Light-emitting AlGaAs/GaAs diodes based on ingaas strain-compensated quantum wells with minimized internal losses OF 940 nm radiation absorption
- Authors: Salii R.А.1, Malevskaya A.V.1, Malevskii D.А.1, Mintairov S.А.1, Nadtochiy A.M.1, Kalyuzhnyy N.A.1
-
Affiliations:
- Ioffe Institute
- Issue: Vol 69, No 4 (2024)
- Pages: 743-752
- Section: ПРИБОРЫ, АППАРАТУРА
- URL: https://bakhtiniada.ru/0023-4761/article/view/264440
- DOI: https://doi.org/10.31857/S0023476124040214
- EDN: https://elibrary.ru/XBARUR
- ID: 264440
Cite item
Full Text
Abstract
IR light-emitting diodes based on InGaAs/AlGaAs multiple quantum wells and AlxGa1–xAsyP1–y-layers that compensate stresses in the active region have been developed. The optical losses caused by absorption of radiation generated by the active region (λ = 940 nm) were studied at different doping levels of n-GaAs substrates. It has been shown that reducing the donor doping level from 4 × 1018 to 5 × × 1017 cm–3 gives an increase in the quantum efficiency of LEDs by ~ 30%. A technology that eliminates optical losses caused by absorption during radiation output has been developed. By removing the growth substrate and transferring the device structure to a carrier substrate with the formation of a rear metal reflector, LEDs were created that demonstrate a twofold increase in external quantum efficiency and efficiency (~ 40%) compared to the technology of outputting radiation through an n-GaAs substrate.
Full Text
Введение
Светоизлучающие диоды (СИД), работающие в ближнем ИК-диапазоне, имеют широкий спектр применения и используются, например, в приборах для медицинской диагностики, системах ночного видения, дальномерах для цифровой съемки, считывателях карт в транспортной сфере и воздушных дронах [1–3]. В частности, СИД с длиной волны λ = 940 нм применяются в системах видеонаблюдения, дистанционного управления и датчиках времени полета, где они имеют ряд преимуществ как перед СИД на 850 нм (которые имеют слабое красное свечение, различимое камерами видеонаблюдения), так и перед вертикально-излучающими лазерами на таких же длинах волн (излучение СИД менее чувствительно к изменению температуры) [4, 5].
Одной из актуальных проблем является оптимизация конструкции и совершенства активной области прибора [6–8]. Использование InGaAs/AlGaAs множественных квантовых ям (МКЯ) в качестве активной области СИД дает ряд преимуществ относительно двойных гетероструктур, в частности улучшает их внутреннюю квантовую эффективность [9, 10]. Однако InxGa1–xAs-слои МКЯ, состав и толщина которых рассчитаны на генерацию излучения с длиной волны λ = 940 нм, создают механические напряжения в полупроводниковой матрице, что ведет к образованию дефектов и, как следствие, ограничениям по выходной мощности прибора [11]. В [12–14] продемонстрировано, что использование в активной области МКЯ слоев, компенсирующих напряжения, вызванных рассогласованием, позволяет значительно улучшить характеристики таких СИД. В данной работе проведено исследование влияния различных технологий, компенсирующих структурные напряжения, на люминесценцию активной области СИД.
Другой важной проблемой, рассмотренной в работе, являются оптические потери на вывод излучения из структуры СИД. То есть исследованы оптические потери, связанные с поглощением подзонного излучения в ростовой GaAs-подложке n-типа проводимости. Гетероструктуры СИД с InxGa1–xAs МКЯ, излучающие на длине волны 940 нм (1.32 эВ), формируются на основе широкозонных AlхGa1–хAs-слоев с концентрацией х > 0.2, что обеспечивает “прозрачность” гетероструктур для такого излучения (значение ширины запрещенной зоны Al0.2Ga0.8As составляет 1.72 эВ). Таким образом, самым узкозонным полупроводником в гетероструктурах оказывается ростовая подложка GaAs. Генерируемое активной областью излучение не должно поглощаться в чистом полупроводнике (Eg_GaAs = 1.42 эВ). В легированном GaAs n-типа проводимости имеет место поглощение фотонов с энергией меньше Eg, вызванное переходами между примесными “хвостами” зон [15, 16]. Однако для фотонов с энергией 1.32 эВ коэффициент поглощения такого подзонного излучения оказывается пренебрежимо мал вследствие его экспоненциального затухания в длинноволновой области согласно правилу Урбаха [17]. Таким образом, для излучения с λ = 940 нм основным механизмом потерь в легированном GaAs может быть только поглощение на свободных носителях, которое характерно для сильнолегированных полупроводников и заметнее проявляется в GaAs p-типа проводимости [18]. Тем не менее ряд эмпирических данных [19, 20] указывает на наличие такого поглощения и в n-GaAs при различной концентрации акцепторной примеси. Генерируемое в активной области длинноволновое излучение многократно проходит через гетероструктуру, в том числе подложку, поэтому, несмотря на небольшой коэффициент поглощения, эффективность вывода излучения из СИД падает.
