Marine fungi: in search of new antibacterial drugs
- Authors: Yurchenko E.A.1, Chingizova E.A.1, Aminin D.L.1, Yurchenko A.N.1
-
Affiliations:
- G.B. Elyakov Pacific Institute of Bioorganic Chemistry, Far East Branch, Russian Academy of Sciences
- Issue: Vol 59, No 1 (2025)
- Pages: 43-59
- Section: ОБЗОРЫ
- URL: https://bakhtiniada.ru/0026-8984/article/view/294643
- DOI: https://doi.org/10.31857/S0026898425010041
- EDN: https://elibrary.ru/HDESIP
- ID: 294643
Cite item
Abstract
The review deals with studies of antibacterial secondary metabolites of marine micromycete fungi as an element of a modern strategy for the search for new antibiotics. More than half of the drugs currently used in practice have been isolated from bacteria (Bacteria) and actinomycetes (Actinomycetes), however, the first antimicrobial compounds were isolated from mycelial fungi (Ascomycetes), and it is obvious that their potential has not been exhausted. Marine fungi occupy a separate niche due to the peculiarities of their habitats, which also affect their production of low molecular weight compounds. This paper provides information on the secondary metabolites of marine fungi acting against those bacterial targets aimed by the modern search for new antibiotics and discusses a strategy for investigating the antibacterial activity of marine fungal metabolites.
Keywords
Full Text
About the authors
E. A. Yurchenko
G.B. Elyakov Pacific Institute of Bioorganic Chemistry, Far East Branch, Russian Academy of Sciences
Author for correspondence.
Email: eyurch@piboc.dvo.ru
Russian Federation, Vladivostok
E. A. Chingizova
G.B. Elyakov Pacific Institute of Bioorganic Chemistry, Far East Branch, Russian Academy of Sciences
Email: eyurch@piboc.dvo.ru
Russian Federation, Vladivostok
D. L. Aminin
G.B. Elyakov Pacific Institute of Bioorganic Chemistry, Far East Branch, Russian Academy of Sciences
Email: eyurch@piboc.dvo.ru
Russian Federation, Vladivostok
A. N. Yurchenko
G.B. Elyakov Pacific Institute of Bioorganic Chemistry, Far East Branch, Russian Academy of Sciences
Email: eyurch@piboc.dvo.ru
Russian Federation, Vladivostok
References
- Butler M.S., Henderson I.R., Capon R.J., Blaskovich M.A.T. (2023) Antibiotics in the clinical pipeline as of December 2022. J. Antibiot. 76, 431‒473.
- Bentley R. (2000) Mycophenolic acid: a one hundred year odyssey from antibiotic to immunosuppressant. Chem. Rev. 100, 3801‒3826.
- Karwehl S., Stadler M. (2016) Exploitation of fungal biodiversity for discovery of novel antibiotics. Curr. Top. Microbiol. Immunol. 398, 303‒338.
- Hutchings M.I., Truman A.W., Wilkinson B. (2019) Antibiotics: past, present and future. Curr. Opin. Microbiol. 51, 72‒80.
- Gogineni V., Chen X., Hanna G., Mayasari D., Hamann M.T. (2020) Role of symbiosis in the discovery of novel antibiotics. J. Antibiot. 73, 490‒503.
- Nikolaou E., Agrafioti I., Stumpf M., Quinn J., Stansfield I., Brown A.J.P. (2009) Phylogenetic diversity of stress signalling pathways in fungi. BMC Evol. Biol. 9, 44.
- van Santen J.A., Poynton E.F., Iskakova D., McMann E., Alsup T.A., Clark T.N., Fergusson C.H., Fewer D.P., Hughes A.H., McCadden C.A. (2022) The Natural Products Atlas 2.0: a database of microbially-derived natural products. Nucl. Acids Res. 50, D1317‒D1323.
- Voser T.M., Campbell M.D., Carroll A.R. (2022) How different are marine microbial natural products compared to their terrestrial counterparts? Nat. Prod. Rep. 39, 7‒19.
- Pang K.-L., Overy D.P., Jones E.B.G., Calado M.d.L., Burgaud G., Walker A.K., Johnson J.A., Kerr R.G., Cha H.-J., Bills G.F. (2016) "Marine fungi" and "marine-derived fungi" in natural product chemistry research: toward a new consensual definition. Fungal Biol. Rev. 30, 163‒175.
- Carroll A.R., Copp B.R., Davis R.A., Keyzers R.A., Prinsep M.R. (2021) Marine natural products. Nat. Prod. Rep. 38, 362‒413.
