Change of solution composition during it migration through the sedimentary cover in the center of the modern hydrothermal system (Juan de Fuca Ridge, Pacific Ocean, Hole ODP 858B)
- Authors: Kurnosov V.B.1, Konovalov Y.I.1, Okina O.I.1, Galin K.R.1
-
Affiliations:
- Geological Institute of the RAS
- Issue: No 2 (2024)
- Pages: 163-179
- Section: Articles
- URL: https://bakhtiniada.ru/0024-497X/article/view/259016
- DOI: https://doi.org/10.31857/S0024497X24020021
- EDN: https://elibrary.ru/zbzuks
- ID: 259016
Cite item
Full Text
Abstract
The article presents the results of studying the change of the composition of the hydrothermal solution during its migration through the Pleistocene sediments from the Hole ODP 858B 38.6 m deep, which was drilled in the northern segment of the Middle Valley of the Juan de Fuca Ridge, in the Dead Dog hydrothermal field, in 20 m from the hydrothermal source with temperature 276°C. The influence of sediments of the Units I, IIB, IID from this hole on the change in the composition of the solution during the solution-sediment interaction has been established. The greatest influence on the composition of the solution occurred during its interaction with the sediments of the Units IIB and IID under high-temperature conditions (200–350°C), which is expressed in the enrichment of the solution with a large amount of chemical elements. A possible change in the composition of the solution is shown in the process of solution-sediment interaction during its migration through the entire sedimentary cover with a thickness of 250–300 m.
Full Text
Срединно-океанические хребты находятся на большом расстоянии от континентов, которые являются основными источниками осадочного материала. Осевые зоны этих хребтов не перекрыты осадочным чехлом и горячие растворы разгружаются на дне, которое сложено базальтами. Напротив, океанические хребты, расположенные вблизи континентов, перекрыты четвертичными осадками мощностью в сотни метров. В них, в центрах спрединга, конвективные гидротермальные системы охватывают как кристаллический фундамент, так и осадочный покров, в котором в процессе взаимодействия вода–порода, происходит изменение вещественного состава осадков и химического состава растворов. Наиболее интенсивно этот процесс проявлен на участках осадочного покрова, расположенных рядом с гидротермальными источниками, в зонах подъема горячих растворов с последующей их разгрузкой на дне в виде “черных курильщиков”.
Способ определения влияния осадочного покрова на изменение состава гидротермальных рудообразующих растворов, мигрирующих через него в зоне подъема горячего раствора и разгружающегося на дне в виде “черного курильщика”, был предложен Ю. А. Богдановым с соавторами [Богданов, Сагалевич, 2002; Богданов и др., 2006]. Это влияние было ими определено по разнице между составом гидротермального источника на 27° с. ш. Восточно-Тихоокеанского поднятия (ВТП) в южном троге впадины Гуаймас Калифорнийского залива, заполненного плейстоценовыми осадками мощностью около 600 м, и составом гидротермального источника на 21° с. ш. ВТП, где нет осадочного чехла. Предложенный способ основан на допущении, что состав раствора, поступающего из базальтового фундамента в осадочный покров в южном троге впадины Гуаймас, и химический состав раствора гидротермального источника на 21° с. ш. ВТП схожи. Этот способ не точен. В то же время, возможная ошибка будет систематической при оценке изменения химического состава гидротермального раствора при его прохождении через весь осадочный покров в гидротермальных системах разных хребтов северо-восточной части Тихого океана, что позволит проводить сравнение изменения в них состава раствора, прошедшего через осадочный покров, с использованием единого репера.
Исследование с использованием химического состава гидротермального источника на 21° с.ш. ВТП было проведено на фланге гидротермальной системы также в южном троге впадины Гуаймас Калифорнийского залива, где пробурена скв. DSDP 477/477А глубиной 272 м [Блинова, Курносов, 2015; Курносов, Блинова, 2015], которая находится на значительном расстоянии от гидротермального источника, примерно в 300 м от него [Богданов и др., 2006]. В этой скважине высокотемпературная зона с температурой около 300°C установлена в интервале 184–272 м [Currey et al., 1982; Kelts, 1982; Блинова, Курносов, 2015].
Таким образом, в первом случае [Богданов, Сагалевич, 2002; Богданов и др., 2006] есть гидротермальный источник, но нет рядом скважины, а во втором случае [Блинова, Курносов, 2015; Курносов, Блинова, 2015], напротив, есть глубоководная скважина, но нет рядом гидротермального источника. Для полного комплексного исследования необходим объект, на котором есть и “черный курильщик”, и скважина, пробуренная около него.
Такому условию удовлетворяет район в Срединной Долине хребта Хуан де Фука с осадочным покровом мощностью 250–300 м, где на гидротермальном поле “Dead Dog” впервые в океане рядом с гидротермальным источником пробурена скв. ODP 858В. Она расположена в 20 м от источника с температурой 276°C [Currey et al., 1982].
На сегодняшний день на объекте, на котором глубоководная скважина пробурена рядом с “черным курильщиком”, изменение состава рудообразующих растворов при их прохождении через осадочный покров и в процессе взаимодействия раствора с осадками, находящимися в непосредственной близости от канала подъема горячего флюида с последующей разгрузкой на дне, не изучена. Оценка привноса/выноса химических элементов дана лишь для одного образца на весь 38-метровый разрез осадков (скв. ODP 858В) [Goodfellow, Peter, 1994]. Кроме того, количество вовлеченных в изучение микроэлементов было ограничено возможностями того времени метода рентгено-флюоресцентного анализа, редкоземельные элементы не были изучены.
Статья посвящена оценке изменения химического состава раствора в процессе его взаимодействия с осадками при его прохождении через осадочный покров в центре спрединга, в осадках непосредственно прилегающих к каналу подъема гидротермального флюида в гидротермальной системе, расположенной в северном сегменте Срединной Долины хребта Хуан де Фука, где на гидротермальном поле “Dead Dog” рядом находятся “черный курильщик” с температурой 276°C и скв. ODP 858В глубиной 38.6 м, пробуренной в плейстоценовых осадках.
Основные задачи, на решение которых направлена статья.
- Определить возможное изменение химического состава гидротермального раствора при его прохождении через весь осадочный покров мощностью 250–300 м по разнице химического состава гидротермального источника, находящегося рядом со скв. ODP 858В на гидротермальном поле “Dead Dog”, и химического состава гидротермального источника на 21° с. ш. ВТП, где нет осадочного чехла.
- Установить изменение средних содержаний химических элементов в гидротермально измененных осадках в Толщах I, IIB и IID и оценить влияние каждой из них на заключительном этапе изменения состава раствора при его прохождении в верхней части разреза осадочного покрова, пробуренного скважиной ODP 858В на глубину 38.6 м.
МЕТОДЫ ИССЛЕДОВАНИЯ
Содержание макроэлементов в плейстоценовых осадках из скв. ODP 858В, пробуренной рядом с гидротермальным источником, а также в неизмененных осадках из скважин ODP 855А, С, D, определено рентгено-флюоресцентным методом (РФА) в лаборатории химико-аналитических исследований в Геологическом институте РАН. Содержание в осадках микроэлементов, включая редкоземельные элементы (РЗЭ), определено методом масс-спектрометрии с индуктивно-связанной плазмой (ИСП МС) в лаборатории ядерно-физических и масс-спектральных методов анализа в Институте проблем технологии микроэлектроники и особочистых материалов РАН.
Просмотр петрографических шлифов проведен в оптическом микроскопе BIOptic-100.
Гранулометрический анализ: пелитовые фракции (<0.001 мм и 0.01–0.001 мм) были выделены из осадков методом отмучивания в стеклянных цилиндрах; фракция <0.001 мм – слив верхних 7 см суспензии через каждые 24 часа; фракция 0.01–0.001 мм – слив верхних 10 см суспензии через каждые 20 мин; фракции алевритовые (0.05–0.01 мм и 0.1–0.05 мм), песчаные (0.25– 0.1 мм, 0.5–0.25 мм, 1–0.5 мм), а также фракция размерностью >1 мм, получены ситованием остатков образца после полного выделения из него пелитовых фракций.
ОБЪЕКТЫ ИССЛЕДОВАНИЯ
Срединная Долина хребта Хуан де Фука (рис. 1а) является тектономагматической структурой среднескоростного спрединга (58 мм/год) [Davis et al., 1992; Davis, Villinger, 1992]. В ней расположено гидротермальное поле “Dead Dog” размером 800 × 400 м с высоким тепловым потоком (до 835 мВт/м2) и с 15 гидротермальными металлоносными источниками на дне с температурой от 268 до 276°C [Davis, Villinger, 1992]. В районе гидротермального поля в Срединной Долине накопилось 250–300 м плейстоценовых гемипелагических осадков с редкими прослоями дистальных турбидитов [Davis et al., 1992]. На этом гидротермальном поле в 20 м от гидротермального источника с температурой 276°C расположена скв. ODP 858B (см. рис. 1б), пробуренная в осадочном покрове до глубины 38.6 м (рис. 2). Эта скважина первая, пробуренная в океане в непосредственной близости от “черного курильщика”. В ней на глубине 19.5 м замерена температура 197°C [Davis et al., 1992] и установлен высокий температурный градиент 10°C/м [Buatier et al., 1994; Frü-Green et al., 1994].
