Chain-melting phase transition in a lamellar film of dimyristoyl-phosphatidylserine on the surface of a silica hydrosol
- Авторлар: Tikhonov A.M.1, Volkov Y.O.2, Nuzhdin A.D.2, Roshchin B.S.2, Asadchikov V.E.2
-
Мекемелер:
- P.L. Kapitza Institute for Physical Problems Russian Academy of Sciences
- Shubnikov Institute of Crystallography of Kurchatov Complex of Crystallography and Photonics of NRC “Kurchatov Institute”
- Шығарылым: Том 69, № 3 (2024)
- Беттер: 476-486
- Бөлім: ПОВЕРХНОСТЬ, ТОНКИЕ ПЛЕНКИ
- URL: https://bakhtiniada.ru/0023-4761/article/view/263056
- DOI: https://doi.org/10.31857/S0023476124030135
- EDN: https://elibrary.ru/XODMAF
- ID: 263056
Дәйексөз келтіру
Толық мәтін
Аннотация
Structural dynamics of multilayer of dimyristoyl-phosphatidylserine formed on the surface of silica sol with 5 nm nanoparticles size has been investigated by X-ray reflectometry and grazing-incidence diffraction at 71 keV photon energy. Combined model-based and modelless analysis of reflectometry data revealed the structure consisting of a surface monolayer and a stack of lamellar bilayers sandwiched between water layers, with a spatial period of ~ 150 Å. With increase in temperature above the chain-melting point the surface monolayer is observed to transition from a surface crystal phase with minimal area-per-lipid value of (40 ± 1) Å2 to a disordered liquid phase with estimated area-per-lipid value of (52 ± 2) Å2. Under low temperatures both monolayer and bilayer slabs contain 5 to 8 H2O molecules bound to lipid PS-fragment; however, above the melting point the amount of contained water rises to about 14 molecules per bilayer headgroup.
Толық мәтін
ВВЕДЕНИЕ
Биологические мембраны на границах раздела вода–жидкость играют важную роль во многих клеточных процессах. Фосфолипидный бислой обычно рассматривается как модель клеточной мембраны, поэтому изучение его свойств является предметом множества биофизических исследований [1]. Монослойные и бислойные системы, состоящие из различных типов липидов, представляют интерес для биомедицинских исследований, поскольку они имитируют поверхность естественной мембраны [2, 3]. Одной из нерешенных проблем в области межфазных явлений является точная характеристика структуры фосфолипидного бислоя в среде водного раствора электролита. Эта задача осложняется тем, что характерный радиус спонтанной кривизны фосфолипидного бислоя в водной среде составляет менее 30 мкм [4]. Как следствие, макроскопически плоские образцы для структурных исследований обычно приготавливают либо с помощью метода Ленгмюра–Блоджетт [5], либо путем нанесения липосом на различные твердые подложки [6, 7]. Первый метод – относительно простая и недорогая технология, позволяющая создавать достаточно плоские протяженные ламеллярные пленки из монослоев Ленгмюра, изначально сформированных на границе раздела воздух–вода [8]. Второй метод не позволяет получить однородные образцы с достаточно большими геометрическими параметрами, что необходимо, например, в экспериментах по рентгеновскому поверхностному рассеянию [9]. Таким образом, большинство исследований, связанных с поверхностными свойствами фосфолипидов, посвящено изучению либо планарных ленгмюровских монослоев [10], либо растворов одиночных униламеллярных везикул и трехмерных многослойных агрегатов на твердых подложках [11].
В [12] описана новая многослойная технология, основанная на спонтанном формировании планарной ламеллярной структуры (например, молекул цвиттерионного фосфолипида 1,2-дистеароил-sn-глицеро-3-фосфохолина (DSPC)) на поляризованной поверхности раствора кремнеземного гидрозоля [13]. Специфическая особенность такой системы заключается в наличии на поверхности гидрозоля широкого электрического двойного слоя [14], электрическое поле в котором ориентирует молекулы-диполи нанесенного липида [15]. Толщина липидной пленки (количество монослоев в ней) может контролироваться путем изменения уровня pH в гидрозольной субфазе [16]. Этот относительно новый метод открывает перспективы для изучения бислойных систем с помощью поверхностно-чувствительных методов с высоким пространственным разрешением, основанных на рентгеновском и нейтронном рассеянии [17, 18]. Метод может быть полезен и для различных приложений, связанных с многослойными амфифильными тонкими пленками, например в нанотехнологиях, при производстве современных электронных устройств или в оптике, что широко обсуждается в литературе [19–21].
В данной работе с помощью синхротронного рентгеновского рассеяния исследована термотропная динамика структуры гидратированного ламеллярного мультислоя заряженного насыщенного фосфолипида 1,2-димиристоил-sn-глицеро-3-фосфо-L-серина (DMPS) вблизи температуры фазового перехода плавления углеводородных цепей Tc ≈ 36°C [22]. Рассмотренная система позволяет одновременно исследовать и напрямую сравнивать термотропное поведение монослоя и бислоя липида в одном эксперименте. Чтобы восстановить структуру пленок DMPS по глубине с достаточно высокой степенью достоверности, провели расширенный анализ данных рентгеновского рассеяния на основе безмодельного подхода [23].
МАТЕРИАЛЫ И МЕТОДЫ
Образцы фосфолипидных мультислоев DMPS (Avanti Polar Lipids) размещали в герметичном одноступенчатом термостате с рентгенопрозрачными окнами, описанном в [24]. Липидные пленки на поверхности коллоидного кремнезема, служившего подложкой, подготавливали во фторопластовой тарелке диаметром 100 мм. Концентрированный гомогенизированный раствор Ludox FM, стабилизированный гидроксидом натрия (Grace-Davison), содержал частицы кремнезема диаметром ~50 Å (15 мас. % SiO2, pH ≈ 10). Длина экранирования Дебая в суспензии диоксида кремния составляет ≈ 400 Å, где ε0 – электрическая постоянная, ε1 – диэлектрическая проницаемость воды, kB – постоянная Больцмана, NA – постоянная Авогадро, e – элементарный заряд, c– – объемная концентрация OH– (10–4 моль/л при pH =10).
