетон вводили в смесь в известном количестве для гомогенизации получаемых жидких продуктов. Спектры ЯМР 1Н и 13С были записаны на ЯМР-спектрометре Аdvance-400 фирмы “Bruker” (США) c использованием широкополосного многоядерного датчика PARBO BB в стандартных ампулах (∅ 5 мм) в ходе одноимпульсного эксперимента при следующих параметрах: частота Лармора 400 и 100.6 МГц для ядер 1H и 13С соответственно. В качестве эталона использован тетраметоксисилан. Химические сдвиги, по которым проводились расчеты: ацетон – 2.1 м. д., вода – 4.4 м. д.
Содержание коксовых отложений на катализаторе определяли по убыли массы образца после его прокаливания при температуре 550°C.
Для моделирования цеолита Y использовали каркасную структуру фожазита (FAU), представляющую собой кубическую элементарную ячейку с пространственной группой Fd3̅m. Структура ячейки и ее параметры были взяты из базы данных International Zeolite Association (IZA) [28]. Параметры ячейки следующие: постоянная решетки a = b = c = 24.3450 Å, углы α = β = γ = 90°.
Расположение Al и La в ячейке было выбрано в соответствии с работами [24, 26]. По 2 атома Si были замещены на Al в шестичленных кольцах двух содалитовых клеток, образующих гексагональную призму, расположенную на пересечении двух суперклеток фожазита. Атом La расположили в центре гексагональной призмы. Для моделирования кислотного центра Бренстеда (БКЦ) и компенсации отрицательного заряда решетки в позиции кислорода вблизи атома Al и на пересечении двух суперклеток был добавлен водород.
Все расчеты электронной структуры были выполнены с использованием теории функционала плотности (DFT) в программе CP2K (версия 2023.1) с использованием модуля Quickstep [29]. Были использованы периодические граничные условия, обменно-корреляционный функционал PBE [30] в его параметризации revPBE [31], в сочетании с дисперсионной поправкой Гримма D3 для учета дисперсионных взаимодействий [32]. В расчетах оптимизации геометрии и частот в приближении гармонического осциллятора для всех атомов был принят двухэкспонентный базисный набор MOLOPT [33], включающий валентные и поляризационные функции, в рамках подхода “атомоцентрированных гауссовых орбиталей и плоских волн” (GPW) [34] и псевдопотенциалов GTH [35], отсечка энергии плоских волн была установлена на 700 Ридберг (Ry).
Точность оценки энергии электронов значительно более чувствительна к качеству уровня расчета, чем задачи оптимизации и частотного анализа, поэтому для расчета электронной энергии по одной точке на поверхности потенциальной энергии после оптимизации геометрии использовали трехэкспонентный базисный набор, отсечка энергии плоских волн была установлена на 800 Ридберг (Ry). Критерий сходимости для самосогласованного поля, измеряемый по изменению полной энергии между последовательными итерациями, устанавливался равным 10−7 а. е. э. Поскольку атомистическая модель достаточно велика, вычислялась только Γ-точка, интегрирование по зоне Бриллюэна не проводилось.
Настройки программы при оптимизации геометрии и расчетах частот в приближении гармонического осциллятора были стандартными. Для определения направления поиска положений равновесия во всех алгоритмах оптимизации использовали критерий — пока все силы не станут меньше 0.00045 а. е. э./Бор и пока изменение максимального смещения атомов относительно предыдущей итерации оптимизации геометрии не будет меньше 0.003 Бор. Расположение атомов в начале (вдали от минимума на поверхности потенциальных энергий) оптимизировали в рамках алгоритма Бройдена–Флетчера–Гольдфарба–Шанно (BFGS). Данный алгоритм занимает меньше времени на шаг, чем алгоритм сопряженных градиентов (CG). В достаточно близкой к минимуму точке алгоритм был заменен на алгоритм сопряженных градиентов (CG), в котором для одномерного поиска использовался алгоритм Брента.
Молекулярная динамика и конформационный анализ были выполнены с использованием метода силового поля (GFN-FF) для моделирования взаимодействий между атомами в молекулах [36]. Для проведения конформационного анализа н-гексадекана была использована программа CREST [37].
Молекула н-гексадекана при проведении молекулярной динамики была размещена в кластере, содержащем 94 тетраэдра Si и Al, итоговая формула кластера – LaAl4Si90O221H111. Кластер был вырезан из ячейки цеолита после оптимизации, проведенной на этапе DFT-моделирования. Краевые кислороды кластера были дополнены водородом с длиной связи 1 Å и углом H–O–Si 116°. Молекулярная динамика была выполнена в программе xTB [38] при температуре 698 K, соответствующая наименьшей температуре эксперимента 425°C, в рамках канонического NVT-ансамбля. Время моделирования составило 100 пс, время шага при интегрировании уравнения движения составило 0.5 фс. Для избавления от квантовых эффектов, свойственных атому водороду и для увеличения эффективности вычислений масса атома водорода была увеличена в четыре раза. Положения всех атомов, входящих в кластер, были зафиксированы.
Тепловые поправки проводили на основе частот, полученных с помощью частичного гессиана. Для этого все атомы, кроме двух тетраэдных структур цеолита и протона, которые образуют бренстедовский кислотный центр (БКЦ), и адсорбата, были зафиксированы в своих декартовых координатах. Подобный подход использования частичного гессиана достаточно для определения точных разностей энтальпии и энтропии [39]. Достижение локальных минимумов подтверждается анализом нормальных мод, показывающим, что частичная матрица Гесса включает только положительные собственные моды.
