Expression Profiles of TRIM Family Genes in Neuronal and Glial Cell Cultures of Healthy Donors and Patients with Parkinson’s Disease under Normal Conditions and Upon Neuroinflammation
- Authors: Nenasheva V.V.1, Novosadova Е.V.1, Gerasimova T.P.2, Novosadova L.V.1, Kotok A.Y.1, Arsenyeva E.L.1, Stepanenko Е.А.1, Grivennikov I.А.1, Tarantul V.Z.1
-
Affiliations:
- Kurchatov Institute
- Lopukhin Federal Research and Clinical Center of Physical Chemical Medicine of the Federal Medical and Biological Agency of the Russian Federation
- Issue: Vol 58, No 6 (2024)
- Pages: 1075-1086
- Section: МОЛЕКУЛЯРНАЯ БИОЛОГИЯ КЛЕТКИ
- URL: https://bakhtiniada.ru/0026-8984/article/view/280842
- DOI: https://doi.org/10.31857/S0026898424060172
- EDN: https://elibrary.ru/HZSRSN
- ID: 280842
Cite item
Abstract
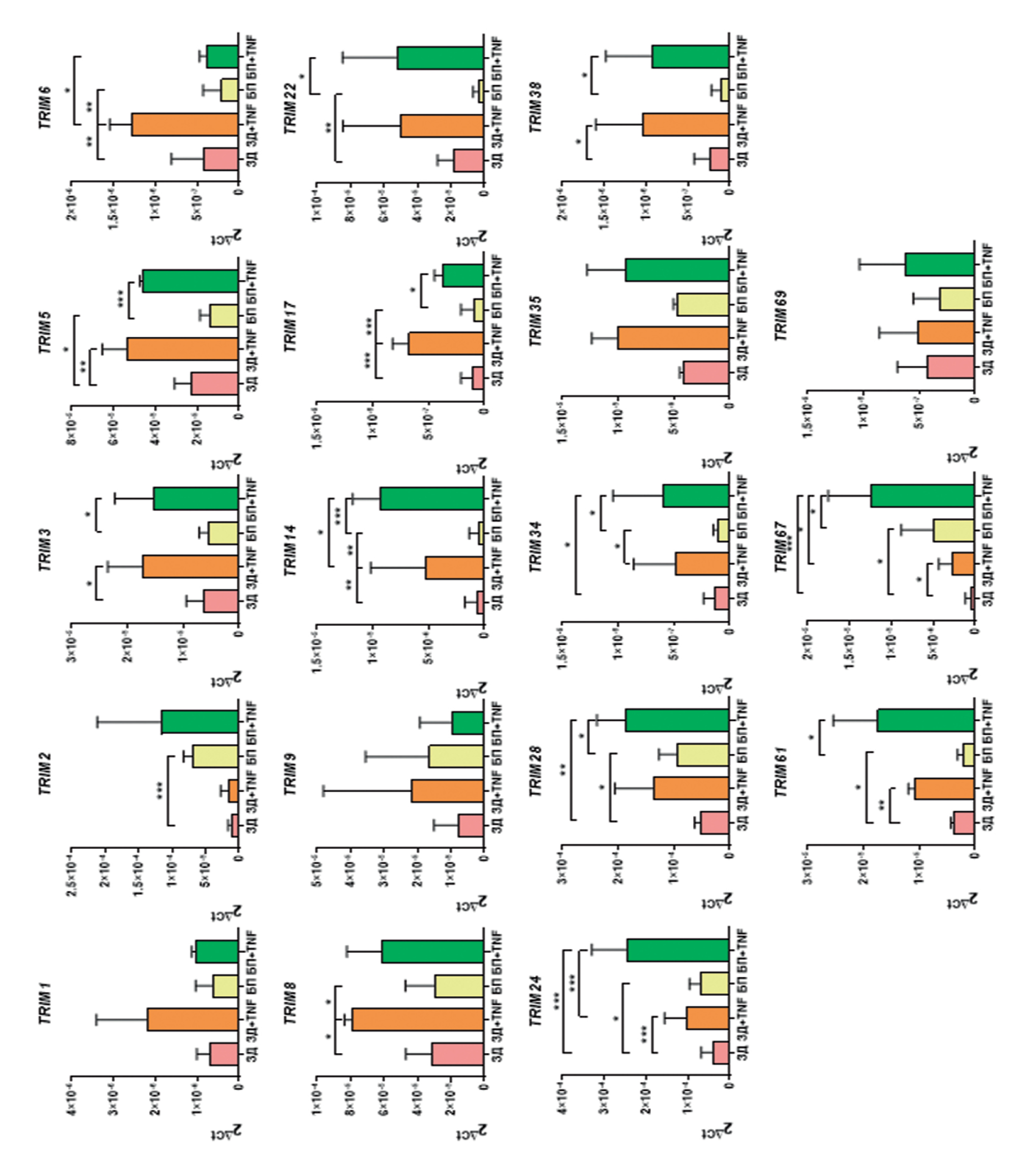
Proteins of the TRIM family are involved in both innate immunity and the nervous system processes and may play an important role in the development of neurodegenerative diseases. In this work, we analyzed the expression of 35 genes of the TRIM family in neural progenitors (NPs), terminally differentiated neurons (TDNs) and glial derivatives (NGs) obtained from induced pluripotent stem cells (iPSCs) of healthy donors (HD) and patients with Parkinson’s disease (PD), in the absence of inflammatory stimuli and upon the induction of a nonspecific inflammatory response under the influence of TNFα. In NPs and TDNs of PD patients, compared with HD cells, differences in expression were observed for only a small number of TRIM genes. Under the influence of TNFα in TDNs, the expression of individual TRIM genes was activated, which was more significant in the cells of patients with PD compared to cells of HDs. In NGs of PD patients, the expression of many TRIM genes was initially reduced compared to HD cells and remained low or further decreased after exposure to