Fungal Azaphilone Pigments as Promising Natural Colorants
- Authors: Antipova T.V.1, Zhelifonova V.P.1, Zaitsev K.V.2, Vainshtein M.B.1
-
Affiliations:
- Skryabin Institute of Biochemistry and Physiology of Microorganisms, Pushchino Scientific Centre of Biological Research, Russian Academy of Sciences
- Department of Chemistry, Moscow State University
- Issue: Vol 92, No 1 (2023)
- Pages: 3-13
- Section: REVIEWS
- URL: https://bakhtiniada.ru/0026-3656/article/view/138160
- DOI: https://doi.org/10.31857/S0026365622600432
- EDN: https://elibrary.ru/NLPLKN
- ID: 138160
Cite item
Full Text
Abstract
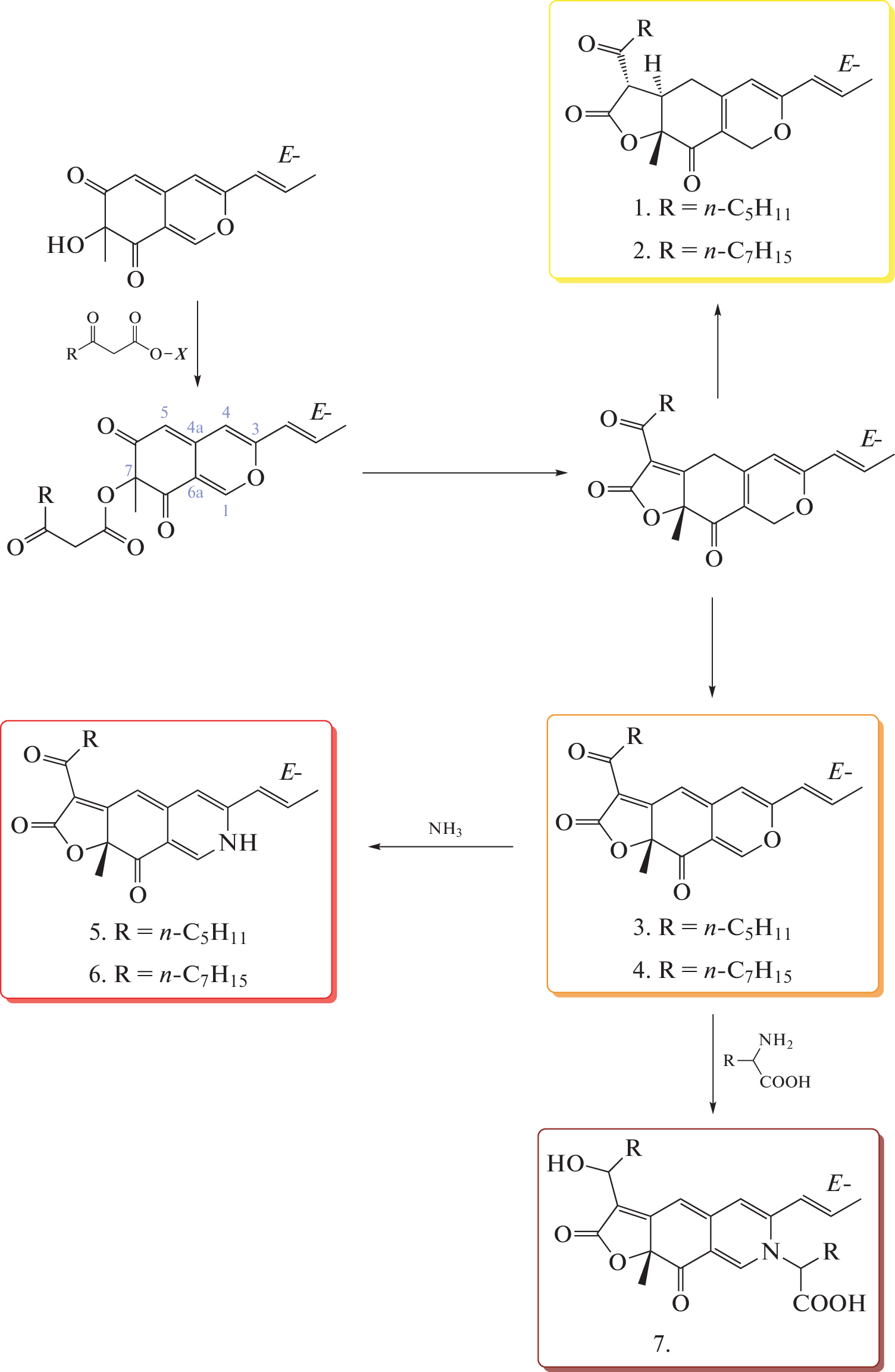
Abstract—Microscopic fungi form and excrete numerous and diverse secondary metabolites, including pigments of various colors, which may be used as an alternative to chemical and plant colorants used in industry. Azaphilone compounds, first discovered in fungi of the genus Monascus, are among the promising classes of fungal pigments. The review analyzes the publications on formation of azaphilone-type pigments in Monascus fungi, as well as in Talaromyces and Aspergillus сavernicola. Brief information is provided concerning the antimicrobial, antitumor, anti-inflammatory, and hypolipidemic activities of azaphilone pigments. is given. Possible strategies for increasing the efficiency of the production process and directed synthesis of yellow, orange, and red pigments and their derivatives are discussed. In general, the review provides for assessment of the role of azaphilone pigments, as well as of the prospects and ways to expand their production for use as natural dyes in various fields.
Keywords
About the authors
T. V. Antipova
Skryabin Institute of Biochemistry and Physiology of Microorganisms, Pushchino Scientific Centre of Biological Research, Russian Academy of Sciences
Author for correspondence.
Email: tantipova@ibpm.pushchino.ru
Russia, 142290, Pushchino
V. P. Zhelifonova
Skryabin Institute of Biochemistry and Physiology of Microorganisms, Pushchino Scientific Centre of Biological Research, Russian Academy of Sciences
Email: tantipova@ibpm.pushchino.ru
Russia, 142290, Pushchino
K. V. Zaitsev
Department of Chemistry, Moscow State University
Email: tantipova@ibpm.pushchino.ru
Russia, 119991, Moscow
M. B. Vainshtein
Skryabin Institute of Biochemistry and Physiology of Microorganisms, Pushchino Scientific Centre of Biological Research, Russian Academy of Sciences
