Rhodococcus rhodochrous IEGM 1360, an Efficient Biocatalyst of C3 Oxidative Transformation of Oleanane Triterpenoids
- Autores: Luchnikova N.A.1,2, Tarasova E.V.1,2, Grishko V.V.3, Ivshina I.B.1,2
-
Afiliações:
- Institute of Ecology and Genetics of Microorganisms, Perm Federal Research Center, Ural Branch, Russian Academy of Sciences
- Perm State University
- Institute of Technical Chemistry, Perm Federal Research Center, Ural Branch, Russian Academy of Sciences
- Edição: Volume 92, Nº 2 (2023)
- Páginas: 184-196
- Seção: EXPERIMENTAL ARTICLES
- URL: https://bakhtiniada.ru/0026-3656/article/view/138161
- DOI: https://doi.org/10.31857/S0026365622600742
- EDN: https://elibrary.ru/AVNRKP
- ID: 138161
Citar
Texto integral
Resumo
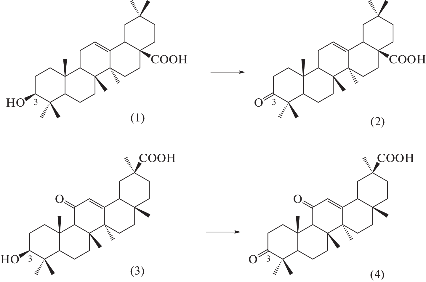
Abstract—The optimal conditions for C3 oxidative biotransformation of 1.0 g/L pentacyclic triterpenoids oleanolic (OA) and glycyrrhetic (GA) acids were determined using the resting cells of Rhodococcus rhodochrous IEGM 1360 from the Regional Specialised Collection of Alkanotrophic Microorganisms. Suspensions of the resting cells with OD600 2.6 in pH 8.0 buffer and OD600 2.2 in pH 6.0 buffer showed the highest catalytic activity against OA and GA, which ensured the formation of 61 and 100% of their 3-oxo derivatives, respectively. Using phase contrast, atomic force, and confocal laser scanning microscopy, an adaptive response of rhodococci to the effects of OA and GA was revealed. In silico, the apoptotic and antioxidant activities of 3-oxo-OA and 3-oxo-GA, respectively, have been assumed. In vitro, a pronounced antibacterial activity of 3-oxo-OA against Micrococcus luteus, Escherichia coli, Staphylococcus aureus, and Bacillus subtilis was shown. The absence of toxic effects of the triterpenoids and their 3-oxo derivatives on aquatic and plant objects was demonstrated in silico and in vitro, respectively.
Sobre autores
N. Luchnikova
Institute of Ecology and Genetics of Microorganisms, Perm Federal Research Center, Ural Branch,Russian Academy of Sciences; Perm State University
Autor responsável pela correspondência
Email: luchnikova.n@mail.ru
Russia, 614081, Perm; Russia, 614990, Perm
E. Tarasova
Institute of Ecology and Genetics of Microorganisms, Perm Federal Research Center, Ural Branch,Russian Academy of Sciences; Perm State University
Email: luchnikova.n@mail.ru
Russia, 614081, Perm; Russia, 614990, Perm
V. Grishko
Institute of Technical Chemistry, Perm Federal Research Center, Ural Branch, Russian Academy of Sciences
Email: luchnikova.n@mail.ru
Russia, 614013, Perm
I. Ivshina
Institute of Ecology and Genetics of Microorganisms, Perm Federal Research Center, Ural Branch,Russian Academy of Sciences; Perm State University
Email: luchnikova.n@mail.ru
Russia, 614081, Perm; Russia, 614990, Perm
Bibliografia
- Иванова К.М., Гришко В.В., Ившина И.Б. Высокоэффективная биодеструкция экотоксичной дегидроабиетиновой кислоты нерастущими клетками Rhodococcus rhodochrous ИЭГМ 107 // Микробиология. 2022. Т. 91. С. 419–432.https://doi.org/10.31857/S002636562230022X
- Ivanova K.M., Grishko V.V., Ivshina I.B. Highly efficient biodegradation of ecotoxic dehydroabietic acid by resting cells of Rhodococcus rhodochrous IEGM 107 // Microbiology (Moscow). 2022. V. 91. P. 364–377.