TNFα. The data obtained demonstrate differences in the network of the TRIM family members in PD neurons and glia compared to control, and also show the multidirectional influence of the inflammatory stimulus on the expression of a number of TRIM genes in these types of cells. Considering the important role of many TRIM genes in the functioning of the innate immune system, it can be assumed that, in PD, more significant disturbances in the functioning of genes of this family occur in glia compared to neurons.
Full Text
About the authors
V. V. Nenasheva
Kurchatov Institute
Email: katishsha@mail.ru
Russian Federation, Moscow, 123182
Е. V. Novosadova
Kurchatov Institute
Email: katishsha@mail.ru
Russian Federation, Moscow, 123182
T. P. Gerasimova
Lopukhin Federal Research and Clinical Center of Physical Chemical Medicine of the Federal Medical and Biological Agency of the Russian Federation
Email: katishsha@mail.ru
Russian Federation, Moscow, 119435
L. V. Novosadova
Kurchatov Institute
Email: katishsha@mail.ru
Russian Federation, Moscow, 123182
A. Yu. Kotok
Kurchatov Institute
Email: katishsha@mail.ru
Russian Federation, Moscow, 123182
E. L. Arsenyeva
Kurchatov Institute
Email: katishsha@mail.ru
Russian Federation, Moscow, 123182
Е. А. Stepanenko
Kurchatov Institute
Author for correspondence.
Email: katishsha@mail.ru
Russian Federation, Moscow, 123182
I. А. Grivennikov
Kurchatov Institute
Email: katishsha@mail.ru
Russian Federation, Moscow, 123182
V. Z. Tarantul
Kurchatov Institute
Email: katishsha@mail.ru
Russian Federation, Moscow, 123182
References
- Ejlerskov P., Hultberg J.G., Wang J., Carlsson R., Ambjørn M., Kuss M., Liu Y., Porcu G., Kolkova K., Friis Rundsten C., Ruscher K., Pakkenberg B., Goldmann T., Loreth D., Prinz M., Rubinsztein D.C., Issazadeh-Navikas S. (2015) Lack of Neuronal IFN-β-IFNAR сauses Lewy body- and Parkinson’s disease-like dementia. Cell. 163, 324–339.
