Diversity and characteristics of alkalophilic proteolytic bacteria from Soda Lake Nukhe-Nur (Barguzinsky Basin, Buryatia)
- Authors: Lavrentyeva E.V.1,2, Nikitina E.P.2,3, Banzaraktsaeva T.G.1, Dambaev V.B.1
-
Affiliations:
- Institute of General and Experimental Biology of the SB RAS
- Dorzhi Banzarov Buryat State University
- Baikal Institute of Nature Management of the SB RAS
- Issue: Vol 94, No 1 (2025)
- Pages: 70-80
- Section: EXPERIMENTAL ARTICLES
- URL: https://bakhtiniada.ru/0026-3656/article/view/288947
- DOI: https://doi.org/10.31857/S0026365625010056
- ID: 288947
Cite item
Full Text
Abstract
Seven studied strains of proteolytic bacteria belonging to the phyla Pseudomonadota, Actinomycetota and Bacillota were isolated from water and bottom sediment samples of the Nukhe-Nur soda lake in the Barguzin depression. Determination of the ecophysiological properties of the cultures showed that the strains were alkaliphilic and alkalitolerant and developed at pH from 7.0 to 11.0 (optimum pH 7.5‒9.5). In relation to salinity, the isolated bacteria were mainly halotolerant. It was shown that the strains are capable of hydrolyzing p-nitroanilide substrates and exhibited maximum activity in hydrolysis of GlpAALpNA, BzRpNA and LpNA. It was established that peptidases are most active under alkaline conditions at pH 8.0–10.0 and are thermostable up to 50°C. The study of the activity of extracellular peptidases in different species of alkaliphilic bacteria allowed us to identify natural isolates with high enzymatic activity and different spectra of secreted extracellular peptidases, which, possibly, allows them to successfully use natural protein substrates in natural habitats.
Keywords
Full Text
Содовые озера, гидротермальные источники и почвы, богатые карбонатами, являются разнообразными природными экосистемами с благоприятными условиями для развития алкалофильных бактерий (Gupta et al., 2014; Preiss et al., 2015). Бактерии, которые демонстрируют новые физиологические особенности и имеют потенциальное применение, были выделены из содовых озер, представляющих собой высокощелочную водную среду. Непостоянные по своей природе, они широко распространены по всему миру, в основном в засушливых или полузасушливых субтропических широтах в континентальных районах, включая территорию Африки (Восточноафриканская рифтовая система), Северной Америки (штаты Калифорния и Невада, Мексика), Южной Сибири (Кулундинская степь, территории Забайкальского края, Республик Бурятия и Тыва), Внутренней Монголии (северо-восточный Китай) и Восточной Австралии (Foti et al., 2008; Sorokin et al., 2014). Алкалофильные бактерии содовых озер участвуют в биогеохимических окислительно-восстановительных циклах углерода, серы и азота (Sorokin et al., 2015) и проявляют свойства, которые не обнаруживаются у алкалофилов из других сред (Preiss et al., 2015). Они часто являются полиэкстремофилами: их свойства, помимо алкалофильности, охватывают широкие диапазоны толерантности к солености и температуре (Sorokin et al., 2014).
Основным преимуществом алкалофильных бактерий является наличие у них разнообразных ферментов, оптимум активности которых смещен в область высоких значений рН, среди которых можно указать целлюлазы, пептидазы, кератиназы, ксиланазы, пектиназы, цикломальтодекстринглюканотрансферазы (CGTases) (Gupta et al., 2014; Preiss et al., 2015). Алкалофильные бактерии являются важным источником полезных стабильных ферментов и новых химических веществ, включая противомикробные препараты (Preiss et al., 2015). Кроме того, алкалофильные бактерии могут быть использованы для удаления токсичных соединений серы из сточных вод и газов, а также биодеградации углеводородов и других органических (например, нитроароматических) и неорганических (мышьяк и уран) загрязнителей (Sorokin et al., 2014; Preiss et al., 2015). У алкалофильных бактерий пептидазы считаются наиболее важным классом промышленных ферментов, которые составляют почти 60% от общего объема продаж ферментов в мире (Banerjee, Ray, 2017; Naveed et al., 2021). Это обусловлено их широким применением в пищевой, детергентной, кожевенной, фармацевтической, косметической отраслях, при дегуммировании шелка, извлечении серебра, в химической промышленности и процессах биоремедиации (Naveed et al., 2021). Помимо практического применения пептидазы привлекают исследователей как ключевые участники в процессах деструкции органического вещества, протекающих в естественных экосистемах содовых озер (Nguyen et al., 2019). Поэтому внимание исследователей направлено на выделение алкалофильных протеолитических прокариот из содовых озер. К настоящему времени бактерии-продуценты щелочных пептидаз известны среди родов Bacillus, Pseudomonas, Staphylococcus, Aeromonas (Masi et al., 2021), Salipaludibacillus (Ibrahim et al., 2016), Nocardiopsis (Sharma, Singh, 2016), Halomonas (Эрдынеева и соавт., 2018), Proteinivorax (Лаврентьева и соавт., 2019), Alkalicaulis, Aliidiomarina (Лаврентьева и соавт., 2021).
В настоящее время использование ферментов в промышленности будет только увеличиваться, и, таким образом, для удовлетворения спроса важен скрининг новых микробных штаммов-продуцентов (Banerjee, Ray, 2017; Naveed et al., 2021).
Данное исследование направлено на изучение алкалофильных бактерий, выделенных из щелочного озера Нухэ-Нур Баргузинской котловины. Содовое озеро Нухэ-Нур характеризуется относительно неустойчивым режимом воды, зависящим от сезонных и многолетних климатических изменений водного и теплового баланса. Кроме того, наличие морозного зимнего периода также вызывает частые и существенные нарушения солености воды (Зайцева и соавт., 2012). Таким образом, озеро Нухэ-Нур является крайне нестабильной экосистемой, поэтому бактерии должны иметь различные метаболические адаптации, чтобы справиться с колебаниями факторов окружающей среды и выдерживать конкуренцию.
