Система “кворум сенсинга” у Chromobacterium subtsugae (ранее C. violaceum) ингибируется гамма-лактонами – минорными компонентами экстракта листьев эвкалипта
- Авторы: Инчагова К.С.1, Дускаев Г.К.1, Дерябин Д.Г.1
-
Учреждения:
- Федеральный научный центр биологических систем и агротехнологий Российской академии наук
- Выпуск: Том 92, № 1 (2023)
- Страницы: 47-56
- Раздел: ЭКСПЕРИМЕНТАЛЬНЫЕ СТАТЬИ
- URL: https://bakhtiniada.ru/0026-3656/article/view/138168
- DOI: https://doi.org/10.31857/S0026365622600626
- EDN: https://elibrary.ru/NMRUHT
- ID: 138168
Цитировать
Полный текст
Аннотация
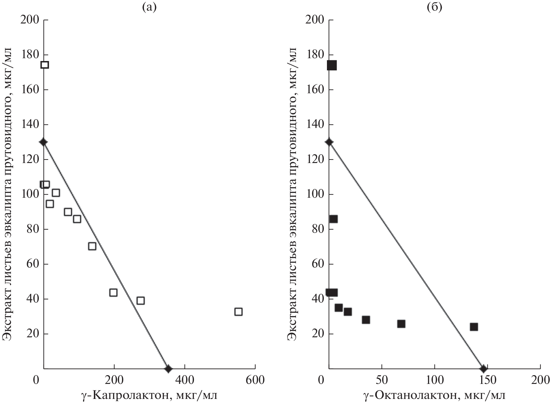
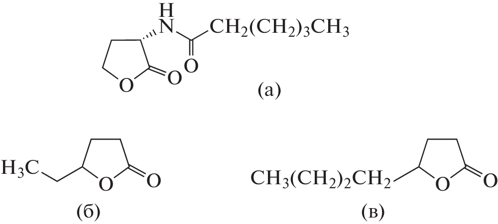
Целью работы является исследование природы ингибирования системы “кворум сенсинга” (QS) у модельной бактерии Chromobacterium subtsugae 026 (ранее – C. violaceum 026) экстрактом листьев эвкалипта прутовидного (Eucalyptus viminalis Labill) с идентификацией в его составе молекул с соответствующим вариантом биологической активности. Тестирование цельного экстракта показало выраженную QS-ингибирующую активность, развивающуюся в широком диапазоне концентраций, в несколько десятков раз ниже требуемых для подавления бактериального роста (соотношение МИК50/EC50 = 43.6). Химический анализ обнаруживал в экстракте присутствие шести малых молекул растительного происхождения (пирогаллол, 2,3-дигидро-3,5-дигидрокси-6-метил-4H-пиран-4-1, цимол, 4-((1E)-3-гидрокси-1-пропенил)-2-метоксифенол, галловая и пальмитиновая кислоты). QS-ингибирующий эффект этих соединений в отношении Chromobacterium spp. ранее был показан в экспериментах in vitro или предсказан на моделях in silico. Среди минорных компонентов анализируемого экстракта идентифицированы γ-капролактон и γ-октанолактон, структуры которых демонстрировали сходство с автоиндукторами QS – ацилированными гомосеринлактонами. Исследование химически синтезированных аналогов данных молекул в биотесте на C. subtsugae 026 впервые показало наличие у них QS-ингибирующей активности, характеризуемой величинами ЕС50 = 354.2 и 145.6 мкг/мл соответственно. Обогащение цельного экстракта листьев эвкалипта прутовидного γ‑капролактоном или γ-октанолактоном существенно усиливало QS-ингибирующее действие подобных композиций, при изоболографическом анализе оцениваемое как взаимодополняющий (аддитивный) или взаимно потенцируемый (супераддитивный) эффекты.