Рис. 1. Структурно-тектоническая схема Срединной Долины хребта Хуан де Фука в северо-восточной части Тихого океана [Davis et al., 1992], стрелки показывают направление движения плит (а) и расположение скважин ODP 858A, B, C, D, F, G, гидротермальных источников и гидротермальных холмов в районе гидротермального поля “Dead Dog” [Davis et al., 1992] (б).
1 – ODP скважины, 2 – гидротермальные источники, 3 – акустический край гидротермального поля, 4 – границы гидротермальных отложений
Скважины ODP 855А, C, D расположены у подножия восточного борта Срединной Долины в районе с низким тепловым потоком. Эти скважины пробурены в неизмененных фоновых осадках с поровой холодной морской водой [Davis et al., 1992].
Осадки из скважин, которые были пробурены в рейсе 139 ODP, участники рейса разделили на Толщи I, IIA, IIB, IIC, IID, III, IV [Davis et al., 1992]. Их состав определен во время рейса при визуальном описании керна и при изучении в оптическом микроскопе. Осадки из скв. ODP 858В они разделили на Толщи I, IIB, IID, III, IV (см. рис. 2).
Рис. 2. Литологическая колонка скважины 858В с расположением образцов.
1 – металлоносные осадки; 2 – сульфиды; 3 – алевритоглинистые гемипелагические осадки
Толща I (1.97–10.41 м и 12.70–25.31 м) – неизмененные осадки, состоящие из глины, алеврита, песчанистого алеврита, редких тонких прослоев алевритовых тонкозернистых песков (дистальные турбидиты), содержат слюду, амфиболы, циркон, в небольших количествах локально присутствуют пирит, кальцит, глауконит, непрозрачные рудные минералы и биогенные компоненты (фораминиферы, диатомеи, радиолярии, наннофоссилии).
Толща IIB (25.31–31.83 м) – брекчированные гемипелагические аргиллиты с редкими прослоями дистальных тонкозернистых турбидитов. В осадочных породах встречены ангидрит и карбонаты, локальные концентрации сульфидов (около 2% объема осадка).
Толща IID (31.83–38.60 м) – окремненные, гидротермально измененные аргиллиты и алевролиты, содержат рассеянный пирит (до 5%), примесь кварца, полевых шпатов, слюды, цеолита, жилки ангидрита. Небольшие редкие пустоты заполнены ангидритом. Локально встречается примесь сфалерита, цоизита, эпидота.
Толща III (0–1.97 м) перекрывает Толщу I и состоит из металлоносных глинистых осадков, сформированных около гидротермального источника. Возможно, эти осадки представляют смесь измененных теплых гемипелагических осадков с металлоносными образованиями, и сформировались в результате взаимодействия гидротермального флюида “черного курильщика” с морской водой. Нижний контакт Толщи III с Толщей I резкий.
Сульфидная Толща IV (10.41–12.70 м) находится внутри Толщи I.
В данной статье для решения задачи 2 были изучены Толщи I, IIB, IID.
РЕЗУЛЬТАТЫ ИССЛЕДОВАНИЯ
В статье приняты условные границы интенсивности изменения (увеличение или уменьшение) содержания химических элементов в гидротермально измененных осадках и в измененном растворе по сравнению с их содержаниями в неизмененных фоновых осадках и в растворе гидротермального источника: слабая (меньше, чем в 2 раза), средняя (в 2–4 раза), сильная (больше чем в 4 раза).
Измененный состав раствора, прошедший через осадочный покров
Для определения возможного изменения состава раствора, прошедшего через осадочный покров, были использованы результаты изучения состава гидротермального источника на 21° с. ш. ВТП [Von Damm et al., 1985; Гурвич, 1998] и гидротермального источника, расположенного в 20 м от скв. ODP 858В на гидротермальном поле “Dead Dog” в Срединной Долине хребта Хуан де Фука [Butterfield et al., 1994], а также состава источника на гидротермальном поле ASHES на хребте Хуан де Фука [Rona, Trivett, 1992] (табл. 1).
Таблица 1. Средний состав гидротермальных источников, расположенных рядом со скважиной 858В, хребет Хуан де Фука, гидротермальное поле “Dead Dog” (1) и на 21° с. ш. Восточно-Тихоокеанского поднятия (2)
Гидротермальные источники | (1) Температура 276°C | (2) Температура 273–355°C |
Элемент | ||
Br | 86 мг/кг | 69 мг/кг |
B | 19 мг/кг | 5.6 мг/кг |
Li | 3.85 мг/кг | 6.9 мг/кг |
Rb | 2.7 мг/кг | 2.5 мг/кг |
Sr | 23 мг/кг | 7.3 мг/кг |
Ba | 2.1 мг/кг | 7.9 мг/кг |
Cu | 0.06 мг/кг | 1.45 мг/кг |
Zn | 0.08 мг/кг | 5.3 мг/кг |
Mn | 3.5 мг/кг | 51 мг/кг |
Fe | 0.84 мг/кг | 88 мг/кг |
Si | 284 мг/кг | 510 мг/кг |
Na | 9 г/кг | 10.5 г/кг |
K | 0.73 г/кг | 0.95 г/кг |
Mg | 0 г/кг | 0 г/кг |
Ca | 3,2 г/кг | 0.69 г/кг |
Pb | 23 мкг/кг | 56 мкг/кг |
La | 207 нг/кг | |
Ce | *621 нг/кг | 354 нг/кг |
Nd | *314 нг/кг | 220 нг/кг |
Sm | *65 нг/кг | 47 нг/кг |
Eu | *213 нг/кг | 395 нг/кг |
Gd | *73 нг/кг | 36 нг/кг |
Dy | *46 нг/кг | 25 нг/кг |
Er | *21 нг/кг | 8.6 нг/кг |
Yb | *16 нг/кг | 5.8 нг/кг |
Lu | 0.88 нг/кг |
Примечание. * – Гидротермальный источник с температурой 283–328°C, хребет Хуан де Фука (ASHES).
В гидротермальном источнике на гидротермальном поле “Dead Dog”, который расположен в 20 м от скв. ODP 858В, после того как раствор прошел через осадочный покров мощностью 250–300 м, произошло в разной степени изменение концентраций химических элементов по сравнению с их содержанием в гидротермальном источнике на 21° с. ш. ВТП, где нет осадочного чехла (табл. 2, рис. 3). В нем сильно уменьшилось содержание Fe, Mn, Cu, Zn, уменьшилась также концентрация Ba, Pb, но в меньшей степени (средней интенсивности изменения содержания химических элементов). Установлено небольшое уменьшение содержания Si, Li, а также слабое уменьшение содержания K. Раствор сильно обогатился Ca и в меньшей степени Sr (на среднем уровне интенсивности изменения содержания химических элементов). В растворе слабо увеличилось содержание Br. Без изменения в нем осталось содержание Mg, Na, Rb.