В данной работе экспериментально исследованы оптические потери при выводе излучения с λ = 940 нм в структуре на n-GaAs-подложке при различном уровне ее легирования и показано, что уменьшение концентрации донорной примеси значительно увеличивает квантовую эффективность СИД. Один из подходов, позволяющих еще больше нивелировать поглощение в подложке, состоит в эпитаксиальном росте на границе гетероструктура/подложка брэгговского отражателя, коэффициент отражения от которого максимален в спектральной области λ = 940 нм. Он будет отражать часть генерированного излучения, распространяющегося от p–n-перехода в сторону подложки [21, 22]. В [23] с использованием данного подхода была продемонстрирована внешняя квантовая эффективность (EQE) 37.5% для СИД, излучающего на длине волны λ = 850 нм. Однако брэгговский отражатель эффективен не для всех распространяющихся лучей, он отражает лучи, приходящие только в пределах угла падения 20°, доля которых составляет ~5% по отношению к падающему на него изотропному излучению. В данной работе применен другой подход – удаление (селективное стравливание) ростовой подложки с последующим переносом структуры на подложку-носитель [9, 24, 25]. Удаление подложки позволяет формировать тыльный металлический отражатель для эффективного выведения света, распространяющегося в сторону, противоположную световыводящей поверхности. Продемонстрировано существенное улучшение оптических параметров СИД при полном удалении GaAs-подложки, нанесении металлического отражателя и переносе гетероструктуры на подложку-носитель.
Экспериментальная часть
Материалы и методы изготовления структур. Все экспериментальные гетероструктуры, включая гетероструктуры СИД, выращивали методом металлоорганической газофазной эпитаксии на установке c реактором горизонтального типа (AIXTRON200/4). В качестве источников элементов третьей группы использовали металлорганические соединения: триметилгаллий (Ga(CH3)3), триметилалюминий (Al(CH3)3) и триметилиндий (In(CH3)3). Арсин (AsH3) и фосфин (PH3) использовали в качестве источников мышьяка и фосфора. Источниками донорной и акцепторной примесей были силан (SiH4) и диэтилцинк (Zn(C2H5)3) соответственно. Содержание сторонних примесей (в частицах на миллион) не превышает 1 ppm как для металлорганических соединений, так и для гидридов. Все использованные источники произведены в “Элма-хим”, Россия.
Было выращено два типа гетероструктур СИД: прямого и обратного эпитаксиального роста. Для исследования влияния эффекта поглощения гетероструктуру первого типа (рис. 1а) выращивали на двух видах подложек n-GaAs: сильно- (4 × 1018 см–3) и слаболегированной (5 × 1017 см–3). Второй тип гетероструктуры (рис. 1б) с инвертированным порядком роста слоев предназначался для изготовления СИД по технологии, включающей в себя процесс удаления подложки и переноса гетероструктуры на подложку-носитель с нанесенным тыльным металлическим отражателем.
Рис. 1. Гетероструктуры для изготовления СИД по стандартной постростовой технологии: прямого роста (а), с использованием технологии переноса на подложку-носитель – обратного роста (б).
Для нахождения оптимальной конструкции активной области СИД (на рис. 1 обозначена как “МКЯ активная область”) также вырастили экспериментальные образцы гетероструктур, на которых исследовали подходы к компенсации структурных напряжений, вызванных рассогласованием параметров решетки. В качестве реперных образцов без компенсирующих слоев были созданы две гетероструктуры на основе МКЯ, излучающие на длинах волн 850 и 940 нм. Обе структуры включали в себя широкозонные барьеры AlGaAs толщиной 200 и 50 нм, между которыми находилась активная область из нескольких квантовых ям (КЯ). Гетероструктура на λ = 850 нм состояла из шести In0.11Ga0.89As/Al0.20Ga0.80As КЯ (образец 850R), разделенных промежуточными слоями (спейсерами) на основе твердого раствора Al0.20Ga0.80As. В случае МКЯ на λ = 940 нм гетероструктура включала в себя пять In0.14Ga0.86As/GaAs КЯ (образец 940R) с промежуточными слоями GaAs. Толщины КЯ составляли 3 и 7 нм для образцов 850R и 940R соответственно. Подробно последовательность слоев этих структур представлена в табл. 1. Для оптимизации МКЯ активной области в экспериментальных гетероструктурах с МКЯ варьировали толщины промежуточных слоев AlGaAs и GaAs, а также исследовали различные типы и толщины компенсирующих слоев в составе этих слоев.
