Inhibitory Action of Low-Molecular Chitosan on Growth of Bacteria with Different Tinctorial Properties
- 作者: Korobov V.P.1, Shagdarova B.T.2, Varlamov V.P.2,3, Esaev A.L.1, Polyudova T.V.4
-
隶属关系:
- Institute of Ecology and Genetics of Microorganisms, Perm Federal Research Center, Ural Branch, Russian Academy of Sciences
- Institute of Bioengineering, Research Center of Biotechnology, Russian Academy of Sciences
- Kazan Federal University
- Perm State Agro-Technological University
- 期: 卷 92, 编号 2 (2023)
- 页面: 197-203
- 栏目: EXPERIMENTAL ARTICLES
- URL: https://bakhtiniada.ru/0026-3656/article/view/138165
- DOI: https://doi.org/10.31857/S0026365622600754
- EDN: https://elibrary.ru/AVQTEW
- ID: 138165
如何引用文章
全文:
详细
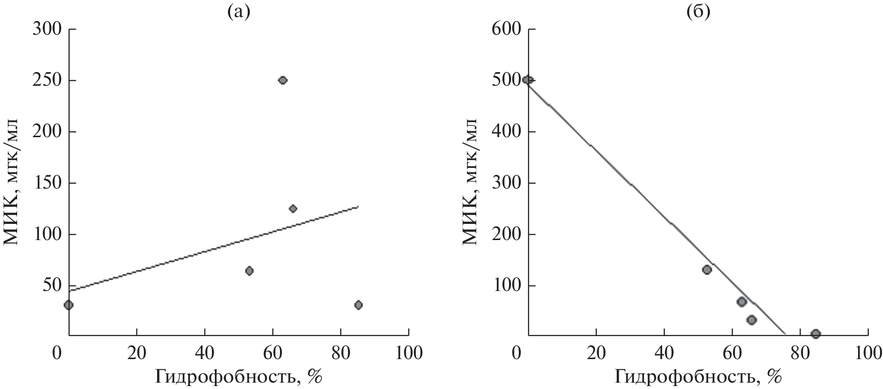
Abstract—Inhibitory effect of chitosan (molecular mass 28 kDa, deacetylation 94%) and of its quaternized derivative with 60% substitution on bacteria of various taxonomic groups was investigated. Bacteria differing in the cell wall surface characteristics and affinity to dyes were found to differ in theri sensitivity to chitosan. Correlation dependencies between antibacterial activity of quaternized chitosan and the surface characteristics of bacterial cell walls were revealed.
作者简介
V. Korobov
Institute of Ecology and Genetics of Microorganisms, Perm Federal Research Center, Ural Branch,Russian Academy of Sciences
Email: polyudova@iegm.ru
Russia, 614081, Perm,
B. Shagdarova
Institute of Bioengineering, Research Center of Biotechnology, Russian Academy of Sciences
Email: polyudova@iegm.ru
Russia, 119071, Moscow
V. Varlamov
Institute of Bioengineering, Research Center of Biotechnology, Russian Academy of Sciences; Kazan Federal University
Email: polyudova@iegm.ru
Russia, 119071, Moscow; Russia, 420008, Kazan
A. Esaev
Institute of Ecology and Genetics of Microorganisms, Perm Federal Research Center, Ural Branch,Russian Academy of Sciences
Email: polyudova@iegm.ru
Russia, 614081, Perm,
T. Polyudova
Perm State Agro-Technological University
编辑信件的主要联系方式.
Email: polyudova@iegm.ru
Russia, 614990, Perm
参考
- Долгоносов А.М. Модель межмолекулярного взаимодействия общего типа между молекулой и жидкой фазой, основанная на теории обобщенных зарядов // Сорбционные и хроматографические процессы. 2020. Т. 20. № 3. С. 343‒361.