Таблица 2. Средние содержания макроэлементов и микроэлементов в гидротермальных источниках и в осадках из скважин 858В и 855A, C, D, Срединная Долина, хребет Хуан де Фука
Элемент | Si | Fe | Mn | Mg | Ca | Na | K | Br | Li | Cu | Zn | Rb | Sr | Ba | Pb | ||
мг/кг | г/кг | мг/кг | |||||||||||||||
Гидротермальные источники рядом со скв. 858В, хребет Хуан де Фука | |||||||||||||||||
284 | 0.84 | 3,5 | 0 | 3.2 | 9 | 0.73 | 86 | 3.85 | 0.06 | 0.08 | 2.7 | 23 | 2.1 | 23 | |||
Репер: Гидротермальные источники на 21° с. ш. ВТП | |||||||||||||||||
510 | 88 | 51 | 0 | 0.69 | 10.5 | 0.95 | 69 | 6.9 | 1.45 | 5.3 | 2.5 | 7.3 | 7.9 | 56 | |||
Образец | Скважина | Толща | Si | Fe | Mn | Mg | Ca | Na | K | Br | Li | Cu | Zn | Rb | Sr | Ba | Pb |
% | мкг/г | ||||||||||||||||
2182 | 858B | I верхняя часть | 25.51 | 4.78 | 0.08 | 3.88 | 2.71 | 2.05 | 2.10 | 39.0 | 39.4 | 144 | 141 | 54.9 | 176 | 668 | 19.6 |
ZT-46A | 21.60 | 3.47 | 0.09 | 4.89 | 5.41 | 1.94 | 1.59 | 20.5 | 27.8 | 36.2 | 92.8 | 62.9 | 149 | 552 | 10.6 | ||
Среднее содержание | 23.56 | 4.12 | 0.09 | 4.39 | 4.06 | 2.00 | 1.85 | 29.8 | 33.6 | 90.1 | 117 | 58.9 | 162 | 610 | 15.1 | ||
Реперы: | |||||||||||||||||
2859 | 855A | I | 24.22 | 6.05 | 0.11 | 2.55 | 2.96 | 3.00 | 1.98 | 52.3 | 53.2 | 65.7 | 140 | 52.7 | 297 | 735 | 12.8 |
2862 | 855C | I | 26.82 | 5.37 | 0.09 | 2.43 | 2.56 | 2.91 | 1.60 | 24.9 | 37.1 | 49.4 | 94.4 | 52.6 | 283 | 538 | 9.1 |
Среднее содержание | 25.52 | 5.71 | 0.10 | 2.49 | 2.76 | 2.96 | 1.79 | 38.6 | 45.2 | 57.6 | 117 | 52.7 | 290 | 636 | 11.0 | ||
2951 | 858B | I нижняя часть | 29.46 | 4.68 | 0.50 | 2.81 | 0.50 | 1.97 | 0.95 | 8.0 | 32.1 | 50.8 | 115 | 62.5 | 130 | 1071 | 17.0 |
2952 | 31.08 | 4.34 | 0.05 | 2.96 | 0.73 | 1.60 | 1.12 | 9.0 | 34.7 | 101.3 | 128 | 47.4 | 78 | 246 | 19.2 | ||
2184 | 28.16 | 4.46 | 0.07 | 4.49 | 0.82 | 2.32 | 1.50 | 34.0 | 31.3 | 50.6 | 280 | 55.6 | 80 | 296 | 10.0 | ||
Среднее содержание | 29.57 | 4.49 | 0.21 | 3.42 | 0.68 | 1.96 | 1.19 | 17.0 | 32.70 | 67.6 | 174 | 55.20 | 96 | 537 | 15.4 | ||
Реперы: | |||||||||||||||||
2859 | 855A | I | 24.22 | 6.05 | 0.11 | 2.55 | 2.96 | 3.00 | 1.98 | 52.3 | 53.2 | 65.7 | 140 | 52.7 | 297 | 735 | 12.8 |
2868 | 855D | I | 25.94 | 5.36 | 0.09 | 2.99 | 2.65 | 2.42 | 1.97 | 19.1 | 50.9 | 45.1 | 114 | 68.3 | 264 | 521 | 12.0 |
Среднее содержание | 25.08 | 5.70 | 0.10 | 2.77 | 2.80 | 2.71 | 1.98 | 35.7 | 52.0 | 55.4 | 127 | 60.5 | 281 | 628 | 12.4 | ||
2185 | 858B | IIB | 20.28 | 3.79 | 0.16 | 16.71 | 0.94 | 1.01 | 0.07 | 30.0 | 20.2 | 4.6 | 73.6 | 2.5 | 33 | 12 | 2.6 |
2186 | 19.25 | 3.58 | 0.17 | 18.79 | 0.96 | 0.82 | 0.07 | 37.0 | 40.4 | 7.9 | 52.7 | 1.7 | 31 | 29 | 5.0 | ||
Среднее содержание | 19.77 | 3.68 | 0.16 | 17.75 | 0.95 | 0.9 | 0.07 | 33.5 | 30.3 | 6.2 | 63.2 | 2.1 | 32 | 20 | 3.8 | ||
Реперы: | |||||||||||||||||
2864 | 855C | 26.77 | 5.30 | 0.08 | 2.50 | 2.43 | 2.51 | 1.83 | 19.1 | 47.3 | 46.4 | 104 | 42.6 | 225 | 420 | 10.1 | |
2868 | 855D | 25.94 | 5.36 | 0.09 | 2.99 | 2.65 | 2.42 | 1.97 | 19.1 | 50.9 | 45.1 | 114 | 68.3 | 264 | 521 | 12.0 | |
Среднее содержание | 26.36 | 5.33 | 0.09 | 2.74 | 2.54 | 2.45 | 1.9 | 19.1 | 49.1 | 45.8 | 109 | 55.4 | 245 | 470 | 11 | ||
2955 | 858B | IID | 34.61 | 3.44 | 0.05 | 6.00 | 0.17 | 0.19 | 0.05 | 6.1 | 17.6 | 2.4 | 47.5 | 1.3 | 6.7 | 20.8 | 0.43 |
Реперы: | |||||||||||||||||
2863 | 855C | I | 26.85 | 4.82 | 0.09 | 2.20 | 3.19 | 3.04 | 1.62 | 27.7 | 38.7 | 42.8 | 103 | 52.1 | 327 | 625 | 10.3 |
2866 | 855D | I | 27.04 | 5.26 | 0.07 | 2.44 | 2.54 | 2.69 | 1.61 | 17.6 | 38.3 | 39.9 | 105 | 39.7 | 244 | 418 | 11.1 |
Среднее содержание | 26.94 | 5.04 | 0.08 | 2.32 | 2.86 | 2.86 | 1.61 | 22.7 | 38.5 | 41.4 | 104 | 45.9 | 286 | 522 | 10.7 | ||
Рис. 3. Спайдерграммы. Средние содержания петрогенных элементов и микроэлементов в гидротермально измененных осадках из скважины 858В, нормированные по среднему составу неизмененных осадков из скважин 855A, C, D, и средний состав гидротермального источника, расположенного рядом со скважиной 858В, нормированного по среднему составу гидротермальных источников на 21° с. ш. ВТП.
1–4 – осадки из скважины 858В: 1 – Толща I (верхняя часть), 2 – Толща I (нижняя часть), 3 – Толща IIB, 4 – Толща IID; 5 – гидротермальный источник
Сильных изменений в концентрациях РЗЭ в растворе не произошло. В растворе на среднем уровне интенсивности изменения содержания химических элементов увеличились содержания Gd, Dy, Er, Yb. Слабо увеличились концентрации Ce, Nd, Sm, содержание Eu слабо уменьшилось (табл. 3, рис. 4).
Таблица 3. Средние содержания редкоземельных элементов в гидротермальных источниках и в осадках из скважин 858В и 855A, C, D, океанический хребет Хуан де Фука
Элемент, нг/кг | La | Ce | Pr | Nd | Sm | Eu | Gd | Tb | Dy | Ho | Er | Tm | Yb | Lu | ||
Гидротермальные источники хребет Хуан де Фука (ASHES) | ||||||||||||||||
621 | 314 | 65 | 213 | 73 | 46 | 21 | 16 | |||||||||
Репер: Гидротермальные источники на 21° с. ш. ВТП | ||||||||||||||||
354 | 220 | 47 | 395 | 36 | 25 | 8.6 | 5.8 | 0.88 | ||||||||
Элемент, мкг/г | La | Ce | Pr | Nd | Sm | Eu | Gd | Tb | Dy | Ho | Er | Tm | Yb | Lu | ||
Образец | Скважина | Толща | ||||||||||||||
2182 | 858B | I верхняя часть | 21.50 | 46.20 | 5.00 | 20.20 | 4.30 | 1.00 | 4.00 | 0.60 | 3.50 | 0.70 | 2.10 | 0.30 | 2.10 | 0.33 |
ZT-46A | 19.20 | 37.20 | 4.40 | 18.40 | 4.10 | 1.40 | 4.20 | 0.64 | 3.90 | 0.84 | 2.10 | 0.31 | 1.90 | 0.29 | ||
Среднее содержание | 20.40 | 41.70 | 4.70 | 19.30 | 4.20 | 2.20 | 4.10 | 0.62 | 3.70 | 0.77 | 2.10 | 0.30 | 2.00 | 0.31 | ||
Реперы для 2182, ZT-46A | ||||||||||||||||
2859 | 855A | I | 15.30 | 30.90 | 3.80 | 15.70 | 3.60 | 0.90 | 3.50 | 0.60 | 3.20 | 0.70 | 1.90 | 0.30 | 1.90 | 0.28 |
2862 | 855C | I | 16.87 | 37.51 | 4.60 | 19.51 | 4.56 | 1.25 | 4.49 | 0.73 | 4.36 | 0.90 | 2.76 | 0.38 | 2.53 | 0.40 |
Среднее содержание | 16.10 | 34.20 | 4.20 | 17.60 | 4.10 | 1.05 | 4.00 | 0.66 | 3.80 | 0.80 | 2.40 | 0.35 | 2.20 | 0.34 | ||
2951 | 858B | I нижняя часть | 15.00 | 30.90 | 3.60 | 13.00 | 2.50 | 0.40 | 2.10 | 0.30 | 1.70 | 0.40 | 1.10 | 0.20 | 1.20 | 0.18 |
2952 | 10.70 | 21.70 | 2.60 | 9.80 | 2.30 | 0.37 | 2.00 | 0.32 | 1.90 | 0.41 | 1.10 | 0.18 | 1.20 | 0.19 | ||
2184 | 9.50 | 23.90 | 2.80 | 11.40 | 2.70 | 0.30 | 2.60 | 0.40 | 2.40 | 0.50 | 1.60 | 0.20 | 1.60 | 0.25 | ||
Среднее содержание | 11.70 | 25.50 | 3.00 | 11.40 | 2.50 | 0.37 | 2.20 | 0.34 | 2.00 | 0.44 | 1.27 | 0.20 | 1.33 | 0.21 | ||
Реперы для 2951, 2952,2184 | ||||||||||||||||
2859 | 855A | I | 15.30 | 30.90 | 3.80 | 15.70 | 3.60 | 0.90 | 3.50 | 0.60 | 3.20 | 0.70 | 1.90 | 0.30 | 1.90 | 0.28 |
2868 | 855D | I | 18.10 | 37.60 | 4.60 | 18.30 | 4.10 | 1.00 | 4.00 | 0.60 | 3.60 | 0.70 | 2.20 | 0.30 | 2.10 | 0.32 |
Среднее содержание | 16.70 | 34.25 | 4.40 | 17.00 | 3.80 | 1.00 | 3.60 | 0.60 | 3.40 | 0.70 | 2.00 | 0.30 | 2.00 | 0.30 | ||
2185 | 858B | IIB | 15.90 | 42.40 | 4.90 | 19.60 | 4.00 | 0.08 | 3.20 | 0.49 | 2.70 | 0.55 | 1.50 | 0.23 | 1.50 | 0.22 |
2186 | 24.60 | 54.30 | 6.10 | 23.30 | 4.50 | 0.10 | 4.10 | 0.60 | 3.40 | 0.70 | 2.10 | 0.30 | 2.00 | 0.28 | ||
Среднее содержание | 20.20 | 48.40 | 5.50 | 21.40 | 4.20 | 0.10 | 3.60 | 0.54 | 3.00 | 0.62 | 1.80 | 0.20 | 1.80 | 0.25 | ||
Реперы для 2185, 2186 | ||||||||||||||||
2864 | 855C | I | 17.00 | 34.90 | 4.30 | 18.10 | 4.10 | 1.00 | 4.00 | 0.60 | 3.60 | 0.80 | 2.20 | 0.30 | 2.20 | 0.34 |
2868 | 855D | I | 18.10 | 37.60 | 4.60 | 18.30 | 4.10 | 1.00 | 4.00 | 0.60 | 3.60 | 0.70 | 2.20 | 0.30 | 2.10 | 0.32 |
Среднее содержание | 17.60 | 36.20 | 4.40 | 18.20 | 4.10 | 1.00 | 4.00 | 0.60 | 3.60 | 0.80 | 2.20 | 0.30 | 2.20 | 0.33 | ||
2955 | 858B | IID | 3.10 | 11.60 | 1.80 | 8.00 | 2.00 | 0.06 | 1.80 | 0.29 | 1.80 | 0.37 | 0.98 | 0.15 | 0.89 | 0.13 |
Реперы для 2955 | ||||||||||||||||
2863 | 855C | I | 17.10 | 34.20 | 4.30 | 17.60 | 3.90 | 1.00 | 3.70 | 0.60 | 3.30 | 0.70 | 2.10 | 0.30 | 2.00 | 0.29 |
2866 | 855D | I | 16.00 | 34.60 | 4.20 | 17.40 | 3.90 | 1.00 | 3.90 | 0.60 | 3.60 | 0.70 | 2.20 | 0.30 | 2.10 | 0.32 |
Среднее содержание | 16.60 | 34.40 | 4.20 | 17.50 | 3.90 | 1.00 | 3.80 | 0.60 | 3.40 | 0.70 | 2.20 | 0.30 | 2.00 | 0.30 | ||
Рис. 4. Спайдерграммы. Средние содержания редкоземельных элементов в гидротермально измененных осадках из скважины 858В, нормированные по среднему составу неизмененных осадков из скважин 855A, C, D, и средний состав гидротермального источника, расположенного рядом со скважиной 858В, нормированный по среднему составу гидротермальных источников на 21° с. ш. ВТП.
