Substrate behavior of dissimilar CY5-deoxypyrimidine nucleotides in PCR with DNA matrices of different GC-composition
- Autores: Monakova P.M.1, Shershov V.E.1, Kuznetsova V.E.1, Chudinov A.V.1, Lapa S.A.1
-
Afiliações:
- Engelhardt Institute of Molecular Biology, Russian Academy of Sciences
- Edição: Volume 59, Nº 1 (2025)
- Páginas: 133-140
- Seção: СТРУКТУРНО-ФУНКЦИОНАЛЬНЫЙ АНАЛИЗ БИОПОЛИМЕРОВИ ИХ КОМПЛЕКСОВ
- URL: https://bakhtiniada.ru/0026-8984/article/view/294740
- DOI: https://doi.org/10.31857/S0026898425010096
- EDN: https://elibrary.ru/HCNCJX
- ID: 294740
Citar
Resumo
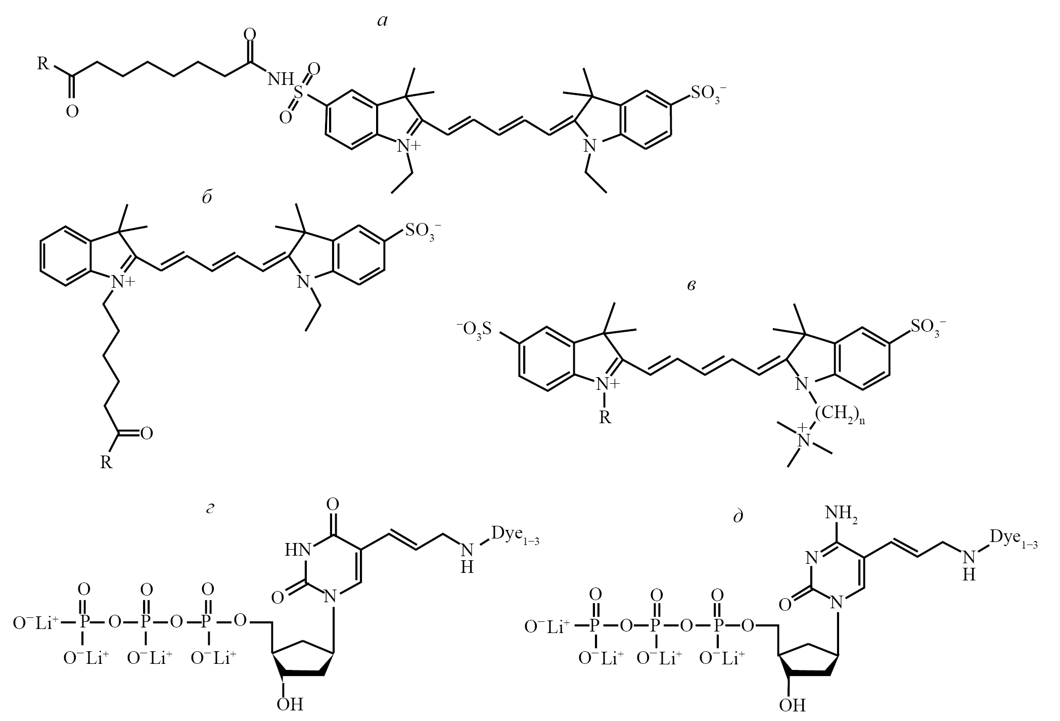
The substrate properties of six pairs of fluorescently labeled deoxyuridine and deoxycytidine triphosphates (Cy5-dUTPs and Cy5-dCTPs) in PCR with Taq polymerase were compared. In each pair, the modified dU and dC contained identical fluorescently labeled Cy5 substituents; for different pairs, the substituent structures differed in the length of the linker between the nitrogenous base and the fluorophore, the length of the linker between the quaternary ammonium group and the second heterocycle of the fluorophore, as well as the structure of the fluorophore itself. DNA fragments of Staphylococcus aureus (AT-rich template) and Mycobacterium tuberculosis (GC-rich template) were used as matrices. With both templates, deoxycytidine derivatives showed slightly higher amplification efficiency (E). The influence of the fluorophore structure and the GC-composition of the template on the kinetics of the reaction was insignificant. At the same time, a high incorporation efficiency was observed on the AT-rich matrix for uridine derivatives, and on the GC-rich matrix for cytidine derivatives (and in both cases — for substituents with a longer linker length). Nevertheless, the specific incorporation density, which takes into account the number of similar nucleotides in the DNA chain, was in all cases higher for dU derivatives. It was found that in pairs with similar fluorophore modifications, uridine derivatives, compared with cytidine, are characterized by a higher incorporation density, regardless of the composition of the template, but at the same time they have a greater inhibitory effect. The results obtained will increase the sensitivity of fluorescence analysis using the immobilized phase (microarray analysis).