Таблица 1. Экспериментальные гетероструктуры МКЯ активной области
Структура | 850R | 940R | 940SB1 | 940SB2 | 940SB3A | 940SB3B |
Барьер | Al0.3GaAs | |||||
Квантовая яма | In0.10GaAs | In0.14GaAs | In0.17GaAs | In0.14GaAs | ||
Промежуточный слой | Al0.2GaAs | GaAs | Al0.25GaAsP0.04 | GaAsP0.06 | Al0.2GaAs | Al0.2GaAs |
GaAsP0.06 | GaAsP0.06 | |||||
Барьер | Al0.3GaAs | |||||
Буфер | GaAs | |||||
Подложка | GaAs | |||||
Примечание. Для краткой формы записи индекс значения концентрации атомов в подрешетках третьей или пятой группы указан только для одного из элементов соответствующей подрешетки.
Изготовление СИД из гетероструктур прямого роста (рис. 1а), выращенных на двух подложках с разным уровнем легирования, проводилось по одинаковой постростовой технологии, включающей в себя следующие операции. Сначала выполнялось текстурирование поверхности СИД путем жидкостного химического травления для увеличения эффективности вывода излучения из кристалла. Затем проводилось осаждение просветляющего покрытия на основе слоев TiOx/SiO2, обеспечивающего увеличение выхода излучения из кристалла и выполняющего защитную функцию световыводящей поверхности СИД. Фронтальный полосковый омический контакт к слою GaAs p-типа проводимости формировался путем напыления слоев NiCr/Ag/Au толщиной 0.2–0.3 мкм, что обеспечивало получение низкого переходного контактного сопротивления ~(2–4) × 10–6 Ом∙см2. Тыльный омический контакт к подложке GaAs n-типа проводимости формировался на основе слоев Au(Ge)/NiV/Au толщиной 0.15–0.2 мкм c контактным сопротивлением ~(1–2) × 10–6 Ом∙см2. Для увеличения проводимости контактных шин и тыльного омического контакта осуществлялось электрохимическое осаждение слоев Ag/Ni/Au толщиной 2–4 мкм. Затем путем жидкостного химического травления слоев гетероструктур и подложки создавали мезоструктуру, которая обеспечивала снижение токов утечки по боковой поверхности разделительной канавки травления (мезы) при резке гетероструктуры на отдельные чипы. В итоге изготовлены СИД, образцы которых обозначены как “LDS-led” (“low-doped-substrate”, на подложке GaAs с концентрацией донорной примеси ~5 × 1017 см–3) и “HDS-led” (“high-doped-substrate”, на подложке с концентрацией примеси ~4 × 1018 см–3).
При изготовлении “инвертированных” СИД на основе гетероструктур обратного роста (рис. 1б) была применена технология их переноса на подложку-носитель с последующим удалением ростовой подложки. Последовательность операций данной технологии показана на рис. 2 и условно включает в себя четыре этапа. На первом этапе (рис. 2a) на поверхности гетероструктуры формируются точечные контакты диаметром 10 мкм p-типа проводимости на основе слоев NiCr/Ag/Au с шагом 75 мкм. Далее контактный слой p-GaAs удаляется путем травления в местах, свободных от точечных контактов, для формирования прозрачных окон для генерируемого излучения. После этого осаждается диэлектрическое покрытие на основе слоев SiO2 и на его поверхности формируется сплошной тыльный металлический отражатель на основе слоев NiCr(1 нм)/Ag/Au, закрытый дополнительными защитными барьерными слоями. На втором этапе (рис. 2б) осуществляется переворот гетероструктуры и ее фиксация с помощью сплава AuIn на подложке-носителе (n-GaAs) с предварительно осажденными контактными слоями на ее фронтальной и тыльной поверхностях. На третьем этапе (рис. 2в) проводится удаление ростовой подложки n-GaAs путем ее селективного стравливания до стоп-слоя Al0.9Ga0.1As, который также выполняет роль “жертвенного” слоя и затем стравливается до появления контактного слоя n-GaAs. На четвертом этапе (рис. 2г) проводится текстурирование световыводящей поверхности СИД с последующим формированием просветляющего покрытия TiOx/SiO2 и напылением полосковых контактов Au(Ge)/NiV/Au к слою n-GaAs. Далее проводили формирование разделительной мезоструктуры. Таким образом, с использованием технологии переноса на подложку-носитель был изготовлен образец СИД “TCS-led” (“transferred-to-carrier-substrate”).
Рис. 2. Последовательность постростовых операций при изготовлении инвертированных СИД на основе гетероструктур обратного роста с технологиями их переноса на подложку-носитель и нанесения тыльного металлического отражателя.
