Degradation of cinnamic acid by the rhizosphere strain Achromobacter insolitus LCu2
- Authors: Kryuchkova E.V.1, Morozova E.S.2, Grinev V.S.1,3, Burygin G.L.1,3, Gogoleva N.E.4,5, Gogolev Y.V.4,6
-
Affiliations:
- FRCenter “Saratov Scientific Center RAS”
- St. Petersburg State University
- Saratov National Research State University named after N. G. Chernyshevsky
- Kazan (Volga Region) Federal University
- Institute of Cellular and Intracellular Symbiosis, Ural Branch of the Russian Academy of Sciences
- Kazan Scientific Center of the Russian Academy of Sciences
- Issue: Vol 93, No 5 (2024)
- Pages: 562-571
- Section: EXPERIMENTAL ARTICLES
- URL: https://bakhtiniada.ru/0026-3656/article/view/273103
- DOI: https://doi.org/10.31857/S0026365624050053
- ID: 273103
Cite item
Full Text
Abstract
The Achromobacter insolitus LCu2 strain, isolated from the roots of alfalfa (Medicago sativa L.), utilized cinnamic acid, as well as its methoxy derivatives ‒ vanillic and ferulic acids ‒ as the only carbon source. Weak growth was observed on m-coumaric acid, but not on o- and p-coumaric acids. Growth on cinnamic acid was slow and diauxic. The loss of substrate from the cultivation medium was 53%, the destructive efficiency was 30 μg/mg of raw biomass for 14 days. Despite the bactericidal effect of cinnamic acid, the A. insolitus LCu2 culture remained viable for a long time. Genomic analysis revealed two gene clusters, hca and mhp, responsible for dihydroxylation of the phenyl ring (hcaA1A2CDB) and its subsequent cleavage to central metabolic products (mhpACDE), as well as a transcriptional regulator (hcaR) and a putative transporter (hcaT). A putative biochemical pathway for cinnamic acid degradation by A. insolitus strain LCu2 was predicted using genomic data.
Keywords
Full Text
Фенольные кислоты (ФК) – это соединения с химической структурой (С6‒С3), синтезируемые в основном растениями, как структурные компоненты предшественников лигнина (Croteau et al., 2000; Kefeli et al., 2003), как защитные молекулы в ответ на биотические факторы, а также как соединения, обеспечивающие сигналинг в растительно-микробных симбиозах (Siqueira et al., 1991; Mandal et al., 2010). В почву ФК попадают с корневыми экссудатами, в процессе разложения растительных остатков, в стоках винодельческих, маслоэкстракционных, целлюлозно-бумажных предприятий (Monisha et al., 2018), в качестве интермедиатов катаболизма полиароматики, например, нафталина (Анохина и соавт., 2020). Коричная кислота (КК) – основной предшественник синтеза растительных фенольных компонентов (Croteau et al., 2000). Она обладает аллелопатическими свойствами, ингибирует рост бактерий и образование биопленок, а в определенных концентрациях негативно влияет на развитие растений (Ye et al., 2006; Salvador et al., 2013; Rajkumari et al., 2018). Бактериальные штаммы, способные к деградации КК, перспективны не только с точки зрения естественного цикла разложения ароматических компонентов, оздоровления почвы и повышения ее плодородия, но также могут использоваться как модельные объекты, которые преодолевают неспецифическую защиту растений и колонизируют их.
На сегодняшний день описано несколько путей бактериальной трансформации и деградации КК: а) β-окисление трехуглеродного хвоста с образованием бензоата у Cupriavidus necator JMP134 (Perez-Pantoja et al., 2008); б) восстановление двойной связи в трехуглеродном хвосте с последующим гидроксилированием бензольного кольца монооксигеназами до протокатеховой кислоты у Stenotrophomonas sp. TRMK2 (Monisha et al., 2018); в) дигидроксилирование бензольного кольца диоксигеназой (ДО) типа Риске c дальнейшим расщеплением кольца у Escherichia coli K-12 (Diaz et al., 1998). Лишь диоксигенолитический путь деградации КК описан полностью, указаны все ферменты и биохимические реакции с соответствующими субстратами и продуктами.
Цель данного исследования – изучить возможность утилизации коричной кислоты и ее производных ризосферным штаммом Achromobacter insolitus LCu2 и с помощью геномного анализа предсказать биохимический путь деградации КК у исследуемых бактерий.
МАТЕРИАЛЫ И МЕТОДЫ ИССЛЕДОВАНИЯ
Объект исследования. Используемый в работе штамм A. insolitus LCu2 выделен с корней люцерны посевной (Medicago sativa L.) и депонирован в двух микробных коллекциях под номерами IBPPM 631 (http://collection.ibppm.ru/) и RCAM 04723 (http://www.arriam.spb.ru/eng/lab10/).
