Структура и сезонная вариабельность микробных сообществ грунтовых вод города Москва
- Авторы: Груздев Е.В.1, Бегматов Ш.А.1, Белецкий А.В.1, Марданов А.В.1, Равин Н.В.1, Кадников В.В.1
-
Учреждения:
- Институт биоинженерии им. К.Г. Скрябина, ФИЦ Биотехнологии РАН
- Выпуск: Том 92, № 2 (2023)
- Страницы: 171-183
- Раздел: ЭКСПЕРИМЕНТАЛЬНЫЕ СТАТЬИ
- URL: https://bakhtiniada.ru/0026-3656/article/view/138159
- DOI: https://doi.org/10.31857/S0026365622600717
- EDN: https://elibrary.ru/AUIHZR
- ID: 138159
Цитировать
Полный текст
Аннотация
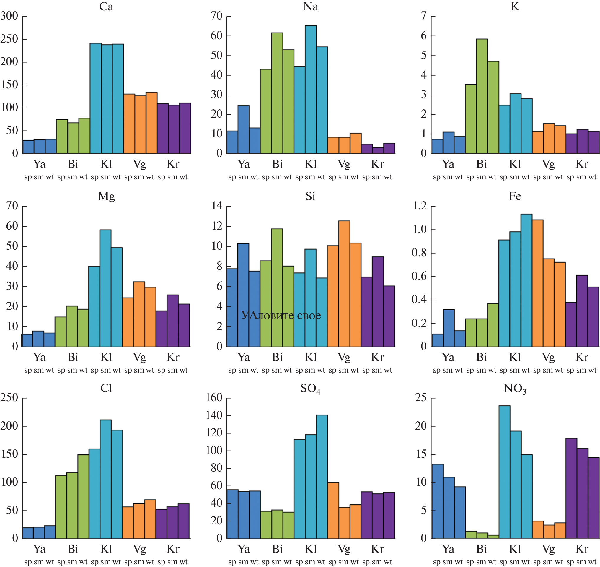
Важным экологически значимым элементом водной экосистемы, чувствительным к изменениям условий окружающей среды, являются подземные воды, выходящие на поверхность в виде родников. Связанное с урбанизацией антропогенное воздействие ведет к изменению характеристик грунтовых вод, что, в свою очередь, влияет на состав микробных сообществ вод родников. С помощью высокопроизводительного секвенирования фрагментов генов 16S рибосомной РНК мы охарактеризовали состав микробных сообществ пяти естественных родников на территории Москвы в весенний, летний и зимний сезоны. Микробные сообщества каждого из родников в разные сезоны были близки между собой и четко отличались от микробиомов других родников. Среди архей, составлявших в среднем около 20% микробных сообществ, преобладали аммоний-окисляющие Crenarchaeota, а также представители Nanoarchaeota. Большинство бактерий относилось к филумам Proteobacteria, Patescibacteria, Verrucomicrobiota, Chloroflexi и Bacteroidota. В родниках с предположительно более глубоким залеганием источника воды значительные доли в микробных сообществах составляли автотрофные бактерии, в том числе железоокисляющие бактерии семейства Gallionellaceae, нитрификаторы и метанотрофы. Химический и молекулярный анализы не выявили загрязнений вод родников токсичными веществами и нефтепродуктами, а также присутствия патогенных микроорганизмов и индикаторов фекального загрязнения. Однако в весенний сезон в микробиомах воды увеличивались доли галофильных и углеводород-окисляющих бактерий, что может отражать поступление в подземные воды после таяния снега антигололедных реагентов и нефтепродуктов, которые успешно биодеградируются в почве.
Об авторах
Е. В. Груздев
Институт биоинженерии им. К.Г. Скрябина, ФИЦ Биотехнологии РАН
Email: vkadnikov@bk.ru
Россия, 119071, Москва
Ш. А. Бегматов
Институт биоинженерии им. К.Г. Скрябина, ФИЦ Биотехнологии РАН
Email: vkadnikov@bk.ru
Россия, 119071, Москва
А. В. Белецкий
Институт биоинженерии им. К.Г. Скрябина, ФИЦ Биотехнологии РАН
Email: vkadnikov@bk.ru
Россия, 119071, Москва
А. В. Марданов
Институт биоинженерии им. К.Г. Скрябина, ФИЦ Биотехнологии РАН
Email: vkadnikov@bk.ru
Россия, 119071, Москва
Н. В. Равин
Институт биоинженерии им. К.Г. Скрябина, ФИЦ Биотехнологии РАН
Email: vkadnikov@bk.ru
Россия, 119071, Москва
В. В. Кадников
Институт биоинженерии им. К.Г. Скрябина, ФИЦ Биотехнологии РАН
Автор, ответственный за переписку.