Цель работы – выделение, изучение эколого-физиологических свойств алкалофильных бактерий и определение физико-химических свойств их внеклеточных пептидаз.
МАТЕРИАЛЫ И МЕТОДЫ ИССЛЕДОВАНИЯ
Объектами исследования послужили вода и донные отложения слабоминерализованного щелочного озера Нухэ-Нур, располагающегося в надпойменном понижении на степном участке Баргузинской долины, по правому берегу реки Баргузин (53°38′781″ с.ш., 109°56′807″ в.д., высота 479 м над уровнем моря). Площадь озера составляет около 4 км2, глубина достигает 2‒3 м (Солоноватые и соленые озера…, 2009).
Отбор проб и определение физико-химических параметров воды проводили в летний период. Температура воды в момент отбора проб составляла 21.6°С, рН – 9.6, минерализация – 9.8 г/дм3. Окислительно-восстановительный потенциал был в пределах –0.75 мВ, что объясняется образованием восстановленных соединений за счет продуктов анаэробного распада органического вещества и низкими значениями растворенного кислорода. По содержанию главных ионов вода озера Нухэ-Нур относится к гидрокарбонатно-натриевому типу. Доминирующим катионом являлся Na+ (2941 мг/дм3), концентрации ионов Mg2+ и Ca2+ в воде были незначительны и составляли 42.6 и 12.0 мг/дм3 соответственно. Щелочность воды озера обусловлена высокими концентрациями ионов HCO3– и CO32–, содержание которых достигало 5186 и 780 мг/дм3 соответственно. Концентрация хлоридов и сульфатов составляли 613 и 157 мг/дм3 соответственно.
Отбор проб и условия культивирования. Пробы воды и донных осадков озера Нухэ-Нур для микробиологических исследований отбирали в стерильную посуду. До проведения анализов пробы хранили в холодильнике. Посев осуществляли методом предельных разведений (1: 10) на модифицированной среде Пфеннига следующего состава (г/л): NH4Cl – 0.5; KH2PO4 – 0.5; MgCl2 – 0.5; СаСl2 – 0.05; NaCl – 25; дрожжевой экстракт – 0.5. В качестве субстрата вносили пептон – 2%. Культивирование проводили при температуре 30°С в течение 3‒7 сут. Полученные накопительные культуры с целью выделения изолятов высевали на агаризованную среду Пфеннига. Чистоту культур контролировали визуально по однородности колоний и микроскопированием.
Микроскопические исследования. Морфологию, размеры, подвижность клеток изучали с помощью светового микроскопа AxioStar Plus (“Carl Zeiss”, Германия) в фазовом контрасте и на окрашенных препаратах при рабочем увеличении в 1000 раз. Окрашивание проводили по Граму.
Изучение эколого-физиологических свойств бактерий. Для выявления оптимальных параметров и границ роста изоляты культивировали при различных значениях рН среды (от 6.0 до 12.0, с интервалом в 0.5) и концентрации NaCl (0 до 30 г/дм3, с интервалом в 5 г/дм3). Диапазон рН устанавливали добавлением 0.5 М NaOH и 25% раствора HCl. Температурные интервалы роста бактерий определяли с использованием градиентного термостата от 5 до 60°С. Способность к росту на среде с разными источниками белка проверяли на модифицированной среде Пфеннига, в которую вносили компоненты (пептон, триптон, казеин, желатин) до конечной концентрации 2% от объема среды. Рост бактерий определяли по изменению оптической плотности культуральной жидкости при длине волны 560 нм.
Таксономический и филогенетический анализ. Извлечение целевой ДНК проводили с помощью приготовления лизата из образца методом механической гомогенизации. Секвенирование проводили на платформе MiSeq (“Illumina”, США) в ЦКП “Персистенция микроорганизмов” Института клеточного и внутриклеточного симбиоза Уральского отделения Российской академии наук (ИКВС УрО РАН).
Первичный анализ сходства полученных нуклеотидных последовательностей гена 16S рРНК выполняли с использованием инструментов веб-сервиса Nucleotide BLAST (https://blast.ncbi.nlm.nih.gov/Blast.cgi) с помощью алгоритма blastn. Соответствующие последовательности близкородственных видов были извлечены из базы данных GenBank. Множественное выравнивание сделано в программе CLUSTAL W. Филогенетические деревья построены методом присоединения соседей (“neighbor-joining”) в программе MEGA 7.0. Статистическую достоверность филогенетических реконструкций оценивали с помощью бутстреп-анализа путем построения 1000 альтернативных деревьев.
Определение протеолитической активности. Культуры инкубировали при оптимальных условиях (температура культивирования 30°С, рН 8.0, минерализация 5 г/дм3, источник белка – триптон) на среде Пфеннига в течение 7 сут, затем клетки осаждали центрифугированием (12 000 об./мин; 15 мин). Внеклеточную протеолитическую активность полученного супернатанта определяли согласно методу Эрлангера.
В работе использованы следующие п-нитроанилидные субстраты, специфичные для эндопептидаз определенного типа или класса: GlpAALpNA (пироглутамил-аланил-аланил-лейцин-n-нитроанилид) – для субтилизин-подобных пептидаз; BzRpNA (N-бензоил-L-аргинил-n-нитроанилид) – для трипсин-подобных пептидаз; GlpFpNA (пироглутамил-фенилаланил-n-нитроанилид) – для химотрипсин-подобных пептидаз; GlpFApNA (пироглютамил-фенилаланил-аланил-n-нитроанилид) – для цистеиновых пептидаз. Субстраты для аминопептидаз: LpNA (L-лейцил-п-нитроанилид); FpNA (L-фенилаланил-п-нитроанилид).