Рост бактерий на фенольных кислотах. Бактерии культивировали в минеральной среде MS1 (Ермакова и соавт., 2008) с некоторыми модификациями. В качестве источника фосфора использовали 0.5 г/л KH2PO4. Коричную, о-, м-, п-кумаровую, ванилиновую и феруловую кислоты добавляли в автоклавированную среду (1 атм, 30 мин) в качестве единственного источника углерода (0.5‒1.0 г/л), предварительно растворив их в небольшом объеме диметилсульфоксида (ДМСО). Стерилизованный фильтрованием 0.22 мкм раствор витаминов (мг/100 мл): тиамин – 1.0; биотин – 0.2; никотиновая кислота – 2.0; пиридоксамин – 5.0 добавляли в MS1 (2 мл/л); pH среды доводили 1М раствором NaOH до 6.8–7.0.
Для инокулята одну полную петлю бактериальной культуры засевали в MS1 с яблочной кислотой (0.5 г/л) и выращивали в течение 1 сут. Клетки осаждали при 5000 g в течение 10 мин, ресуспендировали свежей средой без источника углерода и вносили в экспериментальные варианты до начальной оптической плотности 0.02 или 0.09 при 420 нм. Бактерии культивировали в колбах, содержащих 50 мл жидкой MS1, на шейкере при 140 об./мин и температуре 35°C.
Для получения адаптированной к КК культуры LCu2 осуществляли серию многократных последовательных пересевов на среды, содержащие КК (0.5 или 1.0 г/л) в качестве единственного источника углерода.
Контроль ростовых характеристик. Рост бактерий контролировали по изменению оптической плотности (ОП) на спектрофотометре Specol 221 (Германия) при длине волны 420 нм в кювете с длиной оптического пути 0.2 см. Удельную скорость роста (μ) и время генерации (g) рассчитывали по формулам:
μ = lgXt – lgX0 × 2.303/(t – t0),
где Xt и X0 – начальная и конечная плотность культуры в моменты времени t и t0;
g = 0.693/μ.
Деструктивную активность (Q) культур определяли как отношение потребленной коричной кислоты к сырой биомассе бактерий (мг/г).
Жизнеспособность бактериальных культур. Количество живых клеток в суспензиях определяли, высевая и подсчитывая значения колониеобразующих единиц (КОЕ). 100 мкл бактериальной суспензии добавляли к 900 мкл физраствора, готовили серию разведений от 10-1 до 10-6. Из разведений 10-5 и 10-6 по 200 мкл высевали на плотные среды LB, а также на MS1 с коричной кислотой (0.5 и 1 г/л). Высевы производились в пяти повторностях. Учет КОЕ проводили после 5 сут культивирования на LB и после 14 сут на MS1 с коричной кислотой.
Аналитические методы. Возможную трансформацию ФК определяли методом УФ-спектрометрии на спектрофотометре Specord 250 (“Analytik Jena”, Германия). Бактерии осаждали центрифугированием при 5000 g в течение 10 мин. Надосадочную жидкость аккуратно отбирали, разбавляли дистиллированной водой (1 : 10) и измеряли спектры в диапазоне от 200 до 400 нм.
Остаточное содержание КК в супернатантах определяли методом ВЭЖХ на хроматографе Dionex UltiMate 3000 с колонкой С18 и УФ-детектором, при 240 нм. Элюент ацетонитрил‒H2O‒уксусная кислота (30 : 69.5 : 0.5, по объему) использовали для анализа. Скорость потока 0.6 мл/мин, объем образца 5 мкл.
Значения pH супернатантов доводили до 7 ед. раствором 0.25 М NaOH; ФК экстрагировали этилацетатом трижды из каждого варианта в пропорции 1 : 1 (200 мкл надосадочной жидкости к 200 мкл этилацетата). Полученные экстракты упаривали, осадки растворяли в ацетонитриле и объединяли. Для построения калибровочного графика 1 мг КК растворяли в 1 мл ДМСО, а затем 500 мкл этого раствора растворяли в 500 мкл дистиллированной воды, получая концентрацию 500 мкг/мл.
Фитотоксичности бактериальных супернатантов. В эксперименте использовали мягкую яровую пшеницу (Triticum aestivum L.) сорта Саратовская 29. Зерновки отбирали, калибровали по размеру, отмывали детергентом 5 мин, затем тщательно промывали проточной водой до исчезновения мыльной пены и замачивали в 0.2% растворе диацида на 15 мин. Стерилизованные семена трижды отмывали стерильной H2Od по 15 мин. Семена по 10 шт. выкладывали в чашки Петри на поверхность фильтровальной бумаги, смоченной 5 мл среды для растений Мурасиге‒Скуга с добавлением 100 мкл бактериальных супернатантов до конечного содержания коричной кислоты 1 мг на чашку. В каждом варианте было по 30 семян. Измерение длины корня и стебля у проростков производилось на 3 и 5 сут.
