Оценка цитотоксичности производных 5-ариламиноурацилов
- Авторы: Кезин В.А.1, Матюгина Е.С.1, Суржиков С.А.1, Новиков М.С.2, Маслова А.А.1, Карпенко И.Л.1, Иванов А.В.1, Кочетков С.Н.1, Хандажинская А.Л.1
-
Учреждения:
- Институт молекулярной биологии им. В.А. Энгельгардта Российской академии наук
- Волгоградский государственный медицинский университет
- Выпуск: Том 58, № 2 (2024)
- Страницы: 325-332
- Раздел: СТРУКТУРНО-ФУНКЦИОНАЛЬНЫЙ АНАЛИЗ БИОПОЛИМЕРОВ И ИХ КОМПЛЕКСОВ
- URL: https://bakhtiniada.ru/0026-8984/article/view/265747
- DOI: https://doi.org/10.31857/S0026898424020156
- EDN: https://elibrary.ru/MYDBYJ
- ID: 265747
Цитировать
Полный текст
Аннотация
Производные 5-ариламиноурацила, как показано нами ранее, способны ингибировать ВИЧ-1, герпесвирусы, микобактерии и другие патогены. В представленной работе оценена цитотоксическая активность 5-ариламиноурацилов и их производных в отношении лейкозных клеток, нейробластомы и глиальных опухолей мозга. Проведен скрининг цитотоксичности производных 5-аминоурацила, содержащих различные заместители, а также их 5’-норкабоциклических и рибопроизводных в отношении двух линий клеток нейробластомы (SH-SY5Y и IMR-32), лимфобластных клеток К-562, промиелобластных клеток HL-60 и низкопассажных вариантов высокодифференцированной мультиформной глиобластомы (GBM5522 и GBM6138). Оценка цитотоксичности полученных соединений с помощью стандартного МТТ-теста показала, что большинство соединений не обладают существенной токсичностью в отношении использованных клеток. Однако на линии клеток GBM-6138 5-(4-изопропилфениламин)урацил и 5-(4-трет-бутилфениламин)урацил проявляли дозозависимый токсический эффект – величина IC50 составила 9 и 2.3 мкМ соответственно. Противоопухолевая активность соединений этого типа показана впервые и может служить отправной точкой для дальнейших исследований.
Ключевые слова
Полный текст
ВВЕДЕНИЕ
Смертность от разных видов онкологических заболеваний уверенно занимает второе место после сердечно-сосудистых заболеваний (https://jamanetwork.com/journals/jamaoncology/fullarticle/2787350). Несмотря на очевидный прогресс в терапии опухолей, до сих пор не найдено лекарственных средств, эффективных при многих видах рака, включая лейкозы и опухоли центральной нервной системы (нейробластомы и глиобластомы). Кроме того, часто наблюдается резистентность к проводимой терапии, что определяет неблагоприятный прогноз для пациента.
Лейкозы – группа злокачественных заболеваний, возникновение которых обусловлено неконтролируемой клональной экспансией незрелых лимфоидных или миелоидных клеток-предшественников в костном мозге и периферической крови. Лейкозы сопровождаются нарушением нормальной дифференцировки и пролиферации [1]. В 2019 г. в мире выявлено около 644000 новых случаев лейкоза и зарегистрировано 335000 случаев смерти от этого типа рака (https://jamanetwork.com/journals/jamaoncology/fullarticle/2787350). Лечение лейкозов остается сравнительно малоэффективным. Например, несмотря на недавние достижения в лечении острого миелоидного лейкоза, до 70% пациентов в возрасте 65 лет и старше умирают в течение 1 года после своевременной постановки диагноза. Как стандартная интенсивная химиотерапия, так и трансплантация стволовых клеток нередко не предотвращают рецидивы заболевания.
Нейробластома – наиболее распространенная солидная экстракраниальная злокачественная опухоль у детей, на долю которой приходится 7–10% педиатрических онкозаболеваний и 15% всех летальных случаев [2]. Нейробластомы высокого риска, составляющие примерно половину всех случаев нейробластом, характеризуются частыми рецидивами и относительно низкой пятилетней выживаемостью – 40–50%. Глиобластома относится к наиболее распространенным и агрессивным типам опухолей головного мозга [3]. Медианная выживаемость пациентов даже при проведении терапии составляет всего 14–15 месяцев [4, 5].
Несмотря на значительную гетерогенность лейкозов и нейробластом, эти заболевания имеют много общих особенностей, таких как активация рецепторных тирозинкиназ, регуляция механизмов, связанных с индукцией апоптоза и контроля прохождения клеточного цикла. Существенную роль в развитии опухолевого процесса играют эпигенетические процессы, в том числе метилирование ДНК и модификация гистонов (в первую очередь их ацетилирование/деацетилирование).
В настоящий момент соединения, регулирующие эпигенетические процессы, находятся на разных стадиях клинических испытаний, а некоторые ингибиторы ДНК-метилтрансфераз и гистондеацетилаз уже получили одобрение Управления по контролю за пищевыми продуктами и лекарствами США и Европейского агентства по лекарственным средствам. Эти препараты могут использоваться по отдельности или в комбинации (например, с венетоклаксом – ингибитором антиапоптотического белка BCL-2) для получения синергических эффектов [6–8].
