Molecular dynamics and small-angle x-ray scattering: a comparison computational and experimental approaches to studying the structure of biological complexes
- Authors: Petoukhov M.V.1,2,3, Rakitina T.V.4,2, Agapova Y.K.4, Petrenko D.E.4, Podshivalov D.D.4,5, Timofeev V.I.1, Peters G.S.4, Gaponov Y.A.4, Bocharov E.V.2, Shtykova E.V.1,3
-
Affiliations:
- Shubnikov Institute of Crystallography of Kurchatov Complex of Crystallography and Photonics of NRC “Kurchatov Institute”
- Shemyakin–Ovchinnikov Institute of Bioorganic Chemistry, Russian Academy of Sciences
- A.N. Frumkin Institute of Physical Chemistry and Electrochemistry of Russian Academy of Sciences
- National Research Centre "Kurchatov Institute"
- M.V. Lomonosov Moscow State University
- Issue: Vol 69, No 5 (2024)
- Pages: 802-810
- Section: STRUCTURE OF MACROMOLECULAR COMPOUNDS
- URL: https://bakhtiniada.ru/0023-4761/article/view/267116
- DOI: https://doi.org/10.31857/S0023476124050069
- EDN: https://elibrary.ru/ZDJRFY
- ID: 267116
Cite item
Full Text
Abstract
The results of studying DNA-protein complexes using two independent structural methods – molecular dynamics (MD) and small-angle X-ray scattering (SAXS) – are compared. MD is a computational method that allows visualization of macromolecule behavior in real environmental conditions based on the laws of physics but suffers from numerous simplifications. SAXS is an X-ray method that allows the reconstruction of the three-dimensional structure of an object in solution based on the one-dimensional profile of small-angle scattering, which presents the problem of ambiguity in solving inverse problems. The use of structural characteristics of complexes obtained by the SAXS method for validating 3D structural models obtained in MD experiments has significantly reduced the ambivalence of theoretical predictions and demonstrated the effectiveness of combining MD and SAXS methods for solving structural biology problems.
Full Text
ВВЕДЕНИЕ
Малоугловое рентгеновское рассеяние (МУРР), ставшее традиционным и эффективным методом исследования в структурной биологии, используется для изучения макромолекул в растворе, т.е. в условиях, близких к физиологическим [1, 2]. Однако при использовании МУРР следует учитывать неоднозначность полученных решений, возникающую из-за плохой обусловленности обратной задачи восстановления трехмерной структуры рассеивающего объекта по одномерному профилю рассеяния. Кроме того, потеря информации при построении структурных моделей по данным МУРР происходит за счет усреднения картины рассеяния по всем ориентациям частиц в пространстве, что в целом приводит к получению структурных моделей со сравнительно низким разрешением ~1–2 нм. Поэтому наиболее эффективно МУРР используется в комбинации с другими экспериментальными структурными методами, такими как рентгеновская кристаллография [3], ядерный магнитный резонанс [4, 5], атомно-силовая [6] и крио-электронная микроскопия [7].
В последнее время МУРР все чаще сочетается с чисто теоретическим методом моделирования молекулярной динамики (МД) [8, 9]. Как и для МУРР, для МД характерна неоднозначность результатов, так как в процессе отдельных моделирований получаются структуры различных конформаций молекулы, и для выбора конечной модели требуется применение комплементарных методов [10]. Кроме того, результаты МД-экспериментов в значительной степени определяются параметрами, заданными при расчетах. В связи с этим встает вопрос, насколько два метода (МД и МУРР) пригодны для совместного использования с целью нивелирования их общего недостатка, состоящего в неоднозначности полученных решений.
Одной из задач, решаемых с помощью МУРР, является определение структуры низкого разрешения ab initio, т.е. исключительно по кривой рассеяния. При наличии структурных моделей, полученных другими методами, включая МД-моделирование, МУРР позволяет проводить их скрининг для определения наиболее вероятных конфигураций молекулы в растворе. Выбор оптимальной структурной модели происходит путем сравнения теоретических кривых малоуглового рассеяния, рассчитанных для набора разных моделей, с экспериментальными данными МУРР для выявления наилучшего согласия.