Для создания липидной пленки на поверхность суспензии диоксида кремния с помощью дозирующего шприца Hamilton была нанесена капля 7 мкл раствора фосфолипида (30 мг/мл в смеси хлороформа и метанола 10:1). Количества вещества в такой капле достаточно для формирования многослойной структуры, состоящей примерно из десяти монослоев DMPS. Растекание липида по мениску сопровождалось падением поверхностного натяжения γ на границе раздела воздух–гидрозоль от начального значения 74 мН/м до конечного 35–40 мН/м. Затем липидная пленка уравновешивалась внутри термостата при T = 23°C в течение ~1 ч.
Поперечную и поверхностную структуры мультислоя DMPS на границе раздела воздух–гидрозоль исследовали методами рентгеновской рефлектометрии и дифракции в скользящей геометрии падения соответственно. Измерения проводили на станции ID31 Европейского центра синхротронных исследований (ESRF, Гренобль, Франция) [25]. В экспериментах использовали сфокусированный монохроматический пучок с энергией фотонов ~71 кэВ (λ = 0.1747 ± 0.0003 Å) и интенсивностью до 1010 фотон/с. Поперечный размер пучка составлял 250 × 10 мкм. Сбор данных осуществляли с помощью ПЗС-детектора MaxiPix [26] (256 × 256 пикселей, линейный размер пикселя 55 мкм).
Определим kin и ksc как волновые векторы с амплитудой k0 = 2π/λ для падающего и рассеянного пучков соответственно (рис. 1). Удобно ввести систему координат, в которой начало координат O находится в центре области засветки, плоскость xy совпадает с границей раздела воздух–золь, ось x перпендикулярна направлению пучка, а ось z проходит вдоль нормали к поверхности в направлении, противоположном направлению силы гравитации. Обозначим α – угол падения, β – угол между плоскостью поверхности жидкости и направлением на детектор в плоскости падения yz, а φ – угол между направлением падающего луча и направлением рассеяния в плоскости xy. Таким образом, компоненты вектора рассеяния q = kin – ksc в межфазной плоскости равны qx = k0(cosβcosφ – cosα) и qy = k0cosαsinφ соответственно, его проекция на ось z: qz = k0(sinα + sinβ).
Рис. 1. Кривые отражения рентгеновского излучения R(qz) для мультислоя DMPS на поверхности кремнеземного гидрозоля с наночастицами размером 5 нм. Кривые 1–5 соответствуют данным, полученным при T ≈ 23, 28, 34, 37 и 40°C соответственно. Сплошные и пунктирные линии соответствуют результатам безмодельной и модельной реконструкции соответственно. Вставка: кинематика рассеяния рентгеновских лучей на границе раздела воздух–золь.
Измерения рентгеновского коэффициента отражения проводили при β = α и φ = 0°, так что q направлен точно по нормали к поверхности, и |q| = qz = 2k0sinα. Угол полного внешнего отражения αc для границы раздела воздух–золь составляет ≈ 1.8 × 10–2° (qc ≈ 0.022 Å–1), где re = 2.814 × 10–5 Å – томсоновская длина рассеяния электрона. Этот угол определяется объемной плотностью электронов гидрозольной подложки ρb ≈ ρw, где ρw ≈ 0.333 э/Å–3 – электронная плотность воды при нормальных условиях. Коэффициент отражения R ≈ 1 при qz < qc.
На рис. 1 показана зависимость R(qz) для поверхностей гидрозольной подложки с липидными пленками DMPS. Кривые 1, 2, 3, 4 и 5 измерены при температурах T ≈ 23, 28, 34, 37 и 40°C соответственно. С ростом температуры характерные периодические пики в интервале малых qz (кривая 1 при qz < 0.3 Å–1) постепенно сглаживаются и практически исчезают при самой высокой температуре.
На рис. 2 показана интегральная интенсивность скользящей дифракции ID(q||). Эта интенсивность выражается как функция компоненты вектора рассеяния в плоскости межфазных границ q|| = (qx2 + qy2)1/2. Поскольку в проведенном эксперименте α, β << 1, то q|| ≈ (4π/λ)sin(φ/2). Дифракционные данные были получены при угле падения α ≈ 8×10–3° и проинтегрированы по углу β от 0° до 1° при T = 23 (кружки) и 40°C (квадраты). Это соответствует состояниям липидной пленки до и после фазового перехода плавления, происходящего в объеме DMPS при Tc ≈ 36°C. Отметим, что интенсивность дифракционного пика по отношению к зеркальному отражению настолько мала, что сопоставима с уровнем шумового фона рассеяния в эксперименте. Шумовой фон измеряли отдельно и затем вычитали из дифракционной кривой.
Рис. 2. Интегральная интенсивность скользящей дифракции ID(q||) от мультислоя DMPS. Круги и квадраты представляют данные, полученные при 23 (1) и 40°C (2) соответственно. Сплошная линия иллюстрирует аппроксимацию дифракционного пика функцией Гаусса.
АНАЛИЗ ДАННЫХ РЕНТГЕНОВСКОГО РАССЕЯНИЯ
Зеркальное отражение. Кривые отражения и дифракции в ходе эксперимента усредняли по области засветки S, составляющей ~0.5 см2. Это позволяет рассматривать структуру в представлении слоистой планарно-неоднородной среды, предполагающем, что латеральные корреляции рельефа в плоскости xy не зависят от распределения электронной плотности по глубине ρ(z). Чтобы решить обратную задачу рентгеновской рефлектометрии с достаточно высокой степенью достоверности и получить информацию о строении границы раздела в направлении, нормальном к поверхности, применяли модельно-независимый подход [27], основанный на экстраполяции асимптотического поведения коэффициента отражения R в область больших значений волнового вектора [23]. Существенное отличие от традиционного анализа на основе структурных моделей заключается в том, что он не требует априорных предположений о внутренней структуре объекта. Ранее этот метод использовался для изучения кинетики формирования схожей ламеллярной структуры в мультислоях DSPC на поверхности подложки из кремнеземных гидрозолей [15].