Email: tantipova@ibpm.pushchino.ru
Russia, 142290, Pushchino
References
- Рысцов Г.К., Антипова Т.В., Зайцев К.В., Земскова М.Ю. Противоопухолевая активность монасникотиновой кислоты, выделенной из гриба Aspergillus cavernicola // Биоорганическая химия. 2021. Т. 47. Р. 162‒172.
- Rystsov G.K., Antipova T.V., Zaitsev K.V., Zemskova M.Y. Antitumor activity of monasnicotinic acid isolated from the fungus Aspergillus cavernicola // Russ. J. Bioorg. Chem. (Moscow). 2021. V. 47. P. 307–316. https://doi.org/10.1134/S1068162021010209
- Ячкула А.А., Делеган Я.А., Антипова Т.В., Вайнштейн М.Б. Действие персульфатов на накопление красных каротиноидов в культурах дрожжей: Rhodosporidium sphaerocarpum, R. diobovatum и Rhodotorula glutinis // Биотехнология. 2021. Т. 37. № 3. С. 20–28. https://doi.org/10.21519/0234-2758-2021-37-3-20-28
- Agboyibor C., Kong W.-B., Zhang A.-M., Niu S.-Q. Nutrition regulation for the production of Monascus red and yellow pigment with submerged fermentation by Monascus purpureus // Biocatal. Agric. Biotechnol. 2019. V. 21. P. 101276. https://doi.org/10.1016/j.bcab.2019.101276
- Akihisa T., Tokuda H., Ukiya M., Kiyota A., Yasukawa K., Sakamoto N., Kimura Y., Suzuki T., Takayasu J., Nishino H. Anti-tumor-initiating effects of monascin, an azaphilonoid pigment from the extract of Monascus pilosus fermented rice (red-mold rice) // Chem. Biodivers. 2005. V. 2. P. 1305–1309. https://doi.org/10.1002/cbdv.200590101
- Al Reza M.S., Hasan M.M., Kamruzzaman M., Hossain M.I., Zubair M.A., Bari L., Abedin M.Z., Reza M.A., Khalid-Bin-Ferdaus K.M., Haque K.M.F., Islam K., Ahmed M.U., Hossain M.K. Study of a common azo food dye in mice model: Toxicity reports and its relation to carcinogenicity // Food Sci. Nutr. 2019. V. 7. P. 667–677. https://doi.org/10.1002/fsn3.906
- Antipova T.V., Zaitsev K.V., Zherebker A.Ya., Tafeenko V.A., Baskunov B.P., Zhelifonova V.P., Ivanushkina N.E., Kononikhin A.S., Nikolaev E.N., Kozlovsky A.G. Monasnicotinic acid, a novel pyridine alkaloid of the fungus Aspergillus cavernicola: isolation and structure establishment // Mendeleev Commun. 2018. V. 28. № 1. P. 55‒57. https://doi.org/10.1016/j.mencom.2018.01.018
- Antipova Т.V., Zhelifonova V., Zaitsev K.V., Zherebker A., Baskunov B., Oprunenko Y.F. Formation of azaphilone pigments and monasnicotinic acid by the fungus Aspergillus cavernicola // J. Agric. Food Chem. 2022. V. 70. P. 7122–7129. https://doi.org/10.1021/acs.jafc.2c01952