- Ерошенко Д.В., Коробов В.П. Адгезия стафилококков: первый шаг к образованию биопленок // Успехи современной биологии. 2017. Т. 137. № 1. С. 100‒112.
- Зайцева Е.А., Шаркова В.А., Диго Р.Н., Воропаева Н.М., Бронников Ю.Н. Морфологические и тинкториальные свойства бактерий. Владивосток: Медицина ДВ, 2015. 81 с.
- Красавцев В.Е., Куприна Е.Э., Маслова Г.В., Албулов А.И. Хитин и хитозан. Сырьевые источники, основные методы переработки // Хитозан / Под ред. Скря-бина К.Г., Михайлова С.Н., Варламова В.П. М.: Центр “Биоинженерия”, 2013. С. 18‒48.
- Красильников А.П., Романовская Т.Р. Микробиологический словарь-справочник. 2-е изд. Мн.: “Асар”, 1999. 400 с.
- Панькова Н.В., Полюдова Т.В., Лемкина Л.М., Коробов В.П. Гидрофобные и донорно-акцепторные свойства поверхности клеток стафилококков, чувствительных и устойчивых к варнерину // Микробиология. 2011. Т. 80. С. 568‒570.
- Pan’kova N.V., Polyudova T.V., Lemkina L.M., Korobov V.P. Hydrophobic and donor-acceptor properties of the surface of warnerin-sensitive or resistant staphylococcus cells // Microbiology (Moscow). 2011. V. 80. P. 573‒575.
- Теппер Е.З., Шильникова В.К., Переверзева Г.И. Практикум по микробиологии. М.: “Колос”, 1972. 199 с.
- Хитин и хитозан: получение, свойства и применение / Под ред. Скрябина К.Г., Вихоревой Г.А. Вар-ламова В.П. М.: Наука, 2002. 368 с.
- Шагдарова Б.Ц., Ильина А.В., Варламов В.П. Антибактериальная активность алкилированных и ацилированных производных низкомолекулярного хитозана // Прикл. биохимия и микробиология. 2016. Т. 52. С. 237‒241.
- Shagdarova B.T., Il’ina A.V., Varlamov V.P. Antibacterial activity of alkylated and acylated derivatives of low-molecular weight chitosan // Appl. Biochem. Microbiol. 2016. V. 52. P. 222‒225.
- Шульгина М.В., Нарвская О.В., Мокроусов И.В. Патогенные и условно-патогенные микобактерии. М.: ООО “НЬЮ ТЕРРА”, 2018. 104 с.
- Юсупова Р.И., Курмаева А.И., Потапова М.В., Кулагина Е.М., Барабанов В.П. Суспензия клеток микроорганизмов как коллоидная система. Часть 2. Поверхностный заряд и электрокинетические свойства дрожжевых и бактериальных суспензий // Вестник Казанского технологического университета. 2013. Т. 16. № 4. С. 189‒191.
- Evans M.L., Gichana E., Zhou Y., Chapman M.R. Bacterial amyloids // Methods Mol. Biol. 2018. V. 1779. P. 267‒288.
- Rosenberg M. Bacterial adherence to hydrocarbons: a useful technique for studying cell surface hydrophobicity // FEMS Microbiol. Lett. 1984. V. 22. P. 289‒295.
- Schneewind O., Missiakas D. Lipoteichoic acids, phosphate-containing polymers in the envelope of gram-positive bacteria // J. Bacteriol. 2014. V. 196. P. 1133‒1142.
- Shagdarova B., Lunkov A., Il’ina A., Varlamov V. Investigation of the properties of N-[(2-hydroxy-3-trimethylammonium) propyl] chloride chitosan derivatives // Int. J. Biol. Macromol. 2019. V. 124. P. 994‒1001.
- Vadyvaloo V., Otto M. Molecular genetics of Staphylococcus epidermidis biofilms on indwelling medical devices // Int. J. Artif. 2005. V. 28. P. 1069‒1078.