Email: vkadnikov@bk.ru
Россия, 119071, Москва
Список литературы
- Ильинский В.В., Шадрина Н.А., Комарова Т.И. Гетеротрофные бактерии городских родников: Московский заповедник “Крылатские холмы” // Водные ресурсы. 2010. Т. 37. С. 494‒501.
- Akbari A., David C., Rahim A.A., Ghoshal S. Salt selected for hydrocarbon-degrading bacteria and enhanced hydrocarbon biodegradation in slurry bioreactors // Water. Res. 2021. V. 202. P. 117424.
- Bärenstrauch M., Vanhove A.S., Allégra S., Peuble S., Gallice F., Paran F., Lavastre V., Girardot F. Microbial diversity and geochemistry of groundwater impacted by steel slag leachates // Sci. Total. Environ. 2022. V. 843. P. 156987.
- Beam J.P., Becraft E.D., Brown J.M., Schulz F., Jarett J.K., Bezuidt O., Poulton N., Clark K., Dunfield P., Ravin N., Spear J., Hedlund B., Kormas K., Sievert S., Elshahed M., Barton H., Stott M., Eisen J., Moser D., Onstott T., Woyke T., Stepanauskas R. Ancestral absence of electron transport chains in Patescibacteria and DPANN // Front. Microbiol. 2020. V. 11. Art. 1848.
- Brown C.T., Hug L.A., Thomas B.C., Sharon I., Castelle C.J., Singh A., Wilkins M., Wrighton K., Williams K., Banfield J.F. Unusual biology across a group comprising more than 15% of domain Bacteria // Nature. 2015. V. 523. P. 208‒211.
- Cao H., Auguet J.C., Gu J.D. Global ecological pattern of ammonia-oxidizing archaea // PLoS One. 2013. V. 8. P. e52853.
- Chistoserdova L. Methylotrophy in a lake: from metagenomics to single-organism physiology // Appl. Environ. Microbiol. 2011. V. 77. P. 4705‒4711.
- David G.M., López-García P., Moreira D., Alric B., Deschamps P., Bertolino P., Restoux G., Rochelle-Newall E., Thébault E., Simon M., Jardillier L. Small freshwater ecosystems with dissimilar microbial communities exhibit similar temporal patterns // Mol. Ecol. 2021. V. 30. P. 2162‒2177.
- Dombrowski N., Lee J.H., Williams T.A., Offre P., Spang A. Genomic diversity, lifestyles and evolutionary origins of DPANN archaea // FEMS Microbiol. Lett. 2019. V. 366. P. fnz008.
- Edgar R.C. Search and clustering orders of magnitude faster than BLAST // Bioinformatics. 2010. V. 26. P. 2460–2461.
- Emerson D., Field E.K., Chertkov O., Davenport K.W., Goodwin L., Munk C., Nolan M., Woyke T. Comparative genomics of freshwater Fe-oxidizing bacteria: implications for physiology, ecology, and systematics // Front. Microbiol. 2013. V. 4. Art. 254.
- Emerson D., Fleming E.J., McBeth J.M. Iron-oxidizing bacteria: an environmental and genomic perspective // Annu. Rev. Microbiol. 2010. V. 64. P. 561‒583.
- Ettwig K.F., Butler M.K., Le Paslier D., Pelletier E., Mangenot S., Kuypers M.M., Schreiber F., Dutilh B.E., Zedelius J., de Beer D., Gloerich J., Wessels H.J.C.T., van Alen T., Luesken F., Wu M.L., van de Pas-Schoonen K.T., den Camp H.J.M.O., Janssen-Megens E.M., Francoijs K.-J., Stunnenberg H., Weissenbach J., Jetten M.S.M., Strous M. Nitrite-driven anaerobic methane oxidation by oxygenic bacteria // Nature. 2010. V. 464. P. 543‒548.