Программу Shermo (версия 2.4) использовали для расчета молекулярных термохимических свойств в приближении идеального газа на основе частот, полученных в приближении гармонического осциллятора [40]. При расчете молекулярных термохимических данных был исключен вклад трансляции и вращения в общую статсумму. При расчете использовались температуры в диапазоне от 698 до 773 K с шагом 25 K, соответствующие температурам в ходе каталитических испытаний.
Изменение энтальпии, энтропии и энергии Гиббса при адсорбции (ads) рассчитывали по следующим формулам:
∆Hads = HZeOH + ads − (HZeOH + Hads),
∆Sads = SZeOH + ads − (SZeOH + Sads),
∆Gads = GZeOH + ads − (GZeOH + Gads),
где ∆Hads, ∆Sads, ∆Gads – изменение энтальпии, энтропии и энергии Гиббса при адсорбции; HZeOH + ads, SZeOH + ads, GZeOH + ads – энтальпии, энтропии и энергии Гиббса адсорбата и цеолита; HZeOH, SZeOH, GZeOH – энтальпии, энтропии и энергии Гиббса цеолита; Hads, Sads, Gads – энтальпии, энтропии и энергии Гиббса адсорбата.
Результаты и их обсуждение
Превращение н-гексадекана в условиях каталитического крекинга. В начале исследования было выполнено изучение превращения н-гексадекана на равновесном цеолитсодержащем катализаторе крекинга в диапазоне температур от 425 до 500°C. На рис. 1 показана зависимость конверсии чистого н-гексадекана и н-гексадекана в модельной смеси н-гексадекан–изопропанол от температуры крекинга. Так, из полученных данных видно, что с ростом температуры проведения эксперимента значения конверсии увеличивались от 25.4 (425°C) до 67.4 мас. % (500°C). При превращении модельной смеси н-гексадекан + изопропанол, как и при превращении н-гексадекана, с ростом температуры крекинга отмечалось повышение конверсии парафина. При этом присутствие алифатического спирта в модельной смеси способствовало росту конверсии н-парафина, особенно при пониженной температуре крекинга (425°C).
Рис. 1. Зависимость конверсии н-гексадекана (■) и н-гексадекана в модельной смеси н-гексадекан–изопропанол (■) от температуры крекинга.
Анализ распределения продуктов крекинга н-гексадекана (табл. 3) показал, что вне зависимости от значения конверсии основную часть продуктов составляли газообразные и жидкие продукты. Кроме того, как видно из данных табл. 3 при повышении значений конверсии н-гексадекана наблюдался рост выхода как жидких, так и газообразных продуктов. При этом выход кокса изменялся незначительно.
Таблица 3. Распределение продуктов крекинга н-гексадекана в зависимости от температуры крекинга
Показатели | Температура, °С | |||
425 | 450 | 475 | 500 | |
Выход, мас. % | ||||
Газы | 10.4 | 22.1 | 26.3 | 33.1 |
Жидкие продукты | 12.5 | 22.1 | 27.4 | 30.5 |
Кокс | 2.5 | 2.8 | 3.3 | 3.7 |
В табл. 4 приведен состав газообразных продуктов при крекинге н-гексадекана. Основную часть газов составляли углеводороды пропан–пропиленовой (ППФ) и бутан–бутиленовой (ББФ) фракций. При этом по мере увеличения температуры в составе ППФ отмечалось повышение содержания пропилена, в составе ББФ –рост содержания изобутана и н-бутена – типичных продуктов крекинга парафинов нормального строения. Суммарное содержание углеводородов С1–С2 не превышало 2.5%.
Таблица 4. Распределение газовых продуктов крекинга н-гексадекана
Показатели | Температура, °С | |||
425 | 450 | 475 | 500 | |
Состав газов, % | ||||
Метан и этан | 1.0 | 0.5 | 0.8 | 0.9 |
Этилен | 1.0 | 0.9 | 1.1 | 1.5 |
Пропан | 9.6 | 8.1 | 7.2 | 7.3 |
Пропилен | 22.1 | 23.1 | 24.0 | 25.7 |
н-Бутан | 9.6 | 9.0 | 9.1 | 9.1 |
изо-Бутан | 27.9 | 26.2 | 24.0 | 22.4 |
н-Бутен | 17.3 | 19.5 | 21.3 | 21.5 |
изо-Бутен | 11.5 | 12.7 | 12.5 | 11.8 |
Сумма газов | 100.0 | 100.0 | 100.0 | 100.0 |
Коэффициент переноса водорода | 1.30 | 1.10 | 0.98 | 0.95 |
Состав жидких продуктов крекинга н-гексадекана отличался высоким содержанием парафинов изомерного строения С6–С13 – типичных продуктов крекинга н-парафинов. Кроме того, с повышением температуры крекинга в жидких продуктах наблюдалось увеличение содержания олефинов изомерного строения (ослабление действия реакций переноса водорода) и моноароматических углеводородов (вовлечение олефинов в реакцию циклизации с последующей ароматизацией). Подтверждением ослабления действия реакций переноса водорода являлось снижение коэффициента переноса водорода (табл. 4).
Совместное превращение н-гексадекана и изопропанола в условиях каталитического крекинга. Для исследования влияния присутствия алифатического спирта на крекинг парафина нормального строения была приготовлена модельная смесь, содержащее 90.0 мас. % н-гексадекана и 10.0 мас. % изопропанола (сырье 2, табл. 2).