- Лучникова Н.А., Иванова К.М., Тарасова Е.В., Гришко В.В., Ившина И.Б. Биоконверсия тритерпеноидов олеананового типа актинобактериями. IX Информационная школа молодого ученого. Россия. Екатеринбург. 2021. Сборник научных трудов. С. 15–26. https://doi.org/10.32460/ishmu-2021-9-0002
- Alho D.P.S., Salvador J.A.R., Cascante M., Marin S. Synthesis and antiproliferative activity of novel heterocyclic glycyrrhetinic acid derivatives // Molecules. 2019. V. 24. Art. 766.https://doi.org/10.3390/molecules24040766
- Atrat P., Hosel P., Richter W., Meyer H.W., Horhold C. Interactions of Mycobacterium fortuitum with solid sterol substrate particles // J. Basic Microbiol. 1991. V. 31. P. 413–422. https://doi.org/10.1002/jobm.3620310605
- Beseda I., Czollner L., Shah P.S., Khunt R., Gaware R., Kosma P., Stanetty C., del Ruiz-Ruiz M.C., Amer H., Mereiter K., Da Cunha T., Odermatt A., Claßen-Houben D., Jordis U. Synthesis of glycyrrhetinic acid derivatives for the treatment of metabolic diseases // Bioorg. Med. Chem. 2010. V. 18. P. 433–454.https://doi.org/10.1016/j.bmc.2009.10.036
- Calixto J.B. The role of natural products in modern drug discovery // An. Acad. Bras. Cienc. 2019. V. 91. e20190105. https://doi.org/10.1590/0001-3765201920190105
- Capel C.S., De Souza A.C.D., De Carvalho T.C., De Sousa J.P.B., Ambrósio S.R., Martins C.H.G., Cunha W.R., Galán R.H., Furtado N.A.J.C. Biotransformation using Mucor rouxii for the production of oleanolic acid derivatives and their antimicrobial activity against oral pathogens // J. Ind. Microbiol. Biotechnol. 2011. V. 38. P. 1493–1498.https://doi.org/10.1007/s10295-010-0935-y
- Cheremnykh K.M., Luchnikova N.A., Grishko V.V., Ivshina I.B. Bioconversion of ecotoxic dehydroabietic acid using Rhodococcus actinobacteria // J. Hazard. Mater. 2018. V. 346. P. 103–112.https://doi.org/10.1016/j.jhazmat.2017.12.025
- Choudhary M.I., Siddiqui Z.S., Nawaz S.A. Microbial transformation of 18β-glycyrrhetinic acid by Cunninghamella elegans and Fusarium lini, and lipoxygenase inhibitory activity of transformed products // Nat. Prod. Res. 2009. V. 23. P. 507–513. https://doi.org/10.1080/14786410500463536
- Clinical and Laboratory Standards Institute. Performance Standards for Antimicrobial Susceptibility Testing M100. 32nd edn. Malvern: Clinical and Laboratory Standards Institute, 2022. 362 p.
- Dawson R. Elliott D.C., Elliott W.H., Jones K.M. Data for Biochemical Research. 3rd edn. Oxford: Oxford University Press, 1986. 580 p.