Геномный анализ. Геном A. insolitus LCu2 аннотирован в NCBI под номером (CP038034). Аминокислотные последовательности ферментов, по литературным данным участвующие в деградации коричной кислоты, были экстрагированы из Uniprot (The UniProt Consortium, 2023) или PDB (Berman et al., 2000) и использованы для поиска гомологов в геноме LCu2 с BLASTP алгоритмом (protein-protein BLAST) (Johnson et al., 2008). Для дальнейшей работы отбирали аминокислотные последовательности, удовлетворяющие следующим критериям: покрытие >80%; E-value <10-10; идентичность >20%, а также имеющие соответствующее геномное окружение. На основании геномного анализа был сконструирован предположительный биохимический путь деградации коричной кислоты штаммом A. insolitus LCu2. В качестве референсного использовали диоксигенолитический путь, приведенный для E. coli K-12 в KEGG (Kanehisa, Goto, 2000), подтвержденный экспериментальными данными (Diaz et al., 1998).
Статистический анализ данных. Все эксперименты проводили три раза в трех повторностях. Для полученной выборки рассчитывали значения ошибки средней и доверительного интервала, со степенью достоверности р ≤ 0.05.
РЕЗУЛЬТАТЫ И ОБСУЖДЕНИЕ
Рост A. insolitus LCu2 на фенольных кислотах. На начальном этапе мы протестировали способность A. insolitus LCu2 к росту на коричной кислоте (КК) и ее гидроксилированных и метоксилированных производных. Ростовые параметры представлены в табл. 1.
Таблица 1. Ростовые параметры A. insolitus LCu2 на средах с различными фенольными кислотами
Источник углерода, г/л | Плотность засева | μ, ч-1 | g, ч |
Коричная кислота, 0.5 | 0.02 | 0.041 | 16.9 |
Коричная кислота, 1.0 | 0.02 | 0.045 | 15.4 |
Коричная кислота, 0.5 | 0.09 | 0.034 | 20.4 |
Коричная кислота, 1.0 | 0.09 | 0.035 | 19.8 |
м-Кумаровая кислота, 0.5 | 0.02 | 0.020 | 34.6 |
o-Кумаровая кислота, 0.5 | 0.02 | ‒ | ‒ |
п-Кумаровая кислота, 0.5 | 0.02 | ‒ | ‒ |
Феруловая кислота, 0.5 | 0.09 | 0.043 | 16.1 |
Ванилиновая кислота, 0.5 | 0.09 | 0.043 | 16.1 |
Примечание. μ ‒ удельная скорость роста; g ‒ время генерации; указаны для периода 48 ч.
A. insolitus LCu2 рос на КК и на ее окси-производных: феруловой и ванилиновой кислотах. Слабый рост наблюдался на м-кумаровой кислоте и полное отсутствие роста ‒ на о- и п-кумаровых кислотах в течение 96 ч культивирования. В целом, рост культур был медленным, что можно объяснить бактерицидными свойствами фенольных кислот, в частности, КК (Malheiro et al., 2019). Время генерации для растущих культур составило более 12 ч (табл. 1).
Анализ литературы показал, что бактериальные способы трансформации или деградации КК различны и не всегда сопряжены с увеличением биомассы. Отсутствие роста в анаэробных условиях отмечено для Clostridium glycolicum, который использовал молекулы КК в качестве акцептора протонов, восстанавливая их до фенилпропионовой кислоты (ФпК) (Chamkha et al., 2001). Штамм E. coli K-12, для которого выявлены hca и mhp генные кластеры диоксигенолитического пути, не мог расти на КК. Для индукции роста E. coli K-12 на КК необходимо было предварительное культивирование бактерий на ФпК. Примечательно, что клонирование hca генов К-12 в Salmonella typhimurium LT2 индуцировало рост на КК и образование 2,3-дигидроксикоричной кислоты, в то время как у дикого типа сальмонелл эти признаки отсутствовали (Diaz et al., 1998). Способность использовать КК в качестве источника углерода показана для нескольких видов Pseudomonas, но ростовые характеристики не приводятся (Andreoni, Bestetti, 1986). Единственный штамм, который достигал стационарной фазы роста на КК уже через 19 ч, ‒ Stenotrophomonas sp. TRMK2 (Monisha et al., 2018).
На следующем этапе мы попытались получить адаптированную к КК культуру LCu2, осуществив серию последовательных пересевов. Кривая роста такой культуры представлена на рис. 1.
Рис. 1. Двухфазная кривая роста A. insolitus LCu2 на 0.5 г/л коричной кислоты. Каждая точка является средней из трех повторностей; погрешности показывают доверительный интервал для р ≤ 0.05.