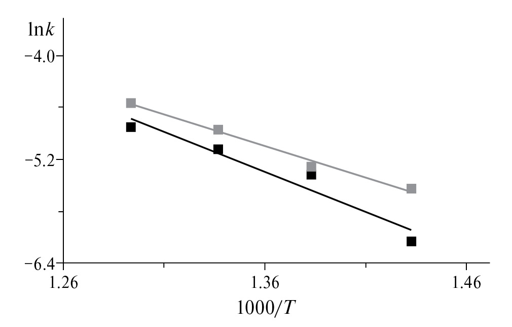
Проведение экспериментов в области температур 425–500°C позволило рассчитать значения наблюдаемых энергий активации крекинга н-гексадекана и н-гексадекана в смеси с изопропанолом. Принимая первый порядок реакции по н-гексадекану [41], расчет наблюдаемых энергий активации крекинга выполнялся по уравнению:
X = 1 – e−kt,
где X – конверсия н-гексадекана; k – константа скорости реакции первого порядка, с−1; t – время контакта, с.
Анализ температурных зависимостей константы скорости крекинга н-гексадекана и н-гексадекана + изопропанола (рис. 2) показал, что значения наблюдаемых энергий активации крекинга н-гексадекана и н-гексадекана в смеси равны 77.0 и 60.7 кДж/моль соответственно. Таким образом, разница в наблюдаемых энергиях активации крекинга н-гексадекана составляло 16.3 кДж/моль. Эти данные указывали на эффект промотирования реакции крекинга н-гексадекана при его совместном превращении с алифатическим спиртом. В работе [42] авторы исследовали превращение изопропанола в олефины и/или карбонильные соединения на кислотных и основных катализаторах. Ими было установлено, что кислотные центры способствуют протеканию дегидратации, тогда как дегидрирование предпочтительно в присутствии основных или окислительно-восстановительных центров. Таким образом, в результате дегидратации изопропанола образуется пропилен, который легко формирует карбокатион с участием активного кислотного центра катализатора [43].
Рис. 2. Температурная зависимость константы скорости крекинга н-гексадекана (■) и модельной смеси н-гексадекан–изопропанол (■).
Данные о составе продуктов крекинга модельного сырья 2 (табл. 5) показали, что характер распределения продуктов в присутствии алифатического спирта существенно не менялся. Основную часть составляли газообразные и жидкие продукты, и с повышением температуры крекинга их выход повышался. При этом выход кокса также менялся незначительно: с 3.6 (425°C) до 4.6 мас. % (500°C).
Таблица 5. Распределение продуктов крекинга модельной смеси н-гексадекан–изопропанол в зависимости от температуры крекинга
Показатели | Температура, °С | |||
425 | 450 | 475 | 500 | |
Выход, мас. % | ||||
Газы | 24.1 | 26.9 | 36.2 | 42.0 |
Жидкие продукты | 19.9 | 25.1 | 28.8 | 32.7 |
Кокс | 3.6 | 3.9 | 4.4 | 4.6 |
Как видно из данных табл. 5, при совместном превращении н-гексадекана и изопропанола с повышением температуры крекинга наблюдалось увеличение выхода газообразных продуктов. При этом основную часть газов составляла пропан–пропиленовая фракция (табл. 6). Это связано с тем, что при дегидратации изопропанола образовывались вода и пропилен, причем карбокатион мог формироваться как в процессе дегидратации, так и при протонировании образующегося пропилена. Общая схема совместного превращения н-гексадекана и изопропанола приведена на рис. 3. В составе бутанбутиленовой фракции, как и при превращении н-гексадекана, отмечалось высокое содержание изо-бутана и н-бутена. Суммарное содержание углеводородов С1–С2 не превышал 2.2%. Кроме того, необходимо отметить, что при совместном превращении н-гексадекана и изопропанола с повышением температуры крекинга (в отличие от превращения чистого н-гексадекана) значения коэффициента переноса водорода изменяются незначительно (табл. 6).
Рис. 3. Схема совместного превращения н-гексадекана и изопропанола на цеолитных катализаторах (ZeOH–БКЦ цеолита).
Таблица 6. Распределение газообразных продуктов крекинга модельной смеси н-гексадекан–изопропанол
Показатели | Температура, °С | |||
425 | 450 | 475 | 500 | |
Состав газов, % | ||||
Метан и этан | 0.4 | 0.4 | 0.6 | 0.7 |
Этилен | 0.4 | 0.7 | 1.1 | 1.4 |
Пропан | 14.9 | 13.0 | 11.6 | 10.5 |
Пропилен | 32.0 | 29.4 | 29.3 | 30.0 |
н-Бутан | 5.4 | 5.9 | 6.4 | 6.4 |
изо-Бутан | 18.3 | 19.3 | 19.1 | 18.8 |
н-Бутен | 17.0 | 19.0 | 20.2 | 20.7 |
изо-Бутен | 11.6 | 12.3 | 11.9 | 11.4 |
Сумма газов | 100.0 | 100.0 | 100.0 | 100.0 |
Коэффициент переноса водорода | 0.83 | 0.81 | 0.79 | 0.78 |
Характер распределения жидких продуктов практически не изменялся при совместном крекинге н-гексадекана с изопропанолом (рис. 4). Основную часть жидких продуктов, как и в случае крекинга н-гексадекана, составляли парафины изомерного строения С6–С13. Кроме того, с повышением температуры крекинга отмечалось усиление вклада реакции циклизации олефинов, в результате чего наблюдалось увеличение содержания моноароматических углеводородов в жидких продуктах.