1–4 – осадки из скважины 858В: 1 – Толща I (верхняя часть), 2 – Толща I (нижняя часть), 3 – Толща IIB, 4 – Толща IID; 5 – гидротермальный источник
Изменения в осадках Толщ I, IIB и IID средних содержаний химических элементов, концентрации которых определялись и в гидротермальных источниках
К этим химическим элементам относятся Si, Fe, Mn, Mg, Ca, Na, K, Br, Li, Cu, Zn, Rb, Sr, Ba, Pb, РЗЭ (см. рис. 3, 4).
В осадках верхней части Толщи I, расположенных в интервале 1.97–10.41 м в скв. ODP 858В (см. рис. 2), в целом средние содержания химических элементов изменены слабо. Слабо увеличилась в них концентрация Mg, Ca, Cu, Pb и слабо уменьшилось содержание Fe, Na, Br, Li, Sr (см. рис. 3). Без изменения остались концентрации Si, Mn, K, Zn, Rb, Ba (см. рис. 3). Концентрации РЗЭ остались без изменения (см. рис. 4).
Таким образом, в осадках верхней части Толщи I появились только начальные признаки перераспределения химических элементов в системе взаимодействия вода–порода, которые выражены в слабом увеличении в них средних содержаний Mg, Ca, Cu, Pb, Eu и слабом уменьшении средних содержаний Fe, Na, Br, Li, Sr.
В осадках нижней части Толщи I, в интервале 12.70–25.31 м, изменение средних содержаний химических элементов проявлено немного лучше, чем в осадках верхней части Толщи I, но для большинства элементов осталось также слабым.
В них слабо увеличилась концентрация Si, Mn, Mg, Cu, Zn, Pb и слабо уменьшилось содержание Fe, Na, K, Br, Li, без изменения осталось меньшее количество элементов, только Rb и Ba (см. рис. 3, 4). На уровне средней интенсивности изменения содержания химических элементов уменьшилась концентрация Ca и Sr (см. рис. 3).
Концентрации РЗЭ слабо сократились, кроме содержания Eu, которое уменьшилось на среднем уровне интенсивности изменения химических элементов (см. рис. 4).
В осадках Толщи IIB, в интервале 25.31–31.83 м, сильно увеличилось содержание Mg и сильно уменьшилось содержание K, Cu, Rb, Sr, Ba, на уровне средней интенсивности изменения содержания химических элементов в них сократилось содержание Ca, Na, Pb (см. рис. 3).
В этих осадках слабо увеличилось содержание Mn, Br и слабо уменьшилась концентрация Si, Li, Zn. Не осталось неподвижных элементов в осадках Толщи IIB среди рассмотренных макроэлементов и микроэлементов (см. рис. 3).
Концентрации РЗЭ остались без изменения, кроме Eu, содержание которого сильно уменьшилось (см. рис. 4).
В осадках Толщи IID, в интервале 25.31– 31.83 м произошло еще более сильное изменение химического состава, которое в основном проявилось в уменьшении концентраций химических элементов.
Сильно уменьшилось содержание Ca, Na, K, Cu, Rb, Sr, Ba, Pb. Следует отметить, что в осадках Толщи IID количество элементов, концентрация которых сильно сократилась, заметно больше, чем в осадках Толщи IIB. В осадках Толщ IID и IIB одинаково сильно уменьшилось содержание только K, Cu, Rb, Sr, Ba (см. рис. 3). В осадках Толщи IID в меньшей степени (на уровне средней интенсивности изменения содержания химических элементов) произошло уменьшение содержания Br (см. рис. 3).
Содержание Fe, Mn, Li, Zn слабо уменьшилось, неподвижных элементов, как и в осадках Толщи IIB, не осталось (см. рис. 3).
Увеличение содержания проявилось только для Mg (на уровне средней интенсивности изменения содержания химических элементов) и слабо увеличилось содержание Si (см. рис. 3).
Концентрации части легких РЗЭ уменьшились на уровне средней интенсивности изменения содержания химических элементов, содержание Eu сильно уменьшилось, как и в осадках Толщи IIB (см. рис. 4).
Таким образом, основные изменения содержания химических элементов произошли в осадках Толщ IIB и IID.
Изменения в осадках Толщ I, IIB и IID средних содержаний химических элементов, концентрации которых не определялись в гидротермальных источниках
Спайдерграммы изменения средних содержаний петрогенных элементов и микроэлементов в осадках из Толщи I (верхняя часть), Толщи I (нижняя часть), Толщи IIB, Толщи IID из скв. ODP 858В сделаны по данным, приведенным в табл. 4, и показаны на рис. 5.
