Идентификация функционально значимых полиморфных вариантов в генах микроРНК при атеросклерозе сонных артерий
- Авторы: Зарубин А.А.1, Маннанова К.В.2, Королёва Ю.А.1, Слепцов А.А.1, Кузнецов М.С.3, Козлов Б.Н.3, Назаренко М.С.1,2
-
Учреждения:
- Научно-исследовательский институт медицинской генетики, Томский национальный исследовательский медицинский центр Российской академии наук
- Сибирский государственный медицинский университет Министерства здравоохранения Российской Федерации
- Научно-исследовательский институт кардиологии, Томский национальный исследовательский медицинский центр Российской академии наук
- Выпуск: Том 57, № 3 (2023)
- Страницы: 471-482
- Раздел: ГЕНОМИКА. ТРАНСКРИПТОМИКА
- URL: https://bakhtiniada.ru/0026-8984/article/view/138620
- DOI: https://doi.org/10.31857/S0026898423030205
- EDN: https://elibrary.ru/CHZTLI
- ID: 138620
Цитировать
Полный текст
Аннотация
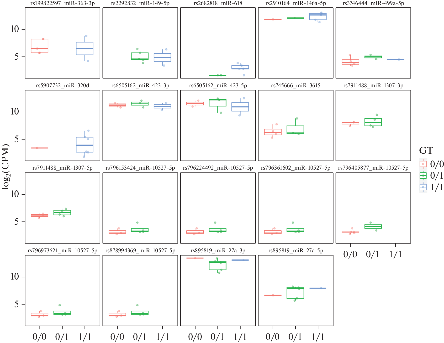
МикроРНК, участвующие в регуляции экспрессии генов, вовлечены в патогенез широкого спектра многофакторных заболеваний, в том числе атеросклероза, его факторов риска и осложнений, что делает актуальным изучение функционально значимых полиморфных вариантов в генах микроРНК у пациентов с клинически выраженным атеросклерозом сонных артерий. Нами проведено секвенирование экзомов и микроРНК из одних и тех же образцов атеросклеротических бляшек сонных артерий мужчин (n = 8, возраст 66‒71 лет) с клинически выраженным атеросклерозом. В подтверждающем исследовании использовали расширенную выборку из 112 пациентов и 72 индивидов контрольной группы (этнических славян, жителей Западной Сибири). В образцах сонных артерий, пораженных атеросклерозом, обнаружены 206 пре-микроРНК и 76 зрелых микроРНК, содержащих 321 и 97 однонуклеотидных вариантов (SNV) соответственно. Объединение данных секвенирования экзомов и микроРНК показало, что 18 генов микроРНК, которые экспрессируются в атеросклеротических бляшках до зрелого состояния, несут 24 SNV. Из них наибольшей потенциальной функциональной значимостью в отношении экспрессии микроРНК, предсказанной in silico, обладали варианты rs2910164:C>G (MIR146A), rs2682818:A>C (MIR618), rs3746444:A>G (MIR499A), rs776722712:C>T (MIR186) и rs199822597:G>A (MIR363). В образцах, полученных от пациентов с генотипом АС rs2682818 гена MIR618, выявлено снижение уровня экспрессии miR-618 по сравнению с генотипом СС (log2 FC = 4.8; p = 0.012). Обнаружено, что rs2910164:C (MIR146A) ассоциирован с риском развития клинически выраженного атеросклероза сонных артерий (OR = 2.35; 95%CI: 1.43‒3.85; p = 0.001). Интегративный подход позволил выявить новые наиболее информативные с точки зрения предсказания функциональной значимости полиморфные варианты в генах микроРНК. Вариант rs2682818:A>C (MIR618) может быть связан с изменением экспрессии miR-618 в атеросклеротических бляшках сонных артерий, а rs2910164:C (MIR146A) ассоциирован с риском развития клинически выраженного атеросклероза.