Рост не был сбалансированным: кривая имела два пика. Как правило, диауксический рост свидетельствует о наличии в среде двух разных источников углерода и энергии. В этом случае бактерии утилизируют сначала один субстрат, а когда он исчерпан, происходит синтез ферментов, позволяющих утилизировать другой. В нашей работе подобный рост может быть связан с образованием нескольких интермедиатов КК, последовательно используемых бактериями для роста.
Первая стационарная фаза роста зарегистрирована через 96 ч, вторая – через 307 ч. Скорость роста для обоих пиков была одинаковой и составила 0.017–0.018 ч-1, а время генерации 38.5‒41.0 ч соответственно (рис. 1). Максимальное значение ОП420 было в 2.3 раза выше, чем у исходной культуры LCu2. Прирост сырой биомассы за 307 ч составил 9 мг/мл.
Жизнеспособность бактерий, культивируемых длительное время на коричной кислоте. Чтобы проверить устойчивость A. insolitus LCu2 к биоцидному действию КК, бактерии в течение 1 мес. культивировали на КК, добавленной в среду в качестве единственного источника углерода и энергии (0.5–1.0 г/л). Затем бактериальные суспензии высевали на два типа сред – богатую LB без добавления КК и синтетическую MS1 с КК (0.5 г/л). Жизнеспособность культур сохранялась. На обоих типах сред значения колониеобразующих единиц (КОЕ) статистически достоверно не отличались друг от друга, но КОЕ культур, высеянных из среды с КК (0.5 г/л), было на один порядок выше, чем у культур из среды с концентрацией КК (1 г/л) (рис. 2). Внешний вид колоний на разных средах значительно отличался. Колонии на MS1 с КК были мелкими и прозрачными. На богатой среде LB без КК вырастали крупные слизистые колонии.
Рис. 2. Жизнеспособность бактерий, культивируемых в течение месяца на коричной кислоте: 1, 2 – культуры, выращенные на 0.5 г/л; 3, 4 – на 1.0 г/л коричной кислоты, высеянные на минерально-синтетическую (MS1) и LB среды; доверительный интервал для р ≤ 0.05.
Убыль и трансформация коричной кислоты. Чтобы оценить возможную трансформацию КК в процессе бактериального роста, были измерены УФ-спектры супернатантов (рис. 3а). УФ-спектр КК в химическом контроле имел два диапазона поглощения: первый от 200 до 230 нм, содержавший несколько максимумов абсорбции λmax1 205, 209, 215, 222 нм; и второй с λmax2 270 (269) нм. После роста бактерий существенное снижение интенсивности абсорбции в 3 и более раза (примерно на 69%) наблюдалось в районе обоих диапазонов поглощения, что свидетельствует о пропорциональном снижении концентрации КК в среде.
Рис. 3. УФ спектры (а) и ВЭЖХ анализ (б) коричной кислоты до и после культивирования A. insolitus LCu2. Синяя кривая – химический контроль, красная – после культивирования бактерий.
Для количественного определения остаточного содержания в среде КК использовали ВЭЖХ анализ. Убыль КК после культивирования LCu2 составила 266 мг или 53% по сравнению с химическим контролем (рис. 3б). С учетом результатов ВЭЖХ анализа и прироста биомассы рассчитывали эффективность деградации (Q) для адаптированной культуры, которая составила 30 мкг/мг.
Фитотоксичность бактериальных супернатантов. Влияние остаточного содержания КК в супернатантах до и после культивирования LCu2 на морфометрические параметры растений мягкой яровой пшеницы Саратовская 29 показано на рис. 4.
Рис. 4. Фитотоксичность супернатантов с коричной кислотой по отношению к проросткам пшеницы сорта Саратовская 29: а – средняя длина корня; б – средняя длина стебля; 1 – биологический контроль; 2 – химический контроль; 3 – культуральная жидкость LCu2. Погрешности показывают доверительный интервал для р ≤ 0.05; в каждом варианте n = 25; возраст растений 5 сут; содержание коричной кислоты 1 мг.
У проростков, выращенных на чашках с добавлением химического контроля, на 46% ингибировалась длина корня L(к) и на 43% длина стебля L(с) (рис. 4). После культивирования бактерий фитотоксичность среды значительно снижалась. Процент ингибирования морфометрических показателей составил всего 20% для корней и 22% для стеблей по отношению к биологическому контролю. По сравнению с химическим контролем L(к) была больше на 33%, а L(c) на 27%. Кроме того, у проростков, выращенных с добавлением культуральной жидкости LCu2, наблюдался активный рост корневых волосков, который отсутствовал в биологическом контроле.