Данная работа является примером совместного применения МД и МУРР с целью сужения коридора возможных решений, удовлетворяющих требованиям обоих методов. Для доказательства комплементарности МД и МУРР были сопоставлены результаты структурного моделирования, проведенного с помощью двух методов. В качестве объектов исследования использовали структурные ансамбли гистоноподобного белка HU патогенной микоплазмы Mycoplasma gallisepticum (HUMgal) с модельными двухцепочечными ДНК (дцДНК) разной длины и природы. Актуальность изучения комплексов HU-белков с ДНК-дуплексами, имитирующими правильную и поврежденную ДНК, определяется ролью данных нуклеоид-ассоциированных белков в процессах хранения и реализацией генетической программы в бактериальных клетках, а также возможностью их использования в качестве фармакологических мишеней для разработки антибактериальных препаратов [11, 12].
МАТЕРИАЛЫ И МЕТОДЫ
Приготовление образцов. Препарат рекомбинантного белка HUMgal был наработан в системе экспрессии Escherichia coli и очищен до гомогенного состояния, как описано в [13] и [14] соответственно. Олигонуклеотиды длиной 14 и 25 пар оснований (п.о.): 14F (5´-GGTGCGGTTGAGTC-3´), 14R (3´-CCACGCCAACTCAG-5´), 25F (5´-GGTGCGGTTGAGTCCTTGCTACGGA-3´) и 25R (3´-CCACGCCAACTCAGCAACGATGCCT-5´), были синтезированы компанией Евроген (Москва). Олигонуклеотидные дуплексы (DS14, DS25 и Overhang), имитирующие правильную и поврежденную дцДНК, получены, как описано в [12]. DS14 получен путем отжига комплементарных нуклеотидов 14F и 14R. DS25 состоял из олигонуклеотидов 25F и 25R и содержал неспаренную пару оснований СС в позиции 15 по 25F. Дуплекс Overhang, содержащий неспаренный (липкий) 3´-конец длиной 11 нуклеотидов, получен путем отжига олигонуклеотидов 25F и 14R.
Приготовление комплексов HU-ДНК проводили при варьировании концентрации белка в диапазоне ~5–10 мг/мл, а концентрации ДНК в диапазоне ~1–2.7 мг/мл. Формирование комплексов контролировали с помощью не денатурирующего электрофореза в полиакриламидном геле, как описано в [12]. Минимальная концентрация белка и максимальная концентрация ДНК из данного диапазона позволили получить комплексы со стехиометрией один димер белка на один дуплекс ДНК при минимальном избытке свободной ДНК, которые были использованы для получения экспериментальных кривых МУРР.
Моделирование ДНК-белковых комплексов. Получение стартовых 3D-моделей ДНК-белковых комплексов проводили с помощью интерактивной графической программы COOT [15] путем совмещения структуры HUMgal (PDB ID: 2NDP [13]) со структурой HU-белка Borrelia burgdorferi, закристаллизованного в комплексе с дцДНК длиной 36 п.о. (PDB ID: 2NP2) [16], с последующим переносом координат ДНК на структуру микоплазменного HU-белка, а также заменой нуклеотидов и удалением избыточной ДНК.
Моделирование методом МД. Молекулярная динамика комплексов была проведена с использованием программы GROMACS версии 2020.3 [17] и оборудования Центра коллективного пользования сверхвысокопроизводительными вычислительными ресурсами МГУ им. М.В. Ломоносова [18]. Для параметризации молекул использовали поле AMBER99SB-ILDN [19]. В систему были добавлены молекулы воды типа TIP3P и ионы Na+ и Cl– в концентрации 0.15 М для нейтрализации заряда системы и создания ионного давления. Минимизацию энергии проводили методом наискорейшего спуска до тех пор, пока максимальная сила, действующая на каждый атом, не оказывалась меньше 1000 кДж/М·нм. После минимизации энергии в системе постепенно была установлена температура 300 K и давление 1 атм в ходе NVT- и NPT-моделирования по 100 пс каждая. Для контроля температуры использовали модифицированный баростат Берендсена [20], а для контроля давления – баростат Парринелло–Рахмана [21] с временными константами tau_t = 0.1 пс и tau_p = 2 пс соответственно. Итоговое моделирование динамики для каждого комплекса составляло 100 нс. Для расчетов связей, включающих водород, использовали алгоритм LINCS [22].