В рамках модельно-независимого подхода единственное ключевое допущение заключается в том, что распределение поляризуемости δ(z) содержит ряд особых “точек разрыва”, в которых первая производная функции δ(z) = Re(1 − ε) (где ε – диэлектрическая проницаемость в рентгеновском спектре) изменяется скачком ∆(zj) = dδ(zj + 0)/dz − dδ(zj − 0)/dz, где zj – координата j-й точки разрыва. Конечный набор таких точек однозначно определяет асимптотическое поведение кривой отражения, которое в рассмотренном случае соответствует асимптотике Порода R ∝ (1/q)4 [28]. Для кривой отражения R(qz), экспериментально измеренной в ограниченном диапазоне qz, оценка автокорреляций распределения поляризуемости по глубине проводится посредством модифицированного преобразования Фурье [23]:
(1)
где k = qz/2, а интервал интегрирования от kmin до kmax определяется в пределах измеренного интервала qz. Анализ функции F(x) для различных комбинаций значений kmin и kmax дает набор устойчивых экстремумов в фиксированных точках x = dij, в которых F(dij) ≈ ∆(zi)∆(zj). В общем случае существуют только два физически разумных распределения δ(z), которые удовлетворяют экспериментально измеренной кривой R(qz), обеспечивают заданный набор особых точек и отличаются только последовательностью расположения этих точек вдоль оси z. Единственность решения обратной задачи рефлектометрии, полученного этим методом, подробно обсуждается в [27].
Далее профиль параметризуется посредством ступенчатой функции Хевисайда H(z) [29]. Структура при этом представлена набором M ≈ 100 тонких однородных срезов так, что с фиксированным положением особых точек zj. Затем расчетная кривая отражения R(qz,δ(z)) численно подгоняется к экспериментальным данным Rexp(qz) с помощью значения поляризуемости всех слоев в распределении δ(z1...zM) в качестве параметров оптимизации [30]. Поскольку в данном случае задача численной подгонки является плохо обусловленной, для получения устойчивого решения ввели дополнительный регуляризующий член , обеспечивающий гладкость искомого распределения в интервалах между особыми точками. Для численного поиска решения был применен стандартный алгоритм Левенберга–Марквардта [31]. Все расчеты реализованы в среде языка Python с использованием пакета Scientific Python [32]. Полученный посредством такой процедуры профиль поляризуемости для конкретной среды δ(z) однозначно определяет распределение электронной плотности по глубине ρ(z) ≈2πδ(z)/r0λ2 [33].
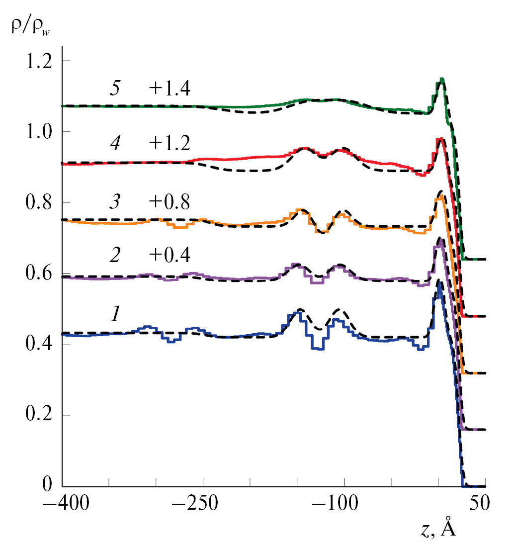
Сплошные линии на рис. 1 показывают подгоночные кривые зеркального отражения, рассчитанные по нормированным профилям электронной плотности ρ(z)/ρw (рис. 3). Видно, что расчеты хорошо согласуются с экспериментальными данными. Обозначения кривых цифрами на рис. 1 и 3 соответствуют данным, полученным при T ≈ 23, 28, 34, 37 и 40°C.
Рис. 3. Профили электронной плотности ρ(z), рассчитанные в рамках модельно-независимого (сплошные линии) и модельного (пунктирные линии) подходов. Кривые 1–5 соответствуют данным, полученным при T ≈ 23, 28, 34, 37 и 40°C соответственно. Для удобства кривые сдвинуты вдоль оси ординат. Значения нормированы на электронную плотность воды при нормальных условиях ρw = 0.333 э/Å–3.
Скользящая дифракция. На рис. 2 кривая 1 (T < Tc) проявляет ярко выраженный дифракционный пик при q|| = 1.52 Å–1, соответствующий упорядоченной молекулярной структуре DMPS. Сплошная линия иллюстрирует аппроксимацию дифракционного пика функцией Гаусса со значением полуширины ∆q ≈ 0.03 Å–1. Кривая 2 на рис. 2 показывает плоский фон рассеяния при высоких температурах T > Tc; исчезновение дифракционного пика указывает на структурное разупорядочение поверхности.
В условиях скользящего падения (α < 0.9αc) глубина проникновения рентгеновских лучей в вещество составляет порядка Λ ≈ λ/2παc ≈ 50 Å; таким образом, незеркальное рассеяние происходит только на тонком приповерхностном слое. Интенсивность скользящей дифракции ID определяется уравнением
(2)
где r = (x,y) – радиус-вектор, а S – площадь засветки. Наличие двумерных корреляций в плоскости поверхности приводит к возникновению брэгговских дифракционных полос при q = 2π/|h|, где h – вектор обратной решетки [34]. Второй интеграл в уравнении (2) соответствует структурному фактору приповерхностного слоя вдоль оси z.
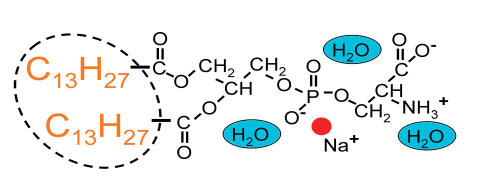
Структурная модель. Традиционно в молекуле фосфоглицерида DMPS выделяют гидрофобную и гидрофильную части (рис. 4). Первая часть образована двумя алифатическими цепями –C13H27 глицериновых эфиров миристиновой кислоты в положениях C1 и C2. Вторая часть образована полярным глицерол-3-фосфо-L-сериновым (PS) мотивом. В фосфатидилсериновой мембране катион Na+ располагается преимущественно рядом с фосфатной группой. Общее число электронов в натриевой соли C34H65NO10PNa составляет Γh + Γt = 381, где Γh = 171 и Γt/2 = 105 – число электронов в PS-фрагменте с Na+ и углеводородном хвосте – C13H27 соответственно. Общая длина молекулы DMPS составляет ~25 Å.