- Fakhrzadegan I., Hassanshahian M., Askari Hesni M., Saadatfar A. A study of crude oil-degrading bacteria from mangrove forests in the Persian Gulf // Mar. Ecol. 2019. V. 40. e12544.
- Finneran K.T., Johnsen C.V., Lovley D.R. Rhodoferax ferrireducens sp. nov., a psychrotolerant, facultatively anaerobic bacterium that oxidizes acetate with the reduction of Fe(III) // Int. J. Syst. Evol. Microbiol. 2003. V. 53. P. 669‒673.
- Frey B., Rime T., Phillips M., Stierli B., Hajdas I., Widmer F., Hartmann M. Microbial diversity in European alpine permafrost and active layers // FEMS Microbiol. Ecol. 2016. V. 92. fiw018.
- Govarthanan M., Khalifa A.Y., Kamala-Kannan S., Srinivasan P., Selvankumar T., Selvam K., Kim W. Significance of allochthonous brackish water Halomonas sp. on biodegradation of low and high molecular weight polycyclic aromatic hydrocarbons // Chemosphere. 2020. V. 243. Art. 125389.
- Grimm N.B., Foster D., Groffman P., Grove J.M., Hopkinson C.S., Nadelhoffer K.J., Pataki D.E., Peters D.P. The changing landscape: ecosystem responses to urbanization and pollution across climatic and societal gradients // Front. Ecol. Environ. 2008. V. 6. P. 264‒272.
- Harayama S., Kasai Y., Hara A. Microbial communities in oil-contaminated seawater // Curr. Opin. Biotechnol. 2004. V. 15. P. 205‒214.
- Haroon M.F., Hu S., Shi Y., Imelfort M., Keller J., Hugenholtz P., Yuan Z., Tyson G.W. Anaerobic oxidation of methane coupled to nitrate reduction in a novel archaeal lineage // Nature. 2013. V. 500. P. 567‒570.
- Herrmann M., Wegner C.E., Taubert M., Geesink P., Lehmann K., Yan L., Lehmann R., Totsche K.U. Küsel K. Predominance of Cand. Patescibacteria in groundwater is caused by their preferential mobilization from soils and flourishing under oligotrophic conditions // Front. Microbiol. 2019. V. 10. Art. 1407.
- Huang G., Liu C., Zhang Y., Chen Z. Groundwater is important for the geochemical cycling of phosphorus in rapidly urbanized areas: A case study in the Pearl River Delta // Environ. Pollut. 2020. V. 260. Art. 114079.
- Huu N.B., Nga V.H., Ha D.T.C. Survey of the petroleum hydrocarbon-degrading capacity of three bacteria strains isolated from the oil sludge in Vietnam // Academia J. Biol. 2003. V. 25. № 4. P. 62‒68.
- Ivanova A.A., Oshkin I.Y., Danilova O.V., Philippov D.A., Ravin N.V., Dedysh S.N. Rokubacteria in northern peatlands: habitat preferences and diversity patterns // Microorganisms. 2021. V. 10. Art. 11.
- Kato S., Krepski S., Chan C., Itoh T., Ohkuma M. Ferriphaselus amnicola gen. nov., sp. nov., a neutrophilic, stalk-forming, iron-oxidizing bacterium isolated from an iron-rich groundwater seep // Int. J. Syst. Evol. Microbiol. 2014. V. 64. P. 921‒925.
- Kato S., Ohkuma M., Powell D.H., Krepski S.T., Oshima K., Hattori M., Shapiro N., Woyke T., Chan C.S. Comparative genomic insights into ecophysiology of neutrophilic, microaerophilic iron oxidizing bacteria // Front. Microbiol. 2015. V. 6. Art. 1265.
- Kløve B., Allan A., Bertrand G., DruzynskaE., Ertürk A., Goldscheider N., Henry S., Karakaya N., Karjalainen T.P., Koundouri P., Kupfersberger H., Kvœrner J., Lundberg A., Muotka T., Preda E., Pulido-Velazquez M., Schipper P. Groundwater dependent ecosystems. Part II. Ecosystem services and management in Europe under risk of climate change and land use intensification // Environ. Sci. Policy. 2011. V. 14. P. 782‒793.
- Kolinko S., Richter M., Glöckner F.O., Brachmann A., Schüler D. Single-cell genomics of uncultivated deep-branching magnetotactic bacteria reveals a conserved set of magnetosome genes // Environ. Microbiol. 2016. V. 18. P. 21‒37.