Значительное число генов, в которых обнаруживают мутации, связанные с злокачественным перерождением клеток, кодирует белки и РНК, участвующие в регуляции транскрипции. Прежде всего, это эпигенетические регуляторы и факторы транскрипции [9–12]. Нарушение процессов нормального метилирования генома (как гипо-, так и гиперметилирование) приводит к изменению баланса экспрессии генов, что может инициировать появление трансформированных клеток. Основным классом препаратов, используемых в качестве ДНК-гипометилирующих агентов, являются аналоги пиримидиновых нуклеозидов. Включение 5-азацитидина или децитабина в нуклеиновую кислоту делящихся клеток (ДНК или РНК соответственно) приводит к ее глобальному гипометилированию [13, 14]. Показано, что в клетках нейробластомы высокого риска существенно повышена экспрессия генов, кодирующих ДНК-метилтрансферазы DNMT3A и -B. Обработка клеток нейробластомы 5-азацитидином приводит к индукции их дифференцировки, а также к снижению скорости пролиферации и способности образовывать колонии [15, 16]. На перевиваемых клетках нейробластомы показано, что 5-азацитидин может усиливать цитотоксическое действие современных химиотерапевтических препаратов, таких как доксорубицин, цисплатин и этопозид [17].
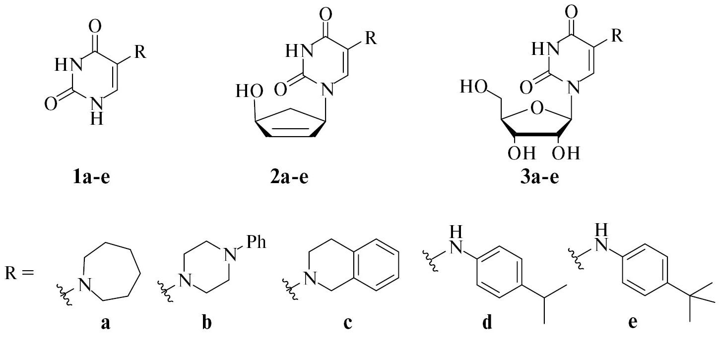
В попытке найти новые аналоги пиримидиновых нуклеозидов, обладающие противоопухолевой активностью, проведен скрининг цитотоксичности производных 5-аминоурацила с различными заместителями (1а–е), а также их 5’-норкабоциклических и рибопроизводных (2а-е и 3а-е соответственно) (рис. 1) в отношении двух линий клеток нейробластомы (SH-SY5Y и IMR-32), лимфобластоидных клеток К-562, промиелобластных клеток HL-60 и низкопассажных вариантов высокодифференцированной мультиформной глиобластомы (GBM5522 и GBM6138) [18].
Рис. 1. Структура молекул 5-аминоурацилов (1а-е), их 5’-норкабоциклических (2а-е) и рибопроизводных (3а-е).
ЭКСПЕРИМЕНТАЛЬНАЯ ЧАСТЬ
Коммерческие реагенты приобретены у компаний “Acros Organics” (Бельгия), “Aldrich” (CША) и “Fluka”(Германия). Растворители использовали без дополнительной очистки и перегонки. Колоночная хроматография была проведена на силикагеле 60 0.040–0.063 мм (“Merck”, Германия). Тонкослойная хроматография выполнена на алюминиевой фольге silica gel 60F254 (“Merck”). ЯМР-спектры регистрировали на спектрометре AMX III-400 (“Bruker”, США) с рабочей частотой 400 МГц для 1H-ЯМР (растворитель DMSO-d6, Me4Si как внутренний стандарт) и 100.6 МГц для 13C-ЯМР. УФ-спектры были записаны на спектрофотометре Ultrospec 3100 pro (“Amersham Biosciences”, США) в этаноле. Масс-спектры высокого разрешения записаны на устройстве Bruker Daltonics MicrOTOF-Q II методом ионизационной масс-спектрометрии с электрораспылением (ESI-MS). Измерения проводили в режиме положительных ионов в соответствии с ранее применяемыми условиями [19].
5-Аминоурацилы 1а-е и соответствующие 5’-норкарбоциклические аналоги 2а-е получали в соответствии с методикой, описанной ранее [20].
Метод синтеза 5-аминофенилзамещенных производных уридина 3а-е. 5-Модифицированный урацил (0.86 ммоль) силилировали в 1,1,1,3,3,3-гексаметилдисилазане (50 мл) в присутствии 1 мг сульфата аммония в течение 4 ч. Полученный прозрачный раствор упаривали досуха в высоком вакууме, соупаривали с толуолом (2 × 50 мл) и 1,2-дихлорэтаном (40 мл) для удаления следов 1,1,1,3,3,3-гексаметилдисилазана. Полукристаллический остаток растворяли в 1,2-дихлорэтане (20 мл), вносили при перемешивании в одну порцию β-D-1,2,3,5-тетраацетатрибозы (0.688 ммоль), а затем по каплям добавляли триметилсилилтрифторметансульфонат (0.825 ммоль). Полученную смесь перемешивали при 50 °С в течение 4 ч. Контроль за ходом реакции осуществляли по ТСХ в системе CH2Cl2 : C2H5OH = 20 : 1. После окончания реакции реакционную смесь охлаждали и по каплям добавляли к интенсивно перемешиваемой смеси насыщенного раствора бикарбоната натрия и хлористого метилена (100 мл 1/1 по объему). Перемешивали в течение 30 мин. Органический слой отделяли, промывали водой (2 × 50 мл), сушили безводным сульфатом натрия в течение 12 ч и упаривали досуха. Остаток очищали на колонке с силикагелем. Продукт элюировали градиентом этанола в хлористом метилене от 1 : 40 до 1 : 20. Фракции, содержащие целевой продукт, объединяли и упаривали досуха.
Кристаллический остаток растворяли в этаноле (10 мл), добавляли (10 мл) 32% NH4OH и оставляли на 10 ч при 20 °С. Затем растворители упаривали досуха. Конечный продукт очищали кристаллизацией из горячего этанола или колоночной хроматографией на силикагеле в градиенте этанола в хлористом метилене в соотношении от 1 : 20 до 1 : 9. Фракции, содержащие конечный продукт, объединяли и упаривали досуха.