- Zeng X.S., Geng W.S., Jia J.J., Chen L., Zhang P.P. (2018) Cellular and molecular basis of neurodegeneration in Parkinson disease. Front. Aging Neurosci. 10, 109.
- Милюхина И.В., Карпенко М.Н., Тимофеева А.А., Клименко В.М., Скоромец А.А. (2013) Роль воспаления в патогенезе болезни Паркинсона. Неврологический журнал. 18, 51–55.
- Richards R.I., Robertson S.A., O’Keefe L.V., Fornarino D., Scott A., Lardelli M., Baune B.T. (2016) The enemy within: innate surveillance-mediated cell death, the common mechanism of neurodegenerative disease. Front. Neurosci.10, 193.
- Dias-Carvalho A., Sá S.I., Carvalho F., Fernandes E., Costa V.M. (2024) Inflammation as common link to progressive neurological diseases. Arch. Toxicol. 98, 95–119.
- vanTol S., Hage A., Giraldo M.I., Bharaj P., Rajsbaum R. (2017) The TRIMendous role of TRIMs in virus-host interactions. Vaccines (Basel). 5, pii: E23.
- Khan R., Khan A., Ali A., Idrees M. (2019) The interplay between viruses and TRIM family proteins. Rev. Med. Virol. 2019, e2028.
- Nenasheva V.V., Tarantul V.Z. (2020) Many faces of TRIM proteins on the road from pluripotency to neurogenesis. Stem Cells Dev. 29, 1–14.
- Reymond A., Meroni G., Fantozzi A., Merla G., Cairo S., Luzi L., Riganelli D., Zanaria E., Messali S., Cainarca S., Guffanti A., Minucci S., Pelicci P.G., Ballabio A. (2001) The tripartite motif family identifies cell compartments. EMBO J. 20, 2140–2151.
- Watanabe M., Hatakeyama S. (2017) TRIM proteins and diseases. J. Biochem. 161, 135–144.
- Stepanenko E., Bondareva N., Sheremet A., Fedina E., Tikhomirov A., Gerasimova T., Poberezhniy D., Makarova I., Tarantul V., Zigangirova N., Nenasheva V. (2023) Identification of key TRIM genes involved in response to Pseudomonas aeruginosa or Chlamydia spp. Infections in human cell lines and in mouse organs. Int. J. Mol. Sci. 24, 13290.
- Deng N.H., Zhou Z.X., Liu H.T., Tian Z., Wu Z.F., Liu X.Y., Xiong W.H., Wang Z., Jiang Z.S. (2022) TRIMs: generalists regulating the NLRP3 inflammasome signaling pathway. DNA Cell Biol. 41, 262–275.
- Hatakeyama S. (2017) TRIM family proteins: roles in autophagy, immunity, and carcinogenesis. Trends Biochem. Sci. 42, 297–311.
- Tarantul V.Z. (2018) Many faces of TRIM family proteins on the field of oncoimmunology. Universal J. Oncol. 1, 1–37.
- Park Y.H., Pyun J.M., Hodges A., Jang J.W., Bice P.J., Kim S., Saykin A.J., Nho K; AddNeuroMed consortium and the Alzheimer’s Disease Neuroimaging Initiative. (2021) Dysregulated expression levels of APH1B in peripheral blood are associated with brain atrophy and amyloid-β deposition in Alzheimer’s disease. Alzheimers Res. Ther. 13, 183.
- Heo H., Park H., Lee M.S., Kim J., Kim J., Jung S.Y., Kim S.K., Lee S., Chang J. (2023) TRIM22 facilitates autophagosome-lysosome fusion by mediating the association of GABARAPs and PLEKHM1. Autophagy. 27, 1–16.