Для измерения активности пептидаз в ячейку микропланшета вносили 160 мкл 0.1 М фосфатного буфера (рН 8.0), добавляли 10 мкл культуральной жидкости, 10 мкл соответствующего субстрата и измеряли оптическое поглощение раствора в нулевой момент. Затем смесь инкубировали при 37°С, определяя изменение поглощения через различные промежутки времени. Количество образовавшегося продукта (n-нитроанилина) определяли спектрофотометрически при 405 нм на микропланшетном фотометре StatFax 2100 (“Awareness Technology Inc.”, США) в 96-луночных планшетах, используя дифференциальный фильтр 492 нм (Лаврентьева и соавт., 2021).
Изучение секреции внеклеточных пептидаз проводили в следующих условиях: в зависимости от источника белка (пептон, яичный альбумин), при различных значениях рН (9.0 и 10.0), минерализации (10 и 25 г/дм3), при различных температурах культивирования (5 и 30°С) и времени культивирования (3, 5 и 7 сут).
Определение оптимума pH активности и pH стабильности фермента. При определении оптимума pH действия секретируемой пептидазы по отношению к синтетическим субстратам был использован универсальный буфер в диапазоне рН 5.8–11.0 с шагом 1.0. В состав буфера входили 0.02 М H3PO4, 0.02 M CH3COOH, 0.02 M H3BO3; необходимое значение рН получали, добавляя к смеси кислот 0.02 М NaOH. Для определения рН стабильности ферментный препарат инкубировали при 37°С в течение 4 ч в универсальном буферном растворе (рН 5.8–11.0). Затем образцы доводили до рН 8 с помощью 0.1 М фосфатного буфера (pH 7.0) в щелочном диапазоне от рН 8.0, либо 0.1 М NaOH в кислом диапазоне до рН 8.0. Пептидазную активность ферментов определяли по методу, описанному выше.
Определение температурного оптимума и температурной стабильности фермента. Температурный оптимум фермента определяли при температурах от 5 до 60°С. Для изучения температурной стабильности раствор фермента инкубировали при тех же температурах в течение 4 ч, затем доводили до комнатной температуры и определяли активность, как указано выше.
РЕЗУЛЬТАТЫ И ОБСУЖДЕНИЕ
Морфологические и экофизиологические характеристики чистых культур протеолитических алкалофильных бактерий. Из проб воды и донных осадков озера Нухэ-Нур было изолировано семь чистых культур. Выделенные штаммы на модифицированной среде Пфеннига образовывали различные колонии бежевого, желтого и оранжевого цветов с преимущественно гладким краем и выпуклым профилем. Штамм Н–Н6 формировал слизистые колонии желтого цвета с неровными краями. При микроскопировании клетки бактерий были представлены грамположительными и грамотрицательными подвижными и неподвижными палочками и грамположительными неподвижными кокками (таблица).
Таблица. Основные характеристики выделенных чистых культур
Штамм | Источник | Морфология | Экофизиологические характеристики | ||
рН, ед. пределы/опт. | NaCl, г/дм3 пределы/опт. | Т, °С пределы/опт. | |||
Н–Н2 | Вода | Гр–, неподвижные палочки | 8.0–11.0/ 9.0–9.5 | 5–30/ 10–15 | 10–50/ 30–35 |
Н–Н3 | Вода | Гр–, подвижные, палочки | 7.5–11.0/ 9.0–9.5 | 0–30/ 5-10 | 10–50/ 30–35 |
Н–Н1 | Вода | Гр–, подвижные палочки | 8.0–11.0/ 9.0–9.5 | 0–30/ 5-10 | 10–50/ 35–40 |
Н–Н4 | Вода | Гр+, неподвижные кокки | 7.5–11.0/ 8.5–9.0 | 5–30/ 10–15 | 5–50/ 30–35 |
Н–Н6 | Донные осадки | Гр+, неподвижные палочки | 7.5–10.5/ 8.0–9.0 | 0–25/ 10 | 5–40/ 20–30 |
Н–Н7 | Донные осадки | Гр+, неподвижные кокки | 7.0–10.0/ 7.5–8.5 | 0–20/ 0–5 | 10–45/ 25–30 |
Н–Н5 | Донные осадки | Гр+, неподвижные кокки | 7.0–10.0/ 7.5–8.0 | 0–20/ 0–5 | 5–45/ 25–30 |
Для выделенных чистых культур бактерий были определены диапазоны и оптимумы роста при различных значениях рН среды, концентрации NaCl и температуры (таблица). Выделенные бактерии росли в диапазоне рН от 7.0 до 11.0, с оптимумом рН 9.0–9.5, проявляя свойства облигатных алкалофилов. Исключение составляли культуры Н–Н6 и Н–Н7, рост которых наблюдался при рН 7.0–10.5 с оптимум около 8.0. По отношению к концентрации NaCl выделенные бактерии в основном являлись галотолерантными, с диапазоном роста 0–30 г/дм3 и оптимумом около 10 г/дм3. Оптимальные для роста значения температуры варьировали в пределах 30-35°С, что позволило отнести выделенные культуры к группе мезофилов. В целом рост наблюдался в диапазоне от 5 до 50°С.
Изученные алкалофильные бактерии в аэробных условиях были способны к росту на различных белках и белковоподобных соединениях. Характерной особенностью являлся активный рост всех штаммов на легкогидролизуемых пептидных субстратах, таких как триптон и пептон. Полипептидные субстраты казеин и желатин активно утилизировали штаммы, выделенные из воды озера Нухэ-Нур. Тогда как штаммы бактерий Н–Н5, Н–Н6 и Н–Н7, изолированные из донных отложений, обнаружили слабый рост на желатине и казеине.
Таксономическое положение выделенных культур алкалофильных бактерий. Для анализа филогенетического родства выделенных изолятов и их ближайших родственных видов было построено филогенетическое дерево с использованием метода присоединения соседей (рис. 1).
Рис. 1. Филогенетическое положение выделенных штаммов на дереве, построенном с использованием метода присоединения соседей. Масштаб соответствует 2 нуклеотидным заменам на каждые 100 нуклеотидов. Цифрами показана статистическая достоверность порядка ветвления (>50 %), определенная с помощью “bootstrap”-анализа.