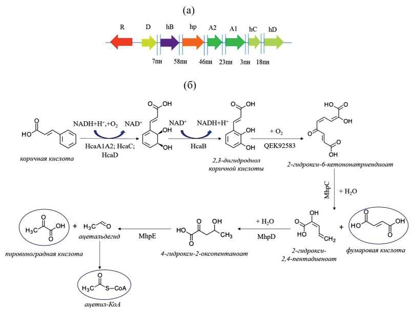
Биоинформатический поиск генов катаболизма коричной кислоты. Поскольку диоксигенолитический путь – единственный полностью описанный путь деградации КК (Diaz et al., 1998), а ферменты, кодирующие биохимические реакции, аннотированы в Uniprot, мы использовали его в качестве референсного. Диоксигенолитический путь описан для двух субстратов: фенилпропионовой и коричной кислот. Начинается он с дигидроксилирования ароматического кольца в положениях 2, 3 ферментным комплексом, состоящим из четырех белков: α- и β-субъединиц 3-фенилпропионат/циннамат диоксигеназы (HcaA1A2) [ЕС 1.14.12.19] и соответствующих ферредоксина (HcaC) и ферредоксин редуктазы (HcaD) [ЕС 1.18.1.3]. В геноме LCu2 найдены все четыре гена, кодирующие ферментный комплекс, отвечающий за дигидроксилирование кольца ФпК и КК (табл. 2). Гены hcaA1A2CDB расположены рядом и транскрибируются с одной цепи (рис. 5а).
Таблица 2. Гены, кодирующие ферменты диоксигенолитического пути катаболизма коричной кислоты, в геноме A. insolitus LCu2
Белок запроса ID в Uniprot | Ген | ID белка в геноме штамма LCu2 в GenBank | Покрытие, % | E-value | Id, % |
Гидроксилирование субстрата | |||||
P0ABR53 фенилпропионат/циннамат ДО субъединица α | hcaA1 | QEK92585 фенилпропионат/циннамат ДО субъединица α | 90 | 4e-33 | 26.62 |
Q47140 фенилпропионат/циннамат ДО субъединица β | hcaA2 | QEK92584 фенилпропионат/циннамат ДО субъединица β | 84 | 1e-13 | 23.01 |
P0ABW0 субъединица ферредоксина 3-фенилпропионат/циннамат ДО | hcaС | QEK92586 железосодержащий ферредоксин | 68 | 8e-26 | 48.65 |
P77650 NAD+ ферредоксин редуктаза 3-фенилпропионат/циннамат ДО | hcaD | QEK95941 ферредоксин редуктаза | 95 | 5e-61 | 34.24 |
P0CI31 фенидпропионат/циннамат дигидродиол дегидрогеназа | hcaB | QEK92582 дегидрогеназа | − | − | − |
Разрыв фенильного кольца | |||||
2PHD_A салицилат 1,2-ДО | sdoA | QEK92583 гипотетический протеин | 30 | 1e-10 | 31.58 |
AAQ91293.1 салицилат 1,2-ДО | 30 | 1e-11 | 32.46 | ||
2D40_A гентизат 1,2-ДО | gdoA | 35 | 2e-10 | 34.34 | |
Q330M9.1 гентизат 1,2-ДО | 50 | 6e-09 | 29.66 | ||
AFC47847 1-гидрокси-2-нафтоат ДО | phdI | 88 | 1е-12 | 26.21 | |
BAA31235 1-гидрокси-2-нафтоат ДО | 77 | 8e-12 | 23.87 | ||
ARB18233 5-аминосалицилат-1,2 ДО | mabB | 75 | 1е-11 | 24.36 | |
P0ABR9 2,3-дигидроксифенилпропионат/ 2,3-дигидроксициннамат 1,2-ДО | mhpB | − | − | − | |
Образование центральных метаболитов ЦТК | |||||
B7N8Q6 2-гидрокси-6-оксононадиендиоат/ 2-гидрокси-6-оксононатриендиоат гидроксилаза | mhpC | QEK92296.1 альфа/бета складчатая гидролаза | 86 | 2e-14 | 26.17 |
P77608 2-кето-4-пентаноат гидратаза | mhpD | QEK92581 2-кето-4-пентаноат гидратаза | 13 | 0,003 | 36.36 |
P51020 4-гидрокси-2-оксовалериат альдолаза | mhpE | QEK93369 | 80 | 4e-08 | 25.57 |
Регуляция транскрипции и транспорт | |||||
Q47141 траснкрипционный активатор LysR | hcaR | QEK94968.1 транскрипционный регулятор LysR | 92 | 7e-39 | 34.78 |
Q47142.2 транспортер 3-фенилпропионовой кислоты | hcaT | QEK93400 MFS транспортер | 94 | 2е-25 | 26.45 |
Примечание. ID – идентификационный номер в базах данных; Id ‒ идентичность между двумя аминокислотными последовательностями.