1-(β-D-рибофуранозил)-5-(циклогептиламин)урацил (3а). Из 5-(4-циклогептиламин)-урацила (0.18 г, 0.86 ммоль) и β-D-1,2,3,5-тетраацетата рибозы (0.22 г, 0.69 ммоль) в присутствии триметилсилилового эфира трифторметансульфокислоты (0.18 г, 0.83 ммоль) получили 0.13 г соединения 3а. Суммарный выход – 44.6%. Т. пл. 167 °C; УФ: λmax 318 нм, λmin 282 нм; ESI-MS: C15H23N3O6 рассчитано для [M + H]+ 342.3596, найдено m/z 342.3597; 1Н-ЯМР (DMSO-d6): δ 1.55 (4H, s, 2 × CH2), 1.69 (4H, s, 2 × CH2), 3.10–2.95 (4H, m, 2 × CH2), 3.66–3.52 (2H, m, H-5’a,b), 3.86–3.83 (1H, m, H-4’), 4.01–3.97 (1H, dt, J = 3.74, 3.66 Гц, H-3’), 4.10–4.04 (1H, dd, J = 5.48, 5.59 Гц, H-2’), 5.02–5.01 (1H, d, J = 4.88 Гц, 3’-OH), 5.11–5.08 (1H, t, J = 4.64, 4.69 Гц, 5’-OH), 5.28–5.26 (1H, d, J = 5.85 Гц, 2’-OH), 5.85–5.83 (1H, d, J = 5.55 Гц, H-1’), 7.19 (1H, s, H-6), 11.16 (1H, s, NH); 13С-ЯМР: δ 27.24, 28.82, 51.60, 61.29, 70.76, 73.82, 85.20, 88.14, 121.81, 128.79, 149.91, 161.26.
1-(β-D-рибофуранозил)-5-(N-фенилпиперазин)урацил (3b). Из 5-(N-фенилпиперазин)-урацила (0.32 г, 1.17 ммоль) и β-D-1,2,3,5-тетраацетата рибозы (0.3 г, 0.94 ммоль) в присутствии триметилсилилового эфира трифторметансульфокислоты (0.25 г, 1.13 ммоль) получили 0.34 г соединения 3b. Суммарный выход – 77.7%. Т. пл. 227 °C; УФ: λmax 293 нм, λmin 271 нм; ESI-MS: C19H24N4O6 рассчитано для [M + H]+ 405.4171, найдено m/z 405.4173; 1Н-ЯМР (DMSO-d6): δ 3.07–2.91 (4H, m, 2 × CH2), 3.25–3.15 (4H, m, 2 × CH2), 3.73–3.57 (2H, m, H-5’a, b), 3.90–3.87 (1H, m, H-4’), 4.05–4.01 (1H, dt, J = 3.72, 4.91 Гц, H-3’), 4.12–4.07 (1H, dd, J = 5.74, 5.81 Гц, H-2’), 5.05–5.03 (1H, d, J = 5.01, 3’-OH), 5.22–5.20 (1H, t, J = 4.44, 5’-OH), 5.33–5.31 (1H, d, J = 5.64 Гц, 2’-OH), 5.85–5.83 (1H, d, J = 5.0 Гц, H-1’), 7.26–6.78 (5H, m, C6H5), 7.48 (1H, s, H-6), 11.33 (1H, s, NH); 13С-ЯМР: δ 48.70, 50.03, 61.08, 70.48, 74.27, 85.14, 88.59, 116.01, 119.51, 125.07, 127.45, 129.26, 150.01, 151.42, 160.89.
1-(β-D-рибофуранозил)-5-(1,2,3,4-тетрагидроизохинолин)урацил (3c). Из 5-(1,2,3,4-тетрагидроизохинолин)-урацила (0.28 г, 1.15 ммоль) и β-D-1,2,3,5-тетраацетата рибозы (0.30 г, 0.93 ммоль) в присутствии триметилсилилового эфира трифторметансульфокислоты (0.25 г, 1.13 ммоль) получили 0.25 г соединения 3c. Суммарный выход – 72.6%. Т. пл. 210 °C; УФ: λmax 298 нм, λmin 269 нм; ESI-MS: C18H21N3O6 рассчитано для [M + H]+ 392.4183, найдено m/z 392.4185; 1Н-ЯМР: δ 2.86–2.90 (2H, m, CH2), 3.08–3.26 (2H, m, CH2), 3.57–3.73 (2H, m, H-5’a,b), 3.88–3.92 (1H, m, H-4’), 3.97–4.12 (3H, m, H-3’, H-2’, CH2), 5.06–5.04 (1H, d, J = 5.13 Гц, 3’-OH), 5.26–5.23 (1H, t, J = 4.52, 4.58, 5’-OH), 5.35–5.33 (1H, d, J = 5.87 Гц, 2’-OH), 5.84–5.85 (1H, d, J = 5.96 Гц, H-1’), 7.10–7.16 (4H, m, C6H4), 7.53 (1H, s, H-6), 11.35 (1H, s, NH); 13С-ЯМР: δ 29.08, 47.93, 52.48, 61.02, 70.38, 74.28, 85.07, 88.66, 125.23, 126.04, 126.60, 126.80, 127.40, 129.04, 134.17, 134.55, 150.01, 161.04.