Ключевые слова
Об авторах
К. С. Инчагова
Федеральный научный центр биологических систем и агротехнологийРоссийской академии наук
Email: dgderyabin@yandex.ru
Россия, 460000, Оренбург
Г. К. Дускаев
Федеральный научный центр биологических систем и агротехнологийРоссийской академии наук
Email: dgderyabin@yandex.ru
Россия, 460000, Оренбург
Д. Г. Дерябин
Федеральный научный центр биологических систем и агротехнологийРоссийской академии наук
Автор, ответственный за переписку.
Email: dgderyabin@yandex.ru
Россия, 460000, Оренбург
Список литературы
- Дерябин Д.Г., Галаджиева А.А., Косян Д.Б., Дускаев Г.К. Растительные ингибиторы плотностно-зависимой коммуникации у бактерий: разнообразие структур, механизмов действия и источников происхождения // Микробиология. 2021. Т. 90. С. 660–680.
- Deryabin D.G., Galadzhieva A.A., Kosyan D.B., Duskaev G.K. Plant-derived inhibitors of density-dependent communication in bacteria: diversity of structures, bioactivity mechanisms, and sources of origin // Microbiology (Moscow). 2021. V. 90. P. 702–720.
- Инчагова К.С., Дускаев Г.К., Дерябин Д.Г. Подавление “кворум сенсинга” Chromobacterium violaceum при воздействии комбинаций амикацина с активированным углем или малыми молекулами растительного происхождения (пирогаллолом и кумарином) // Микробиология. 2019. Т. 88. С. 72–82.
- Inchagova K.S., Duskaev G.K., Deryabin D.G. Quorum sensing inhibition in Chromobacterium violaceum by amikacin combination with activated charcoal or small plant-derived molecules (pyrogallol and coumarin) // Microbiology (Moscow). 2019. V. 88. P. 63–71.
- Ahmad A., Viljoen A.M., Chenia H.Y. The impact of plant volatiles on bacterial quorum sensing // Lett. Appl. Microbiol. 2015. V. 60. P. 8–19.
- Bali E.B., Turkmen K.E., Erdonmez D., Saglam N. Comparative study of inhibitory potential of dietary phytochemicals against quorum sensing activity of and biofilm formation by Chromobacterium violaceum 12472, and swimming and swarming behaviour of Pseudomonas aeruginosa PAO1 // Food Technol. Biotechnol. 2019. V. 57. P. 212–221.
- Borges A., Serra S., Cristina Abreu A., Saavedra M.J., Salgado A., Simoes M. Evaluation of the effects of selected phytochemicals on quorum sensing inhibition and in vitro cytotoxicity // Biofouling. 2014. V. 30. P. 183–195.
- Defoirdt T., Pande G.S., Baruah K., Bossier P. The apparent quorum-sensing inhibitory activity of pyrogallol is a side effect of peroxide production // Antimicrob. Agents Chemother. 2013. V. 57. P. 2870–2873.
- Dereli F.T.G., Onem E., Arin E., Ozaydin A.G., Muhammed M.T. Persea americana Mill.: as a potent quorum sensing inhibitor of Pseudomonas aeruginosa PAO1 virulence // Int. J. Second. Metabol. 2022. V. 9. P. 14–26.
- Deryabin D.G., Tolmacheva A.A. Antibacterial and anti-quorum sensing molecular composition derived from Quercus cortex (Oak bark) extract // Molecules. 2015. V. 20. P. 17093–17108.
- Harrison A.M., Soby S.D. Reclassification of Chromobacterium violaceum ATCC 31532 and its quorum biosensor mutant CV026 to Chromobacterium subtsugae // AMB Express. 2020. V. 10. P. 202.
- Kothari V., Sharma S., Padia D. Recent research advances on Chromobacterium violaceum // Asian Pac. J. Trop. Med. 2017. V. 10. P. 744–752.
- Labuda I. Flavor compounds // Encyclopedia of Microbiology. 3rd ed. / Editor-in-Chief: Schaechter M. Oxford: Academic Press, 2009. P. 305–320.