Валидацию комплексов проводили с помощью оценки среднеквадратичного отклонения (СКО) всех атомов и радиуса инерции (Rg). Значения СКО и Rg были рассчитаны с помощью команд gmx rms и gmx gyrate программы GROMACS соответственно [23].
Эксперимент и анализ данных МУРР. Эксперимент по МУРР проводили на станции “БиоМУР” [24, 25] Курчатовского источника синхротронного излучения (НИЦ “Курчатовский институт”, Москва, Россия) в геометрии на пропускание. Растворы с образцами помещали в тонкостенные кварцевые капилляры диаметром 2 мм и толщиной стенок 0.01 мм. Для регистрации рентгенограмм использовали двухкоординатный детектор Pilatus3 1M (DECTRIS, Швейцария) c площадью рабочей поверхности 168.7 × 179.4 мм, разрешением 981 × 1043 точек и размером пикселя – 172 мкм, установленный на расстоянии около 750 мм от образца. Интенсивность рассеяния I(s) измеряли в области значений векторов рассеяния 0.09 < s < 4 нм–1, где s = (4psinq)/l, 2q – угол рассеяния и λ = 0.1445 нм – длина волны рассеяния. Измерения проводили при температуре 20°C.
Для каждого образца было снято по четыре экспериментальных кривых рассеяния со временем экспозиции 300 с каждая (суммарное время облучения – 20 мин) с целью контроля возможных радиационных повреждений. Точную калибровку расстояния образец–детектор осуществляли в программе Fit2D [26] по образцу бегената серебра (“Sigma-Aldrich”, Германия).
Первичную обработку данных, включающую в себя усреднение кривых рассеяния и вычет сигнала от буфера, а также определение структурных инвариантов МУРР, проводили с помощью программы PRIMUS [27]. Рассеяние в нулевой угол I(0) и радиус инерции Rg были вычислены с использованием приближения Гинье [28]. В качестве дополнительной структурной характеристики комплексов рассчитывали общий исключенный объем частицы VP с помощью инварианта Порода [29, 30].
Дальнейшую обработку полученных данных проводили с помощью программ специального пакета ATSAS [31]. Функции распределения по расстояниям p(r), связанные с интенсивностью рассеяния I(s) преобразованием Фурье, вычисляли в программе GNOM [32], которая также определяет максимальный размер Dmax рассеивающего объекта исходя из условия p(r) = 0 при r > Dmax.
Для ab initio-восстановления формы низкого разрешения комплексов HU-ДНК использовали программу MONSA [33]. В данной программе сложная частица представляется в виде ансамбля фиксированных шариков разного контраста на плотной гексагональной сетке. Эти шарики заключены в сферу диаметром, равным максимальному размеру частицы Dmax. Контраст шарика, соответствующего фазе растворителя, задается равным нулю, а шарикам, принадлежащим различным областям частицы, присваиваются контрасты (т.е. разница в электронной плотности между данной фазой и растворителем), соответствующие области, к которой они принадлежат. Так, для белковой фазы задавали контраст, равный единице, а для нуклеиновой кислоты – двум. В начале фазы все шарики распределяются случайным образом. Затем программа использует метод моделирования отжига для минимизации с тем, чтобы найти распределение контрастов шариков, соответствующее связанным фазам, контакты шариков, в которых образуют связанный граф, и согласующееся с экспериментальным профилем рассеяния всего комплекса. При таком подходе моделирования определяется не только общая форма частицы, но и выявляются детали внутренней структуры: отдельно выделяются белковая часть и нуклеиновая кислота.
Результирующая модель минимизирует невязку χ2 между кривой рассеяния от модели Icalc и экспериментальной кривой Iexp:
, (1)
где N – число экспериментальных точек, s(sj) – экспериментальные погрешности, c – шкалирующий множитель, совмещающий кривые рассеяния по независимому критерию наименьших квадратов перед вычислением разности.
Сравнение кривых МУРР, полученных от МД-моделей комплексов, и экспериментальных данных осуществляли с помощью программы CRYSOL [34]. Программа использует мультипольное разложение амплитуд рассеяния для расчета сферически усредненной картины рассеяния и учитывает рассеяние атомной структурой исключенным объемом, недоступным растворителю, и гидратной оболочкой, окружающей макромолекулу в растворе. Экспериментальные данные МУРР приближаются путем оптимизации расчетной кривой рассеяния, минимизируя расхождение χ2 между ними.
