Эффекты донора сероводорода GYY4137 на пул протеасом клеток рака прямой кишки
- Авторы: Григорьева Е.В.1,2, Астахова Т.М.3, Буров А.В.1, Карпов В.Л.1, Морозов А.В.1,2
-
Учреждения:
- Институт молекулярной биологии им. В.А. Энгельгардта Российской академии наук
- Московский физико-технический институт (национальный исследовательский университет)
- Институт биологии развития им. Н.К. Кольцова Российской академии наук
- Выпуск: Том 57, № 6 (2023)
- Страницы: 938-948
- Раздел: РОЛЬ ГАЗОТРАНСМИТТЕРОВ ОКСИДА АЗОТА И СЕРОВОДОРОДА В РЕДОКС-РЕГУЛЯЦИИ КЛЕТОК
- URL: https://bakhtiniada.ru/0026-8984/article/view/231931
- DOI: https://doi.org/10.31857/S0026898423060083
- EDN: https://elibrary.ru/RBEQZK
- ID: 231931
Цитировать
Полный текст
Аннотация
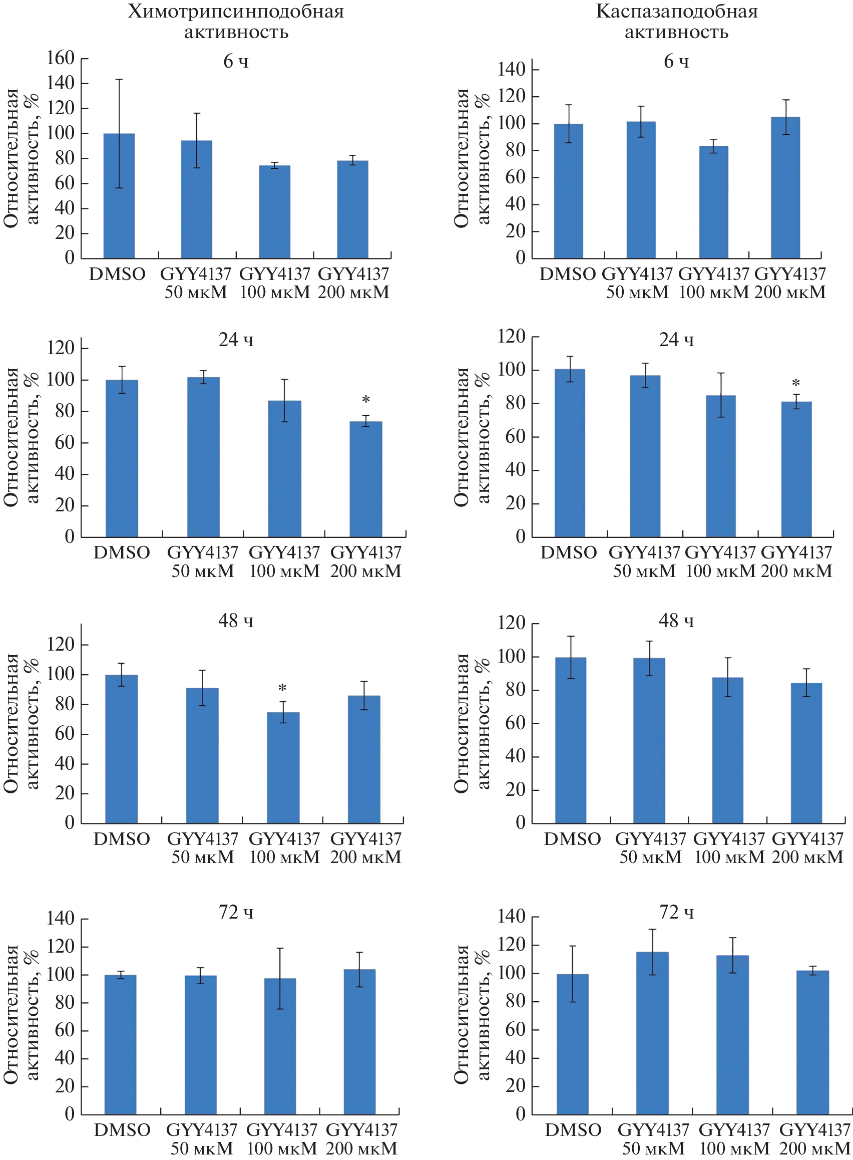
Опухолевые клетки характеризуются повышенным уровнем метаболизма. В регуляции метаболических процессов как в здоровых, так и в опухолевых клетках участвует сероводород (H2S), который влияет на функцию ключевых клеточных систем, включая убиквитин-протеасомную систему, обеспечивающую протеостаз. Принципиальным компонентом убиквитин-протеасомной системы являются протеасомы – мультисубъединичные белковые комплексы, которые осуществляют протеолиз большей части внутриклеточных белков. На сегодняшний день данных о влиянии H2S на общий пул протеасом и непосредственно на отдельные формы протеасом, в том числе в опухолевых клетках, недостаточно. Нами исследован эффект донора сероводорода GYY4137 (50, 100 и 200 мкМ) на пул протеасом в клетках аденокарциномы прямой кишки SW620B8-mCherry, экспрессирующих флуоресцентно меченные неконститутивные протеасомы. Клетки инкубировали с GYY4137 в течение 6, 24, 48 и 72 ч. Показано, что воздействие GYY4137 в концентрации 200 мкМ в течение 24 ч приводит к снижению химотрипсинподобной и каспазаподобной активности протеасом. При этом наблюдается повышение экспрессии генов субъединиц протеасом. В лизатах клеток, инкубированных с 200 мкМ GYY4137, спустя 48 ч увеличивается содержание конститутивной субъединицы β5, что, по-видимому, способствует выравниванию активности протеасом в клетках. Инкубация клеток с GYY4137 (200 мкМ, 72 ч) также приводила к повышению уровней экспрессии некоторых протеасомных генов, однако это не оказывало существенного влияния на активность и субъединичный состав протеасом. На протяжении эксперимента не выявлено изменений в содержании флуоресцентно меченных неконститутивных протеасом в клетках. Таким образом, полученные данные свидетельствуют о модуляции активности протеасом донором сероводорода, а также о влиянии GYY4137 на уровни транскрипции и трансляции отдельных протеасомных генов.
