Biodegradation of Phthalic Acid Esters by the White Rot Fungus Peniophora lycii
- Authors: Savinova O.S.1, Shabaev A.V.1, Fedorova T.V.1
-
Affiliations:
- Bach Institute of Biochemistry, Researsch Center of Biotechnology, Russian Academy of Sciences
- Issue: Vol 92, No 3 (2023)
- Pages: 310-317
- Section: EXPERIMENTAL ARTICLES
- URL: https://bakhtiniada.ru/0026-3656/article/view/138222
- DOI: https://doi.org/10.31857/S0026365622600857
- EDN: https://elibrary.ru/FWTPAT
- ID: 138222
Cite item
Full Text
Abstract
Abstract—
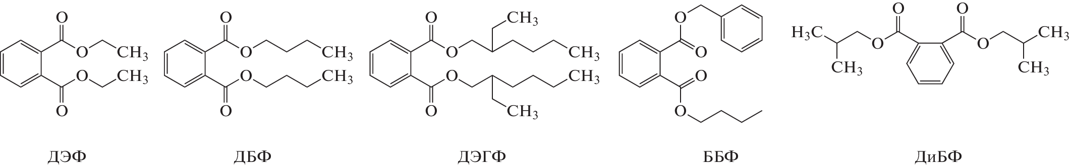
The ability of the white rot fungus Peniophora lycii to degrade such phthalic acid esters (PAEs) as diethyl phthalate (DEP), dibutyl phthalate (DBP), di(2-ethylhexyl) phthalate (DEHP), diisobutyl phthalate (DiBP), and n-butylbenzyl phthalate (BBP) was studied. It was shown that DEHP was most efficiently biodegraded by the fungus (over 98% on day 6 of cultivation). The residual content of DBP and DiBP in the culture liquid of the fungus at the end of cultivation (10 days) was ~17–18%. BBP turned out to be the most difficult-to-degrade compound: its residual content on day 10 of P. lycii cultivation was ~40%. DEP was resistant to fungal biodegradation, and exhibited a toxic effect at 1.5 g/L: the rate of radial growth of the fungus on agar decreased threefold compared to the control, and the amount of fungal biomass during liquid-phase deep cultivation decreased by about 1.5 times. During the cultivation of P. lycii on media with PAEs, an increase in esterase activity by about 2 times and a significant decrease (by 2–4 times) in oxidase activity was shown compared to the control medium without phthalates.
About the authors
O. S. Savinova
Bach Institute of Biochemistry, Researsch Center of Biotechnology, Russian Academy of Sciences
Email: fedorova_tv@mail.ru
Russia, 119071, Moscow
A. V. Shabaev
Bach Institute of Biochemistry, Researsch Center of Biotechnology, Russian Academy of Sciences
Email: fedorova_tv@mail.ru
Russia, 119071, Moscow
T. V. Fedorova
Bach Institute of Biochemistry, Researsch Center of Biotechnology, Russian Academy of Sciences
Author for correspondence.
Email: fedorova_tv@mail.ru
Russia, 119071, Moscow
References
- Савинова О.С., Шабаев А.В., Глазунова О.А., Еремин С.А., Федорова Т.В. Биодеструкция эфиров фталевой кислоты грибами белой гнили // Прикл. биохимия и микробиология. 2022. Т. 58. С. 484‒499.
- Savinova O.S., Shabaev A.V., Glazunova O.A., Eremin S.A., Fedorova T.V. Biodestruction of phthalic acid esters by white rot fungi // Appl. Biochem. Microbiol. 2022. V. 58. P. 598–612. https://doi.org/10.31857/S0555109922050142
- Синицын А.П., Гусаков А.В., Черноглазов В.М. Биоконверсия лигноцеллюлозных материалов. М.: Изд-во МГУ, 1995. 224 с.
- Шкаева И.Е., Солнцева С.А., Никулина О.С., Николаев А.И., Дулов С.А., Земляной А.В. Токсичность и опасность фталатов // Токсикологический вестник. 2019. Т. 159. № 6. С. 3–9.