- Arai T., Kojima R., Motegi Y., Kato J., Kasumi T., Ogihara J. PP-O and PP-V, Monascus pigment homologues, production, and phylogenetic analysis in Penicillium purpurogenum // Fungal Biol. 2015. V. 119. P. 1226‒1236. https://doi.org/10.1016/j.funbio.2015.08.020
- Asghari M., Jahadi M., Hesam F., Ghasemi-Sepro N. Optimization of Monascus pigment production on date waste substrates using solid state fermentation // Appl. Food Biotechn. 2021. V. 8. P. 247‒254. https://doi.org/10.22037/afb.v8i3.34278
- Bakthavachalu P., Kannan S.M., Qoronfleh M.W. Food color and autism: a meta-analysis // Personalized Food Intervention and Therapy for Autism Spectrum Disorder Management. Advances in Neurobiology / Eds. Essa M.M., Qoronfleh M.W. Berlin‒Heidelberg, Germany: Springer, 2020. V. 24. P. 481‒504. https://doi.org/10.1007/978-3-030-30402-7_15
- Benkhaya S., M’rabet S., El Harfi A. Classifications, properties, recent synthesis and applications of azo dyes // Heliyon. 2020. V. 6. P. e03271. https://doi.org/10.1016/j.heliyon.2020.e03271
- Blanc P.J., Loret M.O., Goma G. Production of citrinin by various species of Monascus // Biotechnol. Lett. 1995. V. 17. P. 291–294.
- Bühler R.M.M., Dutra A.C., Vendruscolo F., Moritz D.E., Ninow J.L. Monascus pigment production in bioreactor using a co-product of biodiesel as substrate // Food Sci. Technol. 2013. V. 33. Suppl. 1. P. 9‒13. https://doi.org/10.1590/S0101-20612013000500002
- Camphausen K., Chiu H.W., Fang W.H., Chen Y.L., Wu M.D., Yuan G.F., Ho S.Y., Wang Y.J. Monascuspiloin enhances the radiation sensitivity of human prostate cancer cells by stimulating endoplasmic reticulum stress and inducing autophagy // PLoS One. 2012. V. 7. P. e40462. https://doi.org/10.1371/journal.pone.0040462
- Chaudhary V., Katyal P., Poonia A. K., Kaur J., Puniya A.K., Panwar H. Natural pigment from Monascus: the production and therapeutic significance // J. Appl. Microbiol. 2021. P. 1–21. https://doi.org/10.1111/jam.15308
- Chen Ch., Tao H., Chen W., Yang B., Zhou X., Luo X., Liu Y. Recent advances in the chemistry and biology of azaphilones // RSC Adv. 2020. V. 10. P. 10197‒10220. https://doi.org/10.1039/D0RA00894J
- Chen W., Chen R., Liu Q., He Yi., He K., Ding X., Kang L., Guo X., Xie N., Zhou Y., Lu Y., Cox R.J., Molnár I., Li M., Shaoa Y., Chen F. Orange, red, yellow: biosynthesis of azaphilone pigments in Monascus fungi // Chem. Sci. 2017. V. 8. P. 4917–4925.