Ключевые слова
Об авторах
Е. В. Григорьева
Институт молекулярной биологии им. В.А. Энгельгардта Российской академии наук; Московский физико-технический институт (национальный исследовательский университет)
Email: Runkel@inbox.ru
Россия, 119991, Москва; Россия, 141701, Московская обл., Долгопрудный
Т. М. Астахова
Институт биологии развития им. Н.К. Кольцова Российской академии наук
Email: Runkel@inbox.ru
Россия, 119334, Москва
А. В. Буров
Институт молекулярной биологии им. В.А. Энгельгардта Российской академии наук
Email: Runkel@inbox.ru
Россия, 119991, Москва
В. Л. Карпов
Институт молекулярной биологии им. В.А. Энгельгардта Российской академии наук
Email: Runkel@inbox.ru
Россия, 119991, Москва
А. В. Морозов
Институт молекулярной биологии им. В.А. Энгельгардта Российской академии наук; Московский физико-технический институт (национальный исследовательский университет)
Автор, ответственный за переписку.
Email: Runkel@inbox.ru
Россия, 119991, Москва; Россия, 141701, Московская обл., Долгопрудный
Список литературы
- Kimura H. (2014) Hydrogen sulfide and polysulfides as biological mediators. Molecules. 19, 16146‒16157.
- Sen N. (2017) Functional and molecular insights of hydrogen sulfide signaling and protein sulfhydration. J. Mol. Biol. 429, 543‒561.
- Paul B.D., Snyder S.H., Kashfi K. (2021) Effects of hydrogen sulfide on mitochondrial function and cellular bioenergetics. Redox Biol. 38, 101772.
- Groll M., Ditzel L., Löwe J., Stock D., Bochtler M., Bartunik H.D., Huber R. (1997) Structure of 20S proteasome from yeast at 2.4 Å resolution. Nature. 386, 463‒471.
- Abi Habib J., Lesenfants J., Vigneron N., Van den Eynde B.J. (2022) Functional differences between proteasome subtypes. Cells. 11, 421.
- Ferrington D.A., Gregerson D.S. (2012) Immunoproteasomes: structure, function, and antigen presentation. Progr. Mol. Biol. Transl. Sci. 109, 75‒112.
- Pickering A.M., Linder R.A., Zhang H., Forman H.J., Davies K.J. (2012) Nrf2-dependent induction of proteasome and Pa28αβ regulator are required for adaptation to oxidative stress. J. Biol. Chem. 287, 10021‒10031.
- Koike S., Ogasawara Y., Shibuya N., Kimura H., Ishii K. (2013) Polysulfide exerts a protective effect against cytotoxicity caused by t-buthylhydroperoxide through Nrf2 signaling in neuroblastoma cells. FEBS Lett. 587, 3548‒3555.
- Shimizu Y., Nicholson C.K., Lambert J.P., Barr L.A., Kuek N., Herszenhaut D., Tan L., Murohara T., Hansen J.M., Husain A., Naqvi N., Calvert J.W. (2016) Sodium sulfide attenuates ischemic-induced heart failure by enhancing proteasomal function in an Nrf2-dependent manner. Circ. Heart Fail. 9, e002368.