Рис. 4. Химическая структура ионизированной молекулы DMPS. Гидрофобные компоненты показаны пунктиром.
Рассчитанные профили электронной плотности на рис. 3 содержат особенность в виде острого пика на границе раздела воздух–липидная пленка, которая соответствует слою толщиной d ≈ 30 Å; это приблизительно соответствует толщине ленгмюровского монослоя DMPS [35]. Следующая особенность расположена на расстоянии w ~ 100 Å от монослоя и имеет ширину 2d, что предположительно соответствует липидному бислою. Поэтому дальнейшую интерпретацию рис. 3 целесообразно проводить в рамках традиционного модельного подхода (например, [36]). В первом приближении достаточно ограничиться слоистой моделью (рис. 5) с четырьмя наиболее выраженными структурными элементами, а именно монослоем DMPS и бислоем, зажатым между слоями воды с плотностью ~ρw. Модельный профиль ρ(z), соответствующий такой структуре, имеет вид ρ(z) ≈ ρb/2 + P1 + P2, который включает в себя две структурные компоненты и объемную компоненту ρb/2.
Рис. 5. Структурная модель многослойной пленки DMPS, построенная на основе анализа безмодельных расчетов.
Профиль P1, соответствующий монослою DMPS, описывается уравнением
(3)
где параметры подгонки: ρ0 ≈ ρw – электронная плотность слоя воды, L0 ≡ 0 – положение границы раздела вода–полярная группа (z = 0), ρ3 = 0 – электронная плотность воздуха. L1 и L2 – толщины слоев, образованных головными и ацильными группами DMPS соответственно. ρ1 и ρ2 – средние значения электронной плотности в области головных и ацильных групп соответственно, σ0 – шероховатость поверхности [37, 38]. Первый член суммы в уравнении (3) соответствует границе между поверхностью головных групп липида и водной подложкой, второй – границе между областями ацильной и головной групп, а третий – границе между внешней средой и алифатическими хвостами монослоя.
Можно предположить, что бислой находится между слоями раствора электролита (“водные” слои) и образован двумя липидными монослоями, ориентированными алифатическими хвостами друг к другу (“хвост к хвосту”). Тогда бислойная часть профиля P2 определяется уравнением с шестью подгоночными параметрами:
(4)
где l0 = l4 = w, l1 = l3 (~ L1), l2 (~ 2L2) – толщины областей головной и ацильной групп модельного бислоя соответственно. ζ1 = ζ3 и ζ2 представляют усредненные электронные плотности областей, образованных головной и ацильной группами соответственно. ζ0 ≡ ζ4 ≡ ρ0 ≈ ρw и ζ5 ≡ ρb. Как и в уравнении (3), слагаемые уравнения (4) отражают изменение электронной плотности на четырех границах модельного бислоя, зажатого между двумя слоями воды толщиной w.
Для оценки подгоночных параметров использовали первое борновское приближение, которое связывает градиент электронной плотности по нормали к границе раздела, усредненный в плоскости раздела фаз , с зеркальным отражением как [39]:
(5)
где – коэффициент отражения Френеля.
На рис. 1 и 3 пунктирными линиями приведены соответственно результаты подгонки кривых отражения и модельные профили. Показаны только модели с минимальным числом подгоночных параметров. В этих моделях параметры слоя “воды” (w, ρ0) практически одинаковы для всех подгонок и оцениваются как w ≈ 95 Å и ρ0 ≈ ρw. Предполагаемая общая толщина модельных профилей составляет ~300 Å. При T < Tc экспериментальные кривые отражения адекватно описываются слоистой моделью с восемью подгоночными параметрами; в этой модели бислой состоит из двух поверхностных монослоев “хвост к хвосту” (l1 = l3 = L1, ζ1 = ζ3 = ρ1, l2 = 2L2, ζ2 = ρ2) и параметра шероховатости σeff ≠ σ0. Для описания экспериментальных данных при T > Tc требуется еще один свободный подгоночный параметр (ζ1 ≠ ρ1). Оценки параметров оптимизации уравнения (3) для монослоя и уравнения (4) для бислоя представлены в табл. 1 и 2 соответственно. С одной стороны, количественная модель, учитывающая более одного липидного бислоя, лучше соответствует данным, полученным как при 23, так и при 28°C, однако требует большого числа подгоночных параметров, что неизбежно приводит к большей неоднозначности в их оценочных значениях. С другой стороны, для решения обратной задачи рефлектометрии модельный подход, основанный на объемных ограничениях [40], вряд ли применим в данном случае из-за относительно небольшого доступного диапазона qz в соответствующих наборах данных.
Таблица 1. Оценочные параметры модели монослоя DMPS согласно (3)
T, °C | L1, Å | L2, Å | ρ1/ρw | ρ2/ρw | σ0, Å | A, Å2 |
23 | 11.6 ± 0.2 | 14.7 ± 0.2 | 1.53 ± 0.03 | 1.03 ± 0.03 | 3.8 ± 0.2 | 40 ± 1 |
28 | 13.4 ± 0.2 | 12.5 ± 0.2 | 1.38 ± 0.03 | 0.96 ± 0.03 | 3.4 ± 0.2 | 46 ± 1 |
34 | 14.7 ± 0.2 | 11.0 ± 0.2 | 1.29 ± 0.03 | 0.88 ± 0.03 | 3.4 ± 0.2 | 51 ± 2 |
37 | 12.8 ± 0.2 | 11.6 ± 0.2 | 1.27 ± 0.03 | 0.88 ± 0.03 | 3.2 ± 0.2 | 52 ± 2 |
40 | 12.8 ± 0.2 | 12.1 ± 0.2 | 1.28 ± 0.03 | 0.92 ± 0.03 | 3.3 ± 0.2 | 51 ± 2 |
Примечание. L1, L2 – толщины областей головной и ацильной групп соответственно, ρ1, ρ2 – усредненные электронные плотности в областях головной и ацильной групп. Шероховатость σ0 – подгоночный параметр для модели монослоя. Электронные плотности нормированы на плотность воды при нормальных условиях ρw ≈ 0.333 э/Å–3. A – расчетная площадь на молекулу липида в поверхностном монослое.