1-(β-D-рибофуранозил)-5-(4-изопропилфениламин)урацил (3d). Из 5-(4-изопропилфениламин)урацила (0.22 г, 0.90 ммоль) и β-D-1,2,3,5-тетраацетата рибозы (0.22 г, 0.69 ммоль) в присутствии триметилсилилового эфира трифторметансульфокислоты (0.17 г, 0.76 ммоль) получили 0.17 г соединения 3d. Суммарный выход – 66.2%. Т. пл. 197.5 °C; УФ: λmax 263 нм, λmin 243 нм; ESI-MS: C18H23N3O6 рассчитано для [M + H]+ 378.3917, найдено m/z 378.3919; 1Н-ЯМР (DMSO-d6): δ 1.14 (3H, s, CH3), 1.17 (3H, s, CH3), 2.83–2.70 (1H, q, J = 6.93, 6.89 Гц, CH3CHCH3), 3.62–3.50 (2H, m, H-5’a,b), 3.87–3.84 (1H, m, H-4’), 3.99–3.95 (1H, dt, J = 3.72, 4.91 Гц, H-3’), 4.11–4.06 (1H, dd, J = 5.74, 5.81 Гц, H-2’), 5.08–5.04 (2H, m, 5’-OH, 3’-OH), 5.37–5.35 (1H, d, J = 5.87 Гц, 2’-OH), 5.89–5.87 (1H, d, J = 5.97 Гц, H-1’), 7.03–6.75 (5H, m, NH, C6H4), 7.75 (1H, s, H-6), 11.55 (1H, s, NH); 13С-ЯМР: δ 24.62, 33.06, 61.57, 70.86, 73.96, 85.46, 88.02, 115.22, 118.14, 127.07, 127.98, 138.88, 143.52, 150.13, 161.74.
1-(β-D-рибофуранозил)-5-(4-трет-бутилфениламин)урацил (3e). Из 5-(4-трет-бутилфениламин)-урацила (0.34 г, 1.38 ммоль) и β-D-1,2,3,5-тетраацетата рибозы (0.35 г, 1.11 ммоль) в присутствии триметилсилилового эфира трифторметансульфокислоты (0.26 г, 1.15 ммоль) получили 0.30 г соединения 3e. Суммарный выход – 69.7%. Т. пл. 199 °C; УФ: λmax 263 нм, λmin 241 нм; ESI-MS: C19H25N3O6 рассчитано для [M + H]+ 392.4183, найдено m/z 392.4185; 1Н-NMR: δ 1.24 (9H, s, 3 × CH3), 3.63–3.53 (2H, m, H-5’a,b), 3.86–3.82 (1H, m, H-4’), 4.00–3.96 (1H, dt, J = 3.73, 4.92 Гц, H-3’), 4.12–4.06 (1H, dd, J = 5.75, 5.82 Hz, H-2’), 5.07–5.04 (2H, m, 5’-OH, 3’-OH), 5.36–5.34 (1H, d, J = 5.87 Hz, 2’-OH), 5.89–5.87 (1H, d, J = 5.96 Гц, H-1’), 7.18–6.76 (5H, m, NH, C6H4), 7.75 (1H, s, H-6), 11.54 (1H, s, NH); 13С NMR: δ 31.85, 34.08, 61.56, 70.86, 73.94, 85.46, 88.00, 114.85, 118.08, 125.80, 128.00, 141.12, 143.18, 150.13, 161.75.
Тест на цитотоксичность (МТТ-тест). Клетки линии SH-SY5Y (CRL-2266) получены от АТСС. Низкопассажные культуры первичной мультиформной глиобластомы GBM6138 и GBM5522 из хирургически удаленных опухолей получены в НМИЦ нейрохирургии им. Н.Н. Бурденко (Москва, Россия) и описаны ранее [18]. Клетки культивировали в среде ДМЕМ, содержащей 10% фетальной сыворотки крупного рогатого скота (FBS) и 2 мМ глутамина, при 37 °С во влажной атмосфере.
Клетки рассаживали на 96-луночные планшеты (“ТРР”, Швейцария) в плотности 1 × 104 клеток/лунка. Через 24 ч добавляли тестируемые вещества в диапазоне концентраций 1.5–100 мкМ. После 48 ч инкубации культуральную среду заменяли на свежую с добавлением 0.5 мг/мл бромида метилтриазолилдифенилтетразолия (МТТ). Через 4 ч среду убирали, кристаллы формазана растворяли в изопропаноле с добавлением 4 мМ HCl, измеряли отптическую плотность раствора на планшетном анализаторe Plate Chameleon (Hidex) при длине волны 595 нм.
Статистическая обработка данных. Эксперименты проводили в трех повторностях. Результаты обрабатывали в программе GraphPad Prism v.9.5 (GraphPad Software).
РЕЗУЛЬТАТЫ И ОБСУЖДЕНИЕ
Пиримидиновые нуклеозиды, замещенные в C-5-положении гетероциклического основания, представляют собой класс биологически значимых молекул. В частности, соединения такого рода являются компонентами тРНК [21, 22]. В 1995 году была синтезирована серия ациклических нуклеозидов, содержащих 5-бензилзамещенный урацил с метоксиалкильными заместителями в бензильном кольце [22], оказавшихся высокоэффективными ингибиторами фермента уридинфосфорилазы, отвечающей за деградацию химиотерапевтических агентов, таких как 5-фтор-2’-дезоксиуридин [23]. 5-Бензилурацилы без N-1-(2-гидроксиэтокси)метильного остатка проявили на 2–3 порядка меньшую активность, вероятно из-за плохой биодоступности. Похожая проблема, была причиной низкой активности 2,4-диамино-5-бензилпиримидинов, исследуемых в качестве антибактериальных агентов [24]. Введение в положение N-1 алкильного остатка или в бензильное кольцо гидрофильных групп, таких как гидроксиметильная или цианогруппы, приводит к увеличению растворимости соединений до биологически активных концентраций [25].