- Burov A., Funikov S., Vagapova E., Dalina A., Rezvykh A., Shyrokova E., Lebedev T., Grigorieva E., Popenko V., Leonova O., Spasskaya D., Spirin P., Prassolov V., Karpov V., Morozov A. (2021) A cell-based platform for the investigation of immunoproteasome subunit β5i expression and biology of β5i-containing proteasomes. Cells. 10, 3049.
- Морозов А.В., Буров А.В., Астахова Т.М., Спасская Д.С., Маргулис Б.А., Карпов В.Л. (2019) Динамика функциональной активности и экспрессии субъединиц протеасом в условиях адаптации клетки к тепловому шоку. Молекуляр. биология. 53, 638–647.
- Морозов А.В., Буров А.В., Фуников С.Ю., Тетерина Е.В., Астахова Т.М., Ерохов П. А., Устюгов А.А., Карпов В.Л. (2023) Изменения активности и содержания отдельных форм протеасом в образцах коры головного мозга при развитии патологии у мышей линии 5xFAD. Молекуляр. биоло-гия. 57(5), 873‒885.
- Morozov A., Astakhova T., Erokhov P., Karpov V. (2022) The ATP/Mg2+ balance affects the degradation of short fluorogenic substrates by the 20S proteasome. Methods Protocols. 5, 15.
- Li L., Fox B., Keeble J., Salto-Tellez M., Winyard P.G., Wood M.E., Moore P.K., Whiteman M. (2013) The complex effects of the slow-releasing hydrogen sulfide donor GYY4137 in a model of acute joint inflammation and in human cartilage cells. J. Cell. Mol. Med. 17(3), 365‒376. https://doi.org/10.1111/jcmm.12016
- Li L., Whiteman M., Guan Y.Y., Neo K.L., Cheng Y., Lee S.W., Zhao Y., Baskar R., Tan C.H., Moore P.K. (2008) Characterization of a novel, water-soluble hydrogen sulfide-releasing molecule (GYY4137): new insights into the biology of hydrogen sulfide. Circulation. 117(18), 2351‒2360. https://doi.org/10.1161/CIRCULATIONAHA.107.753467
- Wu Z., Peng H., Du Q., Lin W., Liu Y. (2015) GYY4137, a hydrogen sulfide‑releasing molecule, inhibits the inflammatory response by suppressing the activation of nuclear factor‑kappa B and mitogen‑activated protein kinases in Coxsackie virus B3‑infected rat cardiomyocytes. Mol. Med. Rep. 11(3), 1837‒1844. https://doi.org/10.3892/mmr.2014.2901
- Powell C.R., Dillon K.M., Matson J.B. (2018) A review of hydrogen sulfide (H2S) donors: chemistry and potential therapeutic applications. Biochem. Pharmacol. 149, 110‒123.
- Kors S., Geijtenbeek K., Reits E., Schipper-Krom S. (2019) Regulation of proteasome activity by (post-) transcriptional mechanisms. Front. Mol. Biosci. 6, 48.
- Westermann B. (2009) Nitric oxide links mitochondrial fission to Alzheimer’s disease. Sci. Signaling. 2, pe29‒pe29.
- Zhang D., Du J., Tang C., Huang Y., Jin H. (2017) H2S-induced sulfhydration: biological function and detection methodology. Front. Pharmacol. 8, 608.
- Kaya H.E.K., Radhakrishnan S.K. (2021) Trash talk: mammalian proteasome regulation at the transcriptional level. Trends Genet. 37, 160‒173.
- King A.L., Polhemus D.J., Bhushan S., Otsuka H., Kondo K., Nicholson C.K., Bradley J.M., Islam K.N., Calvert J.W., Tao Y.X., Dugas T.R., Kelley E.E., Elrod J.W., Huang P.L, Wang R., Lefer D. (2014) Hydrogen sulfide cytoprotective signaling is endothelial nitric oxide synthase-nitric oxide dependent. Proc. Natl. Acad. Sci. USA. 111, 3182‒3187.
- Kotamraju S., Matalon S., Matsunaga T., Shang T., Hickman-Davis J.M., Kalyanaraman B. (2006) Upregulation of immunoproteasomes by nitric oxide: potential antioxidative mechanism in endothelial cells. Free Rad. Biol. Med. 40, 1034‒1044.
- Sen N., Paul B.D., Gadalla M.M., Mustafa A.K., Sen T., Xu R., Kim S., Snyder S.H. (2012) Hydrogen sulfide-linked sulfhydration of NF-κB mediates its antiapoptotic actions. Mol. Cell. 45, 13‒24.
- Kimura H. (2000) Hydrogen sulfide induces cyclic AMP and modulates the NMDA receptor. Biochem. Biophys. Res. Commun. 267, 129‒133.
- Huang H., Wang H., Figueiredo-Pereira M.E. (2013) Regulating the ubiquitin/proteasome pathway via cAMP-signaling: neuroprotective potential. Cell Biochem. Biophys. 67, 55‒66.
Дополнительные файлы