- Chen W., Feng Y., Molnár I., Chen F. Nature and nurture: confluence of pathway determinism with metabolic and chemical serendipity diversifies: Monascus azaphilone pigments // Nat. Prod. Rep. 2019. V. 36. P. 561‒572. https://doi.org/10.1039/c8np00060c
- Chen W., He Y., Zhou Y., Shao Y., Feng Y., Li M., Chen F. Edible filamentous fungi from the species Monascus: early traditional fermentations, modern molecular biology, and future genomics // Compr. Rev. Food Sci. Food Saf. 2015. V. 14. P. 555–567.
- Chen X., Yan J., Chen J., Gui R., Wu Y., Li N. Potato pomace: An efficient resource for Monascus pigments production through solid-state fermentation // J. Biosci. Bioeng. 2021. V. 132. P. 167‒173. https://doi.org/10.1016/j.jbiosc.2021.03.007
- Choe D., Song S.M., Shin C.S., Johnston T.V., Ahn H.J., Kim D., Ku S. Production and characterization of anti-inflammatory Monascus pigment derivatives // Foods. 2020. V. 9. P. 858.https://doi.org/10.3390/foods9070858
- Curtin T.P., Reilly J. Sclerotiorine, C20H20O5Cl, a chlorinecontaining metabolitic product of Penicillium sclerotiorin van Beyma // Biochem. J. 1940. V. 34. P. 1418–1421.
- Dufossé L. Pigments, microbial // Encyclopedia of Microbiology (4th ed). 2019. P. 579‒594. https://doi.org/10.1016/B978-0-12-809633-8.13091-2
- Embaby A.M., Hussein M.N., Hussein A. Monascus orange and red pigments production by Monascus purpureus ATCC16436 through co-solid state fermentation of corn cob and glycerol: An eco-friendly environmental low cost approach // PLoS One. 2018. V. 13. P. e0207755. https://doi.org/10.1371/journal.pone.0207755
- Faustino M., Veiga M., Sousa P., Costa E. M., Silva S., Pintado M. Agro-food byproducts as a new source of natural food additives // Molecules. 2019. V. 24. P. 1056. https://doi.org/10.3390/molecules24061056
- Frisvad J.C., Yilmaz N., Thrane U., Rasmussen K.B., Houbraken J., Samson R.A. Talaromyces atroroseus, a new species efficiently producing industrially relevant red pigments // PLoS One. 2013. V. 8. P. e84102. https://doi.org/10.1371/journal.pone.0084102
- Ho B.Y., Pan T.M. The Monascus metabolite monacolin K reduces tumor progression and metastasis of Lewis lung carcinoma cells // J. Agric. Food Chem. 2009. V. 57. P. 8258–8265.
- Hsu L.C., Hsu Y.W., Liang Y.H., Liaw C.C., Kuo Y.H., Pan T.M. Induction of apoptosis in human breast adenocarcinoma cells MCF-7 by monapurpyridine A, a new azaphilone derivative from Monascus purpureus NTU 568 // Molecules. 2012. V. 17. P. 664–673.
- Hsu Y.W., Hsu L.C., Chang C.L., Liang Y.H., Kuo Y.H., Pan T.M. New anti-inflammatory and anti-proliferative constituents from fermented red mold rice Monascus purpureus NTU 568 // Molecules. 2010. V. 15. P. 7815–7824.