Серия соединений на основе 5-бензил-2,4-диаминопиримидинов с заместителями в бензильном кольце впервые была синтезирована еще в 1999 году. Оказалось, что эти соединения являются хорошими ингибиторами дигидрофолатредуктазы, используемой в качестве терапевтической мишени при опухолевых заболеваниях и малярии [26]. Причем в данном случае наибольшую активность in vitro проявили соединения с длинными (6–10 атомов углерода) алкильными заместителями в бензильном кольце. Группой Holy была открыта высокая ингибиторная активность 6-галогенмодифицированных урацилов с гидрофобными заместителями в позиции C5 в отношении тимидинфосфорилазы, играющей ключевую роль в ангиогенезе при онкологических и ряде других заболеваний [27].
Ранее мы показали, что производные 5-ариламиноурацила посредством различных механизмов могут ингибировать ВИЧ-1, герпесвирусы, микобактерии и другие патогены [28–30]. В данной работе оценена цитотоксическая активность 5-ариламиноурацилов и их производных в отношении лейкозов, нейробластом и глиальных опухолей мозга. Помимо полученных нами ранее 5-ариламиноурацилов 1а-е и соответствующих 5’-норкарбоциклических аналогов нуклеозидов 2а-е, осуществлен синтез 5-ариламинопроизводных уридина 3а-е.
5-фениламинозамещенные производные уридина были синтезированы по силильному методу Фриделя – Крафтса в присутствии кислоты Льюиса в качестве катализатора [31, 32] (схема 1). В качестве предшественника углеводного фрагмента использовали β-D-1,2,3,5-тетраацетат рибозы. Конденсация в ацетонитриле в присутствии Me3SiSO3CF3 приводила к осмолению реакционной смеси и значительному снижению выхода конечного продукта. Использование в качестве катализатора хлорного олова (от полуторакратного до трехкратного молярного избытка) также не приводило к повышению выхода целевого нуклеозида. Выбор неполярного 1,2-дихлорэтана в качестве растворителя позволил получить 5-ариламинозамещенные рибоуридины с хорошими выходами. В ЯМР-спектрах высокого разрешения (400 МГц) аномерный протон разрешается в виде дублета с малой константой спин-спинового взаимодействия J1’,2’, равной примерно 5–6 Гц, что соответствует геминальному расположению протонов 1H и 2H, и подтверждает β-конфигурацию аномерного центра. Структура всех синтезированных соединений подтверждена УФ, 1Н, 13С ЯМР-спектрами. Удаление ацетильных групп в стандартных условиях приводило к образованию целевых соединений 3а-е.
Схема 1. Условия реакций. i : 5-R-персилилированный урацил, TMCSiTfl, 1,2-дихлорэтан, ii : NH4OH/EtOH.
В качестве клеточных моделей нейробластомы использовали линии SH-SY5Y и IMR-32. Линия SH-SY5Y представляет собой трижды клонированную сублинию клеточной линии нейробластомы SK-N-SH (ATCC HTB-11) [33–35]. Нейробласты IMR-32 исходно получены из ткани головного мозга пациента с нейробластомой. В этой культуре присутствуют два типа клеток: небольшие нейробластоподобные клетки (основной вариант) и крупные гиалиновые фибробласты. Модели глиобластомы были представлены первичными вариантами клеток опухолей, полученных ранее от пациентов. В качестве модели лейкоза использовали известные линии К562 и HL-60. К-562 ‒ лимфобластные клетки, выделенные из костного мозга 53-летнего больного хроническим миелогенным лейкозом. Клетки HL-60 представляют собой промиелобласты, выделенные из периферической крови с помощью лейкофереза у 36-летней белой женщины с острым промиелоцитарным лейкозом [36]. Оценка цитотоксичности полученных соединений на указанных линиях клеток с помощью стандартного МТТ-теста показала, что большинство соединений не обладают существенной токсичностью. Однако на линии клеток GBM-6138 соединения 1d и 1e проявляли дозозависимый токсический эффект, и величина IC50, рассчитанная в программе GraphPad Prism, составила 9 и 2.3 мкМ соответственно. Эти значения удовлетворяют критериям Национального института рака (National Cancer Institute) для первичного скрининга соединений как потенциальных антипролиферативных агентов [37]. Таким образом, соединения 1d и 1e можно рассматривать как отправную точку для дальнейшей работы.
Исследование выполнено при поддержке грантов Российского научного фонда (№ 19-74-10048, https://rscf.ru/project/19-74-10048/: синтез 5-ариламинопроизводных уридина; № 23-64-10018, https://rscf.ru/project/23-64-10018/: изучение цитотоксичности).
Настоящая статья не содержит каких-либо исследований с участием людей или животных в качестве объектов исследований.
Авторы заявляют об отсутствии конфликта интересов.
Об авторах
В. А. Кезин
Институт молекулярной биологии им. В.А. Энгельгардта Российской академии наук
Email: khandazhinskaya@bk.ru
Россия, Москва, 119991
Е. С. Матюгина
Институт молекулярной биологии им. В.А. Энгельгардта Российской академии наук
Email: khandazhinskaya@bk.ru
Россия, Москва, 119991
С. А. Суржиков
Институт молекулярной биологии им. В.А. Энгельгардта Российской академии наук
Email: khandazhinskaya@bk.ru
Россия, Москва, 119991
М. С. Новиков
Волгоградский государственный медицинский университет
Email: khandazhinskaya@bk.ru
Россия, Волгоград, 400131
А. А. Маслова
Институт молекулярной биологии им. В.А. Энгельгардта Российской академии наук
Email: khandazhinskaya@bk.ru
Россия, Москва, 119991
И. Л. Карпенко
Институт молекулярной биологии им. В.А. Энгельгардта Российской академии наук
Email: khandazhinskaya@bk.ru
Россия, Москва, 119991
А. В. Иванов
Институт молекулярной биологии им. В.А. Энгельгардта Российской академии наук
Email: khandazhinskaya@bk.ru
Россия, Москва, 119991
С. Н. Кочетков
Институт молекулярной биологии им. В.А. Энгельгардта Российской академии наук
Email: khandazhinskaya@bk.ru
Россия, Москва, 119991
А. Л. Хандажинская
Институт молекулярной биологии им. В.А. Энгельгардта Российской академии наук
Автор, ответственный за переписку.