Рис. 4. Углеводородный состав жидких продуктов крекинга н-гексадекана (а) и модельной смеси н-гексадекан–изопропанол (б): 350 (■), 400 (■), 450 (■) и 500°С (■), где н-П, изо-П – нормальные и изо-парафины; н-О, изо-О – нормальные и изо-олефины; Н – нафтены; мА и пА – моноароматические и полиароматические углеводороды.
Превращение спиртов может проходить через два возможных механизма с образованием эфиров или олефинов [44]. Это согласуется с предложенной схемой. Анализ жидких продуктов проводился методом газохроматомасс-спектрометрии с ионизацией электронами. Хроматограммы по характеристичным для изопропанола или его простых эфиров ионам m/z 45 и m/z 59 не содержали значимых сигналов в области элюирования низкомолекулярных соединений. Это указывает на отсутствие изопропанола и его простых эфиров, что, возможно, связано с полной дегидратацией спирта при высоких температурах крекинга (425–500°C), тогда как для получения эфиров приемлемым температурным диапазоном является 200–300°C [45].
Результаты моделирования
В предложенной в работе модели было учтено влияние редкоземельных элементов на структуру каталитически активного БКЦ. В данной модели был выбран цеолит Y с соотношением Si/Al = 47, в качестве редкоземельного элемента – ион лантана, расположенный в центре гексогональной призмы.
Центр молекулы н-гексадекана был расположен возле БКЦ по причине того что молекула н-гексадекана имеет максимальную длину 20 Å (расстояние между двумя терминальными водородами) и она не поместилась бы в одной суперклетке цеолита Y в линейной конформации, так как диаметр этой суперклетки составляет в среднем около 13 Å. Молекула изопропанола также была расположена возле БКЦ.
Перед началом моделирования адсорбции молекул изопропанола и н-гексадекана был проведен конформационный анализ молекулы н-гексадекана. По результатам анализа было установлено, что наименьшая энергия характерна для этого парафина в конформации, соответствующей структуре на рис. 5а; среди линейных молекул наименьшая энергия характерна для структуры, показанной на рис. 5б.
Рис. 5. Конформеры н-гексадекана, полученные в результате конформационного анализа: (а) — конформация с наименьшей энергией; (б) — линейная конформация с наименьшей энергией. Цветовое обозначение атомов: белый — водород, голубой — углерод.
Для определения возможных конформеров в условиях реакции была исследована молекулярная динамика в кластере цеолита при температуре 698 K. При рассмотрении распределения расстояний между терминальными атомами углерода в молекуле н-гексадекана (С1…C16) и расстояниями между центральным атомом углерода в молекуле н-гексадекана и протоном БКЦ (рис. 6а) (среди возможных конформеров н-гексадекана в условиях молекулярной динамики) можно наблюдать, что наиболее близко к БКЦ находятся конформации с расстояниями между терминальными углеродами более 8 Å. Так, конформеру н-гексадекана наиболее близко расположенному своим центральным атомом к БКЦ, соответствует расстояние между терминальными углеводородами 16.2 Å. Данной конформации наиболее соответствует линейная, зигзагообразная молекула н-гексадекана из набора стабильных конформаций, полученных в результате конформационного анализа, которая соответствует структуре, приведенной на рис. 5б.
Рис. 6. Распределение конформеров н-гексадекана: (а) – от расстояния между терминальными атомами углерода C1…C16 и расстояния между центральным атомом С8 в молекуле н-гексадекана и БКЦ, расположенным на пресечении двух суперклеток, полученное в результате молекулярной динамики при температуре 698 K; (б) – от расстояния между терминальными атомами углерода C1…C16 и энергий в интервале от 0 до 5 кДж/моль, относительно энергии конформера с наименьшей энергией, полученного в результате конформационного анализа.
Структура и зарядовое состояние модифицированного цеолита Y и адсорбированных на нем молекул приведены в табл. 7 и на рис. 7. При адсорбции н-гексадекана на БКЦ модифицированного цеолита Y не наблюдалось значительных изменений в структуре или заряде как атомов, образующих БКЦ, так и молекулы н-гексадекана. В случае адсорбции изопропанола на БКЦ модифицированного цеолита Y наблюдалось увеличение длины связи O–H и увеличение положительного заряда на водороде БКЦ, что указывает на образование водородной связи между изопропанолом и водородом кислотного центра цеолита Y.
Таблица 7. Энергии адсорбции, длины связей и заряды атомов, образующих систему адсорбат БКЦ (по Хиршфельду)
Молекулярная система | Энергия адсорбции 0 K, кДж/моль | Длина связи O–H БКЦ, Å | Заряд атома по Хиршфельду | ||
кислород БКЦ | водород БКЦ | лантан БКЦ | |||
ZeOH | – | 0.98 | −0.537 | 0.591 | −1.178 |
ZeOH + н-гексадекан | −153.04 | 0.99 | −0.558 | 0.586 | −1.177 |
ZeOH + изопропанол | −128.54 | 1.26 | −0.565 | 0.627 | −1.178 |
Рис. 7. Оптимизированная геометрия адсорбированного н-гексадекана (а) и изопропанола (б) на БКЦ цеолита Y, модифицированного лантаном. Цветовое обозначение атомов: белый — водород, голубой — углерод, желтый — кремний, нежно-розовый — алюминий, золотистый — лантан.
Из анализа термохимических данных, полученных в результате частотного анализа (табл. 8), следует, что изменение энергии Гиббса адсорбции н-гексадекана на БКЦ цеолита Y в среднем ниже на 24.6 кДж/моль, чем адсорбция изопропанола на том же центре в интервале температур от 425 до 500°C.