- Riera-Romo M., Wilson-Savón L., Hernandez-Balmaseda I. (2020) Metabolites from marine microorganisms in cancer, immunity, and inflammation: a critical review. J. Pharm. Pharmacogn. Res. 8, 368‒391.
- Wali A.F., Majid S., Rasool S., Shehada S.B., Abdulkareem S.K., Firdous A., Beigh S., Shakeel S., Mushtaq S., Akbar I., Madhkali H., Rehman M.U. (2019) Natural products against cancer: Review on phytochemicals from marine sources in preventing cancer. Saudi Pharm. J. 27, 767‒777.
- Wang C., Tang S., Cao S. (2020) Antimicrobial compounds from marine fungi. Phytochem. Rev. 20, 85‒117.
- Rateb M.E., Ebel R. (2011) Secondary metabolites of fungi from marine habitats. Nat. Prod. Rep. 28, 290‒344.
- Chen G., Wang H.F., Pei Y.H. (2014) Secondary metabolites from marine-derived microorganisms. J. Asian Nat. Prod. Res. 16, 105‒122.
- Blunt J.W., Copp B.R., Keyzers R.A., Munro M.H.G., Prinsep M.R. (2015) Marine natural products. Nat. Prod. Rep. 32, 116‒211.
- Liming J., Chunshan Q., Xiyan H., Shengdi F. (2016) Potential pharmacological resources: Natural bioactive compounds from marine-derived fungi. Mar. Drugs. 14, 76.
- Yurchenko A.N., Girich E.V., Yurchenko E.A. (2021) Metabolites of marine sediment-derived fungi: actual trends of biological activity studies. Mar. Drugs. 19, 88.
- Wang C., Tang S., Cao S. (2021) Antimicrobial compounds from marine fungi. Phytochem. Rev. 20, 85‒117.
- Hafez Ghoran S., Taktaz F., Sousa E., Fernandes C., Kijjoa A. (2023) Peptides from marine-derived fungi: chemistry and biological activities. Mar. Drugs. 21, 510.
- Zhang H., Zou J., Yan X., Chen J., Cao X., Wu J., Liu Y., Wang T. (2021) Marine-derived macrolides 1990–2020: an overview of chemical and biological diversity. Mar. Drugs. 19, 180.
- Karpiński T.M. (2019) Marine macrolides with antibacterial and/or antifungal activity. Mar. Drugs. 17, 241.
- Willems T., De Mol M.L., De Bruycker A., De Maeseneire S.L., Soetaert W.K. (2020) Alkaloids from marine fungi: promising antimicrobials. Antibiotics. 9, 340.
- Gomes N.G.M., Madureira-Carvalho Á., Dias-da-Silva D., Valentão P., Andrade P.B. (2021) Biosynthetic versatility of marine-derived fungi on the delivery of novel antibacterial agents against priority pathogens. Biomed. Pharmacother. 140, 111756.
- Khalimova А.А. (2023) Review of the antibiotics market and evaluation of its development prospects. Med. Pharm. J. Pulse. 25, 77‒83.
- Щекотихин А.Е., Олсуфьева Е.Н., Янковская В.С. (2022) Антибиотики и родственные соединения (Antibiotics and related compounds). M.: Лаборатория знаний. 511 с.
- Kohanski M.A., Dwyer D.J., Collins J.J. (2010) How antibiotics kill bacteria: from targets to networks. Nat. Rev. Microbiol. 8, 423‒435.
- Fisher J.F., Mobashery S. (2023) beta-Lactams from the Ocean. Mar. Drugs. 21, 86.
- Kim C.-F., Lee S.K., Price J., Jack R.W., Turner G., Kong R.Y. (2003) Cloning and expression analysis of the pcbAB-pcbC β-lactam genes in the marine fungus Kallichroma tethys. Appl. Environ. Microbiol. 69, 1308‒1314.
- Firakova S., Proksa B., Šturdíková M. (2007) Biosynthesis and biological activity of enniatins. Pharmazie. 62, 563‒568.
- Sy-Cordero A.A., Pearce C.J., Oberlies N.H. (2012) Revisiting the enniatins: a review of their isolation, biosynthesis, structure determination and biological activities. J. Antibiot. 65, 541‒549.
- Sasaki H., Kurakado S., Matsumoto Y., Yoshino Y., Sugita T., Koyama K., Kinoshita K. (2023) Enniatins from a marine-derived fungus Fusarium sp. inhibit biofilm formation by the pathogenic fungus Candida albicans. J. Nat. Med. 77, 455‒463.