Для оценки возможности приближения кривой рассеяния в виде смеси конформаций использовали программу OLIGOMER [27], которая находит объемные доли компонентов wi в смеси k различных компонентов. При этом интенсивность рассеяния I(s) вычисляется как линейная комбинация кривых рассеяния от компонентов смеси Ii(s):
, (2)
а объемные доли компонентов находятся путем решения системы линейных уравнений с использованием алгоритма наименьших квадратов.
РЕЗУЛЬТАТЫ И ИХ ОБСУЖДЕНИЕ
В качестве объектов структурного моделирования методами МД и МУРР выбрали комплексы гистоноподобного белка HUMgal с олигонуклеотидными дуплексами DS14 и DS25, а также с ДНК-дуплексом Overhang, одна цепь которого содержала 25 нуклеотидов, а другая – 14. Для каждого из трех исследуемых комплексов были получены две–три стартовые модели (суммарно восемь моделей), различающиеся положением ДНК на поверхности HU-белка (рис. 1). Как видно из рисунка, для выбора позиций ДНК-дуплексов использовали кристаллическую структуру HU-белка B. burgdorferi в комплексе с дцДНК длиной 36 п.о. (PDB ID 2NP2). В случае DS14 были выбраны позиции 1–14, 5–18 и 11–25, в случае DS25 – позиции 1–25 и 6–30, в случае дуплекса Overhang длинную цепь 25F располагали в позициях 1–25, 6–30 и 11–35 (рис. 1).
Рис. 1. Стартовые 3D-модели ДНК-белковых комплексов, полученные на основе кристаллической структуры комплекса HU-белка B. burgdorferi c дцДНК длиной 36 п.о. Белок показан синим цветом, ДНК – серым, позиции ДНК-дуплексов на исходной дцДНК – зеленым: а – DS14 в позиции 1–14, б – DS14 в позиции 5–18, в – DS14 в позиции 11–25, г – DS25 в позиции 1–25, д – DS25 в позиции 6–30, е – Overhang в позиции 1–25, ж – Overhang в позиции 6–30, з – Overhang – в позиции 11–35.
В результате МД-эксперимента получили восемь МД-траекторий продолжительностью по 100 нс, провели их анализ, который включал в себя построение графиков изменения величин СКО всех атомов и колебаний радиусов инерции комплексов в процессе моделирования (рис. 2, 3). Данные, представленные на рисунках, в целом свидетельствуют о стабильности полученных моделей в условиях МД-эксперимента. Для построения теоретических кривых МУРР из всего пула структур, сгенерированных в процессе одного моделирования, было выбрано по 100 МД-моделей.
Рис. 2. Среднеквадратичные отклонения (СКО) всех атомов от начального положения в процессе МД-моделирования, вычисленные для комплексов HUMgal с тремя ДНК-дуплексами: а – DS14 в позиции 1–14 (черный), 5–18 (серый) и 11–25 (светло-серый); б – DS25 в позиции 1–25 (черный) и 6–30 (серый); в – Overhang в позиции 1–25 (черный), 6–30 (серый) и 11–35 (светло-серый).
Рис. 3. Колебания величины радиусов инерции в процессе МД-моделирования, вычисленные для комплексов HUMgal с тремя ДНК-дуплексами: а – DS14 в позиции 1–14 (черный), 5–18 (серый) и 11–25 (светло-серый); б – DS25 в позиции 1–25 (черный) и 6–30 (серый); в – Overhang в позиции 1–25 (чрный), 6–30 (серый) и 11–35 (светло-серый).
Экспериментальные кривые МУРР от комплексов HUMgal-DS14, HUMgal-DS25, HUMgal-Overhang показаны на рис. 4а, 5a и 6a соответственно. Все образцы, за исключением HUMgal-Overhang, демонстрируют поведение, характерное для монодисперсных систем. В случае HUMgal-Overhang наблюдается небольшой загиб кривой рассеяния кверху в малых углах (рис. 6а, вставка), что может свидетельствовать о возможной частичной агрегации, тем не менее не влияющей значительно на результаты анализа данных МУРР. Рассчитанные по кривым рассеяния величины Rg, максимального размера Dmax и породовского объема VP приведены в табл. 1. Найденные величины находятся в согласии с ожидаемыми теоретическими значениями для комплекса димера HUMgal с соответствующим дуплексом ДНК. Таким образом, в растворе по данным малоуглового рассеяния в основном присутствуют индивидуальные ДНК-белковые комплексы, необходимые для сравнения их структуры с данными молекулярного моделирования.