Таблица 4. Средние содержания макроэлементов и микроэлементов в осадках Толщи I из скв. 858В, содержание которых не изучено в гидротермальных источниках
Образец | Скважина | Толща | Ti | Al | P | S | F | I | Be | Sc | V | Cr | Co | Ni | Ga | As | Y | Zr | Nb |
% | мкг/г | ||||||||||||||||||
2182 | 858B | I верхняя часть | 0.52 | 7.60 | 0.12 | 0.56 | 0.06 | 15.0 | 1.6 | 14.6 | 128 | 73.7 | 15.5 | 34.6 | 17.3 | 1.2 | 22.7 | 114 | 10.1 |
ZT-46A | 0.39 | 7.06 | 0.08 | 0.31 | 0.04 | 2.5 | 1.2 | 11.0 | 117 | 59.0 | 17.0 | 40.6 | 13.6 | 4.1 | 23.8 | 85 | 7.1 | ||
Среднее содержание | 0.46 | 7.33 | 0.10 | 0.44 | 0.05 | 8.8 | 1.4 | 12.8 | 122 | 66.4 | 16.2 | 37.6 | 15.4 | 2.6 | 23.2 | 100 | 8.6 | ||
Реперы для 2182, ZT-46A | |||||||||||||||||||
2859 | 855A | I | 0.51 | 8.51 | 0.07 | 0.33 | 0.03 | 8.6 | 1.4 | 16.6 | 171 | 78.0 | 22.8 | 58.8 | 19.1 | 6.9 | 21.0 | 83.5 | 7.4 |
2862 | 855C | I | 0.55 | 8.33 | 0.07 | 0.14 | 0.02 | 2.5 | 1.2 | 22.5 | 163 | 94.9 | 22.1 | 52.8 | 17.6 | 4.0 | 25.6 | 113 | 9.0 |
Среднее содержание | 0.53 | 8.42 | 0.07 | 0.24 | 0.03 | 5.60 | 1.3 | 19.6 | 167 | 86.4 | 22.4 | 55.4 | 18.3 | 5.4 | 23.3 | 98.2 | 8.2 | ||
2951 | 858B | I нижняя часть | 0.43 | 7.49 | 0.05 | 1.10 | 0.02 | 2.5 | 1.3 | 14.4 | 118 | 68.7 | 7.6 | 27.7 | 14.1 | 20.0 | 9.5 | 91 | 8.9 |
2952 | 0.34 | 6.34 | 0.06 | 0.88 | 0.02 | 2.5 | 1.0 | 10.3 | 111 | 60.6 | 7.1 | 28.6 | 13.5 | 25.3 | 10.8 | 87 | 7.8 | ||
2184 | 0.50 | 7.34 | 0.08 | 0.48 | 0.04 | 2.5 | 1.1 | 18.0 | 146 | 79.4 | 15.3 | 45.1 | 14.1 | 11.2 | 14.1 | 92 | 8.0 | ||
Среднее содержание | 0.43 | 7.06 | 0.06 | 0.82 | 0.03 | 2.5 | 1.1 | 14.2 | 125 | 69.6 | 10.0 | 33.8 | 13.9 | 18.8 | 11.5 | 90 | 8.2 | ||
Реперы для 2951, 2952, 2184 | |||||||||||||||||||
2859 | 855A | I | 0.51 | 8.51 | 0.07 | 0.33 | 0.03 | 8.6 | 1.4 | 16.6 | 171 | 78.0 | 22.8 | 58.8 | 19.1 | 6.9 | 21.0 | 83.5 | 7.4 |
2868 | 855D | I | 0.53 | 8.39 | 0.08 | 0.13 | 0.03 | 2.5 | 1.4 | 18.4 | 140 | 77.9 | 19.3 | 45.9 | 19.8 | 6.6 | 22.9 | 104 | 8.8 |
Среднее содержание | 0.52 | 8.45 | 0.07 | 0.23 | 0.03 | 5.60 | 1.4 | 17.5 | 156 | 78.0 | 21.0 | 52.4 | 19.4 | 6.8 | 22.0 | 92.0 | 8.1 | ||
2185 | 858B | IIB | 0.23 | 5.60 | 0.01 | 0.16 | 0.01 | 2.5 | 0.7 | 15.9 | 121 | 67.2 | 12.8 | 39.5 | 20.5 | 4.3 | 13.6 | 121 | 11.8 |
2186 | 0.38 | 7.16 | 0.01 | 0.30 | 0.01 | 30.0 | 1.0 | 15.9 | 131 | 88.7 | 12.7 | 45.8 | 16.9 | 4.1 | 20.8 | 114 | 12.6 | ||
Среднее содержание | 0.30 | 6.38 | 0.01 | 0.23 | 0.01 | 16.3 | 0.9 | 15.9 | 126 | 78.0 | 12.8 | 42.6 | 18.7 | 4.2 | 17.2 | 118 | 12.2 | ||
Реперы для 2185, 2868 | |||||||||||||||||||
2864 | 855С | I | 0.56 | 8.51 | 0.08 | 0.17 | 0.02 | 2.5 | 1.5 | 17.1 | 169 | 76.6 | 17.8 | 43.4 | 18.7 | 5.3 | 23.5 | 117 | 9.2 |
2868 | 855D | I | 0.53 | 8.39 | 0.08 | 0.13 | 0.03 | 2.5 | 1.4 | 18.4 | 140 | 77.9 | 19.3 | 45.9 | 19.8 | 6.6 | 22.9 | 104 | 8.8 |
Среднее содержание | 0.55 | 8.45 | 0.08 | 0.15 | 0.02 | 2.5 | 1.4 | 17.8 | 154 | 77.2 | 18.6 | 44.6 | 19.2 | 6.0 | 23.2 | 110 | 9.0 | ||
2955 | 858B | IID | 0.21 | 3.83 | 0.01 | 0.01 | 0.02 | 2.5 | 0.33 | 5.6 | 59.9 | 32.4 | 6.5 | 33.3 | 6.2 | 1.3 | 10.0 | 66 | 4.6 |
Реперы для 2955 | |||||||||||||||||||
2863 | 855C | I | 0.51 | 8.16 | 0.08 | 0.34 | 0.03 | 2.5 | 1.3 | 16.0 | 149 | 64.7 | 17.3 | 47.8 | 17.7 | 5.4 | 21.6 | 101 | 7.9 |
2866 | 855D | I | 0.53 | 8.28 | 0.08 | 0.44 | 0.02 | 2.5 | 1.2 | 17.5 | 151 | 70.1 | 16.6 | 37.3 | 17.1 | 13.3 | 22.8 | 106 | 7.8 |
Среднее содержание | 0.52 | 8.20 | 0.08 | 0.39 | 0.02 | 2.5 | 1.2 | 16.8 | 150 | 67.4 | 17.0 | 42.6 | 17.4 | 9.4 | 22.2 | 103 | 7.8 | ||
2182 | 858B | I верхняя часть | 1.3 | 0.19 | 0.07 | 0.51 | 4.66 | 3.1 | 0.7 | 1.04 | 0.39 | 0.39 | 6.7 | 2.3 |
ZT-46A | 2.7 | 0.09 | 0.17 | 0.48 | 3.98 | 2.2 | 0.5 | 0.90 | 0.34 | 0.15 | 4.0 | 2.6 | ||
Среднее содержание | 2.0 | 0.14 | 0.12 | 0.50 | 4.30 | 2.7 | 0.6 | 0.96 | 0.36 | 0.27 | 5.3 | 2.4 | ||
Реперы для 2182, ZT-46A | ||||||||||||||
2859 | 855A | I | 1.7 | 0.23 | 0.34 | 0.78 | 3.97 | 2.2 | 0.50 | 0.75 | 0.39 | 0.16 | 4.8 | 1.9 |
2862 | 855C | I | 1.0 | 0.11 | 0.12 | 0.68 | 2.80 | 3.3 | 0.57 | 0.79 | 0.37 | 0.14 | 4.9 | 1.7 |
Среднее содержание | 1.3 | 0.17 | 0.23 | 0.73 | 3.40 | 2.8 | 0.53 | 0.77 | 0.38 | 0.15 | 4.8 | 1.8 | ||
2951 | 858B | I нижняя часть | 2.4 | 0.5 | 0.06 | 2.18 | 2.28 | 2.4 | 0.57 | 0.98 | 0.40 | 0.23 | 6.6 | 3.4 |
2952 | 2.8 | 0.6 | 0.22 | 2.31 | 1.80 | 2.1 | 0.51 | 1.01 | 0.28 | 0.17 | 5.0 | 8.2 | ||
2184 | 1.7 | 0.2 | 0.81 | 1.28 | 1.58 | 2.5 | 0.50 | 0.90 | 0.34 | 0.14 | 5.1 | 4.7 | ||
Среднее содержание | 2.3 | 0.4 | 0.36 | 1.92 | 1.90 | 2.3 | 0.53 | 0.96 | 0.34 | 0.18 | 5.6 | 5.4 | ||
Реперы для 2951, 2952, 2184 | ||||||||||||||
2859 | 855A | I | 1.7 | 0.23 | 0.34 | 0.78 | 3.97 | 2.2 | 0.50 | 0.75 | 0.39 | 0.16 | 4.8 | 1.9 |
2868 | 855D | I | 1.2 | 0.12 | 0.16 | 0.48 | 3.60 | 2.8 | 0.64 | 0.77 | 0.35 | 0.17 | 5.6 | 2.1 |
Среднее содержание | 1.45 | 0.18 | 0.25 | 0.63 | 3.78 | 2.5 | 0.56 | 0.76 | 0.37 | 0.16 | 5.2 | 2.0 | ||
2185 | 858B | IIB | 19.6 | 0.04 | < ПО | < ПО | 0.26 | 2.9 | 0.77 | 0.90 | 0.04 | 0.11 | 4.9 | 9.2 |
2186 | 40.4 | 0.3 | 0.02 | 0.61 | 0.12 | 3.0 | 0.91 | 0.50 | 0.14 | 0.35 | 9.4 | 6.3 | ||
Среднее содержание | 30.0 | 0.17 | 0.01 | 0.30 | 0.20 | 3.0 | 0.84 | 0.70 | 0.09 | 0.23 | 7.2 | 7.8 | ||
Реперы для 2185, 2868 | ||||||||||||||
2864 | 855С | I | 0.89 | 0.10 | 0.18 | 0.50 | 17.10 | 3.1 | 0.64 | 0.80 | 0.31 | 0.16 | 5.0 | 1.5 |
2868 | 855D | I | 1.72 | 0.23 | 0.34 | 0.48 | 18.40 | 2.8 | 0.64 | 0.77 | 0.35 | 0.17 | 5.6 | 2.1 |
Среднее содержание | 0.87 | 0.16 | 0.26 | 0.49 | 17.75 | 3.0 | 0.64 | 0.78 | 0.33 | 0.16 | 5.3 | 1.8 | ||
2955 | 858B | IID | 1.5 | < ПО | < ПО | < ПО | 0.08 | 1.6 | 0.30 | 0.35 | 0.01 | 0.03 | 2.5 | 2.0 |
Реперы для 2955 | ||||||||||||||
2863 | 855C | I | 1.9 | 0.21 | 0.30 | 0.76 | 3.00 | 2.7 | 0.58 | 0.72 | 0.36 | 0.14 | 4.7 | 2.0 |
2866 | 855D | I | 2.0 | 0.10 | 0.13 | 0.62 | 2.40 | 2.9 | 0.57 | 0.67 | 0.28 | 0.11 | 4.4 | 1.4 |
Среднее содержание | 1.9 | 0.15 | 0.22 | 0.69 | 2.7 | 2.8 | 0.57 | 0.7 | 0.32 | 0.12 | 4.6 | 1.7 | ||
Примечание. <ПО – ниже предела определения.