- Logue M.W., Lancour D., Farrell J., Simkina I., Fallin M.D., Lunetta K.L., Farrer L.A. (2018) Targeted sequencing of Alzheimer disease genes in African Americans implicates novel risk variants. Front. Neurosci. 12, 592.
- Tanji K., Kamitani T., Mori F., Kakita A., Takahashi H., Wakabayashi K. (2010) TRIM9, a novel brain-specific E3 ubiquitin ligase, is repressed in the brain of Parkinson’s disease and dementia with Lewy bodies. Neurobiol. Dis. 38, 210–218.
- Liu Y., Zhu M., Lin L., Fan X., Piao Z., Jiang X. (2014) Deficiency of TRIM27 protects dopaminergic neurons from apoptosis in the neurotoxin model of Parkinson’s disease. Brain Res. 1588, 17–24.
- Dong W., Qiu C., Gong D., Jiang X., Liu W., Liu W., Zhang L., Zhang W. (2019) Proteomics and bioinformatics approaches for the identification of plasma biomarkers to detect Parkinson’s disease. Exp. Ther. Med. 18, 2833–2842.
- Dong W., Luo B., Qiu C., Jiang X., Shen B., Zhang L., Liu W., Zhang W. (2020) TRIM3 attenuates apoptosis in Parkinson’s disease via activating PI3K/AKT signal pathway. Aging (Albany NY). 13, 735–749.
- Nenasheva V.V., Novosadova E.V., Makarova I.V., Lebedeva O.S., Grefenshtein M.A., Arsenyeva E.L., Antonov S.A., Grivennikov I.A., Tarantul V. Z. (2017) The transcriptional changes of TRIM genes associated with Parkinson’s disease on a model of human induced pluripotent stem cells. Mol. Neurobiol. 54, 7204–7211.
- Feyeux M., Bourgois-Rocha F., Redfern A., Giles P., Lefort N., Aubert S., Bonnefond C., Bugi A., Ruiz M., Deglon N., Jones L., Peschanski M., Allen N. D., Perrier A. L. (2012) Early transcriptional changes linked to naturally occurring Huntington’s disease mutations in neural derivatives of human embryonic stem cells. Hum. Mol. Genet. 21, 3883–3895.
- Heinz A., Schilling J., van Roon-Mom W., Krauß S. (2021) The MID1 protein: a promising therapeutic target in Huntington’s disease. Front Genet. 12, 761714.
- Лебедева О.С., Лагарькова М.А. (2018) Плюрипотентные стволовые клетки для моделирования и клеточной терапии болезни Паркинсона. Биохимия. 83, 1318–1330.
- Beevers J.E., Caffrey T.M., Wade-Martins R. (2013) Induced pluripotent stem cell (iPSC)-derived dopaminergic models of Parkinson’s disease. Biochem. Soc. Trans. 41, 1503–1508.
- Novosadova E., Anufrieva K., Kazantseva E., Arsenyeva E., Fedoseyeva V., Stepanenko E., Poberezhniy D., Illarioshkin S., Novosadova L., Gerasimova T., Nenasheva V., Grivennikov I., Lagarkova M., Tarantul V. (2022) Transcriptome datasets of neural progenitors and neurons differentiated from induced pluripotent stem cells of healthy donors and Parkinson’s disease patients with mutations in the PARK2 gene. Data Brief. 41, 107958.
- Novosadova E.V., Arsenyva E.L., Antonov S.A., Kazantseva E.A., Novosadova L.V., Kurko O.D., Illarioshkin S.N., Tarantul V.Z., Grivennikov I.A. (2020) Generation and characteristics of glial cells from induced human pluripotent stem cells. Neurochem. 37, 358–367.
- Gerasimova T., Stepanenko E., Novosadova L., Arsenyeva E., Shimchenko D., Tarantul V., Grivennikov I., Nenasheva V., Novosadova E. (2023) Glial сultures differentiated from iPSCs of patients with PARK2-associated Parkinson’s disease demonstrate a pro-inflammatory shift and reduced response to TNFα stimulation. Int. J. Mol. Sci. 24, 2000.