В результате анализа последовательностей фрагментов гена 16S рРНК выявлены представители филумов Pseudomonadota, Actinomycetota и Bacillota. Полученные культуры демонстрировали 98.49–100% сходства с ранее описанными типовыми штаммами. Согласно полученным данным, штаммы Н–Н1 и Н–Н2, выделенные из проб воды озера Нухэ-Нур, принадлежали к роду Nitrincola, семейству Oceanospirillaceae, порядку Oceanospirillales класса Gammaproteobacteria. Большинство представителей рода Nitrincola являются алкалофильными галотолерантными бактериями, типовые штаммы которых выделены преимущественно из содовых, соленых или щелочных озер в аридных и семиаридных районах по всему миру (Phurbu et al., 2019). Штамм Н–Н1 демонстрировал достаточно высокий уровень сходства с Nitrincola schmidtii DSM 100788T (99.14%), с которым объединялся на филогенетическом дереве с высокой достоверностью (99%), что позволяет предполагать их филогенетическую близость. Штамм Н–Н2 был близок к виду Nitrincola alkalisediminis JCM 19317T (98.49%), однако на филогенетическом дереве формировал отдельную ветвь, близкую к Nitrincola alkalisediminis JCM 19317T и Nitrincola tibetensis CICC 24457T.
Штамм Н–Н3, согласно анализу последовательности гена 16S рРНК, принадлежал к невалидированному роду “Polymorphum” недавно выделенного семейства Paracoccaceae (Goker, 2022), порядка Rhodobacterales (Alphaproteobacteria). Изолят демонстрировал наибольшее сходство с единственным видом данного рода “Polymorphum gilvum” CGMCC 1.9160 (99.55%), который был выделен из засоленной почвы на нефтяном месторождении Шэнли в Китае (Cai et al., 2011), однако кластеризовался с ним с низкой вероятностью. На филогенетическим дереве штамм занимал положение внутри клады Pannonibacter–Labrenzia–Roseibium–Stappia, представители которой на данный момент отнесены к семейству Stappiaceae порядка Hyphomicrobiales (Hordt et al., 2020). Основная часть типовых штаммов данной клады связаны с морскими экосистемами и выделены из воды, прибрежных и донных отложений, гидробионтов (красные водоросли, губки, прибрежные галофиты).
Последовательность гена 16S рРНК штамма Н–Н4 обнаруживала высокий уровень сходства с невалидированным видом “Planococcus dechangensis” CGMCC 1.12151 (99.78%) семейства Caryophanaceae, порядка Caryophanales, класса Bacilli (Bacillota). Достоверность объединения данных нуклеотидных последовательностей в один кластер составляла 77%, что свидетельствовало о возможной принадлежности штамма к этому виду. Род Planococcus на момент написания статьи содержал 36 видов (https://lpsn.dsmz.de/genus/planococcus), выделенных из различных мест обитания, в первую очередь, из морских экосистем (вода, донные и прибрежные отложения, гидробионты и морепродукты). Достаточно большое количество штаммов обнаружено в экстремальных условиях, включая холодные местообитания (лед и цианобактериальные маты на территории Арктики и Антарктиды), засоленные и/или щелочные, а также загрязненные почвы (Yang et al., 2020; Uniacke-Lowe et al., 2024). Ранее было отмечено, что ферменты бактерий рода Planococcus проявляют устойчивость к низким температурам и высокому содержанию солей. Они также широко изучались на предмет их потенциального применения в биоремедиации, так как представители рода продемонстрировали способность разлагать и обезвреживать различные загрязняющие вещества, такие как фенол и тяжелые металлы (Yang et al., 2020).
Таксономическое положение штамма Н–Н5, выделенного из образцов донных отложений озера Нухэ-Нур, было неоднозначно. Последовательность гена 16S рРНК имела 100% сходство с пятью видами, относящимися к роду Trichococcus, семейству Carnobacteriaceae, порядку Lactobacillales, классу Bacilli филума Bacillota, с которыми штамм Н–Н5 образовывал единый кластер на филогенетическом дереве. Ранее было выявлено, что виды Trichococcus обладают высокой идентичностью последовательностей гена 16S рРНК, и для таксономической идентификации более эффективно использовать значение ДНК–ДНК-гибридизации in silico (dDDH) и величину средней идентичности нуклеотидов (ANI), рассчитанные по полным геномным последовательностям (Dai et al., 2018; Parshina et al., 2019). Поэтому для уточнения видовой принадлежности данного штамма необходимо провести в будущем более детальное исследование. Особенностью представителей рода Trichococcus является способность расти в широком диапазоне температур (от 0 до 45°C), что может найти потенциальное применение для очистки сточных вод в условиях низких температур (Dai et al., 2018; Parshina et al., 2019). Кроме того, отмечена высокая метаболическая гибкость Trichococcus, например, их устойчивость к кислороду и металлам, а также способность адаптироваться к среде с высокой соленостью.
Из образцов донных отложений также было выделено два штамма, являющихся представителями филума Actinomycetota класса Actinomycetia порядка Micrococcales семейства Micrococcaceae. Штамм Н–Н6 имел высокий уровень сходства с Arthrobacter ruber CGMCC 1.9772T (99.56%), однако на филогенетическом дереве образовывал отдельную ветвь в пределах рода Arthrobacter. Род Arthrobacter, который за последние несколько лет подвергся нескольким таксономическим пересмотрам, в настоящее время фигурирует как парафилетический таксон, что также было подтверждено недавними филогеномными исследованиями (Nouioui et al., 2018). Представители этого рода распространены повсеместно и часто составляют численно значимую часть микробиоты различных почв, что объясняется их чрезвычайной устойчивостью к высыханию и нехватке питательных веществ (Jones, Keddie, 2006). Представители рода Arthrobacter также были выделены из осадков сточных вод, морских отложений и цианобактериальных матов на территории Антарктиды, карстовых и базальтовых водоносных горизонтов, образцов животных и растений. Сообщалось, что психрофильные штаммы этого рода являются наиболее распространенными и активными бактериями в илах подземных пещер (Jones, Keddie, 2006; Busse, Wieser, 2014; Flegler et al., 2020). Представители рода Arthrobacter используют широкий спектр органических соединений, ксенобиотиков и других токсичных веществ, и, следовательно, играют важную роль в их биодеградации в природной среде. Некоторые штаммы артробактерий способны переносить высокие концентрации тяжелых металлов, таких как кадмий и медь, или даже проводить детоксикацию, накапливая их в клетках (Busse, Wieser, 2014).