После завершения постростовых операций все типы гетероструктур разделяли по мезоструктуре на отдельные СИД, проводили их монтаж на керамические теплоотводящие основания, разварку токоотводящих проволочек и монтаж оптических элементов в виде силиконовых полусфер.
Методики исследования. Экспериментальные гетероструктуры с МКЯ исследовали путем анализа спектров фотолюминесценции (ФЛ), которые записывали при двух плотностях оптического возбуждения твердотельным лазером модели DTL-413 с излучением на длине волны 527 нм.
Для изучения изготовленных СИД провели измерения ватт-амперных характеристик, внешней квантовой эффективности (внешнего квантового выхода, EQE) и энергоэффективности (η) светодиодов. Измерения выполнены в широком диапазоне токов 0–1000 мА, пропускаемых через исследуемые образцы в импульсном режиме. Измерения проводили с помощью контрольного фотоприемника с известной спектральной фоточувствительностью на длине волны λ = 940 нм.
Определение спектральных характеристик осуществлялось в спектральном диапазоне 300–1100 нм. Для этого через чип СИД пропускали импульсный ток (5–300 мкс, скважность менее 1%) и проводили регистрацию напряжения на нем. Генерируемое излучение СИД поглощалось контрольным фотопреобразователем, выполнялась регистрация протекающего тока, после чего проводили расчет оптической мощности СИД. Внешнюю квантовую эффективность определяли с использованием измеренных ватт-амперных характеристик, а КПД оценивали как соотношение выведенной оптической мощности к введенной в СИД электрической.
Результаты и их обсуждение
Предложен способ оценки накопленного упругого напряжения в КЯ для обеих гетероструктур. Определена сумма произведений величин рассогласования параметров решетки материалов КЯ и матрицы (da/a) на значения их толщин (h). Величина da/a может иметь как положительное, так и отрицательное значение, а итоговая сумма позволяет приблизительно оценить упругое напряжение, которое нужно скомпенсировать за счет увеличения толщины слоев с обратным относительно полученного суммарного значения знаком. Размерность оценочной величины – ppm∙нм, где da/a измеряется в миллионных долях (parts per million, [26]). Для образца 940R эта величина оказалась в 2 раза больше: +135000 ppm∙нм против +63000 ppm∙нм для образца 850R, что объясняет низкий максимум ФЛ для 940R (рис. 3). Результаты расчета и величины интенсивности ФЛ сведены в табл. 2.
Рис. 3. Спектры ФЛ для гетероструктур 850R (1) и 940R (2) при комнатной температуре.
Таблица 2. Ростовые и оптические параметры экспериментальных гетероструктур МКЯ
Образец | xIn в InGaAs, % | tКЯ, Å | Промежуточный слой | tsp, нм | (da/a)h, ppm∙нм | IPLmax, отн. ед. |
850R | 10 | 30 | Al0.2GaAs | 30 | +63000 | 0.132 |
940R | 14 | 70 | GaAs | 14 | +135000 | 0.045 |
940SB1 | 17 | 46 | Al0.25GaAsP0.04 | 45 | +17500 | 0.048 |
940SB2 | 14 | 70 | GaAsP0.06 | 14 | +78000 | 0.064 |
940SB3A | 14 | 70 | Al0.2GaAs/GaAsP0.06 | 4/10 | +96500 | 0.056 |
940SB3B | 14 | 70 | Al0.2GaAs/GaAsP0.06 | 4/18 | +64000 | 0.066 |
Примечание. Для краткой формы записи индекс значения концентрации атомов в подрешетках третьей или пятой группы указан только для одного из элементов соответствующей подрешетки.
Для увеличения интенсивности фотолюминесценции от МКЯ на λ = 940 нм и улучшения структурного качества гетероструктуры необходимо минимизировать суммарное напряжение, для чего были рассмотрены два подхода: уменьшение концентрации In в КЯ (относительно 14% в реперной структуре) и использование слоев, компенсирующих напряжения в структуре. Согласно расчетам на основе твердотельной модели КЯ [27] для уменьшения концентрации In до 10%, как в образце 850R (при условии сохранения целевой длины волны 940 нм), требуется увеличение толщины КЯ до 10 нм и более. Эта величина приближается к величине критической толщины псевдоморфного слоя InGaAs [28], при которой происходит релаксация напряжений с образованием дислокаций несоответствия на границе слоев. Это приведет к появлению прорастающих дислокаций, ухудшающих электрофизические свойства материала и, соответственно, параметры СИД [29].
Перспективным подходом является внедрение в МКЯ слоев, компенсирующих напряжения. Чтобы компенсировать деформацию сжатия, вызванную МКЯ, необходимо внести в структуру соразмерную деформацию растяжения. Рассчитаны параметры для двух типов компенсирующих слоев: AlxGa1–xAsyP1–y и GaAsxP1–x.