- Huang T., Tan H.L., Lu F.J., Chen G., Wu Z.Q. Changing oxidoreduction potential to improve water-soluble yellow pigment production with Monascus ruber CGMCC 10910 // Microb. Cell Fact. 2017. V. 16. P. 208. https://doi.org/10.1186/s12934-017-0828-0
- Isbrandt T., Tolborg G., Ødum A., Workman M., Larsen T.O. Atrorosins: a new subgroup of Monascus pigments from Talaromyces atroroseus // Appl. Microbiol. Biotechn. 2020. V. 104. P. 615–622.
- Jackman G.B., Robertson A., Travers R.B., Whalley W.B. The chemistry of fungi. Part XXXIV. Rotiorin, a metabolite of Penicillium sclerotiorum van Beyma // J. Chem. Soc. 1958. V. 372. P. 1825–1832.
- Jang H., Choe D., Shin C.S. Novel derivatives of Monascus pigment having a high CETP inhibitory activity // Nat. Prod. Res. 2014. V. 28. P. 1427‒1431. https://doi.org/10.1080/14786419.2014.905561
- Jin Y., Cheng X., Jiang F., Guo Z., Xie J., Fu L. Application of the ultrafiltration-based LC-MS approach for screening PTP1B inhibitors from Chinese red yeast rice // Anal. Methods. 2016. V. 8. P. 353–361. https://doi.org/10.1039/C5AY01767J
- Johns M.R., Stuart D.M. Production of pigments by Monascus purpureus in solid culture // J. Ind. Microbiol. 1991. V. 8. P. 23–28. https://doi.org/10.1007/BF01575587
- Jung H., Kim C., Kim K., Shin C.S. Color characteristics of Monascus pigments derived by fermentation with various amino acids // J. Agric. Food Chem. 2003. V. 51. P. 1302–1306. https://doi.org/10.1021/jf0209387
- Kalra R., Conlan X.A., Goel M. Fungi as a potential source of pigments: harnessing filamentous fungi // Front Chem. 2020. V. 8. P. 369. https://doi.org/10.3389/fchem.2020.00369
- Kim C., Jung H., Kim Y.O., Shin S.C. Antimicrobial activities of amino acid derivatives of monascus pigments // FEMS Microbiol. Lett. 2006. V. 264. P. 117–124. https://doi.org/10.1111/j.1574-6968.2006.00451.x
- Klimek M., Wang S., Ogunkanmi A. Safety and efficacy of red yeast rice (Monascus purpureus) as an alternative therapy for hyperlipidemia // P & T. 2009. V. 34. P. 313–327.
- Lagashetti A.C., Dufossé L., Singh S.K., Singh P.N. Fungal pigments and their prospects in different industries // Microorganisms. 2019. V. 7. P. 604. https://doi.org/10.3390/microorganisms7120604
- Lee C.L., Wen J.Y., Hsu Y.W., Pan T.M. The blood lipid regulation of Monascus-produced monascin and ankaflavin via the suppression of low-density lipoprotein cholesterol assembly and stimulation of apolipoprotein A1 expression in the liver // J. Microb. Immun. Infection. 2018. V. 51. P. 27‒37. https://doi.org/10.1016/j.jmii.2016.06.003
- Li L., Chen S., Gao M., Ding B., Zhang J., Zhou Y., Liu Y., Yang H., Wu Q., Chen F. Acidic conditions induce the accumulation of orange Monascus pigments during liquid-state fermentation of Monascus ruber M7 // Appl. Microbiol. Biotechnol. 2019. V. 103. P. 8393–8402.