Штамм Н–Н7 демонстрировал 100% сходство последовательности гена 16S рРНК с Micrococcus yunnanensis CCTCC AA 208060T. Но на филогенетическом дереве объединялся в один кластер с ближайшими гомологами, что не позволяет сделать однозначный вывод о видовой принадлежности данной культуры. Большинство представителей рода Micrococcus, в том числе и выделенный штамм Н–Н7, образуют желтые колонии и способны расти при высоких значениях pH (до 10). Они широко распространены в природе и были выделены из различных местообитаний, включая образцы почвы, воздуха, активного ила, органов и тканей животных и растений, молочных отходов, некоторые штаммы были описаны как условно-патогенные микроорганизмы человека (Prakash et al., 2014; Lee et al., 2022).
Определение протеолитической активности. Изученные алкалофильные бактерии в аэробных условиях были способны к росту на различных белках и белковоподобных соединениях. Характерной особенностью являлся активный рост всех штаммов на легкогидролизуемых пептидных субстратах, таких как триптон и пептон. Штаммы, выделенные из воды озера Нухэ-Нур, активно утилизировали полипептидные субстраты казеин и желатин, тогда как штаммы бактерий Н–Н5, Н–Н6 и Н–Н7, изолированные из донных отложений, обнаружили слабый рост на желатине и казеине.
Для четырех штаммов (Н–Н1, Н–Н2, Н–Н3 и Н–Н4), выделенных из образцов воды озера Нухэ-Нур, было проведено определение протеолитической активности.
Скорость выработки микробных ферментов в значительной степени зависит от различных параметров культивирования, в первую очередь от температуры, рН, источников углерода и азота, продолжительности культивирования. Оптимизация этих факторов важна для улучшения качества продукта и экономической эффективности. Поэтому далее сравнительное изучение секреции внеклеточных пептидаз проводили в зависимости от источника белка (пептон, яичный альбумин), при различных значениях рН – 9.0 и 10.0, минерализации – 10 и 25 г/дм3, температуры – 5 и 30°С и времени культивирования (3, 5 и 7 сут). На рис. 2 представлены графики, отражающие субстраты, на которых наблюдалась наибольшая активность исследуемых штаммов в зависимости от условий культивирования.
Изучение спектра пептидаз, секретируемых различными штаммами, выявило, что штаммы бактерий Н–Н1 и Н–Н4 активно продуцировали пептидазы, гидролизующие синтетические субстраты, специфичные для субтилизинподобных пептидаз GlpAALpNa и аминопептидаз – LpNA (рис. 2а, 2г). Следует отметить, что штамм Н–Н1 показал наиболее высокую активность на 7 сут культивирования. Наибольшая активность в отношении субстрата, специфичного для субтилизинподобных пептидаз и аминопептидаз (LpNa) у штамма Н–Н1 обнаружена при минерализации 10 г/дм3 и достигала 0.49 и 0.55 ед./мл соответственно. Штамм Н–Н4 был наиболее активен на 3 и 7 сут культивирования при повышенных значениях рН. Максимальные активности для аминопептидаз обнаружены на 3 сут (LpNa) при рН 10.0 (0.41 ед./мл), для субтилизинподобных пептидаз на 7 сут при рН 10.0 (0.53 ед./мл).
Для штамма Н–Н2 были характерны высокие активности по отношению к аминопептидазам (LpNa и FpNa). Максимальные активности зафиксированы на 3 сут культивирования при рН 10.0 и составили 0.66 ед./мл по FpNa и 0.87 ед./мл по LpNa (рис. 2б).
Штамм Н–Н3 активно продуцировал пептидазы, специфичные для трипсинподобных пептидаз, высокая активность которых обнаружена на 5 и 7 сут при рН среды 9.0 (1.54 и 1.62 ед./мл соответственно). Кроме того, штамм Н–Н3 продуцировал пептидазы, гидролизующие синтетические субстраты, специфичные для аминопептидаз (LpNA), наибольшая активность которых обнаружена на 7 сут культивирования при минерализации среды 10 и 25 г/дм3 и составила 1.12 и 1.28 ед./мл соответственно (рис. 2в).
Рис. 2. Субстратная специфичность выделенных штаммов Н–Н1 (а), Н–Н2 (б), Н–Н3 (в), Н–Н4 (г) на синтетических субстратах при оптимальных условиях (1) и различных значениях рН 9 (2) и 10 (3), минерализации 10 (4) и 24 (5) г/дм³, источниках белка – пептон (6), яичный альбумин (7) и температуре культивирования 5°С (8) в зависимости от времени культивирования (3, 5 и 7 сут).
Одним из важных факторов, определяющих активность внеклеточных ферментов, является наличие в питательной среде оптимального субстрата. Показано, что наибольшая активность пептидаз обнаружена на среде с триптоном, присутствие в среде пептона или яичного альбумина не приводило к индукции ферментов. Исследованные нами культуры не гидролизовали субстраты, специфичные для химотрипсиноподобных пептидаз (GlpFpNA) независимо от времени культивирования, источников белка, температуры, рН и минерализации в среде.
Необходимо отметить, что увеличение значений рН среды, а также минерализации в большинстве случаев приводило к увеличению активности ферментов исследуемых штаммов, что, вероятно, отражает адаптационные механизмы культур, выделенных из воды содового озера Нухэ-Нур. Полученные данные свидетельствуют о том, что изученные алкалофильные бактерии имеют широкий спектр секретируемых пептидаз, что, возможно, в природных местообитаниях позволяет им успешно использовать природные белковые субстраты.