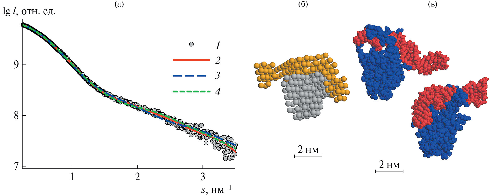
Рис. 4. Моделирование структуры комплекса белка HUMgal с олигонуклеотидом DS14 в растворе: а – профили МУРР: 1 – экспериментальные данные МУРР, 2 – приближение мультифазной ab initio-моделью, 3 – приближение наилучшей моделью, полученной МД; б – шариковая ab initio-модель, полученная в программе MONSA; в – МД-конформация комплекса, выбранная с помощью программы CRYSOL. Белок и ДНК на панелях б и в показаны разным цветом.
Рис. 5. Моделирование структуры комплекса белка HUMgal с олигонуклеотидом DS25 в растворе: а – профили МУРР: 1 – экспериментальные данные МУРР, 2 – приближение мультифазной ab initio-моделью, 3, 4 – приближения двумя наилучшими моделями, полученными МД; б – шариковая ab initio-модель, полученная в программе MONSA; в – две наилучших МД-конформации комплекса, выбранные с помощью программы CRYSOL. Белок и ДНК на панелях б и в показаны разным цветом.
Рис. 6. Моделирование структуры комплекса белка HUMgal с олигонуклеотидом Overhang в растворе: а – профили МУРР: 1 – экспериментальные данные МУРР, 2 – приближение мультифазной ab initio-моделью, 3, 4 – приближения двумя наилучшими моделями, полученными МД; Вставка: начальная часть кривой рассеяния, демонстрирующая загиб кверху в экспериментальных данных; б – шариковая ab initio-модель, полученная в программе MONSA; в – две наилучших МД-конформации комплекса, выбранные с помощью программы CRYSOL. Белок и ДНК на панелях б и в показаны разным цветом.
Таблица 1. Общие структурные параметры (инварианты), полученные по данным МУРР
Образец | Радиус инерции, Rg, нм | Максимальный размер, Dmax, нм | Исключенный объем частицы, VP, нм3 | Ожидаемый объем комплекса димер–дуплекс, V, нм3 |
HUMgal + DS14 | 2.65 | 9.6 | 66.3 | 45.0 |
HUMgal + DS25 | 2.59 | 9.0 | 54.6 | 51.0 |
HUMgal + Overhang | 2.77 | 9.3 | 65.8 | 48.0 |
Многофазное трехмерное ab initio-моделирование методом конечных объемных элементов проводили в программе MONSA, позволяющей задавать желаемое соотношение объемов отдельных фаз. Исходя из полученной стехиометрии комплексов, содержащих один димер HU и один дуплекс ДНК, использовали следующие соотношения объемов: 1 : 0.4 (белок : ДНК) для комплексов с DS14, 1 : 0.7 для комплексов с DS25 и 1 : 0.6 для комплексов с Overhang. Соотношения рассчитаны на основе молекулярных масс димера HU-белка ~20 кДа и дуплексов ДНК: ~8, ~15 и ~12 кДа для DS14, DS25 и Overhang соответственно. В результате такого моделирования экспериментальные данные комплексов HU-ДНК были достаточно хорошо приближены (χ2 2.3 для HUMgal-DS14, 2.0 для HUMgal-DS25, 6.1 для HUMgal-Overhang) в диапазоне s до 3.5 нм–1 (рис. 4а–6а). Типичное восстановление структуры комплексов HU с различными ДНК-дуплексами приведено на рис. 4б–6б. Полученные формы хорошо согласуются с моделями ДНК-белковых комплексов, представленных на рис. 1, в которых один димер белка связан с одним ДНК-дуплексом.