Таблица 2. Оценочные параметры модели бислоев DMPS согласно (4)
T, °C | l, Å | w, Å | ζ0/ρw | ζ1/ρw | σeff, Å | ∆Γ/10 |
23 | 53 ± 1 | 95 ± 3 | 1.05 ± 0.01 | 1.53 ± 0.03 | 10 ± 1 | 5 ± 1 |
28 | 52 ± 1 | 97 ± 3 | 1.05 ± 0.02 | 1.38 ± 0.03 | 12 ± 1 | 8 ± 1 |
34 | 51 ± 1 | 93 ± 3 | 1.03 ± 0.02 | 1.29 ± 0.03 | 10 ± 1 | 10 ± 1 |
37 | 49 ± 1 | 95 ± 3 | 1.02 ± 0.02 | 1.57 ± 0.03 | 14 ± 1 | 14 ± 1 |
40 | 50 ± 1 | 85 ± 5 | 1.01 ± 0.02 | 1.51 ± 0.03 | 19 ± 1 | 14 ± 1 |
Примечание. Электронные плотности нормированы на плотность воды при нормальных условиях ρw ≈ 0.333 э/Å–3. ∆Γ/10 – расчетное число молекул H2O, связанных с головной группой DMPS в бислое.
РЕЗУЛЬТАТЫ И ИХ ОБСУЖДЕНИЕ
Рассчитанные распределения электронной плотности по глубине (рис. 2) показывают наличие структуры общей толщиной от 500 до 300 Å (~ΛD). Эта структура состоит из поверхностного монослоя и квазипериодической ламеллярной компоненты, где расстояние между бислоями полярных молекул DMPS составляет ~100 Å. Аналогичные структуры наблюдались для пленок цвиттерионных фосфохолинов на поверхности раствора кремнезоля [41]. Профили указывают на улучшение упорядоченности липидных слоев по мере их близости к поверхности. Подобная особенность была описана для пленочных структур, например жидкого индия [42], и для ламеллярных пленок DSPC [15], однако в изученных пленках обнаружены существенные различия. Во-первых, типичное время спонтанного упорядочения τ для пленки DMPS составляет менее одного часа, что значительно быстрее, чем τ ~ 24 ч, наблюдавшиеся ранее для мультислоев цвиттерионного липида DSPC [15]. Во-вторых, характерный период структуры в мультислое DMPS составляет ~150 Å, что в 3 раза больше ожидаемой толщины бислоя DMPS ~ 50 Å, а также периодов ламеллярных структур, формируемых нейтральными фосфохолинами 60–70 Å [41].
Отметим, что толщина монослоя d = L1 + L2 сопоставима с глубиной проникновения излучения Λ, ввиду чего в эксперименте по скользящей дифракции фактически исследовали только структуру верхнего монослоя. Один выраженный дифракционный пик на рис. 2 при 1.52 Å–1 указывает, что на границе раздела воздух–пленка в низкотемпературной фазе существует высокосимметричная гексагональная решетка углеводородных цепей липида – C13H27 с параметром a = 4.8 ± 0.1 Å. Этот результат соответствует максимальному значению удельной площади на цепь S0 = 19.7 ± 0.8 Å2; в пределах погрешности это значение совпадает с таковым для ламеллярных везикул DMPS: S0 ≈ 20.4 Å2 [11, 43, 44]. Однако это значение соответствует несколько меньшей (на 5%) площади на молекулу, A = 2S0, чем в монослоях липида DSPC (39.7 против 41.6 Å2). Такая относительно небольшая площадь на молекулу является нетривиальной, поскольку головные группы DMPS заряжены и поэтому отталкиваются друг от друга. В [45] предполагалось, что уменьшение площади на головную группу, например, в бислоях очень похожего соединения 1,2-дипальмитоил-sn-глицеро-3-фосфосерина (DPPS) происходит из-за сильной межмолекулярной координации между молекулами фосфосериновых липидов. В [43] подробно обсуждалась эта особенность.
В интервале температур T < Tc двухслойная модель (уравнение (3)) эффективно описывает этот структурный элемент с параметрами, которые примерно равны параметрам для жидкокристаллического (ЖК) состояния ленгмюровского монослоя DMPS; эти параметры подробно рассмотрены в [46]. В частности, при площади на липид A ≈ 41 Å2 предполагается, что с молекулой DMPS связаны примерно три молекулы воды. Расчетное число электронов в модельном поверхностном монослое составляет Γ = A(ρ1L1 + ρ2L2). Тогда избыток электронов на молекулу DMPS в монослое можно оценить как ∆Γ = Γ − (Γh + Γt). Такое расхождение в электронной плотности обусловлено наличием добавочных гидратированных молекул воды и, возможно, некоторого количества анионов OH– и катионов Na+, проникающих в липидную пленку из объема подложки в процессе упорядочения пленки. Перенос и накопление этих ионов в фосфолипидной пленке, предположительно, происходит по механизму электропорации, который ранее был предложен для объяснения времени установления равновесия в многослойных пленках DSPC [15, 47]. Общее количество накопленного вещества на одну головную группу липида может быть оценено как ~∆Γ/10, учитывая, что катион Na+, молекула H2O и анион OH– содержат по 10 электронов. Аналогичным образом можно оценить степень гидратации липидных молекул в бислое (табл. 2). Если учесть, что при упорядочении пленки с фрагментом PS (например, рядом с аминогруппой) может связываться до одной дополнительной пары ионов (Na+, OH–) в дополнение к одному катиону натрия вблизи фосфатной группы, то число молекул воды, связанных с липидной головкой в монослое (бислое), достигает минимума ∆Γ/10 − 2.