Ключевые слова
Об авторах
А. А. Зарубин
Научно-исследовательский институт медицинской генетики, Томский национальный исследовательский медицинский центр Российской академии наук
Email: maria.nazarenko@medgenetics.ru
Россия, 634050, Томск
К. В. Маннанова
Сибирский государственный медицинский университет Министерства здравоохранения Российской Федерации
Email: maria.nazarenko@medgenetics.ru
Россия, 634050, Томск
Ю. А. Королёва
Научно-исследовательский институт медицинской генетики, Томский национальный исследовательский медицинский центр Российской академии наук
Email: maria.nazarenko@medgenetics.ru
Россия, 634050, Томск
А. А. Слепцов
Научно-исследовательский институт медицинской генетики, Томский национальный исследовательский медицинский центр Российской академии наук
Email: maria.nazarenko@medgenetics.ru
Россия, 634050, Томск
М. С. Кузнецов
Научно-исследовательский институт кардиологии, Томский национальный исследовательский медицинский центр Российской академии наук
Email: maria.nazarenko@medgenetics.ru
Россия, 634034, Томск
Б. Н. Козлов
Научно-исследовательский институт кардиологии, Томский национальный исследовательский медицинский центр Российской академии наук
Email: maria.nazarenko@medgenetics.ru
Россия, 634034, Томск
М. С. Назаренко
Научно-исследовательский институт медицинской генетики, Томский национальный исследовательский медицинский центр Российской академии наук; Сибирский государственный медицинский университет Министерства здравоохранения Российской Федерации
Автор, ответственный за переписку.
Email: maria.nazarenko@medgenetics.ru
Россия, 634050, Томск; Россия, 634050, Томск
Список литературы
- Song P., Fang Z., Wang H., Cai Y., Rahimi K., Zhu Y., Fowkes F., Fowkes F., Rudan I. (2020) Global and regional prevalence, burden, and risk factors for carotid atherosclerosis: a systematic review, meta-analysis, and modelling study. Lancet Glob. Hlth. 8(5), e721–e729.
- Libby P., Bornfeldt K.E., Tall A.R. (2016) Atherosclerosis: successes, surprises, and future challenges. Circ. Res. 118(4), 531–534.
- Gebert L.F.R., MacRae I.J. (2019) Regulation of microRNA function in animals. Nat. Rev. Mol. Cell. Biol. 20(1), 21–37.
- Borghini A., Andreassi M.G. (2018) Genetic polymorphisms offer insight into the causal role of microRNA in coronary artery disease. Atherosclerosis. 269, 63–70.
- Króliczewski J., Sobolewska A., Lejnowski D., Collawn J.F., Bartoszewski R. (2018) microRNA single polynucleotide polymorphism influences on microRNA biogenesis and mRNA target specificity. Gene. 640, 66–72.
- Li Y., Huo C., Pan T., Li L., Jin X., Lin X., Chen J., Zhang J., Guo Z., Xu J., Li X. (2019) Systematic review regulatory principles of non-coding RNAs in cardiovascular diseases. Brief. Bioinform. 20(1), 66–76.
- Feinberg M.W., Moore K.J. (2016) MicroRNA regulation of atherosclerosis. Circ. Res. 118(4), 703–720.
- Ghanbari M., Franco O.H., de Looper H.W., Hofman A., Erkeland S.J., Dehghan A. (2015) Genetic variations in microRNA-binding sites affect microRNA-mediated regulation of several genes associated with cardio-metabolic phenotypes. Circ. Cardiovasc. Genet. 8(3), 473–486.
- Fasolo F., Di Gregoli K., Maegdefessel L., Johnson J.L. (2019) Non-coding RNAs in cardiovascular cell biology and atherosclerosis. Cardiovasc. Res. 115(12), 1732–1756.
- Huang Z., Shi J., Gao Y., Cui C., Zhang S., Li J., Zhou Y., Cui Q. (2019) HMDD v3.0: a database for experimentally supported human microRNA-disease associations. Nucl. Acids Res. 47(D1), D1013–D1017.
- He Y., Yang J., Kong D., Lin, J., Xu C., Ren H., Ou-yang P., Ding Y., Wang K. (2015) Association of miR-146a rs2910164 polymorphism with cardio-cerebrovascular diseases: a systematic review and meta-analysis. Gene. 565(2), 171–179.
- Bao M.H., Xiao Y., Zhang Q.S., Luo H.Q., Luo J., Zhao J., Li G.Y., Zeng J., Li J.M. (2015) Meta-analysis of miR-146a polymorphisms association with coronary artery diseases and ischemic stroke. Int. J. Mol. Sci. 16(7), 14305–14317.
- Zhu J., Yue H., Qiao C., Li Y. (2015) Association between single-nucleotide polymorphism (SNP) in miR-146a, miR-196a2, and miR-499 and risk of ischemic stroke: a meta-analysis. Med. Sci. Monit. 21, 3658–3663.
- Zhao D., Li Y., Yu X., Zhu Y., Ma B. (2019) Associations between miR-146a rs2910164 polymorphisms and risk of ischemic cardio-cerebrovascular diseases. Medicine. 98(42), e17106.