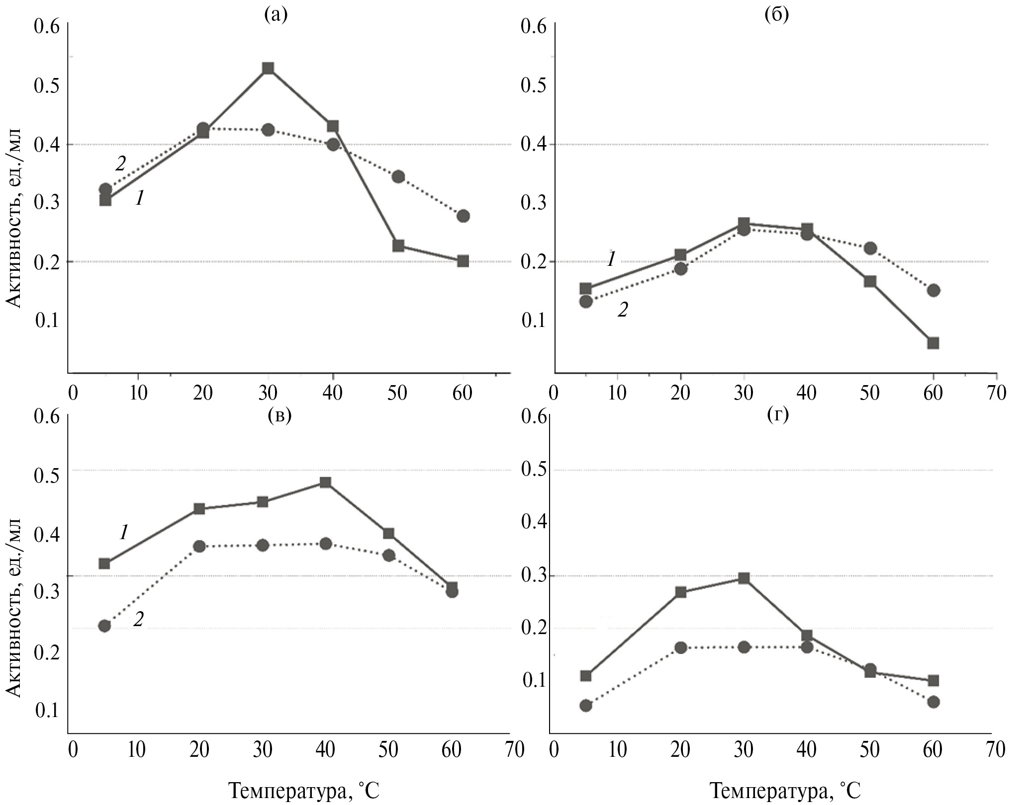
Определение оптимума и стабильности ферментов при разных значениях температуры и рН. Среди изученных параметров температура и pH считаются наиболее важными для работы ферментов. Было изучено влияние температуры и рН на активность и стабильность у наиболее представленных внеклеточных пептидаз, гидролизующих GlpAALpNa у штаммов Н–Н1 и Н–Н4, LpNa у штамма Н–Н2 и BzRpNA у штамма Н–Н3.
Температурный оптимум ферментов штаммов Н–Н1, Н–Н2 и Н–Н4 составлял 30°С, у штамма Н–Н3 ферменты проявляли максимум активности при 40°С. Пептидазы сохраняли более 50 % активности при температуре до 50°С (рис. 3).
Рис. 3. Температурный оптимум (1) и термостабильность (2) внеклеточных пептидаз выделенных бактерий: а – Н–Н1; б – Н–Н2; в – Н–Н3; г – Н–Н4.
Рис. 4. Оптимум рН (1) и рН-стабильность (2) внеклеточных пептидаз выделенных бактерий: а – Н–Н1; б – Н–Н2; в – Н–Н3; г – Н–Н4.
Исследование влияния рН на пептидазы, секретируемые штаммами Н–Н1, Н–Н2 и Н–Н4, показало, что пептидазы были стабильны при рН от 7.0 до 10.0 и имели оптимум активности при рН 9.0. Пептидазы штамма Н–Н3 были стабильны при рН 5.8–10.0 с оптимум активности при рН 8.0 (рис. 4). Учитывая, что пептидазы были активны в диапазоне значений рН от 8.0 до 10.0 и показали высокую стабильность – до рН 10.0, их следует отнести к классу щелочных пептидаз.
Таким образом, определение физико-химических свойств ферментов исследуемых штаммов показало, что исследуемые пептидазы имели высокую активность и стабильность в широком диапазоне pH (5.8–10.0) и температуры (5–50°С), что в целом соответствует условиям среды, в которых функционируют бактерии в естественных местообитаниях.
Алкалофильные протеолитические бактерии, представители родов Nitrincola и “Polymorphum” филума Pseudomonadota, родов Trichococcus и Planococcus филума Bacillota, родов Arthrobacter и Micrococcus филума Actinomycetota были выделены из образцов воды и донных осадков содового озера Нухэ–Нур. В основном их ближайшие гомологи выделены из экстремальных сред, такие как соленые (морские) щелочные среды. Исследование экофизиологии культур показало, что все штаммы развиваются в области высоких значений рН и являются облигатными алкалофилами и умеренными алкалофилами. По отношению к солености выделенные бактерии в основном являлись галотолерантными. Анализ пептидазной активности выделенных штаммов показал высокую стабильность исследуемых ферментов в щелочной области, которая, в целом, типична для протеолитических ферментов алкалофильных бактерий. Активная секреция внеклеточных ферментов совпадает с замедлением роста культур в период пост-экспоненциальной фазы. Данные анализа субстратной специфичности наиболее активных внеклеточных пептидаз указывают на их принадлежность к классу сериновых протеаз субтилизин-подобного и трипсин-подобного типа, а также аминопептидаз. Таким образом, полученные данные свидетельствуют о том, что изученные алкалофильные бактерии имеют широкий спектр секретируемых пептидаз, что, возможно, в природных местообитаниях позволяет им успешно использовать природные белковые субстраты.