- Zhao P., Xue Y., Li X., Li J., Zhao Z., Quan C., Gao W., Zu X., Bai X., Feng S. (2019) Fungi-derived lipopeptide antibiotics developed since 2000. Peptides. 113, 52‒65.
- Du F.-Y., Zhang P., Li X.-M., Li C.-S., Cui C.-M., Wang B.-G. (2014) Cyclohexadepsipeptides of the isaridin class from the marine-derived fungus Beauveria felina EN-135. J. Nat. Prod. 77, 1164‒1169.
- Kim M.-Y., Sohn J.H., Ahn J.S., Oh H. (2009) Alternaramide, a cyclic depsipeptide from the marine-derived fungus Alternaria sp. SF-5016. J. Nat. Prod. 72, 2065‒2068.
- Panizel I., Yarden O., Ilan M., Carmeli S. (2013) Eight new peptaibols from sponge-associated Trichoderma atroviride. Mar. Drugs. 11, 4937‒4960.
- Fernandes P. (2016) Fusidic acid: a bacterial elongation factor inhibitor for the oral treatment of acute and chronic staphylococcal infections. Cold Spring Harb. Perspect. Med. 6, a025437.
- Falagas M.E., Grammatikos A.P., Michalopoulos A. (2008) Potential of old-generation antibiotics to address current need for new antibiotics. Expert Rev. Anti Infect. Ther. 6, 593‒600.
- Kuznetsova T.A., Smetanina O.F., Afiyatullov S.S., Pivkin M.V., Denisenko V.A., Elyakov G.B. (2001) The identification of fusidic acid, a steroidal antibiotic from marine isolate of the fungus Stilbella aciculosa. Biochem. Syst. Ecol. 29, 873‒874.
- Chain E., Florey H.W., Jennings M.A., Williams T.I. (1943) Helvolic acid, an antibiotic produced by Aspergillus fumigatus, mut. helvola Yuill. Br. J. Exp. Pathol. 24, 108‒119.
- Raffa N., Keller N.P. (2019) A call to arms: mustering secondary metabolites for success and survival of an opportunistic pathogen. PLoS Pathogens. 15, e1007606.
- Kong F.-D., Huang X.-L., Ma Q.-Y., Xie Q.-Y., Wang P., Chen P.-W., Zhou L.-M., Yuan J.-Z., Dai H.-F., Luo D.-Q., Zhao Y.-X. (2018) Helvolic acid derivatives with antibacterial activities against Streptococcus agalactiae from the marine-derived fungus Aspergillus fumigatus HNMF0047. J. Nat. Prod. 81, 1869‒1876.
- Kilaru S., Collins C.M., Hartley A.J., Bailey A.M., Foster G.D. (2009) Establishing molecular tools for genetic manipulation of the pleuromutilin-producing fungus Clitopilus passeckerianus. Appl. Environ. Microbiol. 75, 7196‒7204.
- Gupta P., Phulara S. (2021) Chapter 3 — Terpenoids: Types and their application. In: Biotechnology of Terpenoid Production from Microbial Cell Factories. pp. 47‒78. https://doi.org/10.1016/B978-0-12-819917-6.00006-5
- Foti C., Piperno A., Scala A., Giuffrè O. (2021) Oxazolidinone antibiotics: chemical, biological and analytical aspects. Molecules. 26, 4280.
- Borders D.B., Morton G.O., Wetzel E.R. (1974) Structure of a novel bromine compound isolated from a sponge. Tetrahedron Lett. 15(31), 2709‒2712.
- Moriou C., Lacroix D., Petek S., El-Demerdash A., Trepos R., Leu T.M., Florean C., Diederich M., Hellio C., Debitus C., Al-Mourabit A. (2021) Bioactive bromotyrosine derivatives from the pacific marine sponge Suberea clavata (Pulitzer-Finali, 1982). Mar. Drugs. 19, 143.
- Huo C., An D., Wang B., Zhao Y., Lin W. (2005) Structure elucidation and complete NMR spectral assignments of a new benzoxazolinone glucoside from Acanthus ilicifolius. Magn. Reson. Chem. 43, 343‒345.
- Hitotsuyanagi Y., Hikita M., Uemura G., Fukaya H., Takeya K. (2011) Structures of stemoxazolidinones A-F, alkaloids from Stemona sessilifolia. Tetrahedron. 67, 455‒461.