- Subramanian V.S., Teafatiller T., Agrawal A., Kitazawa M., Marchant J.S. (2021) Effect of lipopolysaccharide and TNFα on neuronal ascorbic acid uptake. Mediators Inflamm. 2021, 4157132.
- Livak K., Schmittgen T. (2001) Analysis of relative gene expression data using real-time quantitative PCR and the 2(–Delta Delta C(T)) method. Methods (San-Diego (Calif)). 25, 402–408.
- Dudley-Fraser J., Rittinger K. (2023) It’s a TRIM-endous view from the top: the varied roles of TRIpartite Motif proteins in brain development and disease. Front. Mol. Neurosci. 16, 1287257.
- Zeng J., Wang Y., Luo Z., Chang L.C., Yoo J.S., Yan H., Choi Y., Xie X., Deverman B.E., Gradinaru V., Gupton S.L., Zlokovic B.V., Zhao Z., Jung J.U. (2019) TRIM9-mediated resolution of neuroinflammation confers neuroprotection upon ischemic stroke in mice. Cell. Rep. 27, 549–560.e6.
- Shi M., Cho H., Inn K.S., Yang A., Zhao Z., Liang Q., Versteeg G.A., Amini-Bavil-Olyaee S., Wong L.Y., Zlokovic B.V., Park H.S., García-Sastre A., Jung J.U. (2014) Negative regulation of NF-κB activity by brain-specific TRIpartite Motif protein 9. Nat. Commun. 5, 4820.
- Giovannoni F., Quintana F. J. (2020) The role of astrocytes in CNS inflammation. Trends Immunol. 41, 805–819.
- Marogianni C., Sokratous M., Dardiotis E., Hadjigeorgiou G.M., Bogdanos D., Xiromerisiou G. (2020) Neurodegeneration and Inflammation-an interesting interplay in Parkinson’s disease. Int. J. Mol. Sci. 21, 8421.
- Neal M., Richardson J.R. (2018) Epigenetic regulation of astrocyte function in neuroinflammation and neurodegeneration. Biochim. Biophys. Acta Mol. Basis Dis. 1864, 432–443.
- Brooker S.M., Naylor G.E., Krainc D. (2024) Cell biology of Parkinson’s disease: mechanisms of synaptic, lysosomal, and mitochondrial dysfunction. Curr. Opin. Neurobiol. 85, 102841. https://doi.org/10.1016/j.conb.2024.102841
- Yang Y., Jiang G., Zhang P., Fan J. (2015) Programmed cell death and its role in inflammation. Mil. Med. Res. 2, 12.
- Thompson S., Pearson A.N., Ashley M.D., Jessick V., Murphy B.M., Gafken P., Henshall D.C., Morris K.T., Simon R.P., Meller R. (2011) Identification of a novel Bcl-2-interacting mediator of cell death (Bim) E3 ligase, tripartite motif-containing protein 2 (TRIM2), and its role in rapid ischemic tolerance-induced neuroprotection. J. Biol. Chem. 286, 19331–19339.
- Wang P., Shen N., Liu D., Ning X., Wu D., Huang X. (2018) TRIM24 siRNA induced cell apoptosis and reduced cell viability in human nasopharyngeal carcinoma cells. Mol. Med. Rep. 18, 369–376.
- Li C., Xin H., Shi Y., Mu J. (2020) Knockdown of TRIM24 suppresses growth and induces apoptosis in acute myeloid leukemia through downregulation of Wnt/GSK-3β/β-catenin signaling. Hum. Exp. Toxicol. 39, 1725–1736.
- Kang C., Lu Z., Zhu G., Chen Y., Wu Y. (2021) Knockdown of TRIM22 relieves oxygen-glucose deprivation/reoxygenation-induced apoptosis and inflammation through inhibition of NF-κB/NLRP3 axis. Cell. Mol. Neurobiol. 41, 341–351.