ФИНАНСИРОВАНИЕ РАБОТЫ
Исследование выполнено за счет гранта Российского научного фонда № 24-24-20050, https://rscf.ru/project/24-24-20050/).
СОБЛЮДЕНИЕ ЭТИЧЕСКИХ СТАНДАРТОВ
Настоящая статья не содержит результатов исследований, в которых в качестве объектов использовались люди или животные.
КОНФЛИКТ ИНТЕРЕСОВ
Авторы заявляют об отсутствии конфликта интересов.
About the authors
E. V. Lavrentyeva
Institute of General and Experimental Biology of the SB RAS; Dorzhi Banzarov Buryat State University
Author for correspondence.
Email: lena_l@mail.ru
Russian Federation, Ulan-Ude, 660047; Ulan-Ude, 670000
E. P. Nikitina
Dorzhi Banzarov Buryat State University; Baikal Institute of Nature Management of the SB RAS
Email: lena_l@mail.ru
Russian Federation, Ulan-Ude, 670000; Ulan-Ude, 660047
T. G. Banzaraktsaeva
Institute of General and Experimental Biology of the SB RAS
Email: lena_l@mail.ru
Russian Federation, Ulan-Ude, 660047
V. B. Dambaev
Institute of General and Experimental Biology of the SB RAS
Email: lena_l@mail.ru
Russian Federation, Ulan-Ude, 660047
References
- Зайцева С. В., Абидуева Е. Ю., Бурюхаев С. П., Намсараев Б. Б. Факторы, контролирующие активность микробного сообщества щелочного озера Белое (Забайкальский край) // Микробиология. 2012. Т. 81. С. 508–516.
- Zaitseva S. V., Abidueva E. Y., Buryukhaev S. P., Namsaraev B. B. Factors controlling the activity of the microbial community of the alkaline lake Beloe (Transbaikal region) // Microbiology (Moscow). 2012. V. 81. С. 468–476.
- Лаврентьева Е. В., Эрдынеева Е. Б., Дунаевский Я. Е., Болтянская Ю. В., Кевбрин В. В. Внеклеточные высокостабильные щелочные пептидазы алкалофильных бактерий Alkalicaulis satelles и Aliidiomarina sp., перспектива их применения в составе детергентов // Прикл. биохимия и микробиология. 2021. Т. 57. С. 563–570.
- Lavrentyeva E. V., Erdyneeva E. B., Dunaevskii Y. E., Boltyanskaya Y. V., Kevbrin V. V. Extracellular, highly stable, alkaline peptidases of the alkalophilic bacteria Alkalicaulis satelles G-192T and Aliidiomarina sp. P-156 and their possible use in the composition of detergents // Appl. Biochem. Microbiol. 2021. V. 57. P. 725–731.
- Лаврентьева Е. В., Эрдынеева Е. Б., Дунаевский Я. Е., Болтянская Ю. В., Кевбрин В. В. Пептидазная активность бактерий рода Proteinivorax и их возможная экологическая роль в микробном сообществе содовых озер Танатар (Алтайский край) // Микробиология. 2019. Т. 88. С. 735–739.
- Lavrentyeva E. V., Erdyneeva E. B., Dunaevskii Y. E., Boltyanskaya Y. V., Kevbrin V. V. Peptidase activity of Proteinivorax bacteria and their possible ecological role in the microbial communities of Tanatar soda lakes (Altai Krai, Russia) // Microbiology (Moscow). 2019. V. 88. P. 773–776.
- Солоноватые и соленые озера Забайкалья: гидрохимия, биология / Отв. ред. Б.Б. Намсараев. Улан-Удэ: Изд-во Бурятского госуниверситета, 2009. 340 с.
- Эрдынеева Е. Б., Раднагуруевa А. А., Дунаевский Я. Е., Белькова Н. Л., Намсараев З. Б., Лаврентьевa Е. В. Аминопептидазная активность галоалкалофильных бактерий рода Halomonas, выделенных из содово-соленых озер пустыни Бадаин Жаран // Микробиология. 2018. Т. 87. С. 397–408.
- Erdyneeva E. B., Radnagurueva A. A., Lavrentieva E. V., Dunaevsky Y. E., Belkova N. L., Namsaraev Z. B. Aminopeptidase activity of haloalkalophilic bacteria of the genus Halomonas isolated from the soda-saline lakes in the Badain Jaran desert // Microbiology (Moscow). 2018. V. 87. P. 538–548.
- Banerjee G., Ray A. K. Impact of microbial proteases on biotechnological industries // Biotechnology and genetic engineering reviews. 2017. V. 33. P. 119–143.
- Busse H.-J., Wieser M. The genus Arthrobacter // The Prokaryotes / Eds. Rosenberg E., DeLong E.F., Lory S., Stackebrandt E., Thompson F. Berlin, Heidelberg: Springer, 2014. P. 105–132.
- Cai M., Wang L., Cai H., Li Y., Tang Y. Q., Wu X. L. Rubrimonas shengliensis sp. nov. and Polymorphum gilvum gen. nov., sp. nov., novel members of Alphaproteobacteria from crude oil contaminated saline soil // Syst. Appl. Microbiol. 2011 V. 34. P. 321–327.
- Dai Y. M., Zhang L. L., Li Y., Li Y. Q., Deng X. H., Wang T. T., Yang F., Tian Y. Q., Li N., Zhou X. M., Liu X. F., Wen-Jun Li W. J. Characterization of Trichococcus paludicola sp. nov. and Trichococcus alkaliphilus sp. nov., isolated from a high-elevation wetland, by phenotypic and genomic analyses // Int. J. Syst. Evol. Microbiol. 2018. V. 68. P. 99–105.