Рис. 5. Структурная организация генного кластера, содержащего hca- и mhp-гены, и предполагаемый биохимический путь деградации коричной кислоты штаммом A. insolitus LCu2. а: R – gntR (транскрипционный регулятор); D – mhpD; hB – hcaB; hp – QEK92583; A2 – hcaA2; A1 – hcaA1; hС – hcaC; hD – hcaD; б: HcaA1A2 – α- и β-субъединицы транс/циннамат диоксигеназы; HcaC – ферредоксин; HcaD – ферредоксинредуктаза; HcaB – 2,3-дигидрокси-2,3-дигидрофенилпропионат дегидрогеназа; QEK92583 – гипотетический белок – предположительно, экстрадиольная диоксигеназа; MhpC – 2-гидрокси-6-оксононадиендиоат/2-гидрокси-6-оксононатриендиоат гидроксилаза; MhpD – 2-кето-4-пентоноат гидратаза; MhpE – 4-гидрокси-2-оксовалериат альдолаза. Овалами обозначены центральные метаболиты.
За дальнейшее расщепление кольца образовавшихся дигидродиолов у E. coli K-12 отвечает MhpB диоксигеназа [ЕС 1.13.11.16] семейства LigB/MhpB экстрадиольных диоксигеназ, катализирующая негемовое Fe(II)-зависимое расщепление кольца в молекулах 2,3-дигидроксикоричной и 2,3-дигидроксифенилпропионовой кислот (Bugg, 1993; Mendel et al., 2004).
В геноме A. insolitus LCu2 не обнаружено гомологичных MhpB последовательностей. Однако рядом с дегидрогеназой (QEK92582) штамма LCu2 расположен гипотетический белок (QEK92583), демонстрирующий родство с белковым суперсемейством бикупиновых экстрадиольных диоксигеназ III класса, расщепляющих химическую связь в бензольном кольце между карбоксилированным и гидроксилированным углеродами (табл. 2). Представителями семейства являются: гентизат 1,2-ДО [EC 1.13.11.4]; салицилат 1,2-ДО [EC 1.13.11.-]; 1-гидрокси-2-нафтоат ДО [EC 1.13.11.38]; гомогентизат ДО [EC 1.13.11.5] (Chen et al., 2008; Ferraroni et al., 2012). BLASTP анализ гипотетического белка (QEK92583) с представителями купинового суперсемейства показал слабую гомологию в каталитической области (табл. 2). На филогенетическом дереве (рис. 6б) QEK92583 располагался ближе к кластеру с 1-гидрокси-2-нафтоат ДО, но не к гентизат 1,2-ДО. Также белок LCu2 продемонстрировал эволюционное родство с последовательностью Q330M9, для которой показана экспрессия, индуцируемая коричной и фенилпропионовой кислотами, а также 3-гидроксибензоатом (Fairley et al., 2006).
Рис. 6. Биоинформатический анализ аминокислотной последовательности (QEK92583) из A. insolitus LCu2: а ‒ сравнение фрагментов аминокислотных последовательностей салицилат 1,2-диоксигеназы из P. salicylatoxidans BN12 (AAQ91293.1) и гипотетического белка A. insolitus LCu2 (QEK92583). Купиновый домен с тремя остатками гистидина (His119; His121 и His160), координирующими Fe2+ в каталитическом центре (Matera et al., 2008), отмечен голубыми прямоугольниками и звездами, и обозначен как Мотив I и Мотив II; б ‒ филогенетический анализ белков с купиновыми доменами методом Maximum-Likelihood в Mega X (Kumar et al., 2018), бутстрэп 1000, последовательности выровнены в ClustalOmega W с настройками по умолчанию; корень – гомогентизат 1,2-диоксигеназа.
Попарное выравнивание QEK92583 c наиболее изученным представителем семейства-салицилат 1,2-ДО (AAQ91293.1) выявило наличие трех остатков гистидина, которые координируют Fe(II) в каталитическом центре (рис. 6а). Таким образом, биоинформатический анализ позволяет предположить, что гипотетический протеин (QEK92583) имеет потенциал к разрыву химической связи между 1 и 2 атомами углерода фенильного кольца. Безусловно, данное предположение требует дальнейших исследований.
Гены кластера mhpCDE, отвечающие за последующий катаболизм образовавшихся интермедиатов до продуктов ЦТК, и транскрипционный регулятор hcaR и транспортер hcaT также найдены в геноме LCu2 (табл. 2; рис. 5). На основании геномного анализа предсказан предположительный биохимический путь катаболизма КК штаммом A. insolitus LCu2, который сходен с описанным для E. coli K-12 (Diaz et al., 1998), кроме ключевого белка, расщепляющего связь в фенильном кольце (рис. 5б).
Полученные результаты отражают метаболический потенциал бактерий рода Achromobacter, а также важны для подбора условий биохимических экспериментов и оптимизации деструктивной активности бактерий по отношению к фенилпропаноидам.