- Liu J., Luo Y., Guo T., Tang C., Chai X., Zhao W., Bai J., Lin Q. Cost-effective pigment production by Monascus purpureus using rice straw hydrolysate as substrate in submerged fermentation // J. Biosci. Bioeng. 2020. V. 129. P. 229‒236. https://doi.org/10.1016/j.jbiosc.2019.08.007
- Liu J., Wu J., Cai X., Zhang C. Liang Y., Lin Q. Regulation of secondary metabolite biosynthesis in Monascus purpureus via cofactor metabolic engineering strategies // Food Microbiol. 2021. V. 95. P. 103689. https://doi.org/10.1016/j.fm.2020.103689
- Liu L., Wang Z. Azaphilone alkaloids: prospective source of natural food pigments // Appl. Microbiol. Biotechnol. 2022. V. 106. P. 469–484. https://doi.org/10.1007/s00253-021-11729-6
- Liu L., Zhao J., Huang Y., Xin Q., Wang Z. Diversifying of chemical structure of native Monascus pigments // Front. Microbiol. 2018. V. 9. P. 1‒12. https://doi.org/10.3389/fmicb.2018.03143
- Mapari S.A., Meyer A.S., Thrane U., Frisvad J.C. Identification of potentially safe promising fungal cell factories for the production of polyketide natural food colorants using chemotaxonomic rationale // Microb. Cell Fact. 2009. V. 8. P. 24. https://doi.org/10.1186/1475-2859-8-24
- Mapari S.A.S., Meyer A.S., Thrane U. Colorimetric characterization for comparative analysis of fungal pigments and natural food colorants // J. Agric. Food Chem. 2006. V. 54. P. 7028–7035. https://doi.org/10.1021/jf062094n
- Martínková L., Jzlová P., Veselý D. Biological activity of polyketide pigments produced by the fungus Monascus // J. Appl. Microbiol. 2008. V. 79. № 6. P. 609 – 616.
- Morales-Oyervides L., Ruiz-Sánchez J.P., Oliveira J.C., Sousa-Gallagher M.J., Méndez-Zavala A., Giuffrida D., Dufossé L., Montañez J. Biotechnological approaches for the production of natural colorants by Talaromyces/Penicillium: a review // Biotechnol. Adv. 2020. V. 43. P. 107601. https://doi.org/10.1016/j.biotechadv.2020.107601
- Ogihara J., Kato J., Oishia K., Fujimoto Y. Biosynthesis of PP-V, a monascorubramine homologue, by Penicillium sp. AZ // J. Biosci. Bioeng. 2000. V. 90. P. 678‒680. https://doi.org/10.1016/S1389-1723(00)90017-3
- Oliveira F., Pedrolli D.B., Teixeira M.F.S., Ebinuma V.C.S. Water-soluble fluorescent red colorant production by Talaromyces amestolkiae // Appl. Microbiol. Biotechnol. 2019. V. 103. P. 6529‒6541.
- Osmanova N., Schultze W., Ayoub N. Azaphilones: a class of fungal metabolites with diverse biological activities // Phytochem. Rev. 2010. V. 9. P. 315–342. https://doi.org/10.1007/s11101-010-9171-3
- Patakova P. Monascus secondary metabolites: production and biological activity // J. Ind. Microbiol. Biotechnol. 2013. V. 40. P. 169‒181. https://doi.org/10.1007/s10295-012-1216-8
- Pavesi C., Flon V., Mann S., Leleu S., Prado S., Franck X. Biosynthesis of azaphilones: a review // Nat. Prod. Rep. 2021. V. 38. P. 1058‒1071. https://doi.org/10.1039/D0NP00080A
- Petersen T.I., Kroll-Moller P., Larsen T.O., Ødum A.S.R. A novel class of pigments in Aspergillus // Patent Application WO 2020/094830 A1, 2020.
- Pimenta L.P.C., Gomes D.C., Cardoso P.G., Takahashi J.A. Recent findings in azaphilone pigments // J. Fungi. 2021. V. 7. P. 541. https://doi.org/10.3390/jof7070541
- Sabater-Vilar M., Maas R.F.M., Fink-Gremmels J. Mutagenicity of commercial Monascus fermentation products and the role of citrinin contamination // Mutat. Res. Genet. Toxicol. Environ. Mutagen. 1999. V. 444. P. 7–16. https://doi.org/10.1016/s1383-5718(99)00095-9
- Shi J., Zhao W., Lu J., Wang W., Yu X., Feng Y. Insight into Monascus pigments production promoted by glycerol based on physiological and transcriptome analyses // Proc. Biochem. 2021. V. 102. P. 141–149. https://doi.org/10.1016/j.procbio.2020.12.006
- Shi K., Song D., Chen G., Pistolozzi M., Wu Z., Quan L. Controlling composition and color characteristics of Monascus pigments by pH and nitrogen sources in submerged fermentation // J. Biosci. Bioeng. 2015. V. 120. P. 145‒154. https://doi.org/10.1016/j.jbiosc.2015.01.001
- Shi Y.C., Pan T.M. Beneficial effects of Monascus purpureus NTU 568-fermented products: a review // Appl. Microbiol. Biotechnol. 2011. V. 90. P. 1207–1217. https://doi.org/10.1007/s00253-011-3202-x
- Su N.W., Lin Y.L., Lee M.H., Ho C.Y. Ankaflavin from Monascus-fermented red rice exhibits selective cytotoxic effect and induces cell death on Hep G2 cells // J. Agric. Food Chem. 2005. V. 53. P. 1949–1954.