- Bastami M., Choupani J., Saadatian Z., Zununi Vahed S., Mansoori Y., Daraei A., Samadi Kafil H., Masotti A., Nariman-Saleh-Fam Z. (2019) miRNA polymorphisms and risk of cardio-cerebrovascular diseases: a systematic review and meta-analysis. Int. J. Mol. Sci. 20(2), 293.
- Elfaki I, Mir R., Mir M.M., AbuDuhier F.M., Babakr A.T., Barnawi J. (2019) Potential impact of microRNA gene polymorphisms in the pathogenesis of diabetes and atherosclerotic cardiovascular disease. J. Personalized Med. 9(4), 51.
- Raitoharju E., Oksala N., Lehtimäki T. (2013) Mic-roRNAs in the atherosclerotic plaque. Clin. Chem. 59(12), 1708–1721.
- Maitrias P., Metzinger-Le Meuth V., Nader J., Reix T., Caus T., Metzinger L. (2017) The involvement of miR-NA in carotid-related stroke. Arterioscler. Thromb. Vasc. Biol. 37(9), 1608–1617.
- Назаренко М.С., Королёва Ю.А., Зарубин А.А., Слепцов А.А. (2022) Регулом микроРНК при различных фенотипах атеросклероза. Молекуляр. биология. 56(2), 227–243.
- Sleptcov A.A., Zarubin A.A., Bogaychuk P.M., Kuznetsov M.S., Kozlov B.N., Nazarenko M.S. (2021) Human exome sequence data in support of somatic mosaicism in carotid atherosclerosis. Data Brief. 39, 107656.
- Van der Auwera G.A., O’Connor B.D. (2020) Genomics in the Cloud: Using Docker, GATK, and WDL in Terra. O’Reilly Media, Inc. p. 496.
- Andrews S. (2010) FastQC: a quality control tool for high throughput sequence data. http://www.bioinformatics.babraham.ac.uk/projects/fastqc/.
- Andrés-León E., Núñez-Torres R., Rojas A.M. (2016) miARma-Seq: a comprehensive tool for miRNA, mRN-A and circRNA analysis. Sci. Rep. 6, 25749.
- Krueger F., James F., Ewels P., Afyounian E., Schuster-Boeckler B. (2021) FelixKrueger/TrimGalore: v0.6.7 – DOI via Zenodo. Zenodo.
- Li H. (2013) Aligning sequence reads, clone sequences and assembly contigs with BWA-MEM. arXiv Preprint arXiv. 1303.3997.
- Liao Y., Smyth G.K., Shi W. (2014) featureCounts: an efficient general purpose program for assigning sequence reads to genomic features. Bioinformatics (Oxford). 30(7), 923–930.
- Kozomara A., Birgaoanu M., Griffiths-Jones S. (2019) miRBase: from microRNA sequences to function. Nu-cl. Acids Res. 47(D1), D155–D162.
- Cammaerts S., Strazisar M., Dierckx J., Del Favero J., De Rijk P. (2016) miRVaS: a tool to predict the impact of genetic variants on miRNAs. Nucl. Acids Res. 44(3), e23.
- Huang Z., Shi J., Gao Y., Cui C., Zhang S., Li J., Zhou Z., Cui Q. (2019) HMDD v3. 0: a database for experimentally supported human microRNA–disease associations. Nucl. Acids Res. 47(D1), D1013–D1017.
- Yamashita J., Iwakiri T, Fukushima S, Jinnin M., Miyashita A., Hamasaki T., Makino T., Aoi J., Masuguchi S., Inoue Y., Ihn H. (2013) The rs2910164 G >C polymorphism in microRNA-146a is associated with the incidence of malignant melanoma. Melanoma Res. 23(1), 13–20.
- Omariba G., Xu F., Wang M., Li K., Zhou Y., Xiao J. (2020) Genome-wide analysis of microRNA-related single nucleotide polymorphisms (SNPs) in mouse genome. Sci. Rep. 10(1), 5789.
- Sharma A.R., Shashikiran U., Uk A.R., Shetty R., Satyamoorthy K., Rai P.S. (2020) Aberrant DNA methylation and miRNAs in coronary artery diseases and stroke: a systematic review. Brief. Funct. Genomics. 19(4), 259‒285.