- Yu Y., Xia Q., Zhan G., Gao S., Han T., Mao M., Li X., Wang Y. (2023) TRIM67 alleviates cerebral ischemia‒reperfusion injury by protecting neurons and inhibiting neuroinflammation via targeting IκBα for K63-linked polyubiquitination. Cell Biosci. 13, 99.
- Rousseaux M.W., de Haro M., Lasagna-Reeves C.A., De Maio A., Park J., Jafar-Nejad P., Al-Ramahi I., Sharma A., See L., Lu N., Vilanova-Velez L., Klisch T.J., Westbrook T.F., Troncoso J.C., Botas J., Zoghbi H.Y. (2016) TRIM28 regulates the nuclear accumulation and toxicity of both alpha-synuclein and tau. Elife. 5, e19809.
- Zhu Y., Zhang M., Wang J., Wang Q. (2023) Knocking down TRIM47 ameliorated sevoflurane-induced neuronal cell injury and cognitive impairment in rats. Exp. Brain Res. 241, 1437–1446.
- Hao M.Q., Xie L.J., Leng W., Xue R.W. (2019) TRIM47 is a critical regulator of cerebral ischemia-reperfusion injury through regulating apoptosis and inflammation. Biochem. Biophys. Res. Commun. 515, 651–657.
- Zhang P., Chen Z., Li J., Mao H., Hu Y. (2024) TRIM34 suppresses non-small-cell lung carcinoma via inducing mTORC1-dependent glucose utilization and promoting cellular death. Arch. Biochem. Biophys. 754, 109925.
- An X., Ji B., Sun D. (2020) TRIM34 localizes to the mitochondria and mediates apoptosis through the mitochondrial pathway in HEK293T cells. Heliyon. 6, e03115.
- Goyani S., Shinde A., Shukla S., Saranga M.V., Currim F., Mane M., Singh J., Roy M., Gohel D., Chandak N., Vasiyani H., Singh R. (2024) Enhanced translocation of TRIM32 to mitochondria sensitizes dopaminergic neuronal cells to apoptosis during stress conditions in Parkinson’s disease. FEBS J. 291(12), 2636–2655. https://doi.org/10.1111/febs.17065
- Wei L., Zhang J.S., Ji S.F., Xu H., Zhao Z.H., Zhang L., Pang L., Zhang J.F., Yang P.B., Ma H. (2019) Knockdown of TRIM32 protects hippocampal neurons from oxygen-glucose deprivation-induced injury. Neurochem. Res. 44, 2182–2189.
- Munding C., Keller M., Niklaus G., Papin S., Tschopp J., Werner S., Beer H.D. (2006) The estrogen-responsive B box protein: a novel enhancer of interleukin-1beta secretion. Cell Death Differ. 13, 1938–1949.
- Saha B., Mandell M.A. (2023) The retroviral restriction factor TRIM5/TRIM5α regulates mitochondrial quality control. Autophagy. 19, 372–373.
- Lian Q., Yan S., Yin Q., Yan C., Zheng W., Gu W., Zhao X., Fan W., Li X., Ma L., Ling Z., Zhang Y., Liu J., Li J., Sun B. (2021) TRIM34 attenuates colon inflammation and tumorigenesis by sustaining barrier integrity. Cell. Mol. Immunol. 18, 350–362.
- Shi M., Su F., Dong Z., Shi Y., Tian X., Cui Z., Li J. (2022) TRIM16 exerts protective function on myocardial ischemia/reperfusion injury through reducing pyroptosis and inflammation via NLRP3 signaling. Biochem. Biophys. Res. Commun. 632, 122–128.
- Hang Y., Tan L., Chen Q., Liu Q., Jin Y. (2021) E3 ubiquitin ligase TRIM24 deficiency promotes NLRP3/caspase-1/IL-1β-mediated pyroptosis in endometriosis. Cell. Biol. Int. 45, 1561–1570.
- Fu Q., Zou M.M., Zhu J.W., Zhang Y., Chen W.J., Cheng M., Liu C.F., Ma Q.H., Xu R.X. (2017) TRIM32 affects the recovery of motor function following spinal cord injury through regulating proliferation of glia. Oncotarget. 8, 45380–45390.