- Liu C., Yang C., Zeng Y., Shi J., Li L., Li W., Jiao R., Tan R., Ge H. (2019) Chartrenoline, a novel alkaloid isolated from a marine Streptomyces chartreusis NA02069. Chin. Chem. Lett. 30, 44‒46.
- Pluotno A., Carmeli S. (2005) Banyasin A and banyasides A and B, three novel modified peptides from a water bloom of the cyanobacterium Nostoc sp. Tetrahedron. 61, 575‒583.
- Huang L., Chen C., Cai J., Chen Y., Zhu Y., Yang B., Zhou X., Liu Y., Tao H. (2024) Discovery of enzyme inhibitors from mangrove sediment derived fungus Trichoderma harzianum SCSIO 41051. Chem. Biodiversity. 21, e202400070.
- De Filippis A., Nocera F.P., Tafuri S., Ciani F., Staropoli A., Comite E., Bottiglieri A., Gioia L., Lorito M., Woo S.L., Vinale F., De Martino L. (2021) Antimicrobial activity of harzianic acid against Staphylococcus pseudintermedius. Nat. Prod. Res. 35, 5440‒5445.
- Staropoli A., Cuomo P., Salvatore M.M., De Tommaso G., Iuliano M., Andolfi A., Tenore G.C., Capparelli R., Vinale F. (2023) Harzianic acid activity against Staphylococcus aureus and its role in calcium regulation. Toxins. 15, 237.
- Ondeyka J.G., Zink D., Basilio A., Vicente F., Bills G., Diez M.T., Motyl M., Dezeny G., Byrne K., Singh S.B. (2007) Coniothyrione, a chlorocyclopentandienylbenzopyrone as a bacterial protein synthesis inhibitor discovered by antisense technology. J. Nat. Prod. 70, 668‒670.
- Overy D.P., Berrue F., Correa H., Hanif N., Hay K., Lanteigne M., Mquilian K., Duffy S., Boland P., Jagannathan R., Carr G.S., Vansteeland M., Kerr R.G. (2014) Sea foam as a source of fungal inoculum for the isolation of biologically active natural products. Mycology. 5, 130‒144.
- Zhuravleva O.I., Chingizova E.A., Oleinikova G.K., Starnovskaya S.S., Antonov A.S., Kirichuk N.N., Menshov A.S., Popov R.S., Kim N.Y., Berdyshev D.V., Chingizov A.R., Kuzmich A.S., Guzhova I.V., Yurchenko A.N., Yurchenko E.A. (2023) Anthraquinone derivatives and other aromatic compounds from marine fungus Asteromyces cruciatus KMM 4696 and their effects against Staphylococcus aureus. Mar. Drugs. 21, 431.
- Robinson A., J Causer R., E Dixon N. (2012) Architecture and conservation of the bacterial DNA replication machinery, an underexploited drug target. Curr. Drug Targets. 13, 352‒372.
- Millanao A.R., Mora A.Y., Villagra N.A., Bucarey S.A., Hidalgo A.A. (2021) Biological effects of quinolones: a family of broad-spectrum antimicrobial agents. Molecules. 26, 7153.
- Ebada S.S., Ebrahim W. (2020) A new antibacterial quinolone derivative from the endophytic fungus Aspergillus versicolor strain Eich.5.2.2. S. Afr. J. Bot. 134, 151‒155.
- Pang X., Cai G., Lin X., Salendra L., Zhou X., Yang B., Wang J., Wang J., Xu S., Liu Y. (2019) New alkaloids and polyketides from the marine sponge-derived fungus Penicillium sp. SCSIO41015. Mar. Drugs. 17, 398.
- Khan T., Sankhe K., Suvarna V., Sherje A., Patel K., Dravyakar B. (2018) DNA gyrase inhibitors: progress and synthesis of potent compounds as antibacterial agents. Biomed. Pharmacother. 103, 923‒938.
- Nesterenko L.E., Popov R.S., Zhuravleva O.I., Kirichuk N.N., Chausova V.E., Krasnov K.S., Pivkin M.V., Yurchenko E.A., Isaeva M.P., Yurchenko A.N. (2023) A Study of the metabolic profiles of Penicillium dimorphosporum KMM 4689 which led to its re-identification as Penicillium hispanicum. Fermentation. 9, 337.
- Duan F., Li X., Cai S., Xin G., Wang Y., Du D., He S., Huang B., Guo X., Zhao H., Zhang R., Ma L., Liu Y., Du Q., Wei Z., Xing Z., Liang Y., Wu X., Fan C., Ji C., Zeng D., Chen Q., He Y., Liu X., Huang W. (2014) Haloemodin as novel antibacterial agent inhibiting DNA gyrase and bacterial topoisomerase I. J. Med. Chem. 57, 3707‒3714.