Texto integral
Sobre autores
P. Monakova
Engelhardt Institute of Molecular Biology, Russian Academy of Sciences
Autor responsável pela correspondência
Email: polina.monakova02@gmail.com
Rússia, Moscow
V. Shershov
Engelhardt Institute of Molecular Biology, Russian Academy of Sciences
Email: polina.monakova02@gmail.com
Rússia, Moscow
V. Kuznetsova
Engelhardt Institute of Molecular Biology, Russian Academy of Sciences
Email: polina.monakova02@gmail.com
Rússia, Moscow
A. Chudinov
Engelhardt Institute of Molecular Biology, Russian Academy of Sciences
Email: polina.monakova02@gmail.com
Rússia, Moscow
S. Lapa
Engelhardt Institute of Molecular Biology, Russian Academy of Sciences
Email: polina.monakova02@gmail.com
Rússia, Moscow
Bibliografia
- Salic A., Mitchison T.J. (2008) A chemical method for fast and sensitive detection of DNA synthesis in vivo. Proc. Natl. Acad. Sci. USA. 105, 2415–2420.
- Smith C.I.E., Zain R. (2019) Therapeutic oligonucleotides: state of the art. Annu. Rev. Pharmacol. Toxicol. 59, 605–630.
- Yu H., Chao J., Patek D., Mujumdar R., Mujumdar S., Waggoner A.S. (1994) Cyanine dye dUTP analogs for enzymatic labeling of DNA probes. Nucl. Acids Res. 22, 3226–3232.
- Lapa S.A., Chudinov A.V., Timofeev E.N. (2016) The toolbox for modified aptamers. Mol. Biotechnol. 58, 79–92.
- Шершов В.Е., Кузнецова В.Е., Лысов Ю.П., Гусейнов Т.О., Барский В.Е., Спицын М.А., Заседателева О.А., Василисков В.А., Суржиков С.А., Заседателев А.С., Чудинов А.В. (2015) Влияние заряда хромофора на эффективность включения флуоресцентно-меченных нуклеотидов при матричном синтезе ДНК Taq-полимеразой. Биофизика. 60, 1216–1218.
- Лапа С.А., Гусейнов Т.О., Павлов А.С., Шершов В.Е., Кузнецова В.Е., Заседателев А.С., Чудинов А.В. (2020) Одновременное применение Cу5-модифицированных производных дезоксиуридина и дезоксицитидина в ПЦР. Биоорган. химия. 46, 418–424.
- Лисица Т.С., Шершов В.Е., Спицын М.А., Гусейнов Т.О., Иконникова А.Ю., Фесенко Д.О., Лапа С.А., Заседателев А.С., Чудинов А.В., Наседкина Т.В. (2017) Кинетика флуоресцентного маркирования ДНК с помощью полимеразной цепной реакции в зависимости от химического строения модифицированных нуклеотидов при использовании различных Taq-полимераз. Биофизика. 62, 49–56.
- Лапа С.А., Волкова О.С., Спицын М.А., Шершов В.Е., Кузнецова В.Е., Гусейнов Т.О., Заседателев А.С., Чудинов А.В. (2019) Эффективность амплификации и субстратные свойства флуоресцентно-меченных трифосфатов дезоксиуридина в ПЦР с ДНК-полимеразами, не обладающими 3ʹ-5ʹ-экзонуклеазной активностью. Биоорган. химия. 45, 392–402.
- Spitsyn M.A., Kuznetsova V.E., Shershov V.E., Emelyanova М.А., Guseinov T.O., Lapa S.A., Nasedkina T.V., Zasedatelev A.S., Chudinov A.V. (2017) Synthetic route to novel zwitterionic pentamethine indocyanine fluorophores with various substitutions. Dyes Pigments. 147, 199–210.
- Zasedateleva O.A., Vasiliskov V.A., Surzhikov S.A., Kuznetsova V.E., Shershov V.E., Guseinov T.O., Smirnov I.P., Yurasov R.A., Spitsyn M.A., Chudinov A.V. (2018) dUTPs conjugated with zwitterionic Cy3 or Cy5 fluorophore analogues are effective substrates for DNA amplification and labelling by Taq polymerase. Nucl. Acids Res. 46, e73.
- Шершов В.Е., Лапа С.А., Левашова А.И., Шишкин И.Ю., Штылев Г.Ф., Шекалова Е.Ю., Василисков В.А., Заседателев А.С., Кузнецова В.Е., Чудинов А.В. (2023) Синтез флуоресцентно-меченных нуклеотидов для маркирования продуктов изотермической амплификации. Биоорган. химия. 49, 649–656.
- Ramakers C., Ruijter J.M., Deprez R.H., Moorman A.F. (2003) Assumption-free analysis of quantitative real-time polymerase chain reaction (PCR) data. Neurosci. Lett. 339, 62–66.
- Peirson S.N., Butler J.N., Foster R.G. (2003) Experimental validation of novel and conventional approaches to quantitative real-time PCR data analysis. Nucl. Acids Res. 31, e73.
Arquivos suplementares