Таблица 8. Изменение энтальпии, энтропии и энергии Гиббса при адсорбции н-гексадекана и изопропанола в диапазоне температур от 425 до 500°С
Адсорбат | T, °С | ΔH, кДж/моль | ΔS, Дж/моль/К | ΔG, кДж/моль |
н-Гексадекан | 425 | –148.70 | 17.79 | –161.12 |
450 | –148.31 | 18.28 | –161.53 | |
475 | –147.91 | 18.77 | –161.94 | |
500 | –147.51 | 19.23 | –162.38 | |
Изопропанол | 425 | –112.86 | 33.36 | –136.14 |
450 | –112.29 | 33.86 | –136.77 | |
475 | –111.72 | 34.36 | –137.42 | |
500 | –111.13 | 34.85 | –138.08 |
Более низкое изменение энергии Гибсса адсорбции н-гексадекана в сравнении с изопропанолом в интервале температур от 425 до 500°C может указывать на то, что молекула н-гексадекана будет адсорбирована на большей части БКЦ, в отличие от молекулы изопропанола. Следовательно, в начальные моменты времени с БКЦ взаимодействует именно молекула н-гексадекана.
Наличие изопропанола может способствовать снижению барьера при переносе водорода от образовавшегося карбониевого или карбениевого иона к изопропанолу. Данный результат частично согласуется с результатами моделирования методом метадинамики процесса алкилирования бензола этанолом на цеолите ZSM-5 в присутствии различного содержания воды [46]. В данной работе было показано, что вода может действовать как агент, переносящий водород, снижая энергию активации реакции протонирования и увеличивая скорость примерно на 1 порядок. При увеличении концентрации воды сольватация напротив сильно стабилизирует протон, с чем связано снижение скорости протонирования, которая становится практически такой же низкой, как в безводном случае.
Полученные результаты DFT-моделирования косвенно подтверждают результаты, полученные в экспериментах по совместному превращению н-гексадекана в смеси с изопропанолом. Так как при введении изопропанола распределение продуктов изменяется незначительно, а наблюдаемая энергия активации снижается, то это может быть связано с тем, что на большей части БКЦ при совместном превращении будет адсорбирована молекула н-гексадекана, которая и вступает в дальнейшие реакции разрыва C—C-связи, а изопропанол способствует переносу водорода и стабилизации протона, снижая барьер активации.
Каталитический крекинг реального сырья. Результаты каталитических испытаний (табл. 9) показали, что добавление к гидроочищенному вакуумному газойлю 10.0 мас. % изопропанола способствовало повышению конверсии смесевого сырья. При этом наблюдалось существенное изменение выхода углеводородных продуктов. Так, в результате добавления изопропанола отмечалось резкое повышение выхода газов с 25.2 до 30.6 мас. %, причем увеличение было за счет роста выхода пропан-пропиленовой фракции. Выходы других газообразных продуктов практически не изменялись. Выход бензиновой фракции при этом снижался с 50.5 до 44.6 мас. %, а выход кокса повысился с 4.4 до 5.1 мас. %. Из данных таблицы видно, что содержание олефинов в пропан-пропиленовой и бутан-бутиленовой фракциях изменялось незначительно.
Таблица 9. Распределение продуктов крекинга различных видов сырья (температура 527°С, соотношение катализатор : сырье 4.0)
Выход продуктов, мас. % | Сырье крекинга | ||
сырье 3 | сырье 4 | сырье 4 (теоретич. расчет) | |
Бензин | 50.5 | 44.6 | 45.5 |
Газ | 25.2 | 30.6 | 29.7 |
С1–С2 | 2.1 | 1.9 | 1.9 |
ППФ | 8.5 | 14.2 | 14.7 |
ББФ | 14.6 | 14.5 | 13.1 |
Легкий газойль | 15.3 | 12.8 | 13.7 |
Тяжелый газойль | 4.6 | 3.9 | 4.1 |
Кокс | 4.4 | 5.1 | 4.0 |
Вода | – | 3.0 | 3.0 |
Конверсия | 80.1 | 83.3 | 82.2 |
Содержание продуктов в газовых фракциях, % | Сырье крекинга | ||
сырье 3 | сырье 4 | сырье 4 (теоретич. расчет) | |
C3=/СумС3 | 85.3 | 83.3 | 86.8 |
iС4/СумС4 | 41.5 | 41.0 | 41.5 |
iС4=/СумС4= | 24.2 | 26.8 | 24.2 |
СумС4=/СумС4 | 50.7 | 51.7 | 50.7 |
В табл. 9 приведен также теоретический состав продуктов крекинга смеси гидроочищенный вакуумный газойль–изопропанол. Как видно из представленных данных, выход продуктов не аддитивен, а следовательно, изопропанол в смеси с реальным нефтяным сырьем превращался не только в направлении реакции дегидратации с образованием пропилена и воды, но и оказывал промотирующий эффект на превращение углеводородов.
Таким образом, добавление алифатического спирта к реальному нефтяному сырью крекинга приводило не только к увеличению конверсии, но и способствовало существенному перераспределению целевых продуктов крекинга. Так, отмечалось значительное увеличение газообразных продуктов, в случае изопропанола это пропан-пропиленовая фракция с высоким содержанием пропилена, при одновременном снижении выхода бензиновой фракции. Выход кокса при этом изменялся незначительно.
Заключение
По результатам анализа температурных зависимостей константы скорости н-гексадекана и н-гексадекана в смеси с изопропанолом установлено, что более низкое значение наблюдаемой энергии активации крекинга н-гексадекана отмечается для н-гексадекана в смеси. Эти данные указывают на эффект промотирования реакции крекинга н-гексадекана при его совместном превращении с алифатическим спиртом.