- Heide L. (2009) Genetic engineering of antibiotic biosynthesis for the generation of new aminocoumarins. Biotechnol. Adv. 27, 1006‒1014.
- Costa T.M., Tavares L.B.B., de Oliveira D. (2016) Fungi as a source of natural coumarins production. Appl. Microbiol. Biotechnol. 100, 6571‒6584.
- Chu M., Mierzwa R., Xu L., He L., Terracciano J., Patel M., Gullo V., Black T., Zhao W., Chan T.-M., McPhail A.T. (2003) Isolation and structure elucidation of Sch 642305, a novel bacterial DNA primase inhibitor produced by Penicillium verrucosum. J. Nat. Prod. 66, 1527‒1530.
- Brady S.F., Wagenaar M.M., Singh M.P., Janso J.E., Clardy J. (2000) The Cytosporones, new octaketide antibiotics isolated from an endophytic fungus. Org. Lett. 2, 4043‒4046.
- Adelin E., Martin M.-T., Cortial S., Retailleau P., Lumyong S., Ouazzani J. (2013) Bioactive polyketides isolated from agar-supported fermentation of Phomopsis sp. CMU-LMA, taking advantage of the scale-up device, Platotex. Phytochemistry. 93, 170‒175.
- van Eijk E., Wittekoek B., Kuijper E.J., Smits W.K. (2017) DNA replication proteins as potential targets for antimicrobials in drug-resistant bacterial pathogens. J. Antimicrob. Chemother. 72, 1275‒1284.
- Kirker K.R., Secor P.R., James G.A., Fleckman P., Olerud J.E., Stewart P.S. (2009) Loss of viability and induction of apoptosis in human keratinocytes exposed to Staphylococcus aureus biofilms in vitro. Wound Repair Regen. 17, 690‒699.
- Linz M.S., Mattappallil A., Finkel D., Parker D. (2023) Clinical impact of Staphylococcus aureus skin and soft tissue infections. Antibiotics. 12, 557.
- Guo H., Tong Y., Cheng J., Abbas Z., Li Z., Wang J., Zhou Y., Si D., Zhang R. (2022) Biofilm and small colony variants — an update on Staphylococcus aureus strategies toward drug resistance. Int. J. Mol. Sci. 23, 1241.
- Tan L., Li S.R., Jiang B., Hu X.M., Li S. (2018) Therapeutic targeting of the Staphylococcus aureus accessory gene regulator (agr) system. Front. Microbiol. 9, 55.
- Cheung G.Y.C., Bae J.S., Otto M. (2021) Pathogenicity and virulence of Staphylococcus aureus. Virulence. 12, 547‒569.
- Nitulescu G., Margina D., Zanfirescu A., Olaru O.T., Nitulescu G.M. (2021) Targeting bacterial sortases in search of anti-virulence therapies with low risk of resistance development. Pharmaceuticals. 14, 415.
- Wu S.-C., Liu F., Zhu K., Shen J.-Z. (2019) Natural products that target virulence factors in antibiotic-resistant Staphylococcus aureus. J. Agric. Food Chem. 67, 13195‒13211.
- Mahdally N.H., George R.F., Kashef M.T., Al-Ghobashy M., Murad F.E., Attia A.S. (2021) Staquorsin: a novel Staphylococcus aureus Agr-mediated quorum sensing inhibitor impairing virulence in vivo without notable resistance development. Front. Microbiol. 12, 700494‒700494.