- Sun J.M., Kim S.J., Kim G.W., Rhee J.K., Kim N.D., Jung H., Jeun J., Lee S.H., Han S.H., Shin C.S., Oh J.W. Inhibition of hepatitis C virus replication by Monascus pigment derivatives that interfere with viral RNA polymerase activity and the mevalonate biosynthesis pathway // J. Antimicrob. Chemother. 2012. V. 67. P. 49 –58. https://doi.org/10.1093/jac/dkr432
- Tan H., Xing Z., Chen G., Tian X., Wu Z. Evaluating antitumor and antioxidant activities of yellow Monascus pigments from Monascus ruber fermentation // Molecules. 2018. V. 23. P. 3242. https://doi.org/10.3390/molecules23123242
- Tuli H.S., Chaudhary P., Beniwal V., Sharma A.K. Microbial pigments as natural color sources: current trends and future perspectives // J. Food Sci. Technol. 2015. V. 52. P. 4669–4678. https://doi.org/10.1007/s13197-014-1601-6
- Vendruscolo F., Bühler R.M.M., Carvalho J.C., Oliveira D., Moritz D.E., Schmidell W., Ninow J.L. Monascus: a reality on the production and application of microbial pigments // Appl. Biochem. Biotechnol. 2016. V. 178. P. 211–223. https://doi.org/10.1007/s12010-015-1880-z
- Venil C.K., Velmurugan P., Dufossé L., Devi P.R., Ravi A.V. Fungal pigments: potential coloring compounds for wide ranging applications in textile dyeing // J. Fungi. 2020. V. 6. P. 68. https://doi.org/10.3390/jof6020068
- Wong H.C., Koehler P.E. Production of water-soluble Monascus pigments // J. Food Sci. 1983. V. 48. P. 1200–1203. https://doi.org/10.1111/j.1365-2621.1983.tb09191.x
- Woo P.C., Lam C.W., Tam E.W.T., Lee K.C., Yung K.K.Y., Leung C.K.F., Sze K.H., Lau S.K.P., Yuen K.Y. The biosynthetic pathway for a thousand-year-old natural food colorant and citrinin in Penicillium marneffei // Sci. Rep. 2014. V. 4. P. 6728. https://doi.org/10.1038/srep06728
- Wu M.D., Cheng M.J., Yech Y.J., Chen Y.L., Chen K.P., Chen I.Sh., Yang P.Hs., Yuan G.F. Monasnicotinates A‒D, four new pyridine alkaloids from the fungal strain Monascus pilosus BCRC 38093 // Molecules. 2011. V. 16. P. 4719‒4727. https://doi.org/10.3390/molecules16064719
- Wu S., Liu L., Zhang X., Wang Z. Submerged culture of Penicillium sclerotiorum for production of rotiorin alkaloids by using biosynthetic and chemical catalytic cascade reactions // Proc. Biochem. 2021. V. 104. P. 10‒18.
- Zheng Y., Zhang Y., Chen D., Chen H., Lin L., Zheng C., Guo Y. Monascus pigment rubropunctatin: a potential dual agent for cancer chemotherapy and phototherapy // J. Agric. Food Chem. 2016. V. 64. P. 2541–2548. https://doi.org/10.1021/acs.jafc.5b05343
Supplementary files