Рассогласование параметра решетки (da/a) между AlxGa1–xAsyP1–y и матрицей составляет ~ –2000 ppm для составов с x = 0.25 и y = 0.96. Согласно расчету по твердотельной модели [30] при использовании слоя с такими параметрами в качестве компенсирующего (с полной заменой AlGaAs промежуточного слоя) для длины волны излучения λ = 940 нм концентрация In в КЯ InGaAs составляет 17%, а толщина hQW = 46 Å. Для расчета оптимальной толщины компенсирующего слоя для такой КЯ использовано выражение из теории упругости сплошных сред [26, 30]:
(1)
где a0 – постоянная решетки подложки, Acl и AQW – константы жесткости компенсирующего слоя и КЯ, зависящие от коэффициентов жесткости С11 и С12:
(2)
Согласно расчету оптимальная толщина компенсирующего слоя Al0.25Ga0.75As0.96P0.04 составляет 45 нм.
Для экспериментальной проверки расчета был выращен ряд гетероструктур с МКЯ In0.17Ga0.83As/Al0.25Ga0.75As0.96P0.04, в которых толщина компенсирующего слоя варьировалась от 30 до 75 нм (серия образцов 940SB1), и измерены их спектры ФЛ. Из зависимости максимальной интенсивности ФЛ (IPLmax) от толщины промежуточного слоя (рис. 4) видно, что значение оптимальной толщины компенсирующего слоя Al0.25Ga0.75As0.96P0.04 лежит в диапазоне 45–50 нм, что полностью согласуется с расчетной оценкой, полученной с применением теории упругости сплошных сред.
Рис. 4. Зависимость максимума IPL от толщины компенсирующего слоя в серии образцов In0.17GaAs/Al0.25GaAsP0.04 МКЯ (серия образцов 940SB1).
Однако применение компенсирующего слоя Al0.25Ga0.75As0.96P0.04 имеет два недостатка. Во-первых, толщины промежуточных слоев более 45 нм слишком велики для создания эффективной активной области СИД (уменьшаются электронно-дырочное перекрытие и скорость излучательной рекомбинации). Во-вторых, большая концентрация In (17%) ведет к условиям приближения толщины КЯ к критической, что также может отрицательно повлиять на качество гетероструктуры. Поэтому для уменьшения толщины компенсирующего слоя были рассчитаны его параметры на основе твердого раствора GaAsxP1–x, который обеспечивает большую деформацию сжатия при концентрации фосфора в подрешетке пятой группы ~6%. В таком случае рассогласование da/a между GaAs0.94P0.06 и матрицей составляет ~ –4000 ppm. Согласно расчету по твердотельной модели при замене AlGaAs на промежуточные слои GaAsP0.06 толщина КЯ составит 70 Å (при концентрации In ~ 14%), а расчет по формуле (2) дает толщину компенсирующего слоя GaAs0.94P0.06, равную 14 нм. Гетероструктура СИД, выращенная на основе МКЯ In0.14Ga0.86As/GaAs0.94P0.06, обозначена как 940SB2.
Можно оценить, что компенсирующие слои на основе как Al0.25Ga0.75As0.96P0.04, так и GaAs0.94P0.06 обеспечивают значение параметра решетки всей активной области с МКЯ (aMQW), близкое к окружающим их в структуре Al0.3Ga0.7As слоям (рис. 1), параметр решетки которых равен 5.656 Å. Если провести оценку по формуле, связывающей aMQW и параметры решетки КЯ и компенсирующего слоя [29]:
(3)
где hQW и hcl – толщины КЯ и компенсирующего слоя соответственно, aQW и acl – их параметры решеток, то величина aMQW для компенсирующего слоя Al0.25Ga0.75As0.96P0.04 составит 5.632 Å, а для GaAs0.94P0.06 – 5.655 Å.