Результаты структурного восстановления ДНК-белковых комплексов, полученных в МУРР-эксперименте, сравнивали с моделями комплексов, сгенерированными в процессе МД-моделирования, используя программу CRYSOL, которая рассчитывает невязку между теоретическими кривыми рассеяния от МД-моделей и экспериментальными данными МУРР. С помощью такой процедуры были выбраны по одной–две репрезентативной модели с наименьшей невязкой для комплексов HUMgal с DS14 (χ2 = 12.8), HUMgal с DS25 (χ2 = 12.5–16.1) и HUMgal с Overhang (χ2 = 7.1–7.4) (рис. 4в–6в). Все расчетные кривые хорошо ложатся на экспериментальные точки (рис. 4а–6а), возможно, за некоторым исключением для моделей комплекса HUMgal с Overhang, для которого, как обсуждалось ранее, не исключена частичная агрегация.
Тем не менее отметим небольшие остаточные отклонения теоретических кривых, полученных от моделей МД, по сравнению с ab initio-моделями, что объясняет довольно высокие значения χ2 по сравнению с невязкой в ab initio-моделировании по данным МУРР. Можно предположить, что это связано с сосуществованием нескольких конформаций комплексов в растворе, находящихся в равновесии друг с другом. В этом случае ab initio-моделирование дает усредненную форму, которая может включать в себя особенности различных конформаций, тогда как МД-модели имеют жестко зафиксированную атомную структуру.
Попытка представить экспериментальную кривую в виде равновесной смеси разных конформаций с помощью программы OLIGOMER не позволила получить лучшее приближение по сравнению с отдельными МД-моделями. Программа OLIGOMER однозначно свидетельствовала о наличии в растворе только одной выбранной формы комплекса для каждого из образцов, что скорее всего говорит о том, что существующие в растворе конформационные различия между индивидуальными частицами комплекса незначительны, а сравнительно высокие значения χ2 для МД-моделей объясняются жестко зафиксированной атомной структурой в отличие от гибких макромолекул в растворе. Данный вывод подтверждается тем, что отклонение теоретических кривых МД-моделей от экспериментальных кривых МУРР происходит в основном в области больших углов, т.е. там, где начинают проявляться элементы атомной структуры.
ЗАКЛЮЧЕНИЕ
Основной целью работы было изучение возможностей совместного использования двух методов структурной биологии: МД и МУРР для сужения коридора возможных решений обратных задач. С помощью вычислительных подходов с учетом использования различных стартовых условий при МД-моделировании было получено 200–300 моделей комплексов гистоноподобного белка HUMgal с ДНК-дуплексами различной длины и природы. Сравнение теоретических кривых малоуглового рассеяния от этих моделей с экспериментальными кривыми МУРР позволило выбрать одну–две лучшие модели для каждого типа комплекса из общего пула предсказанных структур. Было показано, что стехиометрия всех комплексов соответствовала связыванию одного димера HU с одним ДНК-дуплексом. То есть чисто теоретическое МД-моделирование, предполагавшее a priori такую стехиометрию, полностью соответствовало стехиометрии комплексов в растворе по данным МУРР. Высказано предположение, что более точное приближение экспериментальных данных МУРР ab initio-моделями по сравнению с моделями МД объясняется гибкостью конформаций комплекса в растворе, которое не может быть идеально описано с помощью единственной жесткой атомной модели.
В целом работа служит иллюстрацией как взаимодействие таких дополняющих друг друга методов, как МД и МУРР, позволило практически однозначно охарактеризовать строение ДНК-белковых комплексов, что должно способствовать лучшему пониманию природы взаимодействия гистоноподобных белков бактерий с их ДНК-субстратами. В свою очередь, экспериментальное подтверждение того, что МД позволяет значительно снизить неточность в определении структуры, связанную с неоднозначностью решения обратных задач, характерной для МУРР, доказывает перспективность использования данной комбинации в структурных исследованиях сложных биологических систем.
Работа выполнена при поддержке Российского научного фонда (грант № 23-44-10021 https://rscf.ru/project/23-44-10021/). Измерения на станции “БиоМУР”, входящей в уникальный научный комплекс “Курчатовский источник синхротронного излучения”, проводили при частичной поддержке Министерства науки и высшего образования Российской Федерации в рамках тематического плана НИЦ “Курчатовский институт”.