- Duric K., Kovac-Besovic E., Niksic H., Sofic E. Antibacterial activity of methanolic extracts, decoction and isolated triterpene products from different parts of birch, Betula pendula, Roth // J. Plant Stud. 2013. V. 2. № 2. P. 61–70.https://doi.org/10.5539/jps.v2n2p61
- Funari C.S., de Almeida L., Passalaqua T.G., Martinez I., Ambrosio D.L., Cicarelli R.M.B., Silva D.H.S., Gramin-ha M.A.S. Oleanonic acid from Lippia lupulina (Verbenaceae) shows strong in vitro antileishmanial and antitrypanosomal activity // Acta Amazon. 2016. V. 46. P. 411–416. https://doi.org/10.1590/1809-4392201600204
- Gong T., Zheng L., Zhen X., He H.X., Zhu H.X., Zhu P. Microbial transformation of oleanolic acid by Trichothecium roseum // J. Asian Nat. Prod. Res. 2014. V. 16. P. 383–386.https://doi.org/10.1080/10286020.2014.884564
- Grishko V.V., Tarasova E.V., Ivshina I.B. Biotransformation of betulin to betulone by growing and resting cells of the actinobacterium Rhodococcus rhodochrous IEGM 66 // Process Biochem. 2013. V. 48. P. 1640–1644.https://doi.org/10.1016/j.procbio.2013.08.012
- Huang D., Ding Y., Li Y., Zhang W., Fang W., Chen X. Anti-tumor activity of a 3-oxo derivative of oleanolic acid // Cancer Lett. 2006. V. 233. P. 289–296.https://doi.org/10.1016/j.canlet.2005.03.019
- Ivshina I.B., Kuyukina M.S., Philp J.C., Christofi N. Oil desorption from mineral and organic materials using biosurfactant complexes produced by Rhodococcus species // World J. Microbiol. Biotechnol. 1998. V. 14. P. 711–717. https://doi.org/10.1023/A:1008885309221
- Ivshina I.B., Mukhutdinova A.N., Tyumina H.A., Vikhareva H.V., Suzina N.E., El’-Registan G.I., Mulyukin A.L. Drotaverine hydrochloride degradation using cyst-like dormant cells of Rhodococcus ruber // Curr. Microbiol. 2015. V. 70. P. 307–314.https://doi.org/10.1007/s00284-014-0718-1
- Kannan S., Sathasivam G., Marudhamuthu M. Decrease of growth, biofilm and secreted virulence in opportunistic nosocomial Pseudomonas aeruginosa ATCC 25619 by glycyrrhetinic acid // Microb. Pathog. 2019. V. 126. P. 332–342.https://doi.org/10.1016/j.micpath.2018.11.026
- Kumar D., Dubey K.K. Hybrid Approach for Transformation for Betulin (an Anti-HIV Molecule) / Eds. Gupta V., Pandey A. Amsterdam: Elsevier, 2019. P. 193–203.
- Luchnikova N.A., Grishko V.V., Ivshina I.B. Biotransformation of oleanane and ursane triterpenic acids // Molecules. 2020. V. 25. Art. 5526. https://doi.org/10.3390/molecules25235526
- Luchnikova N.A., Grishko V.V., Kostrikina N.A., Sorokin V.V., Mulyukin A.L., Ivshina I.B. Biotransformation of oleanolic acid using Rhodococcus rhodochrous IEGM 757 // Catalysts. 2022. V. 12. Art. 1352.https://doi.org/10.3390/catal12111352
- Ludwig B., Geib D., Haas C., Steingroewer J., Bley T., Muffler K., Ulber R. Whole-cell biotransformation of oleanolic acid by free and immobilized cells of Nocardia iowensis: characterization of new metabolites // Eng. Life Sci. 2015. V. 15. P. 108–115.https://doi.org/10.1002/elsc.201400121
- Ma C., Nakamura N., Hattori M. Chemical modification of oleanene type triterpenes and their inhibitory activity against HIV-1 protease dimerization // Chem. Pharm. Bull. 2002. V. 48. P. 1681–1688.