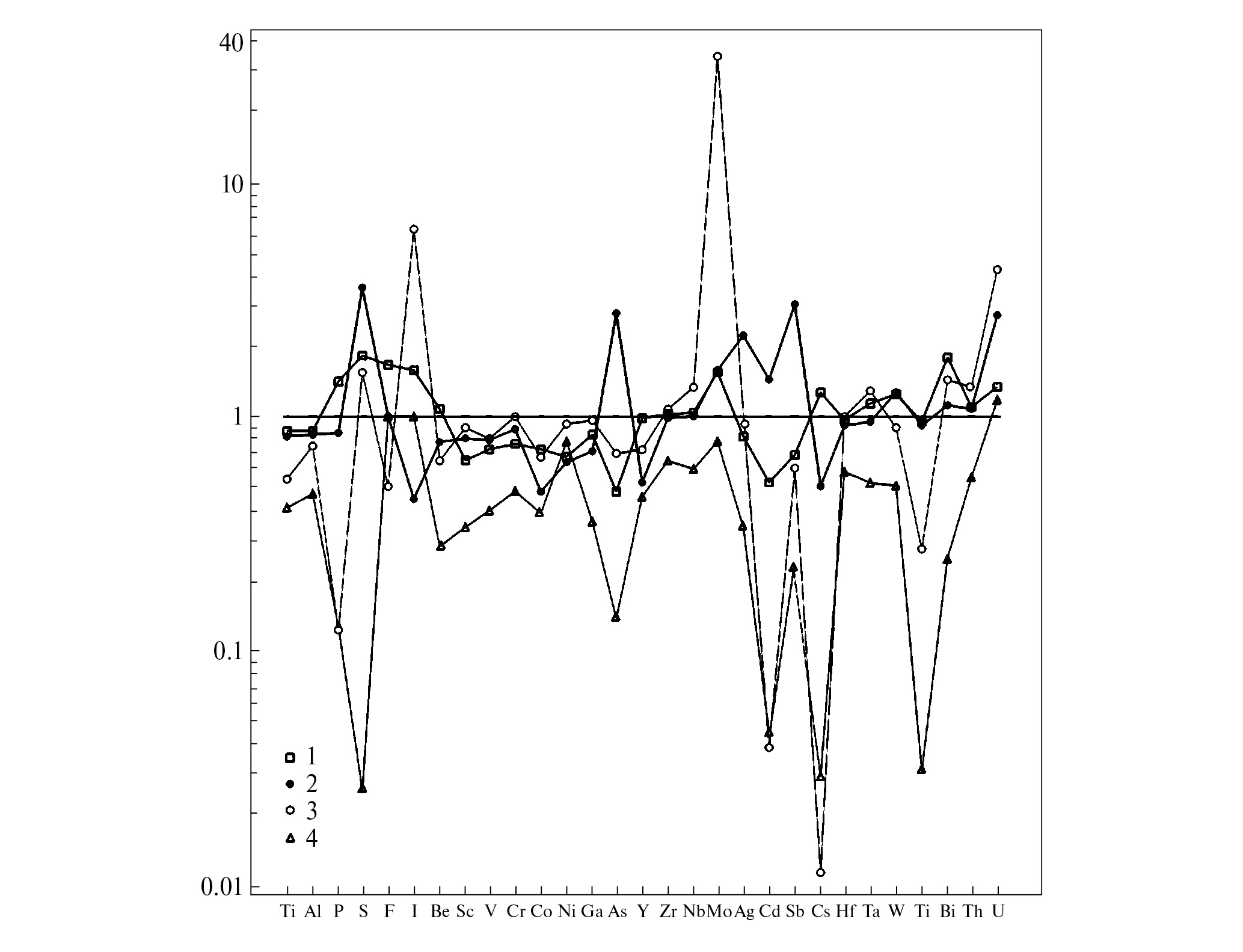
Рис. 5. Спайдерграммы. Средние содержания петрогенных элементов и микроэлементов в гидротермально измененных осадках из скважины 858В, нормированные по среднему составу неизмененных осадков из скважин 855A, C, D.
1–4 – осадки из скважины 858В: 1 – Толща I (верхняя часть), 2 – Толща I (нижняя часть), 3 – Толща IIB, 4 – Толща IID
В осадках верхней части Толщи I концентрации всех изученных химических элементов или слабо увеличились (P, S, F, I, Cs, Ta, W, Bi, U), или слабо уменьшились (Ti, Al, Sc, V, Cr, Co, Ni, Ga, As, Ag, Cd, Sb), содержания остальных элементов (Be, Y, Zr, Nb, Hf, Tl, Th) остались без изменения (см. рис. 5).
В осадках нижней части Толщи I на уровне средней интенсивности изменения содержаний химических элементов увеличилось содержание S, As, Sb, U. Содержание остальных элементов или слабое, или осталось без изменения (см. рис. 5). Без изменения остались концентрации F, Zr, Nb, Hf, Ta, Tl, Bi, Th.
В осадках Толщи IIB сильно уменьшилось содержание P, Cd, Cs, на уровне средней интенсивности изменения содержаний химических элементов в них уменьшилось содержание Tl. Одновременно в них сильно увеличилось содержание I и Mo (см. рис. 5).
Изменение содержания остальных элементов или слабое, или осталось без изменения (см. рис. 5). Без изменения остались концентрации Cr, Ni, Ga, Zr, Nb, Ag, Hf.
В осадках Толщи IID сильно уменьшились концентрации S, As, Cd, Cs, Tl, на уровне средней интенсивности изменения содержаний химических элементов в них уменьшилось содержание Ti, Be, Sc, V, Co, Ga, Ag, Sb, Bi (см. рис. 5). Слабо уменьшились концентрации Al, Ni, Zr, Nb, Mo, Hf, Ta, W, Th, U. Без изменения остались концентрации F, I, U, то есть почти не осталось неподвижных элементов.
Обращает на себя внимание, что в этих осадках нет химических элементов, концентрация которых возросла, кроме Mg (см. рис. 5).
Таким образом, основные изменения содержания рассмотренных химических элементов произошли в осадках Толщ IIB и IID.
Влияние сильной и средней интенсивности изменения содержаний химических элементов в осадках Толщ I, IIB и IID на изменение состава раствора при его миграции в верхней части разреза осадочного покрова
В определении влияния изменения содержаний химических элементов в гидротермально измененных осадках Толщ I, IIB и IID на заключительном этапе трансформации состава раствора при его прохождении в верхней части разреза осадочного покрова, пробуренного скважиной ODP 858В на 38.6 м, был использован следующий подход. В системе взаимодействия раствор–осадки при уменьшении/увеличении содержания химических элементов в гидротермально измененных осадках соответственно зеркально происходит увеличение/уменьшение этих химических элементов в растворе.
Результаты определения изменения химического состава раствора при его взаимодействии с осадками Толщ I, IIB и IID представлены в табл. 5.
Таблица 5. Cильной и средней интенсивности изменение содержания химических элементов в растворе при его взаимодействии с осадками из скважины ODP 858В, гидротермальное поле “Dead Dog”, северный сегмент Срединной Долины, хребет Хуан де Фука
Толща, интервал в скважине | Сильное увеличение концентрации химического элемента | Средней интенсивности увеличение концентрации химического элемента | Сильное уменьшение концентрации химического элемента | Средней интенсивности уменьшение концентрации химического элемента | Температура |
I (верхняя часть) 1.97–10.41 м | ~17°C | ||||
I (нижняя часть) 12.70–25.31 м | Ni | Ca Sr Eu | S As, Sb, U | не менее 112°C | |
IIB 25.31–31.83 м | K Cu, Rb, Sr, Ba, P, Cd, Cs, Eu | Ca, Na Pb, Tl | Mg I, Mo | 200–270°C | |
IID 31.83–38.60 м | Ca, Na, K, S Cu, Rb, Sr, Ba, Pb, As, Cd, Cs, Tl, Eu | Ti, Br Be, Sc, V, Co, Ga, Ag, Sb, Bi | Mg | 270–350°C |
Химические элементы, содержания которых в осадках Толщ I, IIB и IID изменились слабо, соответственно заметно не повлияли на изменение состава раствора, мигрирующего через верхнюю часть осадочного покрова.
Наибольшее влияние на состав раствора произошло при его взаимодействии с осадками Толщ IID и IIB, которое выражено в его обогащении большим количеством химических элементов, кроме Mg, которым раствор соответственно обеднел. Раствор при взаимодействии с осадками Толщи IIB обеднел еще и I и Mo (см. табл. 5).
При прохождении раствора через осадки верхней части Толщи I в нем содержание химических элементов не изменилось (см. табл. 5). При взаимодействии раствора с осадками нижней части Толщи I в растворе увеличилось небольшое количество элементов (Ca, Sr, Ni, Eu) и в нем одновременно сократилась концентрация S, As, Sb, U (см. табл. 5).