- Ahmadi E., Yousefzadeh S., Ansari M., Ghaffari H.R., Azari A., Miri M., Nabizadeh A.M.R., Kakavandi B., Ahmadi P., Badi M.Y., Gholami M., Sharafi K., Karimaei M., Ghoochani M., Brahmand M.B., Mohseni S.M., Sarkhosh M., Rezaei S., Asgharnia H., Dehghanifard E., Jafari B., Mortezapour A., Moghaddam V.K., Mahmoudi M.M., Taghipour N. Performance, kinetic, and biodegradation pathway evaluation of anaerobic fixed film fixed bed reactor in removing phthalic acid esters from wastewater // Sci. Rep. 2017. V. 7. 41020. https://doi.org/10.1038/srep41020
- Ahuactzin-Perez M., Tlecuitl-Beristain S., García-Davila J., Santacruz-Juárez E., González-Pérez M., Gutiérrez-Ruíz M.C., Sánchez C. Mineralization of high concentrations of the endocrine disruptor dibutyl phthalate by Fusarium culmorum // 3 Biotech. 2018. V. 8. № 42. P. 1–10. https://doi.org/10.1007/s13205-017-1065-2
- Akerman-Sanchez G., Rojas-Jimenez K. Fungi for the bioremediation of pharmaceutical-derived pollutants: A bioengineering approach to water treatment // Environ. Adv. 2021. V. 4. 100071. https://doi.org/10.1016/j.envadv.2021.100071
- Boll M., Geiger R., Junghare M., Schink B. Microbial degradation of phthalates: biochemistry and environmental implications // Environ. Microbiol. Rep. 2020. V. 12. P. 3–15. https://doi.org/10.1111/1758-2229.12787
- Brenelli L.B., Persinoti G.F., Franco Cairo J.P.L. Liberato M.V., Gonçalves T.A., Otero I.V.R., Mainardi P.H., Felby C., Sette L.D., Squina F.M. Novel redox-active enzymes for ligninolytic applications revealed from multiomics analyses of Peniophora sp. CBMAI 1063, a laccase hyper-producer strain // Sci. Rep. 2019. V. 9. 17564. https://doi.org/10.1038/s41598-019-53608-1
- Carstens L., Cowan A.R., Seiwert B., Schlosser D. Biotransformation of phthalate plasticizers and bisphenol A by marine-derived, freshwater, and terrestrial fungi // Front. Microbiol. 2020. V. 11. 317. https://doi.org/10.3389/fmicb.2020.00317
- Chang B.V., Yang C.P., Yang C.W. Application of fungus enzymes in spent mushroom composts from edible mushroom cultivation for phthalate removal // Microorganisms. 2021. V. 9. 1989. https://doi.org/10.3390/microorganisms9091989
- Das M.T., Kumar S.S., Ghosh P., Shah G., Malyan S.K., Bajar S., Thakur I.S., Singh L. Remediation strategies for mitigation of phthalate pollution: challenges and future perspectives // J. Hazard. Mater. 2021 V. 409. 124496. https://doi.org/10.1016/j.jhazmat.2020.124496
- de Souza Machado A.A., Lau C.W., Kloas W., Bergmann J., Bachelier B.J., Faltin E., Becker R., Görlich A.S., Rillig M.C. Microplastics can change soil properties and affect plant performance // Environ. Sci. Technol. 2019. V. 53. P. 6044−6052. https://doi.org/10.1021/acs.est.9b01339
- Dutta S., Haggerty D.K., Rappolee D.A., Ruden D.M. Phthalate exposure and long-term epigenomic consequences: a review // Front. Genet. 2020. V. 11. 405. https://doi.org/10.3389/fgene.2020.00405
- Gao D., Wen Z. Phthalate esters in the environment: a critical review of their occurrence, biodegradation, and removal during wastewater treatment processes // Sci. Total Environ. 2016. V. 541. P. 986–1001.
- González-Márquez A., Ahuactzin-Pérez M., Sánchez C. Lentinula edodes grown on di(2-ethylhexyl)phthalate-containing media: mycelial growth and enzyme activities // BioResources. 2015. V. 10. P. 7898–7906. https://doi.org/10.15376/biores.10.4.7898-7906
- Hofmann U., Schlosser D. Biochemical and physicochemical processes contributing to the removal of endocrine-disrupting chemicals and pharmaceuticals by the aquatic ascomycete Phoma sp. UHH 5-1-03 // Appl. Microbiol. Biotechnol. 2016. V. 100. P. 2381–2399. https://doi.org/10.1007/s00253-015-7113-0
- Hwang S., Choi H.T., Song H. Biodegradation of endocrine-disrupting phthalates by Pleurotus ostreatus // J. Microbiol. Biotechnol. 2008. V. 18. P. 767–772.