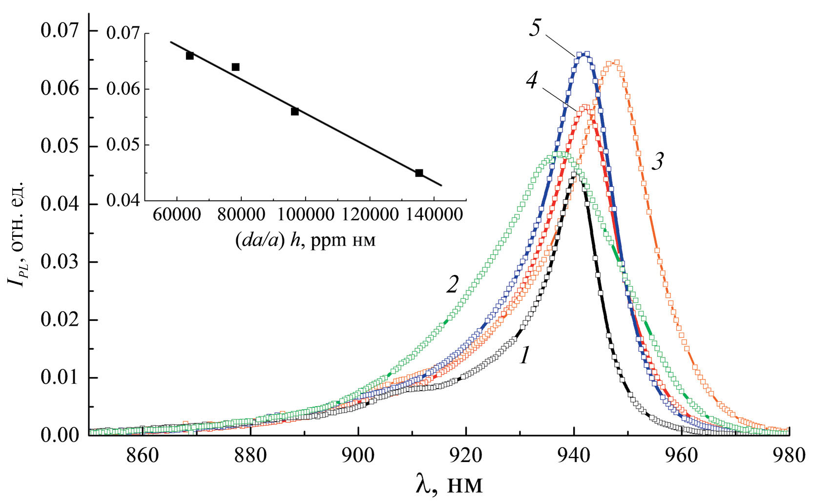
В [31] предложен подход, в котором в качестве компенсирующего слоя использована комбинация пар слоев AlGaAs и GaAsP. Отмечалось, что тонкий слой AlGaAs можно использовать, чтобы уменьшить “резкость” изменения баланса деформации растяжения и сжатия от двух смежных слоев КЯ InGaAs и компенсирующего слоя GaAsP. Для исследования данного подхода были выращены гетероструктуры с МКЯ In0.17Ga0.83As/Al0.20Ga0.80As/GaAsP0.06 (образцы 940SB3A и 940SB3B), различающиеся толщиной компенсирующего слоя GaAs0.94P0.06. В табл. 1 представлена последовательность слоев во всех выращенных гетероструктурах с МКЯ, а в табл. 2 сведены их ростовые и оптические параметры с указанием оценки изменения суммарного напряжения в гетероструктурах. Сравнение спектров ФЛ от всех исследованных гетероструктур с МКЯ приведено на рис. 5.
Рис. 5. Спектры ФЛ при комнатной температуре для гетероструктур с МКЯ: 1 – 940R, 2 – 940SB1, 3 – 940SB2, 4 – 940SB3A, 5 – 940SB3B; на вставке – зависимость максимума IPL при комнатной температуре от произведения da/a на толщину слоев.
Образцы с комбинированными компенсирующими слоями 940SB3A и 940SB3B продемонстрировали увеличенный максимум ФЛ IPL по сравнению с образцом 940SB1 (рис. 5, кривые 4, 5 и 1 соответственно). Относительный прирост IPL для образца 940SB3B составил 32%. Приведенная оценка величины суммарного упругого напряжения (произведения da/a на толщины слоев активной области) образца 940SB3B практически совпадает с аналогичным оценочным значением da/a для реперного образца 850R. В результате построенная зависимость IPL (рис. 5, вставка) от приведенной оценочной величины (da/a)h для всех исследованных гетероструктур достаточно хорошо коррелирует с оптическим качеством гетероструктуры, выраженным максимумом ФЛ.
Таким образом, в соответствии с разработанной технологией компенсации напряжений в активной области гетероструктур СИД обоих типов роста (рис. 1) были использованы слои In0.14Ga0.86As/Al0.20Ga0.80As/GaAs0.94P0.06 МКЯ, обеспечившие максимальный уровень ФЛ.
На рис. 6 представлены токовые зависимости EQE, η и выходной оптической мощности (Popt) полученных СИД.
Рис. 6. Токовые зависимости внешней квантовой эффективности (а), энергоэффективности (б), выходной оптической мощности для СИД на подложке с уровнем легирования 4 × 1018 см–3 (HDS-led), 5 × 1017 см–3 (LDS-led) и для СИД, изготовленного с использованием технологии переноса на подложку-носитель (TSC-led) (в).
Сравнение характеристик образцов HDS-led и LDS-led показывает существенное влияние степени легирования полупроводниковой подложки на внутренние оптические потери изготовленных СИД. Во-первых, наблюдается интенсивное поглощение на свободных носителях излучения λ = 940 нм в сильнолегированной (4 × 1018 см–3) подложке GaAs n-типа проводимости. Вывод излучения из СИД критично уменьшается, и максимальная внешняя квантовая эффективность приборов в этом случае составляет ~14%. При уменьшении уровня легирования подложки GaAs почти на порядок эффективность увеличилась на 30 отн. %.
Максимальный прирост как оптической, так и энергоэффективности достигается за счет полного удаления ростовой подложки GaAs и формирования тыльного металлического отражателя, обеспечивающего вывод излучения, распространяющегося в противоположную сторону от поверхности СИД (т. е. при технологии переноса гетероструктуры на подложку-носитель). Максимумы величин η и EQE инвертированного СИД TCS-led составили 39.8 и 40.9% соответственно. В табл. 3 представлены максимумы величин электрооптических характеристик, а также величины инжектируемого тока, при которых они были достигнуты.