- Lu Z., Deng M., Ma G., Chen L. (2022) TRIM38 protects H9c2 cells from hypoxia/reoxygenation injury via the TRAF6/TAK1/NF-κB signalling pathway. Peer J. 10, e13815.
- Li L.J., Zheng J.C., Kang R., Yan J.Q. (2019) Targeting TRIM69 alleviates high fat diet (HFD)-induced hippocampal injury in mice by inhibiting apoptosis and inflammation through ASK1 inactivation. Biochem. Biophys. Res. Commun. 515, 658–664.
- Xing H., Xu P., Ma Y., Li T., Zhang Y., Ding X., Liu L., Keerman M., Niu Q. (2024) TFEB ameliorates DEHP-induced neurotoxicity by activating GAL3/TRIM16 axis dependent lysophagy and alleviating lysosomal dysfunction. Environ. Toxicol. 39(7), 3779–3789. https://doi.org/10.1002/tox.24221
- Zhang H., Zheng Y., Zhang Y. (2021) Knockdown of TRIM66 in MDA-MB-468 triple negative breast cancer cell line suppresses proliferation and promotes apoptosis through EGFR signaling. Pol. J. Pathol. 72, 160–166.
- Liao L., Tao P., Xu Q., Chen W., Chen J., Liu W., Liu W., Hu J., Lu J. (2024) TRIM6 promotes ROS-mediated inflammasome activation and pyroptosis in renal tubular epithelial cells via ubiquitination and degradation of GPX3 protein. Front. Biosci. (Landmark Ed). 29, 58.
- Tong Q., Yi M., Kong P., Xu L., Huang W., Niu Y., Gan X., Zhan H., Tian R., Yan D. (2022) TRIM36 inhibits tumorigenesis through the Wnt/β-catenin pathway and promotes caspase-dependent apoptosis in hepatocellular carcinoma. Cancer Cell Int. 22, 278.
- Zhao W., Zhang X., Chen Y., Shao Y., Feng Y. (2020) Downregulation of TRIM8 protects neurons from oxygen-glucose deprivation/re-oxygenation-induced injury through reinforcement of the AMPK/Nrf2/ARE antioxidant signaling pathway. Brain Res. 1728, 146590.
- Xie X., Wang F., Li X. (2022) Inhibition of TRIM14 protects cerebral ischemia/reperfusion injury through regulating NF-κB/NLRP3 pathway-mediated inflammation and apoptosis. J. Recept. Signal. Transduct. Res. 42, 197–205.
- Mojsa B., Mora S., Bossowski J.P., Lassot I., Desagher S. (2015) Control of neuronal apoptosis by reciprocal regulation of NFATc3 and TRIM17. Cell Death Differ. 22, 274–286.
- Stormo A.E.D., Shavarebi F., FitzGibbon M., Earley E.M., Ahrendt H., Lum L.S., Verschueren E., Swaney D.L., Skibinski G., Ravisankar A., van Haren J., Davis E.J., Johnson J.R., Von Dollen J., Balen C., Porath J., Crosio C., Mirescu C., Iaccarino C., Dauer W.T., Nichols R.J., Wittmann T., Cox T.C., Finkbeiner S., Krogan N.J., Oakes S.A., Hiniker A. (2022) The E3 ligase TRIM1 ubiquitinates LRRK2 and controls its localization, degradation, and toxicity. J. Cell Biol. 221, e202010065.
- Kaut O., Schmitt I., Tost J., Busato F., Liu Y., Hofmann P., Witt S.H., Rietschel M., Fröhlich H., Wüllner U. (2017) Epigenome-wide DNA methylation analysis in siblings and monozygotic twins discordant for sporadic Parkinson’s disease revealed different epigenetic patterns in peripheral blood mononuclear cells. Neurogenetics. 18, 7–22.
Supplementary files