Email: khandazhinskaya@bk.ru
Россия, Москва, 119991
Список литературы
- Kantarjian H., Kadia T., DiNardo C., Daver N., Borthakur G., Jabbour E., Garcia-Manero G., Konopleva M., Ravandi F. (2021) Acute myeloid leukemia: current progress and future directions. Blood Cancer J. 11, 41. https://doi.org/10.1038/s41408-021-00425-3
- Matthay K.K., Maris J.M., Schleiermacher G., Nakagawara A., Mackall C.L., Diller L., Weiss W.A. (2016) Neuroblastoma. Nat. Rev. Dis. Primers. 2, 16078. https://doi.org/10.1038/nrdp.2016.78
- Koshy M., Villano J.L., Dolecek T.A., Howard A., Mahmood U., Chmura S.J., Weichselbaum R.R., McCarthy B.J. (2012) Improved survival time trends for glioblastoma using the SEER 17 population-based registries. J. Neurooncol. 107, 207–212. https://doi.org/10.1007/s11060-011-0738-7
- Stupp R., Mason W.P., van den Bent M.J., Weller M., Fisher B., Taphoorn M.J., Belanger K., Brandes A.A., Marosi C., Bogdahn U., Curschmann J., Janzer R.C., Ludwin S.K., Gorlia T., Allgeier A., Lacombe D., Cairncross J.G., Eisenhauer E., Mirimanoff R.O., European Organisation for R., Treatment of Cancer Brain T., Radiotherapy G., National Cancer Institute of Canada Clinical Trials G. (2005) Radiotherapy plus concomitant and adjuvant temozolomide for glioblastoma. N. Engl. J. Med. 352, 987–996. https://doi.org/10.1056/NEJMoa043330
- Tan A.C., Ashley D.M., Lopez G.Y., Malinzak M., Friedman H.S., Khasraw M. (2020) Management of glioblastoma: state of the art and future directions. CA Cancer J. Clin. 70, 299–312. https://doi.org/10.3322/caac.21613
- Vijayaraghavalu S., Dermawan J.K., Cheriyath V., Labhasetwar V. (2013) Highly synergistic effect of sequential treatment with epigenetic and anticancer drugs to overcome drug resistance in breast cancer cells is mediated via activation of p21 gene expression leading to G2/M cycle arrest. Mol. Pharm. 10, 337–352. https://doi.org/10.1021/mp3004622
- Housman G., Byler S., Heerboth S., Lapinska K., Longacre M., Snyder N., Sarkar S. (2014) Drug resistance in cancer: an overview. Cancers (Basel). 6, 1769–1792. https://doi.org/10.3390/cancers6031769
- Qiu T., Zhou L., Zhu W., Wang T., Wang J., Shu Y., Liu P. (2013) Effects of treatment with histone deacetylase inhibitors in solid tumors: a review based on 30 clinical trials. Future Oncol. 9, 255–269. https://doi.org/10.2217/fon.12.173
- Tyner J.W., Tognon C.E., Bottomly D., Wilmot B., Kurtz S.E., Savage S.L., Long N., Schultz A.R., Traer E., Abel M., Agarwal A., Blucher A., Borate U., Bryant J., Burke R., Carlos A., Carpenter R., Carroll J., Chang B.H., Coblentz C., d’Almeida A., Cook R., Danilov A., Dao K.T., Degnin M., Devine D., Dibb J., Edwards D.K. 5th., Eide C.A., English I., Glover J., Henson R., Ho H., Jemal A., Johnson K., Johnson R., Junio B., Kaempf A., Leonard J., Lin C., Liu S.Q., Lo P., Loriaux M.M., Luty S., Macey T., MacManiman J., Martinez J., Mori M., Nelson D., Nichols C., Peters J., Ramsdill J., Rofelty A., Schuff R., Searles R., Segerdell E., Smith R.L., Spurgeon S.E., Sweeney T., Thapa A., Visser C., Wagner J., Watanabe-Smith K., Werth K., Wolf J., White L., Yates A., Zhang H., Cogle C.R., Collins R.H., Connolly D.C., Deininger M.W., Drusbosky L., Hourigan C.S., Jordan C.T., Kropf P., Lin T.L., Martinez M.E., Medeiros B.C., Pallapati R.R., Pollyea D.A., Swords R.T., Watts J.M., Weir S.J., Wiest D.L., Winters R.M., McWeeney S.K., Druker B.J. (2018) Functional genomic landscape of acute myeloid leukaemia. Nature. 562, 526–531. https://doi.org/10.1038/s41586-018-0623-z
- Patel J.P., Gonen M., Figueroa M.E., Fernandez H., Sun Z., Racevskis J., Van Vlierberghe P., Dolgalev I., Thomas S., Aminova O., Huberman K., Cheng J., Viale A., Socci N.D., Heguy A., Cherry A., Vance G., Higgins R.R., Ketterling R.P., Gallagher R.E., Litzow M., van den Brink M.R., Lazarus H.M., Rowe J.M., Luger S., Ferrando A., Paietta E., Tallman M.S., Melnick A., Abdel-Wahab O., Levine R.L. (2012) Prognostic relevance of integrated genetic profiling in acute myeloid leukemia. N. Engl. J. Med. 366, 1079–1089. https://doi.org/10.1056/NEJMoa1112304
- Papaemmanuil E., Gerstung M., Bullinger L., Gaidzik V.I., Paschka P., Roberts N.D., Potter N.E., Heuser M., Thol F., Bolli N., Gundem G., Van Loo P., Martincorena I., Ganly P., Mudie L., McLaren S., O’Meara S., Raine K., Jones D.R., Teague J.W., Butler A.P., Greaves M.F., Ganser A., Dohner K., Schlenk R.F., Dohner H., Campbell P.J. (2016) Genomic classification and prognosis in acute myeloid leukemia. N. Engl. J. Med. 374, 2209–2221. https://doi.org/10.1056/NEJMoa1516192