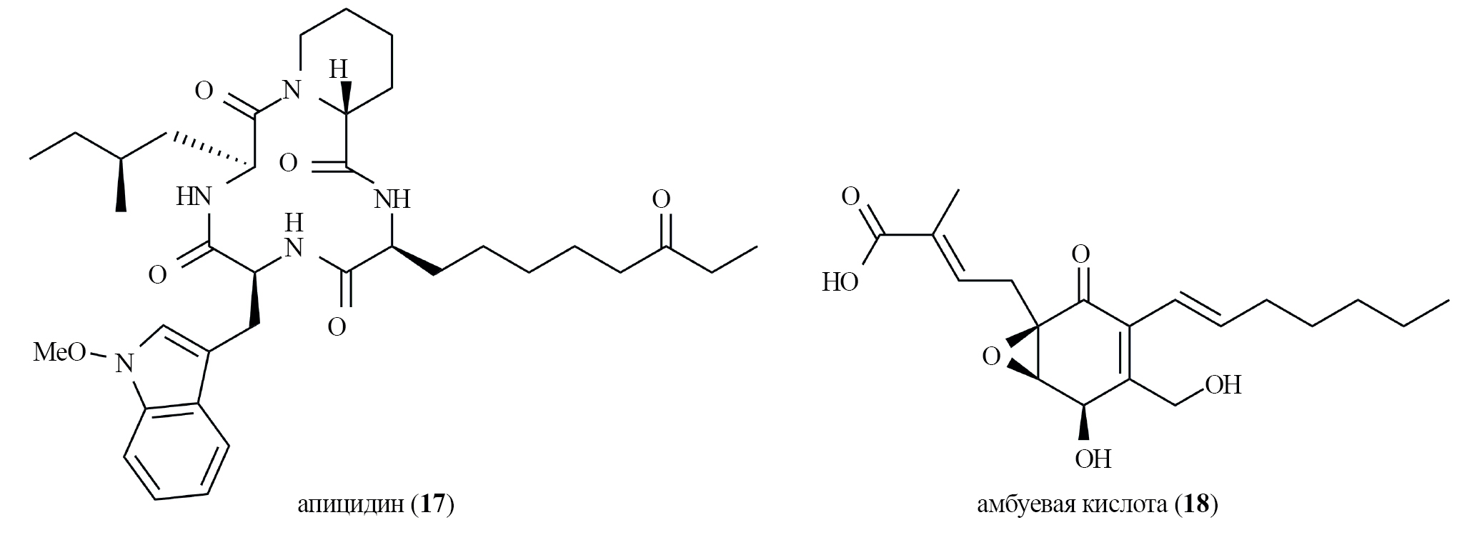
- Parlet C.P., Kavanaugh J.S., Crosby H.A., Raja H.A., El-Elimat T., Todd D.A., Pearce C.J., Cech N.B., Oberlies N.H., Horswill A.R. (2019) Apicidin attenuates MRSA virulence through quorum-sensing inhibition and enhanced host defense. Cell Rep. 27, 187‒198.e186.
- Nakayama J., Uemura Y., Nishiguchi K., Yoshimura N., Igarashi Y., Sonomoto K. (2009) Ambuic acid inhibits the biosynthesis of cyclic peptide quormones in gram-positive bacteria. Antimicrob. Agents Chemother. 53, 580‒586.
- Igarashi Y., Gohda F., Kadoshima T., Fukuda T., Hanafusa T., Shojima A., Nakayama J., Bills G.F., Peterson S. (2015) Avellanin C, an inhibitor of quorum-sensing signaling in Staphylococcus aureus, from Hamigera ingelheimensis. J. Antibiot. 68, 707‒710.
- Daly S.M., Elmore B.O., Kavanaugh J.S., Triplett K.D., Figueroa M., Raja H.A., El-Elimat T., Crosby H.A., Femling J.K., Cech N.B. (2015) ω-Hydroxyemodin limits Staphylococcus aureus quorum sensing-mediated pathogenesis and inflammation. Antimicrob. Agents Chemother. 59, 2223‒2235.
- Figueroa M., Jarmusch A.K., Raja H.A., El-Elimat T., Kavanaugh J.S., Horswill A.R., Cooks R.G., Cech N.B., Oberlies N.H. (2014) Polyhydroxyanthraquinones as quorum sensing inhibitors from the guttates of Penicillium restrictum and their analysis by desorption electrospray ionization mass spectrometry. J. Nat. Prod. 77, 1351‒1358.
- Semwal R.B., Semwal D.K., Combrinck S., Viljoen A. (2021) Emodin — a natural anthraquinone derivative with diverse pharmacological activities. Phytochemistry. 190, 112854.
- Chalothorn T., Rukachaisirikul V., Phongpaichit S., Pannara S., Tansakul C. (2019) Synthesis and antibacterial activity of emodin and its derivatives against methicillin-resistant Staphylococcus aureus. Tetrahedron Lett. 60, 151004.
- Đukanović S., Ganić T., Lončarević B., Cvetković S., Nikolić B., Tenji D., Randjelović D., Mitić‐Ćulafić D. (2022) Elucidating the antibiofilm activity of frangula emodin against Staphylococcus aureus biofilms. J. Appl. Microbiol. 132, 1840‒1855.