При повышении температуры резкие особенности на профилях ρ(z), связанные с ламеллярной структурой на рис. 3, постепенно сглаживаются. При температурах T > Tc особенность, связанная с поверхностным монослоем на рис. 3, заметно уменьшается. Выше перехода плавления пик на кривой скользящей дифракции также исчезает (рис. 2), что свидетельствует о неупорядоченном (жидком) состоянии монослоя. Если использовать плотность ацильных хвостов ρ2 как меру их упорядоченности, то можно оценить значение площади на молекулу в модельном монослое на основе расчетов молекулярной динамики для жидкого монослоя Ленгмюра [46], хотя эти термодинамические фазы принципиально различны. Например, в расплавленном состоянии при T = 37°C ρ2 ≈ 0.88ρw соответствует площади монослоя на молекулу A, равной 52 ± 2 Å2.
Значения подгоночного параметра шероховатости σ0 согласуются со значениями в модели капиллярно-волновой структуры поверхности. В проведенном эксперименте σ0 задалась коротковолновым пределом Qmax = 2π/a и длинноволновым Qmin = qzmax∆β в спектре капиллярных волн [38]:
(6)
где a ≈ 10 Å – параметр порядка межмолекулярного расстояния, угловое разрешение детектора 2∆β ≈ 0.04 мрад, qzmax ≈ 0.6 Å–1. Для поверхностного натяжения γ ≈ 45 мН/м уравнение (6) дает значение σ0 ≈ 3.8 Å, что примерно равно значению подгонки при T = 23°C. Согласно уравнению (6) уменьшение параметра σ0 с 3.8 до 3.3 Å при увеличении температуры с 23 до 40°C может указывать на увеличение поверхностного натяжения γ на ~10 мН/м.
За исключением эффективной шероховатости и интегральной плотности, параметры для модельного бислоя с конфигурацией “хвост к хвосту” совпадают с параметрами монослоя во всем диапазоне измеренных температур (табл. 2). Расчетная толщина бислоя немного уменьшается с ростом температуры, от 53 ± 2 Å при 28°C до 49 ± 2 Å при 40°C. Оценки ∆Γ/10 показывают, что с повышением температуры гидратация бислоя увеличивается примерно в 3 раза, с 5 до 14 молекул воды и ионов на молекулу липида. Отметим, что при температуре выше Tc степень гидратации бислоя сравнима с гидратацией объемных гексагональных Pβʹ и орторомбических Lβʹ ЖК-фаз, например, липида DPPC [48]. Кроме того, при T > Tc значение ζ1 настолько велико (ζ1 > ρ1), что количество воды в бислое почти в 2 раза превышает расчетные восемь молекул H2O на головную группу в поверхностном монослое.
Эффективная шероховатость σeff варьируется от 10 до 20 Å в измеренном диапазоне температур, таким образом, она всегда значительно превышает вклад капиллярно-волновой шероховатости σ0. Эта эффективная шероховатость обычно связана с наличием внутренней структуры некапиллярно-волнового характера, например, из-за приближения наночастиц SiO2 из объема подложки к поверхности и нарушения тем самым планарной структуры бислоя. По-видимому, плавление цепей в липидной пленке облегчает проникновение наночастиц субфазы в поверхностную структуру, что также может способствовать как переносу расплавленного липидного вещества в объем раствора, например, за счет броуновского движения частиц, так и их конденсации на гидрофильной поверхности поверхностного монослоя [49].
Параметры фаз в представленной термодинамической системе удобно сравнить с результатами моделирования с помощью молекулярной динамики (МД) для бислоев липидов фосфосерина и фосфохолина, погруженных в электролитную среду. Согласно МД-расчетам [43] для разупорядоченной фазы, площадь на головную группу в бислое DPPS 53.8 ± 0.1 Å2 на 13% меньше, чем в бислое DPPC. Аналогичное значение 54 Å2 на одну головную группу DPPS было получено в [44]. Эти цифры находятся в довольно хорошем согласии с полученной оценкой площади на молекулу для бислоя DMPS в расплавленном состоянии 52 ± 2 Å2, а также с экспериментальными значениями в интервале 45–55 Å2, полученными для других систем [50, 51].
В данной работе обратимость перехода плавления в липидной пленке не изучали, поскольку это требует очень длительных измерений, которые, в свою очередь, противоречат ограниченным временным рамкам синхротронного эксперимента. Однако предполагаем, что характерное время перестройки липидной пленки из расплавленного состояния в упорядоченное может значительно превышать время начального формирования при температуре ниже Tc (~1 ч). На кинетику этого процесса также может влиять радиационное повреждение пленки, что было детально изучено для ленгмюровских монослоев DMPS в [52].
ВЫВОДЫ
Новая методика формирования мультислоев, объединенная с методами синхротронной рентгеновской рефлектометрии и скользящей дифракции, применена для изучения структуры и гидратации макроскопически плоской ламеллярной пленки димиристойл-производного PS в области фазового перехода плавления при 36°C. Чтобы решить обратную задачу рентгеновской рефлектометрии с достаточно высокой степенью достоверности и получить информацию о поверхностной и поперечной структуре пленки на границе раздела, объединили два взаимно независимых подхода. Первый не требует никаких предварительных предположений о структуре межфазной границы (“безмодельный” подход), в то время как второй подход требует некоторую априорную информацию о возможном строении полярных слоев на межфазной границе (“модельный” подход). Расширенный анализ данных рентгеновского отражения позволил выявить особенности, связанные с послойной структурой пленки DMPS, и связать эти детали с гидратацией и в некоторой степени с распределением ионных зарядов на границах раздела.
Безмодельная реконструкция выявила характерный пространственный период в мультислое DMPS, который составляет ~150 Å. Анализ реконструкции показывает, что бислой формируется из двух плоских монослоев, зажатых между слоями воды (раствора электролита). На основе этого результата построена качественная параметрическая модель структуры, состоящая из монослоя липидов на границе с воздухом и бислоев “хвост к хвосту” между слоями воды толщиной ~100 Å, которая достаточно хорошо описывает данные рефлектометрии.