About the authors
M. V. Petoukhov
Shubnikov Institute of Crystallography of Kurchatov Complex of Crystallography and Photonics of NRC “Kurchatov Institute”; Shemyakin–Ovchinnikov Institute of Bioorganic Chemistry, Russian Academy of Sciences; A.N. Frumkin Institute of Physical Chemistry and Electrochemistry of Russian Academy of Sciences
Author for correspondence.
Email: pmxmvl@yandex.ru
Russian Federation, Moscow; Moscow; Moscow
T. V. Rakitina
National Research Centre "Kurchatov Institute"; Shemyakin–Ovchinnikov Institute of Bioorganic Chemistry, Russian Academy of Sciences
Email: pmxmvl@yandex.ru
Russian Federation, 123182 Moscow; Moscow
Yu. K. Agapova
National Research Centre "Kurchatov Institute"
Email: pmxmvl@yandex.ru
Russian Federation, 123182 Moscow
D. E. Petrenko
National Research Centre "Kurchatov Institute"
Email: pmxmvl@yandex.ru
Russian Federation, 123182 Moscow
D. D. Podshivalov
National Research Centre "Kurchatov Institute"; M.V. Lomonosov Moscow State University
Email: pmxmvl@yandex.ru
Russian Federation, 123182 Moscow; Moscow
V. I. Timofeev
Shubnikov Institute of Crystallography of Kurchatov Complex of Crystallography and Photonics of NRC “Kurchatov Institute”
Email: pmxmvl@yandex.ru
Russian Federation, Moscow
G. S. Peters
National Research Centre "Kurchatov Institute"
Email: pmxmvl@yandex.ru
Russian Federation, 123182 Moscow
Yu. A. Gaponov
National Research Centre "Kurchatov Institute"
Email: pmxmvl@yandex.ru
Russian Federation, 123182 Moscow
E. V. Bocharov
Shemyakin–Ovchinnikov Institute of Bioorganic Chemistry, Russian Academy of Sciences
Email: pmxmvl@yandex.ru
Russian Federation, Moscow
E. V. Shtykova
Shubnikov Institute of Crystallography of Kurchatov Complex of Crystallography and Photonics of NRC “Kurchatov Institute”; A.N. Frumkin Institute of Physical Chemistry and Electrochemistry of Russian Academy of Sciences
Email: pmxmvl@yandex.ru
Russian Federation, Moscow; Moscow
References
- Feigin L.A., Svergun D.I. Structure analysis by small-angle x-ray and neutron scattering. New York: Plenum Press, 1987. 335 p.
- Svergun D.I., Koch M.H., Timmins P.A. et al. Small Angle X-ray and Neutron Scattering from Solutions of Biological Macromolecules. London: Oxford University Press, 2013. 358 p.
- Petrenko D.E., Timofeev V.I., Britikov V.V. et al. // Biology (Basel). 2021. V. 10. № 10. P. 1021. https://doi.org/10.3390/biology10101021
- Bengtsen T., Holm V.L., Kjolbye L.R. et al. // Elife. 2020. V. 9. P. e56518. https://doi.org/10.7554/eLife.56518
- Gaponov Y.A., Timofeev V.I., Agapova Y.K. et al. // Mendeleev Commun. 2022. V. 32. № 6. P. 742. https://doi.org/10.1016/j.mencom.2022.11.011
- Shtykova E.V., Petoukhov M.V., Mozhaev A.A. et al. // J. Biol. Chem. 2019. V. 294. № 47. https://doi.org/10.1074/jbc.RA119.010390
- Kamyshinsky R., Chesnokov Y., Dadinova L. et al. // Biomolecules. 2020. V. 10. № 1. https://doi.org/Artn 3910.3390/Biom10010039
- Larsen A.H., Wang Y., Bottaro S. et al. // PLoS Comput. Biol. 2020. V. 16. № 4. P. e1007870. https://doi.org/10.1371/journal.pcbi.1007870
- Timofeev V.I., Gaponov Y.A., Petrenko D.E. et al. // Crystals. 2023. V. 13. P. 1642. https://doi.org/10.3390/cryst13121642