Сопоставление состава продуктов крекинга н-гексадекана и модельной смеси н-гексадекан–изопропанол показывает, что характер распределения продуктов в присутствии алифатического спирта существенно не меняется. Основную часть составляют газообразные и жидкие продукты. Анализ жидких продуктов методом хромато-масс-спектрометрии с высокой долей вероятности показывает отсутствие содержания эфиров и других кислородсодержащих соединений, что указывает на полную дегидратацию спирта в условиях каталитического крекинга. В результате DFT-моделирования было установлено, что изменение энергии Гиббса при адсорбции на бренстедовском кислотном центре модифицированного цеолита Y для н-гексадекана ниже, чем для изопропанола, и в основном на БКЦ адсорбируется именно н-гексадекан.
Результаты совместного превращения гидроочищенного вакуумного газойля и изопропанола демонстрируют возможность вовлечения алифатических спиртов в процесс каталитического крекинга в качестве компонента сырья. Так, сопоставление теоретического и реального составов продуктов крекинга смеси гидроочищенный вакуумный газойль–изопропанол показывает, что выход продуктов неаддитивен, а следовательно, изопропанол в смеси с реальным нефтяным сырьем превращается не только в направлении реакции дегидратации с образованием пропилена и воды, но и оказывает промотирующий эффект на превращение углеводородов вакуумного газойля. Это может быть особенно важно в случае переработки тяжелых нефтяных фракций. Кроме того, добавление алифатического спирта к сырью крекинга способствует перераспределению целевых продуктов в сторону увеличения образования газообразных продуктов с высоким содержанием олефинов в них.
Благодарности
Авторы выражают благодарность С. Н. Евдокимову за выполнение исследований ЯМР-спектроскопии.
Финансирование работы
Работа выполнена при финансовой поддержке Министерства науки и высшего образования РФ в рамках государственного задания Института катализа СО РАН (проект FWUR-2024-0039).
Конфликт интересов
Авторы заявляют об отсутствии конфликта интересов, требующего раскрытия в данной статье.
作者简介
Петр Липин
Институт катализа СО РАН
编辑信件的主要联系方式.
Email: lipin@ihcp.ru
ORCID iD: 0000-0002-3337-6827
Центр новых химических технологий ИК СО РАН, к. х. н.
俄罗斯联邦, 644040, ОмскВладислав Ковеза
Институт катализа СО РАН
Email: lipin@ihcp.ru
ORCID iD: 0000-0003-3103-7925
Центр новых химических технологий ИК СО РАН
俄罗斯联邦, 644040, ОмскОлег Потапенко
Институт катализа СО РАН
Email: lipin@ihcp.ru
ORCID iD: 0000-0002-2755-7998
Центр новых химических технологий ИК СО РАН, к. х. н.
俄罗斯联邦, 644040, Омск参考
- Soongprasit K., Sricharoenchaikul V., Atong D. Pyrolysis of Millettia (Pongamia) pinnata waste for bio-oil production using a fly ash derived ZSM-5 catalyst // J. of Analytical and Applied Pyrolysis. 2019. V. 139. P. 239–249. https://doi.org/10.1016/j.jaap.2019.02.012
- Rahman M.M., Chai M., Sarker M., Nishu, Liu R. Catalytic pyrolysis of pinewood over ZSM-5 and CaO for aromatic hydrocarbon: analytical Py-GC/MS study // J. of the Energy Institute. 2020. V. 93. № 1. P. 425–435. https://doi.org/10.1016/j.joei.2019.01.014
- Karimi-Maleh H., Rajendran S., Vasseghian Y., Dra-goi E.-N. Advanced integrated nanocatalytic routes for converting biomass to biofuels: a comprehensive review // Fuel. 2022. V. 314. ID 122762. https://doi.org/10.1016/j.fuel.2021.122762
- Ishihara A., Tsukamoto T., Hashimoto T., Nasu H. Catalytic cracking of soybean oil by ZSM-5 zeolite-containing silica-aluminas with three layered micro-meso-meso-structure // Catalysis Today. 2018. V. 303. P. 123–129. https://doi.org/10.1016/j.cattod.2017.09.033
- Ameen M., Azizan M.T., Ramli A., Yusup S., Alnarabiji M.S. Catalytic hydrodeoxygenation of rubber seed oil over sonochemically synthesized Ni–Mo/ γ-Al2O3 catalyst for green diesel production // Ultrasonics Sonochemistry. 2019. V. 51. P. 90–102. https://doi.org/10.1016/j.ultsonch.2018.10.011
- Yang X., Li X., Liu J., Rong L. Ni/phosphomolybdic acid immobilized on carbon nanotubes for catalytic cracking of Jatropha oil // Chemical Physics Letters. 2019. V. 720. P. 42–51. https://doi.org/10.1016/j.cplett.2019.02.008
- Zhu Z., Ma C., Zhang Y.-H.P. Co-utilization of mixed sugars in an enzymatic fuel cell based on an in vitro enzymatic pathway // Electrochimica Acta. 2018. V. 263. P. 184–191. https://doi.org/10.1016/j.electacta.2017.11.083
- Gomez J.A., Höffner K., Barton P.I. Production of biofuels from sunlight and lignocellulosic sugars using microbial consortia // Chemical Engineering Science. 2021. V. 239. ID 116615. https://doi.org/10.1016/j.ces.2021.116615