- De Rie D., Abugessaisa I., Alam T., Arner E., Arner P., Ashoor H., Åström G., Babina M., Bertin N., Burroughs A.M., Carlisle A.J., Daub C.O., Detmar M., Deviatiiarov R., Fort A., Gebhard C., Goldowitz D., Guhl S., Ha T.J., Harshbarger J., Hasegawa A., Hashimoto K., Herlyn M., Heutink P., Hitchens K.J., Hon C.C., Huang E., Ishizu Y., Kai C., Kasukawa T., Klinken P., Lassmann T., Lecellier C.H., Lee W., Lizio M., Makeev V., Mathelier A., Medvedeva Y.A., Mejhert N., Mungall C.J., Noma S., Ohshima M., Okada-Hatakeyama M., Persson H., Rizzu P., Roudnicky F., Sætrom P., Sato H., Severin J., Shin J.W., Swoboda R.K., Tarui H., Toyoda H., Vitting-Seerup K., Winteringham L., Yamaguchi Y., Yasuzawa K., Yoneda M., Yumoto N., Zabierowski S., Zhang P.G., Wells C.A., Summers K.M., Kawaji H., Sandelin A., Rehli M.; FANTOM Consortium, Hayashizaki Y., Carninci P., Forrest A.R.R., de Hoon M.J.L. (2017) An integrated expression atlas of miRNAs and their promoters in human and mouse. Nat. Biotechnol. 35(9), 872‒878.
- Zou D., Liu C., Zhang Q., Li X., Qin G., Huang Q., Meng Y., Chen L., Wei J. (2018) Association between polymorphisms in microRNAs and ischemic stroke in an Asian population: evidence based on 6.083 cases and 7.248 controls. Clin. Interv. Aging. 13, 1709–1726.
- Zhu R., Wang Q.W., Zhao J., Liu X., He Z. (2020) miR-149 and miR-499 gene polymorphism and the incident of ischemic stroke in the Asian population: from a case-control study to meta-analysis. Clin. Neurol. Neurosurg. 193, 105789.
- Wang M., Wang S., Wang X., Wu J., Wu Y., Wang Z., Wang J., Wu T., Hu Y. (2020) Carotid intima-media thickness, genetic risk, and ischemic stroke: a family-based study in Rural China. Int. J. Environ. Res. Publ. Hlth. 18(1), 119.
- Zhang Z., Xu G., Cai B., Zhang H., Zhu W., Liu X. (2017) Genetic variants in microRNAs predict recurrence of ischemic stroke. Mol. Neurobiol. 54(4), 2776–2780.
- Sung J.H., Kim S.H., Yang W.I., Kim W.J., Moon J.Y., Kim I.J., Cha D.H., Cho S.Y., Kim J.O., Kim K.A., Kim O.J., Lim S.W., Kim N.K. (2016) miRNA polymorphisms (miR-146a, miR-149, miR-196a2 and miR-499) are associated with the risk of coronary artery disease. Mol. Med. Rep. 14(3), 2328–2342.
- Jha C.K., Mir R., Elfaki I., Khullar N., Rehman S., Javid J., Banu S., Chahal S. (2019) Potential impact of microRNA-423 gene variability in coronary artery disease. Endocr. Metab. Immune Disord. Drug Targets. 19(1), 67–74.
- Cai M.Y., Cheng J., Zhou M.Y., Liang L.L., Lian S.M., Xie X.S., Xu S., Liu X., Xiong X.D. (2018) The association between pre-miR-27a rs895819 polymorphism and myocardial infarction risk in a Chinese Han population. Lipids Hlth Dis. 17(1), 7.
- Chen C., Hong H., Chen L., Shi X., Chen Y., Weng Q. (2014) Association of microRNA polymorphisms with the risk of myocardial infarction in a Chinese population. Tohoku J. Exp. Med. 233(2), 89–94.
- Yang Y., Shi X., Du Z., Zhou G., Zhang X. (2021) Associations between genetic variations in microRNA and myocardial infarction susceptibility: a meta-analysis and systematic review. Herz. 47(6), 524‒535. https://doi.org/10.1007/s00059-021-05086-3
- Sun B., Cao Q., Meng M., Wang X. (2020) MicroRNA-186-5p serves as a diagnostic biomarker in atherosclerosis and regulates vascular smooth muscle cell proliferation and migration. Cell Mol. Biol. Lett. 25, 27.
- Zhang S., Zhu X., Li G. (2020) E2F1/SNHG7/miR-186-5p/MMP2 axis modulates the proliferation and migration of vascular endothelial cell in atherosclerosis. Life Sci. 257, 118013.
- Ye Z.M., Yang S., Xia Y.P., Hu R.T., Chen S., Li B.W., Chen S.L., Luo X.Y., Mao L., Li Y., Jin H., Qin C., Hu B. (2019) LncRNA MIAT sponges miR-149-5p to inhibit efferocytosis in advanced atherosclerosis through CD47 upregulation. Cell Death Dis. 10(2), 138.