- Li H., Dai Q., Yang M., Li F., Liu X., Zhou M., Qian X. Unraveling consequences of soil micro- and nano-plastic pollution on soil-plant system: implications for nitrogen (N) cycling and soil microbial activity // Chemosphere. 2020. V. 260. 127578. https://doi.org/10.1016/j.chemosphere.2020.127578
- Ma J., Yue H., Li H., Zhang J., Zhang Y., Wang X., Gong S., Liu G. Selective delignification of poplar wood with a newly isolated white‑rot basidiomycete Peniophora incarnata T‑7 by submerged fermentation to enhance saccharification // Biotechnol. Biofuels. 2021. V. 14. P. 135. https://doi.org/10.1186/s13068-021-01986-y
- Moiseenko K.V., Glazunova O.A., Shakhova N.V., Savinova O.S., Vasina D.V., Tyazhelova T.V., Psurtseva N.V., Fedorova T.V. Fungal adaptation to the advanced stages of wood decomposition: insights from the Steccherinum ochraceum // Microorganisms. 2019. V. 7. 527. https://doi.org/10.3390/microorganisms7110527
- Naveen K.V., Saravanakumar K., Zhang X. Anbazhagan K., Wang M. Impact of environmental phthalate on human health and their bioremediation strategies using fungal cell factory – a review // Environ. Res. 2022. V. 214. 113781. https://doi.org/10.1016/j.envres.2022.113781
- Savinova O.S., Shabaev A.V., Glazunova O.A. et al. Benzyl butyl phthalate and diisobutyl phthalate biodegradation by white-rot fungus Trametes hirsuta // Appl. Biochem. Microbiol. 2022. V. 58. Suppl. 1. P. S113‒S125. https://doi.org/10.1134/S0003683822100118
- Shabaev A.V., Moiseenko K.V., Glazunova O.A. Savinova O.S., Fedorova T.V. Comparative analysis of Peniophora lycii and Trametes hirsuta exoproteomes demonstrates “Shades of Gray” in the concept of white-rotting fungi // Int. J. Mol. Sci. 2022. V. 23. 10322. https://doi.org/10.3390/ijms231810322
- Suárez-Segundo J.L., Vazquez-Lopez D., Torres-Garcia J.L., Ahuactzin-Perez M., Montiel-Martínez N., Tlecuitl-Beristain S., Sánchez C. Growth of colonies and hyphal ultrastructure of filamentous fungi grown on dibutyl phthalate and di(2-ethylhexyl)phthalate // Revista Mexicana de Ingeniería Química. 2013. V. 12. P. 499–504.
- Tang Y., Zhang Y., Jiang L., Yang C., Rittmann B.E. Enhanced dimethyl phthalate biodegradation by accelerating phthalic acid di-oxygenation // Biodegradation. 2017. V. 28. P. 413–421. https://doi.org/10.1007/s10532-017-9805-x
- Tran H.T., Lin C., Bui H.-T., Nguyen M.K., Cao N.D.T., Mukhtar H., Hoang H.G., Varjani S., Ngo H.H., Nghiem L.D. Phthalates in the environment: characteristics, fate and transport, and advanced wastewater treatment technologies // Bioresour. Technol. 2022. V. 344. 126249. https://doi.org/10.1128/jcm.02479
- Weaver J.A., Beverly B.E.J., Keshava N. Mudipalli A., Arzuaga X., Cai C., Hotchkiss A.K., Makris S.L., Yost E.E. Hazards of diethyl phthalate (DEP) exposure: a systematic review of animal toxicology studies // Environ. Int. 2020. V. 145. 105848. https://doi.org/10.1016/j.envint.2020.105848
- Zhao F., Wang P., Lucardi R.D., Su Z., Li S. Natural sources and bioactivities of 2,4-di-tert-butylphenol and its analogs // Toxins. 2020. V. 12. 35. https://doi.org/10.3390/toxins12010035
Supplementary files