Таблица 3. Максимумы характеристик изготовленных СИД
Образец | EQEmax, % (I, мА) | ηmax, % (I, мА) |
HDS-led | 14.1 (~300–700) | 13.6 (~200–400) |
LDS-led | 21.6 (150) | 23.1 (114) |
TCS-led | 40.9 (275) | 39.8 (85) |
Отметим, что обычно для СИД характерен эффект падения величины EQE при увеличении инжектируемого тока [32]. Эффект падения EQE – это проблема, широко обсуждаемая в литературе главным образом в отношении СИД на основе GaN, в которых степень падения внешней квантовой эффективности (EQEdroop) может доходить до 50%. К основным механизмам безызлучательной рекомбинации, которые лежат в основе падения EQE, принято относить оже-рекомбинацию, утечку носителей заряда, нагрев прибора, а также увеличение стока инжектированных носителей к центрам рекомбинации Шокли–Рида–Холла в дефектных участках КЯ [33]. Однако величина EQEdroop для всех исследованных в данной работе образцов не превышает 10% с увеличением инжектируемого тока вплоть до 1 А. Такой результат может быть следствием уменьшения плотности дефектов в МКЯ за счет применения технологии слоев, компенсирующих структурные напряжения. Выходная оптическая мощность полученных СИД сублинейно увеличивается с ростом инжектируемого тока и не достигает насыщения на всем диапазоне исследуемых токов.
Заключение
Созданы и исследованы ИК СИД с активной областью на основе InGaAs/AlGaAs МКЯ, излучающие на длине волны λ = 940 нм. Показано, что применение компенсирующих слоев в МКЯ таких СИД позволяет улучшить люминесцентные свойства активной области: зарегистрировано увеличение интенсивности ФЛ экспериментальных структур с промежуточными слоями Al0.20Ga0.80As/GaAs0.94P0.06 более чем на 30% по сравнению с реперными образцами без компенсирующих слоев. Благодаря уменьшению плотности дефектов, которые являются центрами безызлучательной рекомбинации в МКЯ, падение внешней квантовой эффективности изготовленных СИД не превышало 10% при увеличении рабочего тока до 1 А.
Исследованы оптические потери, вызванные поглощением на свободных носителях, при выводе генерируемого активной областью (λ = 940 нм) излучения из СИД при различном уровне легирования ростовой подложки n-GaAs. Показано, что уменьшение уровня донорного легирования с 4 × 1018 до 5 × 1017 см–3 дает относительный прирост эффективности СИД порядка 30%.
Наибольшие значения оптической и энергоэффективности достигнуты за счет полного удаления ростовой подложки GaAs и формирования тыльного металлического отражателя, обеспечивающего вывод излучения, распространяющегося в противоположную сторону от поверхности СИД. В результате применения технологии изготовления таких инвертированных СИД со встроенным металлическим отражателем продемонстрированы значения η = 39.8% при токе 85 мА и EQE = 40.9% при токе 275 мА.
About the authors
R. А. Salii
Ioffe Institute
Author for correspondence.
Email: r.saliy@mail.ioffe.ru
Russian Federation, St. Petersburg
A. V. Malevskaya
Ioffe Institute
Email: r.saliy@mail.ioffe.ru
Russian Federation, St. Petersburg
D. А. Malevskii
Ioffe Institute
Email: r.saliy@mail.ioffe.ru
Russian Federation, St. Petersburg
S. А. Mintairov
Ioffe Institute
Email: r.saliy@mail.ioffe.ru
Russian Federation, St. Petersburg
A. M. Nadtochiy
Ioffe Institute
Email: r.saliy@mail.ioffe.ru
Russian Federation, St. Petersburg
N. A. Kalyuzhnyy
Ioffe Institute
Email: r.saliy@mail.ioffe.ru
Russian Federation, St. Petersburg
References
- Vasilopoulou M., Fakharuddin A., Pelayo García de Arquer F. et al. // Nat. Photon. 2021. V. 15. P. 656. https://doi.org/10.1038/s41566-021-00855-2
- Lee H.-J., Park G.-H., So J.-S. et al. // Infrared Phys. Technol. 2021. V. 118. https://doi.org/10.1016/j.infrared.2021.103879
- Entropa A.G., Vasenev A. // Energy Proc. 2017. V. 132. P. 63. https://doi.org/10.1016/j.egypro.2017.09.636
- Kitabayashi H., Ishihara K., Kawabata Y. et al. // SEI Tech. Rev. 2010. V. 72. P. 71.