БЛАГОДАРНОСТИ
Хроматографический анализ проводили на оборудовании ЦКП “Симбиоз” Института биохимии и физиологии растений и микроорганизмов РАН, г. Саратов.
ФИНАНСОВАЯ ПОДДЕРЖКА
Работа выполнена в рамках государственного задания 1022040700974-4. Работа поддержана Российским научным фондом (полное геномное секвенирование, проект № 22-14-00317).
СОБЛЮДЕНИЕ ЭТИЧЕСКИХ СТАНДАРТОВ
Статья не содержит результатов исследований с использованием животных в качестве объектов.
КОНФЛИКТ ИНТЕРЕСОВ
Авторы заявляют об отсутствии конфликта интересов.
About the authors
E. V. Kryuchkova
FRCenter “Saratov Scientific Center RAS”
Author for correspondence.
Email: kryu-lena@yandex.ru
Institute of Biochemistry and Physiology of Plants and Microorganisms
Russian Federation, 410049, SaratovE. S. Morozova
St. Petersburg State University
Email: kryu-lena@yandex.ru
Russian Federation, 199034, St. Petersburg
V. S. Grinev
FRCenter “Saratov Scientific Center RAS”; Saratov National Research State University named after N. G. Chernyshevsky
Email: kryu-lena@yandex.ru
Institute of Biochemistry and Physiology of Plants and Microorganisms
Russian Federation, 410049, Saratov; 410012, SaratovG. L. Burygin
FRCenter “Saratov Scientific Center RAS”; Saratov National Research State University named after N. G. Chernyshevsky
Email: kryu-lena@yandex.ru
Institute of Biochemistry and Physiology of Plants and Microorganisms
Russian Federation, 410049, Saratov; 410012, SaratovN. E. Gogoleva
Kazan (Volga Region) Federal University; Institute of Cellular and Intracellular Symbiosis, Ural Branch of the Russian Academy of Sciences
Email: kryu-lena@yandex.ru
Russian Federation, 420008, Kazan; 460000, Orenburg
Yu. V. Gogolev
Kazan (Volga Region) Federal University; Kazan Scientific Center of the Russian Academy of Sciences
Email: kryu-lena@yandex.ru
Kazan Institute of Biochemistry and Biophysics
Russian Federation, 420008, Kazan; 420008, KazanReferences
- Анохина Т. О., Есикова Т. З., Гафаров А. Б., Поливцева В. Н., Баскунов Б. П., Соляникова И. П. Альтернативный путь метаболизма нафталина у штамма Rhodococcus opacus 3D, включающий образование орто-фталевой и производных коричной кислоты // Биохимия. 2020. T. 85. P. 412‒427.
- Anokhina T. O., Esikova T. Z., Gafarov A. B., Polivtseva V. N., Baskunov B. P., Solyanikova I. P. Alternative naphthalene metabolic pathway includes formation of ortho-phthalic acid and cinnamic acid derivatives in the Rhodococcus opacus strain 3D // Biochemistry (Moscow). 2020. V. 85. P. 355‒368.
- Ермакова И. Т., Шушкова Т. В., Леонтьевский А. А. Микробная деструкция органофосфонатов почвенными бактериями // Микробиология. 2008. Т. 77. С. 689‒695.
- Ermakova I. T., Shushkova T. V., Leont’evskii A. A. Microbial degradation of organophosphonates by soil bacteria // Microbiology (Moscow). 2008. V. 77. P. 615‒620.
- Andreoni V., Bestetti G. Comparative analysis of different Pseudomonas strains that degrade cinnamic acid // Appl. Environ. Microbiol. 1986. V. 52. P. 930‒934.
- Berman H. M., Westbrook J., Feng Z., Gilliland G., Bhat T. N., Weissig H., Shindyalov I. N., Bourne P. E. The Protein Data Bank // Nucl. Acids Res. 2000. V. 28. P. 235‒242. https://doi.org/10.1093/nar/28.1.235
- Bugg T. D.H. Overproduction, purification and properties of 2,3-dihydroxyphenylpropionate 1,2-dioxygenase from Escherichia coli // Biochim. Biophys. Acta. Protein Struct. Mol. Enzymol. 1993. V. 1202. P. 258‒264.
- Chamkha M., Labat M., Patel B. K., Garcia J. L. Isolation of a cinnamic acid-metabolizing Clostridium glycolicum strain from oil mill wastewaters and emendation of the species description // Int. J. Syst. Evol. Microbiol. 2001. V. 51. P. 2049‒2054.
- Chen J., Li W., Wang M., Zhu G., Liu D., Sun F., Zhang X. C. Crystal structure and mutagenic analysis of GDOsp, a gentisate 1, 2-dioxygenase from Silicibacter pomeroyi // Protein Sci. 2008. V. 17. P. 1362‒1373.