- Kuroda K., Fukushi T. Groundwater contamination in urban areas // Groundwater Management in Asian Cities / Ed. Takizawa S. Tokyo: Springer, 2008. V. 2. P. 125‒149.
- Kuroda K., Yamamoto K., Nakai R., Hirakata Y., Kubota K., Nobu M.K., Narihiro T. Symbiosis between Candidatus Patescibacteria and Archaea discovered in wastewater-treating bioreactors // mBio. 2022. e01711-22.
- Lerner D.N. Groundwater recharge in urban areas // Atmos. Environ. 1990. V. 24. P. 29‒33.
- Leu A.O., Cai C., McIlroy S.J., Southam G., Orphan V.J., Yuan Z., Hu S., Tyson G.W. Anaerobic methane oxidation coupled to manganese reduction by members of the Methanoperedenaceae // ISME J. 2020. V. 14. P. 1030‒1041.
- Li F., Liu X., Zhang X., Zhao D., Liu H., Zhou C., Wang R. Urban ecological infrastructure: an integrated network for ecosystem services and sustainable urban systems // J. Clean. Prod. 2017. V. 163. P. S12‒S18.
- Magoč T., Salzberg S.L. FLASH: fast length adjustment of short reads to improve genome assemblies // Bioinformatics. 2011. V. 27. P. 2957‒2963.
- Martín S., Márquez M.C., Sánchez-Porro C., Mellado E., Arahal D.R., Ventosa A. Marinobacter lipolyticus sp. nov., a novel moderate halophile with lipolytic activity // Int. J. Syst. Evol. Microbiol. 2003. V. 53. P. 1383‒1387.
- McPhearson T., Pickett S.T., Grimm N.B., Niemelä J., Alberti M., Elmqvist T., Weber C., Haase D., Breuste J., Qureshi S. Advancing urban ecology toward a science of cities // Bioscience. 2016. V. 66. P. 198‒212.
- Mehrshad M., Rodriguez-Valera F., Amoozegar M.A., López-García P., Ghai R. The enigmatic SAR202 cluster up close: shedding light on a globally distributed dark ocean lineage involved in sulfur cycling // ISME J. 2018. V. 12. P. 655‒668.
- Nelson W.C., Stegen J.C. The reduced genomes of Parcubacteria (OD1) contain signatures of a symbiotic lifestyle // Front. Microbiol. 2015. V. 6. Art. 713.
- Orata F.D., Meier-Kolthoff J.P., Sauvageau D., Stein L.Y. Phylogenomic analysis of the gammaproteobacterial methanotrophs (order Methylococcales) calls for the reclassification of members at the genus and species levels // Front. Microbiol. 2018. V. 9. Art. 3162.
- Paul M., Wolf L., Fund K., Held I., Winter J., Eiswirth M., Gallert C., Hoetzl H. Microbiological condition of urban groundwater in the vicinity of leaky sewer systems // Acta Hydrochim. Hydrobiol. 2004. V. 32. P. 351‒360.
- Plummer J.D., Long S.C. Identifying sources of surface water pollution: A toolbox approach // J. Am. Water. Works. Assoc. 2009. V. 101. № 9. P. 75‒88.
- Powell K.L., Taylor R.G., Cronin A.A., Barrett M.H., Pedley S., Sellwood J., Trowsdale S.A., Lerner D.N. Microbial contamination of two urban sandstone aquifers in the UK // Water. Res. 2003. V. 37. P. 339‒352.
- Quast C., Pruesse E., Yilmaz P., Gerken J., Schweer T., Yarza P., Peplies J., Glöckner F.O. The SILVA ribosomal RNA gene database project: improved data processing and web-based tools // Nucleic Acids Res. 2013. V. 41 (Database issue). P. D590‒D596.
- Rezaei Somee M., Shavandi M., Dastgheib S.M.M., Amoozegar M.A. Bioremediation of oil-based drill cuttings by a halophilic consortium isolated from oil-contaminated saline soil // 3 Biotech. 2018. V. 8. Art. 229.
- Rognes T., Flouri T., Nichols B., Quince C., Mahé F. VSEARCH: a versatile open source tool for metagenomics // PeerJ. 2016. V. 4. e2584.