- Cancer Genome Atlas Research N., Ley T.J., Miller C., Ding L., Raphael B.J., Mungall A.J., Robertson A., Hoadley K., Triche T.J. Jr., Laird P.W., Baty J.D., Fulton L.L., Fulton R., Heath S.E., Kalicki-Veizer J., Kandoth C., Klco J.M., Koboldt D.C., Kanchi K.L., Kulkarni S., Lamprecht T.L., Larson D.E., Lin L., Lu C., McLellan M.D., McMichael J.F., Payton J., Schmidt H., Spencer D.H., Tomasson M.H., Wallis J.W., Wartman L.D., Watson M.A., Welch J., Wendl M.C., Ally A., Balasundaram M., Birol I., Butterfield Y., Chiu R., Chu A., Chuah E., Chun H.J., Corbett R., Dhalla N., Guin R., He A., Hirst C., Hirst M., Holt R.A., Jones S., Karsan A., Lee D., Li H.I., Marra M.A., Mayo M., Moore R.A., Mungall K., Parker J., Pleasance E., Plettner P., Schein J., Stoll D., Swanson L., Tam A., Thiessen N., Varhol R., Wye N., Zhao Y., Gabriel S., Getz G., Sougnez C., Zou L., Leiserson M.D., Vandin F., Wu H.T., Applebaum F., Baylin S.B., Akbani R., Broom B.M., Chen K., Motter T.C., Nguyen K., Weinstein J.N., Zhang N., Ferguson M.L., Adams C., Black A., Bowen J., Gastier-Foster J., Grossman T., Lichtenberg T., Wise L., Davidsen T., Demchok J.A., Shaw K.R., Sheth M., Sofia H.J., Yang L., Downing J.R., Eley G. (2013) Genomic and epigenomic landscapes of adult de novo acute myeloid leukemia. N. Engl. J. Med. 368, 2059–2074. https://doi.org/10.1056/NEJMoa1301689
- Christman J.K. (2002) 5-Azacytidine and 5-aza-2’-deoxycytidine as inhibitors of DNA methylation: mechanistic studies and their implications for cancer therapy. Oncogene. 21, 5483–5495. https://doi.org/10.1038/sj.onc.1205699
- Estey E.H. (2013) Epigenetics in clinical practice: the examples of azacitidine and decitabine in myelodysplasia and acute myeloid leukemia. Leukemia. 27, 1803–1812. https://doi.org/10.1038/leu.2013.173
- Bartolucci S., Estenoz M., Longo A., Santoro B., Momparler R.L., Rossi M., Augusti-Tocco G. (1989) 5-Aza-2’-deoxycytidine as inducer of differentiation and growth inhibition in mouse neuroblastoma cells. Cell Differ Dev. 27, 47–55. https://doi.org/10.1016/0922-3371(89)90043-9
- Carpinelli P., Granata F., Augusti-Tocco G., Rossi M., Bartolucci S. (1993) Antiproliferative effects and DNA hypomethylation by 5-aza-2’-deoxycytidine in human neuroblastoma cell lines. Anticancer Drugs. 4, 629–635. https://doi.org/10.1097/00001813-199312000-00004
- Charlet J., Schnekenburger M., Brown K.W., Diederich M. (2012) DNA demethylation increases sensitivity of neuroblastoma cells to chemotherapeutic drugs. Biochem. Pharmacol. 83, 858–865. https://doi.org/10.1016/j.bcp.2012.01.009
- Lipatova A.V., Soboleva A.V., Gorshkov V.A., Bubis J.A., Solovyeva E.M., Krasnov G.S., Kochetkov D.V., Vorobyev P.O., Ilina I.Y., Moshkovskii S.A., Kjeldsen F., Gorshkov M.V., Chumakov P.M., Tarasova I.A. (2021) Multi-omics analysis of glioblastoma cells’ sensitivity to oncolytic viruses. Cancers (Basel). 13(21), 5268. https://doi.org/10.3390/cancers13215268
- Khandazhinskaya A.L., Alexandrova L.A., Matyugina E.S., Solyev P.N., Efremenkova O.V., Buckheit K.W., Wilkinson M., Buckheit R.W. Jr., Chernousova L.N., Smirnova T.G., Andreevskaya S.N., Leonova O.G., Popenko V.I., Kochetkov S.N., Seley-Radtke K.L. (2018) Novel 5’-norcarbocyclic pyrimidine derivatives as antibacterial agents. Molecules. 23(12), 3069. https://doi.org/10.3390/molecules23123069
- Kezin V.A., Matyugina E.S., Novikov M.S., Chizhov A.O., Snoeck R., Andrei G., Kochetkov S.N., Khandazhinskaya A.L. (2022) New derivatives of 5-substituted uracils: potential agents with a wide spectrum of biological activity. Molecules. 27(9), 2866. https://doi.org/10.3390/molecules27092866
- Carbon J., David H., Studier M.H. (1968) Thiobases in Escherchia coli transfer RNA: 2-thiocytosine and 5-methylaminomethyl-2-thiouracil. Science. 161, 1146–1147. https://doi.org/10.1126/science.161.3846.1146
- Orr G.F., Musso D.L., Boswell G.E., Kelley J.L., Joyner S.S., Davis S.T., Baccanari D.P. (1995) Inhibition of uridine phosphorylase: synthesis and structure-activity relationships of aryl-substituted 5-benzyluracils and 1-[(2-hydroxyethoxy)methyl]-5-benzyluracils. J. Med. Chem. 38, 3850–3856. https://doi.org/10.1021/jm00019a015
- El Kouni M.H., el Kouni M.M., Naguib F.N. (1993) Differences in activities and substrate specificity of human and murine pyrimidine nucleoside phosphorylases: implications for chemotherapy with 5-fluoropyrimidines. Cancer Res. 53, 3687–3693.