- Xiang H., Cao F., Ming D., Zheng Y., Dong X., Zhong X., Mu D., Li B., Zhong L., Cao J., Wang L., Ma H., Wang T., Wang D. (2017) Aloe-emodin inhibits Staphylococcus aureus biofilms and extracellular protein production at the initial adhesion stage of biofilm development. Appl. Microbiol. Biotechnol. 101, 6671‒6681.
- Lu F., Wu X., Hu H., He Z., Sun J., Zhang J., Song X., Jin X., Chen G. (2022) Emodin combined with multiple-low-frequency, low-intensity ultrasound to relieve osteomyelitis through sonoantimicrobial chemotherapy. Microbiol. Spectr. 10, e00544‒00522.
- Dong X., Fu J., Yin X., Cao S., Li X., Lin L., Huyiligeqi, Ni J. (2016) Emodin: a review of its pharmacology, toxicity and pharmacokinetics. Phytother. Res. 30, 1207‒1218.
- Masi M., Evidente A. (2020) Fungal bioactive anthraquinones and analogues. Toxins. 12, 714.
- Hafez Ghoran S., Taktaz F., Ayatollahi S.A., Kijjoa A. (2022) Anthraquinones and their analogues from marine-derived fungi: chemistry and biological activities. Mar. Drugs. 20, 474.
- Alharthi S., Alavi S.E., Moyle P.M., Ziora Z.M. (2021) Sortase A (SrtA) inhibitors as an alternative treatment for superbug infections. Drug Discov. Today. 26, 2164‒2172.
- Park S.C., Chung B., Lee J., Cho E., Hwang J.Y., Oh D.C., Shin J., Oh K.B. (2020) Sortase A-inhibitory metabolites from a marine-derived fungus Aspergillus sp. Mar. Drugs. 18, 359.
- Hwang J.Y., Lee J.H., Park S.C., Lee J., Oh D.C., Oh K.B., Shin J. (2019) New peptides from the marine-derived fungi Aspergillus allahabadii and Aspergillus ochraceopetaliformis. Mar. Drugs. 17, 488.
- Julianti E., Lee J.H., Liao L., Park W., Park S., Oh D.C., Oh K.B., Shin J. (2013) New polyaromatic metabolites from a marine-derived fungus Penicillium sp. Org. Lett. 15, 1286‒1289.
- Girich E.V., Rasin A.B., Popov R.S., Yurchenko E.A., Chingizova E.A., Trinh P.T.H., Ngoc N.T.D., Pivkin M.V., Zhuravleva O.I., Yurchenko A.N. (2022) New tripeptide derivatives asperripeptides A-C from vietnamese mangrove-derived fungus Aspergillus terreus LM.5.2. Mar. Drugs. 20, 77.
- Zhuravleva O.I., Oleinikova G.K., Antonov A.S., Kirichuk N.N., Pelageev D.N., Rasin A.B., Menshov A.S., Popov R.S., Kim N.Y., Chingizova E.A., Chingizov A.R., Volchkova O.O., von Amsberg G., Dyshlovoy S.A., Yurchenko E.A., Guzhova I.V., Yurchenko A.N. (2022) New antibacterial chloro-containing polyketides from the alga-derived fungus Asteromyces cruciatus KMM 4696. J. Fungi. 8, 454.
- Yurchenko A.N., Zhuravleva O.I., Khmel O.O., Oleynikova G.K., Antonov A.S., Kirichuk N.N., Chausova V.E., Kalinovsky A.I., Berdyshev D.V., Kim N.Y., Popov R.S., Chingizova E.A., Chingizov A.R., Isaeva M.P., Yurchenko E.A. (2023) New cyclopiane diterpenes and polyketide derivatives from marine sediment-derived fungus Penicillium antarcticum KMM 4670 and their biological activities. Mar. Drugs. 21, 584.
- Chingizova E.A., Menchinskaya E.S., Chingizov A.R., Pislyagin E.A., Girich E.V., Yurchenko A.N., Guzhova I.V., Mikhailov V.V., Aminin D.L., Yurchenko E.A. (2021) Marine fungal cerebroside flavuside B protects HaCaT keratinocytes against Staphylococcus aureus induced damage. Mar. Drugs. 19, 553.
- Passos da Silva D., Schofield M.C., Parsek M.R., Tseng B.S. (2017) An update on the sociomicrobiology of quorum sensing in Gram-negative biofilm development. Pathogens. 6, 51
- Vasilchenko A.S., Poshvina D.V., Sidorov R.Y., Iashnikov A.V., Rogozhin E.A., Vasilchenko A.V. (2022) Oak bark (Quercus sp. cortex) protects plants through the inhibition of quorum sensing mediated virulence of Pectobacterium carotovorum. World J. Microbiol. Biotechnol. 38, 184.