- Hou J., Deng Q., Deng X., Zhong W., Liu S., Zhong Z. (2021) MicroRNA-146a-5p alleviates lipopolysaccharide-induced NLRP3 inflammasome injury and pro-inflammatory cytokine production via the regulation of TRAF6 and IRAK1 in human umbilical vein endothelial cells (HUVECs). Ann. Transl. Med. 9(18), 1433.
- Huang S.F., Zhao G., Peng X.F., Ye W.C. (2021) The pathogenic role of long non-coding RNA H19 in atherosclerosis via the miR-146a-5p/ANGPTL4 pathway. Front. Cardiovasc. Med. 8, 770163.
- Qin S.B., Peng D.Y., Lu J.M., Ke Z.P. (2018) MiR-182-5p inhibited oxidative stress and apoptosis triggered by oxidized low-density lipoprotein via targeting toll-like receptor 4. J. Cell Physiol. 233(10), 6630–6637.
- Choe N., Kwon D.H., Ryu J., Shin S., Cho H.J., Joung H., Eom G.H., Ahn Y., Park W.J., Nam K.I., Kim Y.K., Kook H. (2020) miR-27a-3p targets ATF3 to reduce calcium deposition in vascular smooth muscle cells. Mol. Ther. Nucl. Acids. 22, 627–639.
- Zhou T., Li S., Yang L., Xiang D. (2021) microRNA-363-3p reduces endothelial cell inflammatory responses in coronary heart disease via inactivation of the NOX4-dependent p38 MAPK axis. Aging. 13(8), 11061–11082.
- Fu A., Hoffman A.E., Liu R., Jacobs D.I., Zheng T., Zhu Y. (2014) Targetome profiling and functional genetics implicate miR-618 in lymphomagenesis. Epigenetics. 9(5), 730–737.
- Ramkaran P., Khan S., Phulukdaree A., Moodley D., Chuturgoon A.A. (2014) miR-146a polymorphism influences levels of miR-146a, IRAK-1, and TRAF-6 in young patients with coronary artery disease. Cell. Biochem. Biophys. 68(2), 259–266.
- Raitoharju E., Lyytikäinen L.P., Levula M., Oksala N., Mennander A., Tarkka M., Klopp N., Illig T., Kähönen M., Karhunen P.J., Laaksonen R., Lehtimäki T. (2011) miR-21, miR-210, miR-34a, and miR-146a/b are up-regulated in human atherosclerotic plaques in the Tampere Vascular Study. Atherosclerosis. 219(1), 211–217.
- Takahashi Y., Satoh M., Minami Y., Tabuchi T., Itoh T., Nakamura M. (2010) Expression of miR-146a is associated with the Toll-like receptor 4 signal in coronary artery disease: effect of renin–angiotensin system blockade and statins on miRNA-146a/b and Toll-like receptor 4 levels. Clin. Sci. (Lond). 119(9), 395–405.
- Hamann L., Glaeser C., Schulz S., Gross M., Franke A., Nöthlings U., Schumann R.R. (2014) A micro RNA-146a polymorphism is associated with coronary restenosis. Int. J. Immunogenet. 41(5), 393–396.
- Jazdzewski K., Murray E.L., Franssila K., Jarzab B., Schoenberg D.R., de la Chapelle A. (2008) Common SNP in pre-miR-146a decreases mature miR expression and predisposes to papillary thyroid carcinoma. Proc. Natl. Acad. Sci. USA. 105(20), 7269–7274.
- Xiong X.D., Cho M., Cai X.P., Cheng J., Jing X., Cen J.M., Liu X., Yang X.L., Suh Y. (2014) A common variant in pre-miR-146 is associated with coronary artery disease risk and its mature miRNA expression. Mutat. Res. 761, 15–20.
- Alipoor B., Ghaedi H., Meshkani R., Omrani M.D., Sharifi Z., Golmohammadi T. (2018) The rs2910164 variant is associated with reduced miR-146a expression but not cytokine levels in patients with type 2 diabetes. J. Endocrinol. Invest. 41(5), 557–566.
- Cao J., Zhang K., Zheng J., Dong R. (2015) MicroRNA-146a and -21 cooperate to regulate vascular smooth muscle cell proliferation via modulation of the Notch signaling pathway. Mol. Med. Rep. 11(4), 2889–2895.
- Chu T., Xu X., Ruan Z., Wu L., Zhou M., Zhu G. (2022) miR-146a contributes to atherosclerotic plaque stability by regulating the expression of TRAF6 and IRAK-1. Mol. Biol. Rep. 49(6), 4205‒4216. https://doi.org/10.1007/s11033-022-07253-z
Дополнительные файлы