- Croteau R., Kutchan T. M., Lewis N. G. Natural products (secondary metabolites) // Biochemistry and molecular biology of plants / Eds. B. Buchanan, W. Gruissem, R. Jones. Ch. 24. 2000. P. 1250‒1319.
- Díaz E., Ferrández A., García J.L. Characterization of the hca cluster encoding the dioxygenolytic pathway for initial catabolism of 3-phenylpropionic acid in Escherichia coli K-12 // J. Bacteriol. 1998. V. 180. P. 2915‒2923.
- Fairley D. J., Wang G., Rensing C., Pepper I. L., Larkin M. J. Expression of gentisate 1,2-dioxygenase (gdoA) genes involved in aromatic degradation in two haloarchaeal genera // Appl. Microbiol. Biotechnol. 2006. V. 73. P. 691‒695.
- Ferraroni M., Matera I., Steimer L., Bürger S., Scozzafava A., Stolz A., Briganti F. Crystal structures of salicylate 1,2-dioxygenase-substrates adducts: a step towards the comprehension of the structural basis for substrate selection in class III ring cleaving dioxygenases // J. Struct. Biol. 2012. V. 177. P. 431‒438.
- Johnson M., Zaretskaya I., Raytselis Y., Merezhuk Y., McGinnis S., Madden T. L. NCBI BLAST: a better web interface // Nucl. Acids Res. 2008. V. 36. Suppl. 2. P. W5‒W9.
- Kanehisa M., Goto S. KEGG: Kyoto Encyclopedia of Genes and Genomes // Nucl. Acids Res. 2000. V. 28. P. 27‒30.
- Kefeli V. I., Kalevitch M. V., Borsari B. Phenolic cycle in plants and environment // J. Cell Mol. Biol. 2003. V. 2. P. 13‒18.
- Kumar S., Stecher G., Li M., Knyaz C., Tamura K. MEGA X: molecular evolutionary genetics analysis across computing platforms // Mol. Biol. Evol. 2018. V. 35. P. 1547‒1549.
- Malheiro J. F., Maillard J. Y., Borges F., Simões M. Evaluation of cinnamaldehyde and cinnamic acid derivatives in microbial growth control // Int. Biodeterior. Biodegrad. 2019. V. 141. P. 71‒78.
- Mandal S. M., Chakraborty D., Dey S. Phenolic acids act as signaling molecules in plant-microbe symbioses // Plant Signal. Behav. 2010. V. 5. P. 359‒368.
- Mendel S., Arndt A., Bugg T. D.H. Acid-base catalysis in the extradiol catechol dioxygenase reaction mechanism: site-directed mutagenesis of His-115 and His-179 in Escherichia coli 2,3-dihydroxyphenylpropionate 1,2-dioxygenase (MhpB) // Biochem. 2004. V. 43. P. 13390‒13396.
- Monisha T. R., Ismailsab M., Masarbo R., Nayak A. S., Karegoudar T. B. Degradation of cinnamic acid by a newly isolated bacterium Stenotrophomonas sp. TRMK2 // 3 Biotech. 2018. V. 8. P. 1‒8.
- Perez-Pantoja D., De la Iglesia R., Pieper D. H., González B. Metabolic reconstruction of aromatic compounds degradation from the genome of the amazing pollutant-degrading bacterium Cupriavidus necator JMP134 // FEMS Microbiol. Rev. 2008. V. 32. P. 736‒794.
- Rajkumari J., Borkotoky S., Murali A., Suchiang K., Mohanty S. K., Busi S. Cinnamic acid attenuates quorum sensing associated virulence factors and biofilm formation in Pseudomonas aeruginosa PAO1 // Biotechnol. Lett. 2018. V. 40. P. 1087‒1100.
- Salvador V. H., Lima R. B., dos Santos W. D., Soares A. R., Böhm P. A.F., Marchiosi R., Ferrarese-Filho O. Cinnamic acid increases lignin production and inhibits soybean root growth // PLoS One. 2013. V. 8. Art. e69105.
- Siqueira J. O., Nair M. G., Hammerschmidt R., Safir G. R., Putnam A. R. Significance of phenolic compounds in plant-soil-microbial systems // Crit. Rev. Plant Sci. 1991. V. 10. P. 63‒121.
- The UniProt Consortium. UniProt: the Universal Protein Knowledgebase in 2023 // Nucl. Acids Res. 2023. V. 51. Iss. D1. P. D523–D531.
- Ye S. F., Zhou Y. H., Sun Y., Zou L. Y., Yu J. Q. Cinnamic acid causes oxidative stress in cucumber roots, and promotes incidence of Fusarium wilt // Environ. Exp. Bot. 2006. V. 56. P. 255‒262.
Supplementary files