- Maldonado E., Amador S., Juárez-Jaimes V. Secondary metabolites from Asclepias otarioides // J. Mex. Chem. Soc. 2015. V. 59. P. 50–52.https://doi.org/10.29356/jmcs.v59i1.14
- Martinez A., Rivas F., Perojil A., Parra A., Garcia–Granados A., Fernandez-Vivas A. Biotransformation of oleanolic and maslinic acids by Rhizomucor miehei // Phytochemistry. 2013. V. 94. P. 229–237. https://doi.org/10.1016/j.phytochem.2013.05.011
- Nawawi N.M., Ahmad S.A., Maniyam M.N., Ibrahim A.L. Biotransformation of phenol by the resting cells of Rhodococcus sp. NAM 81 // Indian J. Fundam. Appl. Life Sci. 2016. V. 6. P. 101–107.
- Neumann G., Veeranagouda Y., Karegoudar T.B., Sahin Ö., Mäusezahl I., Kabelitz N., Kappelmeyer U., Heipieper H.J. Cells of Pseudomonas putida and Enterobacter sp. adapt to toxic organic compounds by increasing their size // Extremophiles. 2005. V. 9. P. 163–168.https://doi.org/10.1007/s00792-005-0431-x
- Pátek M., Grulich M., Nešvera J. Stress response in Rhodococcus strains // Biotechnol. Adv. 2021. Art. 107698.https://doi.org/10.1016/j.biotechadv.2021.107698
- Singh S., Florez H. Bioinformatic study to discover natural molecules with activity against COVID-19 // F1000Research. 2020. V. 9. Art. 1203 https://doi.org/10.12688/f1000research.26731.1
- Tarasova E.V., Grishko V.V., Ivshina I.B. Cell adaptations of Rhodococcus rhodochrous IEGM 66 to betulin biotransformation // Process Biochem. 2017. V. 52. P. 1–9.https://doi.org/10.1016/j.procbio.2016.10.003
- Uzoechi S.C., Abu-Lail N.I. The effects of β-lactam antibiotics on surface modifications of multidrug-resistant Escherichia coli: a multiscale approach // Micros. Microanal. 2019. V. 25. P. 135–150.https://doi.org/10.1017/S1431927618015696
- Wu S.Y., Cui S.C., Wang L., Zhang Y.T., Yan X.X., Lu H.L., Xing G.Z., Ren J., Gong L.K. 18β-Glycyrrhetinic acid protects against alpha-naphthylisothiocyanate-induced cholestasis through activation of the Sirt1/FXR signaling pathway // Acta Pharmacol. Sin. 2018. V. 39. P. 1865–1873. https://doi.org/10.1038/s41401-018-0110-y
- Xu S.H., Chen H.L., Fan Y., Xu W., Zhang J. Application of tandem biotransformation for biosynthesis of new pentacyclic triterpenoid derivatives with neuroprotective effect // Bioorg. Med. Chem. Lett. 2020. V. 30. Art. 126947.https://doi.org/10.1016/j.bmcl.2019.126947
- Xu S.H., Wang W.W., Zhang C., Liu X.F., Yu B.Y., Zhang J. Site-selective oxidation of unactivated C–H sp3 bonds of oleanane triterpenes by Streptomyces griseus ATCC 13273 // Tetrahedron. 2017. V. 73. P. 3086–3092.https://doi.org/10.1016/j.tet.2017.04.036
- Yan S., Lin H., Huang H., Yang M., Xu B., Chen G. Microbial hydroxylation and glycosidation of oleanolic acid by Circinella muscae and their anti-inflammatory activities // Nat. Prod. Res. 2018. V. 33. P. 1849–1855.https://doi.org/10.1080/14786419.2018.1477150
- Yu F., Wang Q., Zhang Z., Peng Y., Qiu Y., Shi Y., Zheng Y., Xiao S., Wang H., Huang X., Zhu L., Chen K., Zhao C., Zhang C., Yu M., Sun D., Zhang L., Zhou D. Development of oleanane-type triterpenes as a new class of HCV entry inhibitors // J. Med. Chem. 2013. V. 56. P. 4300–4319.https://doi.org/10.1021/jm301910a
Arquivos suplementares