- Roth B., Aig E., Lane K., Rauckman B.S. (1980) 2,4-Diamino-5-benzylpyrimidines as antibacterial agents. 4. 6-Substituted trimethoprim derivatives from phenolic Mannich intermediates. Application to the synthesis of trimethoprim and 3,5-dialkylbenzyl analogues. J. Med. Chem. 23, 535–541. https://doi.org/10.1021/jm00179a012
- Orr G.F., Musso D.L., Kelley J.L., Joyner S.S., Davis S.T., Baccanari D.P. (1997) Inhibition of uridine phosphorylase. Synthesis and structure-activity relationships of aryl-substituted 1-((2-hydroxyethoxy)methyl)-5-(3-phenoxybenzyl)uracil. J. Med. Chem. 40, 1179–1185. https://doi.org/10.1021/jm960688j
- Chowdhury S.F., Villamor V.B., Guerrero R.H., Leal I., Brun R., Croft S.L., Goodman J.M., Maes L., Ruiz-Perez L.M., Pacanowska D.G., Gilbert I.H. (1999) Design, synthesis, and evaluation of inhibitors of trypanosomal and leishmanial dihydrofolate reductase. J. Med. Chem. 42, 4300–4312. https://doi.org/10.1021/jm981130+
- Nencka R., Votruba I., Hrebabecky H., Jansa P., Tloust’ova E., Horska K., Masojidkova M., Holy A. (2007) Discovery of 5-substituted-6-chlorouracils as efficient inhibitors of human thymidine phosphorylase. J. Med. Chem. 50, 6016–6023. https://doi.org/10.1021/jm070644i
- Novikov M.S., Buckheit R.W. Jr., Temburnikar K., Khandazhinskaya A.L., Ivanov A.V., Seley-Radtke K.L. (2010) 1-Benzyl derivatives of 5-(arylamino)uracils as anti-HIV-1 and anti-EBV agents. Bioorg. Med. Chem. 18, 8310–8314. https://doi.org/10.1016/j.bmc.2010.09.070
- Maslova A.A., Matyugina E.S., Snoeck R., Andrei G., Kochetkov S.N., Khandazhinskaya A.L., Novikov M.S. (2020) Uracil-containing heterodimers of a new type: synthesis and study of their anti-viral properties. Molecules. 25(15), 3350. https://doi.org/10.3390/molecules25153350
- Matyugina E., Novikov M., Babkov D., Ozerov A., Chernousova L., Andreevskaya S., Smirnova T., Karpenko I., Chizhov A., Murthu P., Lutz S., Kochetkov S., Seley-Radtke K.L., Khandazhinskaya A.L. (2015) 5-Arylaminouracil derivatives: new inhibitors of Mycobacterium tuberculosis. Chem. Biol. Drug. Des. 86, 1387–1396. https://doi.org/10.1111/cbdd.12603
- Vorbruggen H., Krolikiewicz K., Niedballa U. (1975) Synthesis of nucleosides with use of trimethylsilyl-heterocycles. Ann. N. Y. Acad. Sci. 255, 8–90. https://doi.org/10.1111/j.1749-6632.1975.tb29215.x
- Vorbrüggen H., Ruh-Pohlenz C. (2001) Handbook of nucleoside synthesis. New York: Wiley.
- Lopez-Suarez L., Awabdh S.A., Coumoul X., Chauvet C. (2022) The SH-SY5Y human neuroblastoma cell line, a relevant in vitro cell model for investigating neurotoxicology in human: focus on organic pollutants. Neurotoxicology. 92, 131–155. https://doi.org/10.1016/j.neuro.2022.07.008
- Kovalevich J., Santerre M., Langford D. (2021) Considerations for the use of SH-SY5Y neuroblastoma cells in neurobiology. Methods Mol. Biol. 2311, 9–23. https://doi.org/10.1007/978-1-0716-1437-2_2
- Cheung Y.T., Lau W.K., Yu M.S., Lai C.S., Yeung S.C., So K.F., Chang R.C. (2009) Effects of all-trans-retinoic acid on human SH-SY5Y neuroblastoma as in vitro model in neurotoxicity research. Neurotoxicology. 30, 127–135. https://doi.org/10.1016/j.neuro.2008.11.001
- Amrati F.E., Chebaibi M., Galvao de Azevedo R., Conte R., Slighoua M., Mssillou I., Kiokias S., de Freitas Gomes A., Soares Pontes G., Bousta D. (2023) Phenolic composition, wound healing, antinociceptive, and anticancer effects of Caralluma europaea extracts. Molecules. 28(4), 1780. https://doi.org/10.3390/molecules28041780
- Monga M., Sausville E.A. (2002) Developmental therapeutics program at the NCI: molecular target and drug discovery process. Leukemia. 16, 520–526. https://doi.org/10.1038/sj.leu.2402464
Дополнительные файлы