- Mashamba T.G., Adeosun I.J., Baloyi I.T., Tshikalange E.T., Cosa S. Quorum sensing modulation and inhibition in biofilm forming foot ulcer pathogens by selected medicinal plants // Heliyon. 2022. V. 8. P. e09303.
- McClean K.H., Winson M.K., Fish L., Taylor A., Chhabra S.R., Camara M., Daykin M., Lamb J.H., Swift S., Bycroft B.W., Stewart G.S.A.B., Williams P. Quorum sensing and Chromobacterium violaceum: exploitation of violacein production and inhibition for the detection of N-acylhomoserine lactones // Microbiology (Reading). 1997. V. 143. P. 3703–3711.
- Moradi F., Hadi N., Bazargani A. Evaluation of quorum-sensing inhibitory effects of extracts of three traditional medicine plants with known antibacterial properties // New Microbes New Infect. 2020. V. 38. P. 100769.
- Mukherjee S., Bassler B.L. Bacterial quorum sensing in complex and dynamically changing environments // Nat. Rev. Microbiol. 2019. V. 17. P. 371–382.
- Ni N., Choudhary G., Li M., Wang B. Pyrogallol and its analogs can antagonize bacterial quorum sensing in Vibrio harveyi // Bioorg. Med. Chem. Lett. 2008. V. 18. P. 1567–1572.
- Remy B., Mion S., Plener L., Elias M., Chabriere E., Daude D. Interference in bacterial quorum sensing: a biopharmaceutical perspective // Front. Pharmacol. 2018. V. 9. P. 203.
- Sagar P.K., Sharma P., Singh R. Inhibition of quorum sensing regulated virulence factors and biofilm formation by E-ucalyptus globulus against multidrug-resistant Pseudomonas aeruginosa // J. Pharmacopuncture. 2022. V. 25. P. 37–45.
- Santos C.A, Lima E.M.F., Franco B.D.G.M., Pinto U.M. Exploring phenolic compounds as quorum sensing inhibitors in foodborne bacteria // Front. Microbiol. 2021. V. 12. P. 735931.
- Stauff D.L, Bassler B.L. Quorum sensing in Chromobacterium violaceum: DNA recognition and gene regulation by the CviR receptor // J. Bacteriol. 2011. V. 193. P. 3871–3878.
- Swem L.R., Swem D.L., O’loughlin C.T., Gatmaitan R., Zhao B., Ulrich S.M., Bassler B.L. A quorum-sensing antagonist targets both membrane-bound and cytoplasmic receptors and controls bacterial pathogenicity // Mol. Cell. 2009. V. 35. P. 143–153.
- Tallarida R.J. An overview of drug combination analysis with isobolograms: perspectives in pharmacology // Pharmacol. Exp. Ther. 2006. V. 319. P. 1–7.
- Tolmacheva A.A., Rogozhin E.A., Deryabin D.G. Antibacterial and quorum sensing regulatory activities of some traditional Eastern-European medicinal plants // Acta. Pharm. 2014. V. 64. P. 173–186.
- Tor E.R., Francis T.M., Holstege D.M., Galey F.D. GC/MS determination of pyrogallol and gallic acid in biological matrices as diagnostic indicators of oak exposure // J. Agric. Food Chem. 1996. V. 44. P. 1275–1279.
- Vargas E.L.G., de Almeida F.A., de Freitas L.L., Pinto U.M., Vanetti M.C.D. Plant compounds and nonsteroidal anti-inflammatory drugs interfere with quorum sensing in Chromobacterium violaceum // Arch. Microbiol. 2021. V. 203. P. 5491–5507.
- Whiteley M., Diggle S.P., Greenberg E.P. Progress in and promise of bacterial quorum sensing research // Nature. 2017. V. 551. P. 313–320.
- Zhou L., Zhang Y., Ge Y., Zhu X., Pan J. Regulatory mechanisms and promising applications of quorum sensing-inhibiting agents in control of bacterial biofilm formation // Front. Microbiol. 2020. V. 11. P. 589640.
Дополнительные файлы