ОБСУЖДЕНИЕ РЕЗУЛЬТАТОВ
Температурные условия изменения раствора при его прохождении через осадочный покров
Преобразование вещественного состава осадков из скв. ODP 858B произошло в условиях высокого температурного градиента 10°C/м, который был определен по изотопному составу кислорода в аутигенных карбонатах [Buatier et al., 1994; Frü-Green et al., 1994] с учетом замеренной в скважине температуры 197°C на глубине 19.5 м [Davis et al., 1992], а также с данными определения температуры по изотопам кислорода для аутигенных глинистых минералов и кварца, которые дают температуру приблизительно 265°C на глубине 32 м в скв. ODP 858В, а максимальная температура в основании скважины была оценена примерно в 330°C [Frü-Green et al., 1994; Peter et al., 1994].
Результаты изучения методом моделирования дифракционных картин глинистых минералов, преобладающих в изученных алевритоглинистых гемипелагических плейстоценовых осадках из скв. ODP 858В, позволили получить дополнительные сведения о температуре [Сахаров, Курносов, 2022]. В верхней части Толщи I (1.97–10.41 м) сохранились без изменения терригенные глинистые минералы, состоящие из иллита, смешанослойного смектит-иллита и хлорита. Эта ассоциация терригенных глинистых минералов соответствует температуре ~17°C, которая рассчитана для глубины 7.2 м в скважине. Вниз по разрезу, в условиях повышения температуры в верхней половине нижней части Толщи I, в интервале от 12.70 м примерно до 17 м терригенный смектит-иллит преобразовался в хлорит-смектит, а терригенные иллит и хлорит остались неизмененными. Рассчитанная по температурному градиенту температура этого перехода, может достигать 112°C, которой соответствуют произошедшие начальные изменения ассоциации терригенных глинистых минералов. Ниже, из интервала 18–24 м, керн не был поднят, соответственно по осадкам нижней половины нижней части Толщи I нет сведений. В осадках Толщи IIB (25.31–31.83 м) все терригенные глинистые минералы преобразовались в корренсит, а в осадках, расположенных около нижней границы Толщи IIB, кроме корренсита сформировался хлорит. Температурный интервал формирования глинистых минералов в осадках Толщи IIB, оцененный по температурному градиенту, составляет 200–270°C. В осадках Толщи IID (31.83–37.40 м) новообразованные глинистые минералы состоят из хлорита, корренсита и тальк-смектита, а в осадках в самом низу скважины, на глубине 38.4 м установлен только хлорит. На этой глубине температура была оценена примерно в 330°C [Frü-Green et al., 1994; Peter et al., 1994]. Эта температура формирования хлорита близка температуре его образования от 270°C и выше, которая получена при изучении керна из скважин, пробуренных в спрединговом рифте на гидротермальном поле Рейкьянес в Исландии [Kristmanndottir, 1976].
В валовых образцах осадков Толщи IIB встречен ангидрит, температура образования которого по экспериментальным данным 200–300°C [Hajash, Archer, 1980; Seyfried, Bischoff, 1981]. При изучении валового образца осадков на глубине 32.83 м (Толща IID) рентгеновским методом и в петрографическом шлифе установлена хлорит–кварцевая ассоциация [Davis et al., 1992; Buatier et al., 1994; Kurnosov et al., 1994]. Образование хлорит–кварцевой ассоциации происходит при температуре 350–450°C [Маракушев, 1968].
Обращает на себя внимание, что температура в верхней части разреза осадков, находящихся рядом с центральным каналом подъема с последующей разгрузкой на дне гидротермального раствора, в интервале от 38.6 м до 1.97 м быстро уменьшается несмотря на то, что осадки из этого интервала глубин находятся на одинаковом расстоянии от него. Сильное уменьшение температуры наблюдается примерно от глубины 15–25 м и выше. Возможно, этот эффект связан с поступлением в осадки верхней части осадочного разреза холодной морской воды.
Ниже глубины 38.6 м, до которой пробурена скв. ODP 858В, в осадочном покрове мощностью 250–300 м, температура может составлять не менее 400–450°C. В связи с тем, что наиболее сильный обмен химическими элементами произошел в системе взаимодействия раствора с осадками Толщи IID при температуре 270– 330°C, который выражен в обеднении осадков большим количеством химических элементов и, соответственно, в обогащении ими раствора (см. табл. 5), можно предположить, что в осадочном покрове, ниже глубины 38.6 м, этот процесс усиливается в условиях более высокой температуры.
Поведение химических элементов в процессе взаимодействия раствор–осадки и минеральный состав осадков
При прохождении раствора в верхней части осадочного покрова, пробуренного скважиной ODP 858В на глубину 38.6 м, в осадках произошло существенное изменение содержаний большого количества химических элементов только в осадках Толщ IIB и IID, которое, соответственно, значительно повлияло на изменение состава раствора. Выявление связи поведения различных элементов в процессе взаимодействия раствор–осадки с минеральным составом проведено для этих осадков.
Алевритоглинистые гемипелагические осадки из скв. ODP 858В состоят преимущественно из глинистых минералов [Buatier et al., 1994; Kurnosov et al., 1994; Leybourne, Goodfellow, 1994; Сахаров, Курносов, 2022]. Соответственно c их трансформацией связано поведение ряда химических элементов в системе взаимодействия раствор–осадки. При гидротермальном метасоматизме осадков произошел переход смектита в корренсит и корренсита в хлорит [Buatier et al., 1994]. При дополнительном исследовании глинистых минералов на современном уровне их изучения с применением моделирования рентгеновских дифракционных картин установлен более детальный транзитный ряд: триоктаэдрический смектит (сапонит) → смешанослойный смектит-хлорит → корренсит → смешанослойный хлорит-смектит + тальк → хлорит [Сахаров, Курносов, 2022].
Кроме глинистых минералов в этих осадках были изучены также неглинистые минералы [Davis et al., 1992; Buatier et al., 1994; Goodfellow, Peter, 1994; Kurnosov et al., 1994; Leybourne, Goodfellow, 1994; Сахаров, Курносов, 2022], с растворением или формированием которых также связано поведение химических элементов.
В неизмененных фоновых осадках (Толща I), кроме доминирующих терригенных глинистых минералов, состоящих из смектит-иллита, иллита и хлорита [Сахаров, Курносов, 2022], установлены кварц и полевые шпаты (от 3 до 10% каждый из них), роговая обманка от 1–2% до 3–10%, примесь (<1%) магнетита и пирита [Leybourne, Goodfellow, 1994], а также циркон, кальцит, глауконит, непрозрачные рудные минералы и фораминиферы, диатомеи, радиолярии, наннофоссилии [Davis et al., 1992]. Результаты просмотра шлифов наших образцов неизмененных осадков совпадают с этими данными.
В осадках Толщи IIB, где трансформация глинистых минералов проявилась в формировании корренсита, а в осадках Толщи IID – в формировании хлорита произошло существенное увеличение концентрации Mg и, соответственно, его содержание сильно уменьшилось в растворе (см. рис. 3, табл. 5). Существенное уменьшение концентрации K, Na в осадках Толщ IIB и IID (см. рис. 3) связано с растворением терригенных полевых шпатов и соответственно с сильным увеличением содержания этих элементов в растворе (см. табл. 5). Полевые шпаты присутствуют в неизмененных фоновых осадках (Толща I) и исчезают в осадках Толщ IIB и IID [Kurnosov et al., 1994]. Заметное уменьшение в осадках концентрации Ca связано с растворением карбонатов. Его концентрация, соответственно, заметно возрастает в растворе (см. рис. 3, табл. 5).
Увеличение в осадках концентрации Mo в осадках Толщ IIB и IID (см. рис. 3) связано с его поступлением в осадки из металлоносного раствора с формированием сульфида и сопровождается заметным уменьшением содержания этого элемента в растворе (см. табл. 5).
Уменьшение в осадках Толщ IIB и IID концентрации Rb, Sr связано с растворением карбонатов и частично с трансформацией глинистых минералов и сопровождается увеличением содержания этих элементов в растворе (см. рис. 3, табл. 5). Уменьшение в этих осадках рудных элементов скорее всего связано с трансформацией глинистых минералов, которые содержат эти элементы в сорбированном виде и, возможно, с растворением карбонатов, которые могут содержать эти элементы.
Сильное уменьшение содержания в осадках Толщ IIB и IID Eu относится к растворению полевых шпатов и, соответственно, сопровождается увеличением его концентрации в растворе (см. рис. 4, табл. 5). Полевые шпаты присутствуют в неизмененных осадках и исчезают в осадках Толщ IIB и IID [Kurnosov et al., 1994]. Кроме того, обогащение раствора Eu возможно связано и с растворением карбонатов, содержащих РЗЭ.
Уменьшение в осадках Толщи IID содержания Ti связано с растворением терригенных магнетита и рутила, которые установлены ранее [Kurnosov et al., 1994; Leybourne, Goodfellow, 1994] и при просмотре шлифов, изученных нами образцов неизмененных фоновых осадков из скв. ODP 855A, C, D.