- Infrared Illumination for Time-of-Flight Applications. 2008. https://lumileds.com/wp-content/uploads/files/WP35.pdf
- Kim D.K., Lee H.J., Won-Chan An. et al. // J. Korean Phys. Soc. 2018. V. 72. № 9. P. 1020. https://doi.org/10.3938/jkps.72.1020
- Lin Hl., Zeng Xh., Shi Sm. et al. // Optoelectron. Lett. 2019. V. 15. № 2. P. 113. https://doi.org/10.1007/s11801-019-8113-6
- Peng Bai P., Zhang Y., Wang T. et al. // Semicond. Sci. Technol. 2020. V. 35. № 3. P. 035021. https://doi.org/10.1088/1361-6641/ab6dbf
- Shubert E.F. Light-Emitting Diodes (second edition). Cambridge University Press, 2006. https://doi.org/10.1017/CBO9780511790546
- Малевская А.В., Калюжный Н.А., Малевский Д.А. и др. // Физика и техника полупроводников. 2021. Т. 55. № 8. С. 699. https://doi.org/10.21883/FTP.2021.08.51143.9665
- Kim S.-D., Lee H., Harris J.S.J. // Electrochem. Soc. 1995. V. 142. № 5. P. 1667. https://doi.org/10.1149/1.2048636
- Yu Y., Qin X., Huang B. et al. // Vacuum. 2003. V. 69. P. 489. https://doi.org/10.1016/S0042-207X(02)00560-2
- Kim D.-K., Lee H.-J. // J. Nanosci. Nanotechnol. 2018. V. 18. № 3. P. 2014. https://doi.org/10.1166/jnn.2018.14952
- Xu D.P., D’Souza M., Shin J.C. et al. // J. Cryst. Growth. 2008. V. 310. P. 2370. https://doi.org/10.1016/j.jcrysgro.2007.11.218
- Moss T.S., Burrell G.J., Ellis B. Semiconductor Opto-Electronic. Butterworth & Co. Ltd, 1973. https://doi.org/10.1016/C2013-0-04197-7
- Pankove J.I. Optical processes in semiconductors. Prentice-Hall. Inc., 1971.
- Urbach F. // Phys. Rev. 1953. V. 92. P. 1324. https://doi.org/10.1103/PhysRev.92.1324
- Casey H.C., Sell D.D., Wecht K.W. // J. Appl. Phys. 1975. V. 46. № 1. P. 250. https://doi.org/10.1063/1.321330
- Гуревич С.А., Федорович А.Е., Федоров А.В. // Физика и техника полупроводников. 1991. Т. 5. С. 769.
- Abroug S., Saadallah F., Yacoubi N. // Eur. Phys. J. Spec. Top. 2008. V. 153. P. 29. https://doi.org/10.1140/epjst/e2008-00386-7
- Малевская А.В., Калюжный Н.А., Малевский Д.А. и др. // Физика и техника полупроводников. 2021. Т. 55. № 7. С. 614. https://doi.org/10.21883/FTP.2021.07.51028.9646
- Ahn S.-C., Lee B.-T., An W.-C. et al. // J. Korean Phys. Soc. 2016. V. 69. № 1. P. 91. https://doi.org/10.3938/jkps.69.91
- Малевская А.В., Калюжный Н.А., Минтаиров С.А. и др. // Физика и техника полупроводников. 2021. Т. 55. № 12. С. 1218. https://doi.org/10.21883/FTP.2021.12.51709.9711
- Tzou A.-J., Lin B.-Ch., Lee Ch.-Y. et al. // J. Photon. Energy. 2015. V. 5. P. 057604–14. https://doi.org/10.1117/1.JPE.5.057604
- Малевская А.В., Калюжный Н.А., Солдатенков Ф.Ю. и др. // ЖТФ. 2023. Т. 93. № 1. С. 170. https://doi.org/10.21883/JTF.2023.01.54078.166-22
- Bailey C.G., Hubbard S.M., Forbes D.V. et al. // Appl. Phys. Lett. 2009. V. 95. № 20. P. 203110. https://doi.org/10.1063/1.3264967
- Van de Walle C.G. // Phys. Rev. 1989. V. 39. № 3. P. 1871. https://doi.org/10.1103/PhysRevB.39.1871
- Rudinsky M.E., Karpov S. Yu., Lipsanen H. et al. // Mat. Phys. Mechanics. 2015. V. 24. № 3. P. 278. https://doi.org/10.1134/S1063782613090054
- Redaelli L., Mukhtarova A., Valdueza-Felip S. et al. // Appl. Phys. Lett. 2014. V. 105. № 13. P. 131105. https://doi.org/10.1063/1.4896679
- Ekins-Daukes N.J., Kawaguchi K., Zhang J. // Cryst. Growth Des. 2002. V. 2. № 4. P. 287. https://doi.org/10.1021/cg025502y
- An W.-C., Kim H.-G., Kwac L.-K. et al. // J. Nanosci. Nanotechnol. 2019. V. 19. P. 2224. https://doi.org/10.1166/jnn.2019.15974
- Cho J., Schubert E.F., Kim J.K. // Laser Photon. Rev. 2013. V. 7. № 3. P. 408. https://doi.org/10.1002/lpor.201200025
- Fu H., Zhao Y. Nitride Semiconductor Light-Emitting Diodes (LEDs) (Second Edition). Elsevier Ltd, 2018. https://doi.org/10.1016/B978-0-08-101942-9.00009-5
Supplementary files