- He W., Henning-Knechtel A., Kirmizialtin S. // Front. Bioinform. 2022. V. 2. P. 781949. https://doi.org/10.3389/fbinf.2022.781949
- Bhowmick T., Ghosh S., Dixit K. et al. // Nat. Commun. 2014. V. 5. P. 4124. https://doi.org/10.1038/ncomms5124
- Agapova Y.K., Altukhov D.A., Timofeev V.I. et al. // Sci. Rep. 2020. V. 10. № 1. P. 15128. https://doi.org/10.1038/s41598-020-72113-4
- Altukhov D.A., Talyzina A.A., Agapova Y.K. et al. // J. Biomol. Struct. Dyn. 2016. V. 36. № 1. P. 45. https://doi.org/10.1080/07391102.2016.1264893
- Timofeev V.I., Altukhov D.A., Talyzina A.A. et al. // J. Biomol. Struct. Dyn. 2018. V. 36. № 16. P. 4392. https://doi.org/10.1080/07391102.2017.1417162
- Emsley P., Lohkamp B., Scott W.G. et al. // Acta Cryst. D. 2010. V. 66. Pt 4. P. 486. https://doi.org/10.1107/S0907444910007493
- Mouw K.W., Rice P.A. // Mol. Microbiol. 2007. V. 63. № 5. P. 1319. https://doi.org/10.1111/j.1365-2958.2007.05586.x
- Abraham M.J., Murtola T., Schulz R. et al. // SoftwareX. 2015. V. 1–2. P. 19. https://doi.org/10.1016/j.softx.2015.06.001
- Voevodin V., Antonov A., Nikitenko D. et al. // Supercomputing Frontiers and Innovations. 2019. V. 6. № 2. P. 4. https://doi.org/10.14529/jsfi190201
- Lindorff-Larsen K., Piana S., Palmo K. et al. // Proteins. 2010. V. 78. № 8. P. 1950. https://doi.org/10.1002/prot.22711
- Berendsen H.J.C., Postma J.P.M., van Gunsteren W.F. et al. // J. Chem. Phys. 1984. V. 81. № 8. P. 3684. https://doi.org/10.1063/1.448118
- Parrinello M., Rahman A. // J. Chem. Phys. 1982. V. 76. № 5. P. 2662. https://doi.org/10.1063/1.443248
- Hess B., Bekker H., Berendsen H.J.C. et al. // J. Comput. Chem. 1997. V. 18. № 12. P. 1463. https://doi.org/10.1002/(SICI)1096-987X(199709)18:12<1463::AID-JCC4>3.0.CO;2-H
- Roe D.R., Cheatham T.E. // J. Chem. Theory Comput. 2013. V. 9. № 7. P. 3084. https://doi.org/10.1021/ct400341p
- Peters G.S., Zakharchenko O.A., Konarev P.V. et al. // Nucl. Instrum. Methods Phys. Res. A. 2019. V. 945. P. 162616.
- Peters G.S., Gaponov Y.A., Konarev P.V. et al. // Nucl. Instrum. Methods Phys. Res. A. 2022. V. 1025. P. 166170.
- Hammersley A.P. // J. Appl. Cryst. 2016. V. 49. № 2. P. 646.
- Konarev P.V., Volkov V.V., Sokolova A.V. et al. // J. Appl. Cryst. 2003. V. 36. P. 1277. https://doi.org/10.1107/S0021889803012779
- Guinier A., Fournet G. Small Angle Scattering of X-Rays. New York: Wiley, 1955. 268 p.
- Porod G. // Small-angle X-ray scattering / Ed Glatter O., Kratky O. London: Academic Press, 1982. P. 17.
- Petoukhov M.V., Franke D., Shkumatov A.V. et al. // J. Appl. Cryst. 2012. V. 45. № 2. P. 342. https://doi.org/10.1107/S0021889812007662
- Manalastas-Cantos K., Konarev P.V., Hajizadeh N.R. et al. // J. Appl. Cryst. 2021. V. 54. P. 343. https://doi.org/10.1107/S1600576720013412
- Svergun D.I. // J. Appl. Cryst. 1992. V. 25. P. 495. https://doi.org/10.1107/S0021889892001663
- Svergun D.I., Nierhaus K.H. // J. Biol. Chem. 2000. V. 275. № 19. P. 14432.
- Svergun D.I., Barberato C., Koch M.H.J. // J. Appl. Cryst. 1995. V. 28. P. 768. https://doi.org/10.1107/S0021889895007047
Supplementary files