В растворе, прошедшем через весь осадочный покров, произошло сильное уменьшение концентрации Fe и Mn в растворе (см. рис. 3). Это уменьшение концентрации Fe и Mn в растворе коррелирует с формированием в осадках, через которые движется раствор, прежде всего Fe-хлорита. Часть Fe и Mn могла пойти на формирование в осадках тальк-смектита, в котором Mg может частично замещаться на Fe, Mn. Кроме того, Mn, которым обедняется раствор, и соответственно обогащаются осадки, может быть израсходован на образование Mn-сульфида. Сильное обеднение раствора Cu и Zn и в меньшей степени обеднение Pb (см. рис. 3) и, соответственно, обогащение этими элементами осадков коррелирует с образованием в гидротермально измененных осадках сульфидов этих элементов и с формированием самородных металлов. Уменьшение в растворе концентрации Ba (см. рис. 3) сопровождается формированием в осадках барита.
Увеличение в растворе Ca и Sr (см. рис. 3) возможно связано с растворением карбонатов, содержащихся в осадках.
Увеличение в растворе тяжелых РЗЭ (см. рис. 4) может быть связано с трансформацией глинистых минералов и с растворением в осадках полевых шпатов.
ЗАКЛЮЧЕНИЕ
В северном сегменте Срединной Долины хребта Хуан де Фука, где на гидротермальном поле “Dead Dog” рядом с гидротермальным источником с температурой 276°C пробурена скважина ODP 858В глубиной 38.6 м, изучено влияние осадков Толщ I, IIB, IID на трансформацию состава раствора в верхней части разреза осадочного покрова на заключительном этапе его миграции перед разгрузкой на дне. В процессе взаимодействия раствор–осадки на изменение химического состава раствора существенно повлияли осадки Толщ IIB и IID при их изменении в условиях высокой температуры, от 200°C до 350°C. В результате этого взаимодействия осадки существенно обеднели большим количеством химических элементов и соответственно раствор ими обогатился.
Раствор гидротермального источника, расположенного рядом со скв. ODP 858В, при прохождении через весь осадочный покров мощностью 250–300 м сильно обеднел Fe, Mn, Cu, Zn, в меньшей степени обеднел Ba и Pb и обогатился Ca, Sr и несколькими тяжелыми РЗЭ.
БЛАГОДАРНОСТИ
Авторы выражают благодарность Г. Н. Новикову за подготовку образцов пород для химических анализов.
ИСТОЧНИКИ ФИНАНСИРОВАНИЯ
В данном исследовании использованы образцы пород, отобранные в кернохранилище Программы океанского бурения – ODP (Ocean Drilling Program) при Техасском университете (Texas A&M University) в г. Колледж Стейшн (College Station).
Работа выполнена в рамках государственного плана научно-исследовательских работ по теме № гос. регистрации: АААА-А19-119020490093-6.
About the authors
V. B. Kurnosov
Geological Institute of the RAS
Author for correspondence.
Email: vic-kurnosov@rambler.ru
Russian Federation, Moscow
Yu. I. Konovalov
Geological Institute of the RAS
Email: vic-kurnosov@rambler.ru
Russian Federation, Moscow
O. I. Okina
Geological Institute of the RAS
Email: vic-kurnosov@rambler.ru
Russian Federation, Moscow
K. R. Galin
Geological Institute of the RAS
Email: vic-kurnosov@rambler.ru
Russian Federation, Moscow
References
- Блинова Е. В., Курносов В. Б. Гидротермальные изменения осадков в южном троге впадины Гуаймас Калифорнийского залива и трансформация состава растворов // Литология и полез. ископаемые. 2015. № 6. С. 491–509.
- Богданов Ю. А., Лисицын А. П., Сагалевич А. М., Гурвич Е. Г. Гидротермальный рудогенез океанского дна. М.: Научный мир, 2006. 527 с.
- Богданов Ю. А., Сагалевич А. М. Геологические исследования с глубоководных обитаемых аппаратов. М.: Научный мир, 2002. 304 с.
- Гурвич Е. Г. Металлоносные осадки Мирового океана. М.: Научный мир, 1998. 340 с.
- Курносов В. Б., Блинова Е. В. Гидротермальные изменения осадков и трансформация состава растворов во впадине Гуаймас Калифорнийского залива // ДАН. 2015. Т. 461. № 2. С. 197–200.
- Маракушев А. А. Термодинамика метаморфической гидратации минералов. М.: Наука, 1968. 200 с.
- Сахаров Б. А., Курносов В. Б. Особенности образования глинистых минералов в осадках из центра гидротермальной системы, скважина 858В, хребет Хуан де Фука // Литология и полез. ископаемые. 2022. № 2. С. 1–22.
- Buatier M. D., Karpoff A. M., Boni M. et al. Mineralogical and petrographic records of sediment–fluid interaction in the sedimentary sequence at Middle Valley, Juan de Fuca Ridge, Leg 139 / Eds M. J. Mottl, E. E. Davis, A. T. Fisher, J. F. Slack. Proc. ODP, Sci. Results, 139: College Station, TX (Ocean Drilling Program). 1994. P. 133–154.
- Butterfield D. A., McDuff R.A., Franrlin J., Wheat C. G. Geochemistry of hydrothermal vent fluids from Middle Valley, Juan de Fuca Ridge / Eds M. J. Mottl, E. E. Davis, A. T. Fisher, J. F. Slack. Proc. ODP, Sci. Results, 139: College Station, TX (Ocean Drilling Program). 1994. P. 395–410.
- Currey J. R., Moore D. G., Aguayo J. E. et al. Init. Repts. DSDP. V. 64. Pt. 1. Washington: U. S. Govt. Printing Office, 1982. 507 p.
- Davis E. E., Mottl M. J., Fisher A. T. et al. Init. Repts., 139: College Station, TX (Ocean Drilling Program). 1992. 1026 p.
- Davis E. E., Villinger H. Tectonic and thermal structure of the Middle Valley sedimented rift, northern Juan de Fuca Ridge / Eds M.J. Mottl, E.E. Davis, A.T. Fisher, J.F. Slack. Proc. ODP, Sci. Results, 139: College Station, TX (Ocean Drilling Program). 1994. P. 9–41.
- Frü-Green G.L., McKenzie J.A., Boni M. et al. Stable isotope and geochemical record of convective hydrothermal circulation in the sedimentary sequence of Middle Valley, Juan de Fuca Ridge, Leg 139 / Eds M. J. Mottl, E. E. Davis, A. T. Fisher, J. F. Slack. Proc. ODP, Sci. Results, 139: College Station, TX (Ocean Drilling Program). 1994. P. 291–306.
- Goodfellow W. D., Peter J. M. Geochemistry of hydrothermally altered sediment, Middle Valley, northern Juan De Fuca Ridge / Eds M.J. Mottl, E.E. Davis, A.T. Fisher, J.F. Slack. Proc. ODP, Sci. Results, 139: College Station, TX (Ocean Drilling Program). 1994. P. 207–289.
- Hajash A., Archer P. Experimental seawater/basalt interaction: effects of cooling // Contrib. Mineral. Petrol. 1980. V. 75. P. 1–13.
- Kelts K. Petrology of hydrothermally metamorphosed sediments at deep sea drilling Site 477, southern Guaymas Basin rift, Gulf of California / Init. Repts. DSDP. V. 64. Pt. 2. Washington: U. S. Govt. Printing Office, 1982. P. 1123–1136.
- Kristmanndottir H. Types of clay minerals in hydrothermally altered basaltic rocks, Reykjanes, Iceland // Jökull. 1976. V. 26. P. 30–39.
- Kurnosov V., Murdmaa I., Rosanova T. et al. Mineralogy of hydrothermally altered sediments and igneous rocks at Site 856–858, Middle Valley, Juan de Fuca Ridge, Leg 139 / Eds M. J. Mottl, E. E. Davis, A. T. Fisher, J. F. Slack. Proc. ODP, Sci. Results, 139: College Station, TX (Ocean Dril-ling Program). 1994. P. 113–131.
- Leybourne M. I., Goodfellow W. D. Mineralogy and mine-ral chemistry of hydrothermally altered sediment, Middle Valley, Juan de Fuca Ridge / Eds M. J. Mottl, E. E. Davis, A. T. Fisher, J. F. Slack. Proc. ODP, Sci. Results, 139: College Station, TX (Ocean Drilling Program). 1994. P. 155–206.
- Peter J. M., Goodfellow W. D., Leybourne M. I. Fluid inclusion petrography and microthermometry of the Middle Valley hydrothermal system, northern Juan de Fuca Ridge / Eds M. J. Mottl, E. E. Davis, A. T. Fisher, J. F. Slack. Proc. ODP, Sci. Results, 139: College Station, TX (Ocean Drilling Program). 1994. P. 411–428.
- Rona P. A., Trivett D. A. Discrete and diffuse heat transfer at ASHES vent field, Axial Volcano, Juan de Fuca Ridge // Earth Planet. Sci. Lett. 1992. V. 109. № 1. P. 57–71.
- Seyfried W. E., Bischoff J. L. Experimental seawater-basalt interaction at 300°C, 500 bars, chemical exchange, se-condary mineral formation and implications for transport of heavy-metals // Geochim. Cosmochim. Acta. 1981. 45. P. 135–151.
- Von Damm K. L., Edmond J. M., Grant B. et al. Chemistry of submarine hydrothermal solutions at 21° N, East Pacific Rise // Geochim. Cosmochim. Acta. 1985. V. 49. № 11. P. 2197–2220.
Supplementary files