- Flegler A., Runzheimer K., Kombeitz V., Manz A. T., Heidler von Heilborn D., Etzbach L., Schieber A., Holzl G., Huttel B., Woehle C., Lipski A. Arthrobacter bussei sp. nov., a pink-coloured organism isolated from cheese made of cow’s milk // Int. J. Syst. Evol. Microbiol. 2020. V. 70. P. 3027–3036.
- Foti M. J., Sorokin D. Y., Zacharova E. E., Pimenov N. V., Kuenen J. G., Muyzer G. Bacterial diversity and activity along a salinity gradient in soda lakes of the Kulunda Steppe (Altai, Russia) // Extremophiles. 2008. V. 12. P. 133–145.
- Goker M. Filling the gaps: missing taxon names at the ranks of class, order and family // Int. J. Syst. Evol. Microbiol. 2022. V. 72. Art. 5638.
- Gupta G. N., Srivastava S., Khare S. K., Prakash V. Extremophiles: an overview of microorganism from extreme environment // Int. J. Agric. Environ. Biotechnol. 2014. V. 7. P. 371–380.
- Hordt A., Lopez M. G., Meier-Kolthoff J.P., Schleuning M., Weinhold L. M., Tindall B. J., Gronow S., Kyrpides N. C., Woyke T., Goker M. Analysis of 1,000+ type-strain genomes substantially improves taxonomic classification of Alphaproteobacteria // Front. Microbiol. 2020. V. 11. Art. 468.
- Ibrahim A. S.S., Elbadawi Y. B., El-Tayeb M.A., Al-maary K.S., Maany D. A.F., Ibrahim S. S.S., Elagib A. A. Alkaline serine protease from the new halotolerant alkaliphilic Salipaludibacillus agaradhaerens strain AK-R: purification and properties // 3 Biotech. 2019. V. 9. Art. 391.
- Jones D., Keddie R. M. The genus Arthrobacter // The Prokaryotes / Eds. Dworkin M., Falkow S., Rosenberg E., Schleifer K. H., Stackebrandt E. N.Y.: Springer, 2006. P. 945–960.
- Lee A. Y., Chen C. H., Liou J. S., Lin Y. C., Hamada M., Wang Y. T., Peng L. L., Chang S. C., Chen C. C., Lin C. F., Huang L., Huang C. H. Micrococcus porci sp. nov., isolated from feces of black pig (Sus scrofa) // Life. 2022. V. 12. Art. 1749.
- Masi C., Gemechu G., Tafesse M. Isolation, screening, characterization, and identification of alkaline protease-producing bacteria from leather industry effluent // Ann. Microbiol. 2021. V. 71. Art. 24.
- Naveed M., Nadeem F., Mehmood T., Bilal M., Anwar Z., Amjad F. Protease – a versatile and ecofriendly biocatalyst with multi-industrial applications: an updated review // Catal. Lett. 2021. V. 151. P. 307–323.
- Nguyen T. T.H., Myrold D. D., Mueller R. S. Distributions of extracellular peptidases across prokaryotic genomes reflect phylogeny and habitat // Front. Microbiol. 2019. V. 10. Art. 413.
- Nouioui I., Carro L., García-López M., Meier-Kolthoff J.P., Woyke T., Kyrpides N. C., Pukall R., Klenk H. P., Goodfellow M., Göker M. Genome-based taxonomic classification of the phylum Actinobacteria // Front. Microbiol. 2018. V. 9. Art. 2007.
- Parshina S. N., Strepis N., Aalvink S., Nozhevnikova A. N., Stams A. J.M., Sousa D. Z. Trichococcus shcherbakoviae sp. nov., isolated from a laboratory-scale anaerobic EGSB bioreactor operated at low temperature // Int. J. Syst. Evol. Microbiol. 2019. V. 69. P. 529–534.
- Phurbu D., Pema Y., Ma C., Lu H., Li H., Tian Y., Xing P. Nitrincola tibetensis sp. nov., isolated from lake XuguoCo on the Tibetan Plateau // Int. J. Syst. Evol. Microbiol. 2019. V. 69. P. 123–128.
- Prakash O., Nimonkar Y., Munot H., Sharma A., Vemuluri V. R., Chavadar M. S., Shouche Y. S. Description of Micrococcus aloeverae sp. nov., an endophytic actinobacterium isolated from Aloe vera // Int. J. Syst. Evol. Microbiol. 2014. V. 64. P. 3427–3433.
- Preiss L., Hicks D. B., Suzuki S., Meier T., Krulwich T. A. Alkaliphilic bacteria with impact on industrial applications, concepts of early life forms, and bioenergetics of ATP synthesis // Front. Bioeng. Biotechnol. 2015. V. 3. Art. 75.
- Sharma A. K., Singh S. P. Effect of amino acids on the repression of alkaline protease synthesis in haloalkaliphilic Nocardiopsis dassonvillei // Biotechnol. Rep. (Amst). 2016. V. 17. № 12. P. 40–51.
- Sorokin D. Y., Banciu H. L., Muyzer G. Functional microbiology of soda lakes // Curr. Opin. Microbiol. 2015. V. 25. P. 88–96.
- Sorokin D. Y., Berben T., Melton E. D., Overmars L., Vavourakis C. D., Muyzer G. Microbial diversity and biogeochemical cycling in soda lakes // Extremophiles. 2014. V. 18. P. 791–809.
- Uniacke-Lowe S., Stanton C., Hill C., Ross P. Planococcus notacanthi sp. nov., isolated from the skin of a deep-sea snub-nosed spiny eel // Int. J. Syst. Evol. Microbiol. 2024. V. 74. Art. 006298.
- Yang R., Zhang B., Wang J., Tai X., Sun H., Zhang G., Liu G. Planococcus lenghuensis sp. nov., an oil-degrading bacterium isolated from petroleum-contaminated soil // Antonie van Leeuwenhoek. 2020. V. 113. P. 839–850.
Supplementary files