При повышении температуры выше Tc в поверхностном монослое толщиной ~26 Å происходит переход от кристаллической фазы с площадью на липид 40 ± 1 Å2 к разупорядоченной (жидкой) фазе с оценочной площадью на липид 52 ± 2 Å2. Общая оценочная толщина модельного бислоя составляет до 51 ± 2 Å. При 23°C расчетная эффективная ширина границы раздела вода–бислой–вода составляет ~10 Å, что значительно больше, чем установленное значение 3.8 ± 0.2 Å для ширины границы раздела воздух–монослой–вода. Кроме того, при T > Tc первое значение увеличивается до 20 Å, а второе уменьшается до 3.3 ± 0.2 Å; такие оценки (для границы раздела воздух–монослой–вода) находятся в интервале значений шероховатости, соответствующих поверхностным капиллярным волнам. Полученные данные свидетельствуют о том, что при низких температурах с фрагментом PS плотно связаны от трех до пяти молекул воды как в монослое, так и в бислое. Однако при температурах выше перехода плавления с головными группами бислоя связаны до 14 молекул воды, что почти в 2 раза больше, чем 8 молекул на головную группу в поверхностном монослое. Параметры структуры плоских бислоев DMPS согласуются с ранее опубликованными данными как по результатам исследований растворов липосом на основе малоуглового рассеяния, так и по результатам МД-расчетов.
Авторы выражают благодарность В. Хонкимаки, Х. Изерн и Ф. Руссело (ESRF) за помощь в проведении экспериментов.
Работа выполнена в рамках государственных заданий НИЦ “Курчатовский институт” и Института физических проблем РАН. Эксперименты на синхротронной станции ID31 выполнены в рамках проекта ESRF SC-4845.
Авторлар туралы
A. Tikhonov
P.L. Kapitza Institute for Physical Problems Russian Academy of Sciences
Хат алмасуға жауапты Автор.
Email: tikhonov@kapitza.ras.ru
Ресей, Moscow
Yu. Volkov
Shubnikov Institute of Crystallography of Kurchatov Complex of Crystallography and Photonics of NRC “Kurchatov Institute”
Email: tikhonov@kapitza.ras.ru
Ресей, Moscow
A. Nuzhdin
Shubnikov Institute of Crystallography of Kurchatov Complex of Crystallography and Photonics of NRC “Kurchatov Institute”
Email: tikhonov@kapitza.ras.ru
Ресей, Moscow
B. Roshchin
Shubnikov Institute of Crystallography of Kurchatov Complex of Crystallography and Photonics of NRC “Kurchatov Institute”
Email: tikhonov@kapitza.ras.ru
Ресей, Moscow
V. Asadchikov
Shubnikov Institute of Crystallography of Kurchatov Complex of Crystallography and Photonics of NRC “Kurchatov Institute”
Email: tikhonov@kapitza.ras.ru
Ресей, Moscow
Әдебиет тізімі
- Small D.M. The Physical Chemistry of Lipids. New York: Plenum Press, 1986.
- Möhwald H. // Handbook of Biological Physics / Eds. Lipowsky R., Sackmann E. Amsterdam: Elsevier Science, 1995. P. 161.
- Stefaniu C., Brezesinski G., Möhwald H. // Adv. Colloid Interface Sci. 2014. V. 208. P. 197. https://doi.org/10.1016/j.cis.2014.02.013
- Needham D., McIntosh T.J., Evans E. // Biochemistry 1988. V. 27. № 13. P. 4668. https://doi.org/10.1021/bi00413a013
- Blodgett K.B., Langmuir I. // Phys. Rev. 1937. V. 51. № 11. P. 964. https://doi.org/10.1103/PhysRev.51.964
- Johnson S.J., Bayerl T.M., McDermott D.C. et al. // Biophys. J. 1991. V. 59. № 2. P. 289. https://doi.org/10.1016/s0006-3495(91)82222-6
- Théato P., Zentel R. // Langmuir. 2000. V. 16. № 4. P. 1801. https://doi.org/10.1021/la990292l
- Basu J.K., Sanyal M.K. // Phys. Rep. 2002. V. 363. № 1. P. 1. https://doi.org/10.1016/S0370-1573(01)00083-7
- Koo J., Park S., Satija S. et al. // J. Colloid Interface Sci. 2008. V. 318. № 1. P. 103. https://doi.org/10.1016/j.jcis.2007.09.079
- Kaganer V.M., Möhwald H., Dutta P. // Rev. Mod. Phys. 1999. V. 71. № 3. P. 779. https://doi.org/10.1103/RevModPhys.71.779
- Kucerka N., Liu Y., Chu N. et al. // Biophys. J. 2005. V. 88. № 4. P. 2626. https://doi.org/10.1529/biophysj.104.056606
- Тихонов А.М. // Письма в ЖЭТФ 2010. Т. 92. № 5. С. 394. https://doi.org/10.1134/S0021364010170182
- Tikhonov A.M. // J. Chem. Phys. 2009. V. 130. № 2. P. 024512. https://doi.org/10.1063/1.3056663
- Тихонов А.М., Асадчиков В.Е., Волков Ю.О. и др. // ЖЭТФ 2021. T. 159. № 1. C. 5. https://doi.org/10.31857/S0044451021010016
- Тихонов А.М., Асадчиков В.Е., Волков Ю.О. и др. // Письма в ЖЭТФ 2016. Т. 104. № 12. С. 880. https://doi.org/10.1134/S0021364016240139
- Тихонов А.М., Асадчиков В.Е., Волков Ю.О. // Письма в ЖЭТФ. 2015. Т. 102. № 7. С. 530. https://doi.org/10.1134/S0021364015190157