- Zhang X., Wu K., Yuan Q. Comparative study of microwave and conventional hydrothermal treatment of chicken carcasses: bio-oil yields and properties // Energy. 2020. V. 200. ID 117539. https://doi.org/10.1016/j.energy.2020.117539
- Encinar J.M., Nogales-Delgado S., Sánchez N. Pre-esterification of high acidity animal fats to produce biodiesel: a kinetic study // Arabian Journal of Chemistry. 2021. V. 14. № 4. ID 103048. https://doi.org/10.1016/j.arabjc.2021.103048
- Andreo-Martínez P., Ortiz-Martínez V.M., Salar-García M.J., Veiga-del-Baño J.M., Chica A., Quesada-Medina J. Waste animal fats as feedstock for biodiesel production using non-catalytic supercritical alcohol transesterification: a perspective by the PRISMA methodology // Energy for Sustainable Development. 2022. V. 69. P. 150–163. https://doi.org/10.1016/j.esd.2022.06.004
- Khatri K., Rathore M.S., Agrawal S., Jha B. Sugar contents and oligosaccharide mass profiling of selected red seaweeds to assess the possible utilization of biomasses for third-generation biofuel production // Biomass and Bioenergy. 2019. V. 130. ID 105392. https://doi.org/10.1016/j.biombioe.2019.105392
- Zhong J., Han J., Wei Y., Liu Zh. Catalysts and shape selective catalysis in the methanol-to-olefin (MTO) reaction // J. of Catalysis. 2021. V. 396. P. 23–31. https://doi.org/10.1016/j.jcat.2021.01.027
- Ilias S., Bhan A. Tuning the selectivity of methanol-to-hydrocarbons conversion on H-ZSM-5 by co-processing olefin or aromatic compounds // J. of Catalysis. 2012. V. 290. P. 186–192. https://doi.org/10.1016/j.jcat.2012.03.016
- Kukana R., Jakhar O.P. Effect of ternary blends diesel/n-propanol/composite biodiesel on diesel engine operating parameters // Energy. 2022. V. 260. ID 124970. https://doi.org/10.1016/j.energy.2022.124970
- Yang J., Xin Zh., He Q., Corcadden K., Niu H. An overview on performance characteristics of bio-jet fuels // Fuel. 2019. V. 237. P. 916–936. https://doi.org/10.1016/j.fuel.2018.10.079
- Li H., Zhao Y., Ji D., Zhao X., Li Ch., Guo P., Li G. Synthesis of hollow HZSM-5 zeolite-based catalysts and catalytic performance in MTA reaction // Microporous and Mesoporous Materials. 2022. V. 329. ID 111546. https://doi.org/10.1016/j.micromeso.2021.111546
- Abbot J. The influence of olefins on cracking reactions of saturated hydrocarbons // J. of Catalysis. 1990. V. 126. № 2. P. 684–688. https://doi.org/10.1016/0021-9517(90)90033-G
- Quintana-Solorzano R., Thybaut J.W., Marin G.B. Catalytic cracking and coking of (cyclo)alkane/1-octene mixtures on an equilibrium catalyst // Applied Catalysis A: General, A. 2006. V. 314. № 2. P. 184–199. https://doi.org/10.1016/j.apcata.2006.08.020
- Doronin V.P., Potapenko O.V., Lipin P.V. Sorokina T.P. Catalytic cracking of vegetable oils and vacuum gas oil // Fuel. 2013. V. 106. P. 757–765. https://doi.org/10.1016/j.fuel.2012.11.027
- Ситдикова А.В., Павлов М.Л., Рахимов М.Н. Интенсификация процесса каталитического крекинга линейными олефинами // Нефтепереработка и нефтехимия. Научно-технические достижения и передовой опыт. 2008. № 4–5. С. 115–117.
- Van Speybroeck V., Hemelsoet K., Joos L., Waroquier M., Bell R.G., Catlow C.R.A. Advances in theory and their application within the field of zeolite chemistry // Chemical Society Reviews. 2015. V. 44. № 20. P. 7044–7111. https://doi.org/10.1039/C5CS00029G
- Van der Mynsbrugge J., Bell A.T. Challenges for the theoretical description of the mechanism and kinetics of reactions catalyzed by zeolites // J. of Catalysis. 2021. V. 404. P. 832–849. https://doi.org/10.1016/j.jcat.2021.08.048
- Louwen J.N., Simko S., Stanciakova K., Bulo R.E., Weckhuysen B.M., Vogt E.T. Role of rare earth ions in the prevention of dealumination of zeolite Y for fluid cracking catalysts // J. of Physical Chemistry C. 2020. V. 124. № 8. P. 4626–4636. https://doi.org/10.1021/acs.jpcc.9b11956
- Maihom T., Pantu P., Tachakritikul C., Probst M., Limtrakul J. Effect of the zeolite nanocavity on the reaction mechanism of n-hexane cracking: a density functional theory study // J. of Physical Chemistry C. 2010. V. 114. № 17. P. 7850–7856. https://doi.org/10.1021/jp911732p
- Niwa M., Suzuki K., Morishita N., Sastre G., Okumura K., Katada N. Dependence of cracking activity on the Brønsted acidity of Y zeolite: DFT study and experimental confirmation // Catalysis Science & Technology. 2013. V. 3. № 8. P. 1919–1927. https://doi.org/10.1039/C3CY00195D
- Доронин В.П., Сорокина Т.П. Химический дизайн катализаторов крекинга // Российский химический журнал. 2007. Т. 51. № 4. С. 23–29. [Doronin V.P., Sorokina T.P. Chemical design of cracking catalysts // Russ. J. of General Chemistry. 2007. V. 77. № 12. P. 2224-2231. https://doi.org/10.1134/S1070363207120274].