- Scharping R.J., Garey J.R. Relationship between aquifer biofilms and unattached microbial indicators of urban groundwater contamination // Mol. Ecol. 2021. V. 30. P. 324‒342.
- Sharp J.M. The impacts of urbanization on groundwater systems and recharge // Aqua Mundi. 2010. P. 51‒56. https://doi.org/10.4409/Am-004-10-0008
- Singer E., Webb E.A., Nelson W.C., Heidelberg J.F., Ivanova N., Pati A., Edwards K.J. Genomic potential of Marinobacter aquaeolei, a biogeochemical “opportunitroph” // Appl. Environ. Microbiol. 2011. V. 77. P. 2763‒2771.
- Sonthiphand P., Ruangroengkulrith S., Mhuantong W., Charoensawan V., Chotpantarat S., Boonkaewwan S. Metagenomic insights into microbial diversity in a groundwater basin impacted by a variety of anthropogenic activities // Environ. Sci. Pollut. Res. Int. 2019. V. 26. P. 26765‒26781.
- Stahl D.A., de la Torre J.R. Physiology and diversity of ammonia-oxidizing archaea // Annu. Rev. Microbiol. 2012. V. 66. P. 83‒101.
- Szekeres E., Chiriac C.M., Baricz A., Szőke-Nagy T., Lung I., Soran M.L., Rudi K., Dragos N., Coman C. Investigating antibiotics, antibiotic resistance genes, and microbial contaminants in groundwater in relation to the proximity of urban areas // Environ. Pollut. 2018. V. 236. P. 734‒744.
- Van Kessel M.A., Speth D.R., Albertsen M., Nielsen P.H., Op den Camp H.J., Kartal B., Jetten M.S.M., Lücker S. Complete nitrification by a single microorganism // Nature. 2015. V. 528. P. 555‒559.
- Yakimov M.M., Denaro R., Genovese M., Cappello S., D’Auria G., Chernikova T.N., Timmis K.N., Giluliano L. Natural microbial diversity in superficial sediments of Milazzo Harbor (Sicily) and community successions during microcosm enrichment with various hydrocarbons // Environ. Microbiol. 2005. V. 7. P. 1426‒1441.
- Yakimov M.M., Timmis K.N., Golyshin P.N. Obligate oil-degrading marine bacteria // Curr. Opin. Biotechnol. 2007. V. 18. P. 257‒266.
- Yin J., Chen J.C., Wu Q., Chen G.Q. Halophiles, coming stars for industrial biotechnology // Biotechnol. Adv. 2015. V. 33. P. 1433‒1442.
- Zanini A., Petrella E., Sanangelantoni A.M., Angelo L., Ventosi B., Viani L., Rizzo P., Remelli S., Bartoli M., Bolpagni R., Chelli A., Feo A., Francese R., Iacumin P., Menta C., Racchetti E., Selmo E.M., Tanda M.G., Ghirardi M., Boggio P., Pappalardo F., De Nardo M.T., Segadelli S., Celico F. Groundwater characterization from an ecological and human perspective: An interdisciplinary approach in the Functional Urban Area of Parma, Italy // Rend. Lincei. Sci. Fis. Nat. 2019. V. 30. P. 93‒108.
- Zare N., Bonakdarpour B., Amoozegar M.A., Shavandi M., Fallah N., Darabi S., Taromsary N.B. Using enriched water and soil-based indigenous halophilic consortia of an oilfield for the biological removal of organic pollutants in hypersaline produced water generated in the same oilfield // Process. Saf. Environ. Prot. 2019. V. 127. P. 151‒161.
- Zhou N., Keffer J.L., Polson S.W., Chan C.S. Unraveling Fe(II)-oxidizing mechanisms in a facultative Fe(II) oxidizer, Sideroxydans lithotrophicus strain ES-1, via culturing, transcriptomics, and reverse transcription-quantitative PCR // Appl. Environ. Microbiol. 2022. V. 88. e01595-21.
- Zhu W.Y., Yang L., Zhang Z.T.L., Mu C.G., Wang Y., Kou Y.R., Jiang G.Q., Yin M., Tang S.K. Oceanobacillus salinisoli sp. nov., a bacterium isolated from saline soil of Turpan city in Xinjiang province, north–west China // Arch. Microbiol. 2021. V. 203. P. 2919‒2924.
Дополнительные файлы