- Helm C.A., Tippmann-Krayer P., Möhwald H. et al. // Biophys. J. 1991. V. 60. № 6. P. 1457. https://doi.org/10.1016/s0006-3495(91)82182-8
- Delcea M., Helm C.A. // Langmuir 2019. V. 35. № 26. P. 8519. https://doi.org/10.1021/acs.langmuir.8b04315
- Chen X., Lenhert S., Hirtz M. et al. // Acc. Chem. Res. 2007. V. 40. № 6. P. 393. https://doi.org/10.1021/ar600019r
- Purrucker O., Förtig A., Lüdtke K. et al. // J. Am. Chem. Soc. 2005. V. 127. № 4. P. 1258. https://doi.org/10.1021/ja045713m
- Kaur H., Yadav S., Srivastava A.K. et al. // Sci. Rep. 2016. V. 6. P. 34095. https://doi.org/10.1038/srep34095
- Lewis R.N., McElhaney R.N. // Biophys. J. 2000. V. 79. № 4. P. 2043. https://doi.org/10.1016/s0006-3495(00)76452-6
- Kozhevnikov I.V. // Nucl. Instrum. Methods Phys. Res. A. 2003. V. 508. № 3. P. 519. https://doi.org/10.1016/S0168-9002(03)01512-2
- Тихонов А.М., Асадчиков В.Е., Волков Ю.О. и др. // Приборы и техника эксперимента. 2021. Т. 64. № 1. С. 1. https://doi.org/10.1134/S0020441221010139
- Honkimäki V., Reichert H., Okasinski J.S., Dosch H. // J. Synchrotron Rad. 2006. V. 13. № 6. P. 426. https://doi.org/10.1107/s0909049506031438
- Ponchut C., Rigal J.M., Clément J. et al. // J. Instrumentation. 2011. V. 6. P. C01069. https://doi.org/10.1088/1748-0221/6/01/C01069
- Kozhevnikov I.V., Peverini L., Ziegler E. // Phys. Rev. B. 2012. V. 85. № 12. P. 125439. https://doi.org/10.1103/PhysRevB.85.125439
- Wong P. // Phys. Rev. B. 1985. V. 32. № 11. P. 7417. https://doi.org/10.1103/physrevb.32.7417
- Kanwal R.P. Generalized Functions: Theory and Technique. 2nd ed. Boston: Birkhäuser Verlag, 1998.
- Parratt L.G. // Phys. Rev. 1954. V. 95. № 2. P. 359. https://doi.org/10.1103/PhysRev.95.359
- Nocedal J., Wright S. Numerical Optimizaton. 2nd ed. New York: Springer, 2006.
- Oliphant T.E. // Comput. Sci. Eng. 2007. V. 9. № 3. P. 10. https://doi.org/10.1109/MCSE.2007.58
- Henke B.L., Gullikson E.M., Davis J.C. // Atomic Data Nucl. Data Tables. 1993. V. 54. № 2. P. 181. https://doi.org/10.1006/adnd.1993.1013
- Als-Nielsen J., Jacquemain D., Kjaer K. et al. // Phys. Rep. 1994. V. 246. № 5. P. 251. https://doi.org/10.1016/0370-1573(94)90046-9
- Möhwald H. // Annu. Rev. Phys. Chem. 1990. V. 41. P. 441. https://doi.org/10.1146/annurev.pc.41.100190.002301
- Hanley L., Choi Y., Fuoco E.R. et al. // Nucl. Instrum. Methods Phys. Res. B. 2003. V. 203. P. 116. https://doi.org/10.1016/S0168-583X(02)02183-3
- Buff F.P., Lovett R.A., Stillinger F.H. // Phys. Rev. Lett. 1965. V. 15. № 15. P. 621. https://doi.org/10.1103/PhysRevLett.15.621
- Braslau A., Deutsch M., Pershan P.S. et al. // Phys. Rev. Lett. 1985. V. 54. № 2. P. 114. https://doi.org/10.1103/PhysRevLett.54.114
- Als-Nielsen J. // J. Phys. B. Condens. Matter. 1985. V. 61. № 4. P. 411. https://doi.org/10.1007/BF01303545
- Schalke M., Lösche M. // Adv. Colloid Interface Sci. 2000. V. 88. № 1–2. P. 243. https://doi.org/10.1016/s0001-8686(00)00047-6
- Тихонов А.М. // ЖЭТФ. 2020. Т. 131. № 5 (11). С. 821. https://doi.org/10.1134/S1063776120100088
- Tostmann H., DiMasi E., Pershan P.S. et al. // Phys. Rev. B. 1999. V. 59. № 2. P. 783. https://doi.org/10.1103/PhysRevB.59.783
- Pandit S.A., Berkowitz M.L. // Biophys. J. 2002. V. 82. № 4. P. 1818. https://doi.org/10.1016/s0006-3495(02)75532-x
- Petrache H.I., Tristram-Nagle S., Gawrisch K. et al. // Biophys. J. 2004. V. 86. № 3. P. 1574. https://doi.org/10.1016/s0006-3495(04)74225-3
- Loʹpez Cascales J., García de la Torre J., Marrink S.J., Berendsen H.J. // J. Chem. Phys. 1996. V. 104. № 7. P. 2713. https://doi.org/10.1063/1.470992
- Ermakov Y.A., Asadchikov V.E., Roschin B.S. et al. // Langmuir 2019. V. 35. № 38. P. 12326. https://doi.org/10.1021/acs.langmuir.9b01450
- Tarek M. // Biophys. J. 2005. V. 88. № 6. P. 4045. https://doi.org/10.1529/biophysj.104.050617
- Ruocco M.J., Shipley G.G. // Biochim. Biophys. Acta. 1982. V. 691. № 2. P. 309. https://doi.org/10.1016/0005-2736(82)90420-5
- Асадчиков В.Е., Волков В.В., Волков Ю.О. и др. // Письма в ЖЭТФ 2011. Т. 94. № 7. С. 625. https://doi.org/10.1134/S0021364011190040
- Cevc G., Watts A., Marsh D. // Biochemistry. 1981. V. 20. № 17. P. 4955. https://doi.org/10.1021/bi00520a023
- Demel R.A., Paltauf F., Hauser H. // Biochemistry 1987. V. 26. № 26. P. 8659. https://doi.org/10.1021/bi00400a025
- Danauskas S.M., Ratajczak M.K., Ishitsuka Y. et al. // Rev. Sci. Instrum. 2007. V. 78. № 10. P. 103705. https://doi.org/10.1063/1.2796147
Қосымша файлдар