- Dobretsov S., Teplitski M., Bayer M., Gunasekera S., Proksch P., Paul V.J. (2011) Inhibition of marine biofouling by bacterial quorum sensing inhibitors. Biofouling. 27, 893‒905.
- Kong F.D., Zhou L.M., Ma Q.Y., Huang S.Z., Wang P., Dai H.F., Zhao Y.X. (2017) Metabolites with Gram-negative bacteria quorum sensing inhibitory activity from the marine animal endogenic fungus Penicillium sp. SCS-KFD08. Arch. Pharm. Res. 40, 25‒31.
- Valiante V. (2017) The cell wall integrity signaling pathway and its involvement in secondary metabolite production. J. Fungi. 3, 68.
- Yurchenko A.N., Nesterenko L.E., Popov R.S., Kirichuk N.N., Chausova V.E., Chingizova E.A., Isaeva M.P., Yurchenko E.A. (2023) The metabolite profiling of Aspergillus fumigatus KMM4631 and its co-cultures with other marine fungi. Metabolites. 13, 1138.
- Chen J., Zhang P., Ye X., Wei B., Emam M., Zhang H., Wang H. (2020) The structural diversity of marine microbial secondary metabolites based on co-culture strategy: 2009–2019. Mar. Drugs. 18, 449.
- Zhu F., Chen G., Chen X., Huang M., Wan X. (2011) Aspergicin, a new antibacterial alkaloid produced by mixed fermentation of two marine-derived mangrove epiphytic fungi. Chem. Nat. Compd. 47, 767‒769.
- Yang S.-Q., Li X.-M., Li X., Li H.-L., Meng L.-H., Wang B.-G. (2018) New citrinin analogues produced by coculture of the marine algal-derived endophytic fungal strains Aspergillus sydowii EN-534 and Penicillium citrinum EN-535. Phytochem. Lett. 25, 191‒195.
- Leshchenko E.V., Berdyshev D.V., Yurchenko E.A., Antonov A.S., Borkunov G.V., Kirichuk N.N., Chausova V.E., Kalinovskiy A.I., Popov R.S., Khudyakova Y.V., Chingizova E.A., Chingizov A.R., Isaeva M.P., Yurchenko A.N. (2023) Bioactive polyketides from the natural complex of the sea urchin-associated fungi Penicillium sajarovii KMM 4718 and Aspergillus protuberus KMM 4747. Int. J. Mol. Sci. 24, 16568.
- Abdel-Wahab N.M., Scharf S., Özkaya F.C., Kurtán T., Mándi A., Fouad M.A., Kamel M.S., Müller W.E.G., Kalscheuer R., Lin W., Daletos G., Ebrahim W., Liu Z., Proksch P. (2019) Induction of secondary metabolites from the marine-derived fungus Aspergillus versicolor through co-cultivation with Bacillus subtilis. Planta Med. 85, 503‒512.
- Outterson K., Orubu E.S.F., Rex J., Årdal C., Zaman M.H. (2022) Patient access in 14 high-income countries to new antibacterials approved by the US food and drug administration, European medicines agency, Japanese pharmaceuticals and medical devices agency, or health Canada, 2010–2020. Clin. Infect. Dis. 74, 1183‒1190.
- Bondareva N.E., Soloveva A.V., Sheremet A.B., Koroleva E.A., Kapotina L.N., Morgunova E.Y., Luyksaar S.I., Zayakin E.S., Zigangirova N.A. (2022) Preventative treatment with Fluorothiazinon suppressed Acinetobacter baumannii-associated septicemia in mice. J. Antibiot. 75, 155‒163.
- Savitskii M.V., Moskaleva N.E., Brito A., Zigangirova N.A., Soloveva A.V., Sheremet A.B., Bondareva N.E., Lubenec N.L., Kuznetsov R.M., Samoylov V.M. (2023) Pharmacokinetics, quorum-sensing signal molecules and tryptophan-related metabolomics of the novel anti-virulence drug Fluorothiazinon in a Pseudomonas aeruginosa-induced pneumonia murine model. J. Pharm. Biomed. Anal. 236, 115739.
- Theuretzbacher U., Outterson K., Engel A., Karlén A. (2020) The global preclinical antibacterial pipeline. Nat. Rev. Microbiol. 18, 275‒285.
Supplementary files