- International Zeolite Association [Электронный ресурс] http://www.iza-structure.org (дата обращения 14.07.23).
- Kühne T.D., Iannuzzi M., Del Ben M., Rybkin V.V., Seewald P., Stein F., Laino T., Khaliullin R.Z., Schütt O., Schiffmann F., Golze D., Wilhelm J., Chulkov S., Bani-Hashemian M.H., Weber V., Borštnik U., Taillefumier M., Jakobovits A.S., Lazzaro A., Pabst H., Müller T., Schade R., Guidon M., Andermatt S., Holmberg N., Schenter G.K., Hehn A., Bussy A., Belleflamme F., Tabacchi G., Glöß A., Lass M., Bethune I., Mundy C.J., Plessl C., Watkins M., VandeVondele J., Krack M., Hutter J. CP2K: An electronic structure and molecular dynamics software package-Quickstep: efficient and accurate electronic structure calculations // J. of Chemical Physics. 2020. V. 152. № 19. ID 194103. https://doi.org/10.1063/5.0007045
- Perdew J.P., Burke K., Ernzerhof M. Generalized gradient approximation made simple // Physical Review Letters. 1996. V. 77. № 18. P. 3865–3868. https://doi.org/10.1103/PhysRevLett.77.3865
- Zhang Y., Yang W. Comment on “Generalized gradient approximation made simple” // Physical Review Letters. 1998. V. 80. № 4. P. 890. https://doi.org/10.1103/PhysRevLett.80.890
- Grimme S., Antony J., Ehrlich S., Krieg H. A consistent and accurate ab initio parametrization of density functional dispersion correction (DFT-D) for the 94 elements H-Pu // J. of Chemical Physics. 2010. V. 132. № 15. ID 154104. https://doi.org/10.1063/1.3382344
- VandeVondele J., Hutter J. Gaussian basis sets for accurate calculations on molecular systems in gas and condensed phases // J. of Chemical Physics. 2007. V. 127. № 11. ID 114105. https://doi.org/10.1063/1.2770708
- VandeVondele J., Krack M., Mohamed F., Parrinello M., Chassaing T., Hutter J. Quickstep: fast and accurate density functional calculations using a mixed Gaussian and plane waves approach // Computer Physics Communications. 2005. V. 167. № 2. P. 103–128. https://doi.org/10.1016/j.cpc.2004.12.014
- Krack M. Pseudopotentials for H to Kr optimized for gradient-corrected exchange-correlation functionals // Theoretical Chemistry Accounts. 2005. V. 114. P. 145–152. https://doi.org/10.1007/s00214-005-0655-y
- Spicher S., Grimme S. Robust atomistic modeling of materials, organometallic, and biochemical systems // Angewandte Chemie International Edition. 2020. V. 59. № 36. P. 15665–15673. https://doi.org/10.1002/anie.202004239
- Pracht P., Bohle F., Grimme S. Automated exploration of the low-energy chemical space with fast quantum chemical methods // Physical Chemistry Chemical Physics. 2020. V. 22. № 14. P. 7169–7192. https://doi.org/10.1039/C9CP06869D
- Bannwarth C., Caldeweyher E., Ehlert S., Hansen A., Pracht P., Seibert J., Spicher S., Grimme S. Extended tight-binding quantum chemistry methods // Wiley Interdisciplinary Reviews: Computational Molecular Science. 2021. V. 11. № 2. ID e1493. https://doi.org/10.1002/wcms.1493
- De Moor B. A., Ghysels A., Reyniers M.F., Van Speybroeck V., Waroquier M., Marin G.B. Normal mode analysis in zeolites: toward an efficient calculation of adsorption entropies // Journal of Chemical Theory and Computation. 2011. V. 7. № 4. P. 1090–1101. https://doi.org/10.1021/ct1005505
- Lu T., Chen Q. Shermo: a general code for calculating molecular thermochemistry properties // Computational and Theoretical Chemistry. 2021. V. 1200. ID 113249. https://doi.org/10.1016/j.comptc.2021.113249
- Ancheyta J. Chemical Reaction Kinetics: Concepts, Methods and Case Studies. Hoboken, NJ: John Wiley & Sons, Inc., 2017. 304 p.
- Gervasini A., Auroux A. Acidity and basicity of metal oxide surfaces II. Determination by catalytic decomposition of isopropanol // J. of Catalysis. 1991. V. 131. № 1. P. 190–198. https://doi.org/10.1016/0021-9517(91)90335-2
- Raseev S. Thermal and Catalytic Processes in Petroleum Refining. New York: Marcel Dekker, Inc., 2003. 920 p.
- Phillips C.B., Datta R. Production of ethylene from hydrous ethanol on H-ZSM-5 under mild conditions // Industrial & Engineering Chemistry Research. 1997. V. 36. № 11. P. 4466–4475. https://doi.org/10.1021/ie9702542
- Ramasamya K.K., Wang Y. Ethanol conversion to hydrocarbons on HZSM-5: effect of reaction conditions and Si/Al ratio on the product distributions // Catalysis Today. 2014. V. 237. P. 89–99. https://doi.org/10.1016/j.cattod.2014.02.044
- Bocus M., Vanduyfhuys L., De Proft F., Weckhuysen B.M., Van Speybroeck V. Mechanistic characterization of zeolite-catalyzed aromatic electrophilic substitution at realistic operating conditions // JACS Au. 2022. V. 2. № 2. P. 502–514. https://doi.org/10.1021/jacsau.1c00544
补充文件









