Influence of the domain structure of LaBGeO₅ polar crystals on their gyrotropic properties
- Authors: Konstantinova A.F.1, Golovina T.G.1, Mareev E.I.1, Butashin A.V.1, Volchkov I.S.1, Gainutdinov R.V.1, Asharchuk N.M.1, Kasimova V.M.2, Zabelina E.V.2, Kozlova N.S.2
-
Affiliations:
- Shubnikov Institute of Crystallography of Kurchatov Complex of Crystallography and Photonics of NRC “Kurchatov Institute”
- National University of Science and Technology MISIS
- Issue: Vol 69, No 3 (2024)
- Pages: 429-437
- Section: ФИЗИЧЕСКИЕ СВОЙСТВА КРИСТАЛЛОВ
- URL: https://bakhtiniada.ru/0023-4761/article/view/263042
- DOI: https://doi.org/10.31857/S0023476124030079
- EDN: https://elibrary.ru/XOOWZP
- ID: 263042
Cite item
Full Text
Abstract
The spectra of transmission coefficients and absorption indices of monodomain and polydomain LaBGeO₅ samples were measured. It is shown that for a more accurate measurement of the rotation of the plane of polarization of light, it is necessary to use the transmission coefficient spectra not only for parallel and crossed polarizers, but also at other angles between them. The obtained values of p for both samples are described quite well by a single variance using the Drude formula. This is consistent with the fact that the value of p should not change with monodomenization of the crystal at a given symmetry (P31 in the ferroelectric phase and P3121 in the paraelectric phase). It is shown that the generation of the second harmonic of the Cherenkov type is observed only in a polydomain sample, while the radiation of the second harmonic is not polarized. The domain structure of the samples was observed by scanning electron microscopy and piezoelectric force microscopy. For a polydomain sample, the presence of a labyrinthine domain structure was shown, for a monodomain sample, no contrast changes were observed within the scanning area.
Full Text
ВВЕДЕНИЕ
Кристалл LaBGeO5 впервые выращен в 1990 г. и на основании структурных исследований отнесен к семейству стиллвеллита CeBSiO5 (пр. гр. P31, а = 0.7020(5), с = 0.6879(4) нм) [1]. Сегнетоэлектрические свойства данного кристалла обнаружены и описаны в [2, 3]: при охлаждении до температуры ТC = 530°С в нем наблюдается фазовый переход в полярную фазу с изменением точечной симметрии 32 → 3 (P3121 → P31). Диэлектрические, тепловые и пироэлектрические свойства LaBGeO5 исследованы в [4–6], доменная структура и особенности переключения спонтанной поляризации – в [7, 8].
Изучены спектры комбинационного рассеяния, оптические и нелинейно-оптические свойства кристаллов LaBGeO5, включая показатели преломления, спектры показателей поглощения и люминесценции [9]. При этом оптическая активность кристаллов LaBGeO5 измерена только при одной длине волны [10]. При пико- и фемтосекундной накачке объемного кристалла LaBGeO5 возбуждена конусно-кольцевая генерация второй гармоники (ГВГ) с фазовым согласованием черенковского типа; впервые наблюдалась так называемая “черенковская радуга” [11]. Кристалл LaBGeO5 допускает частичное замещение ионов лантана на люминесцирующие редкоземельные ионы с близким радиусом (Nd3+, Pr3+) с сохранением структуры стиллвеллита, что делает возможным его использование в качестве активной среды для лазеров с самоудвоением частоты [9]. Монокристаллы LaBGeO5 являются перспективными кандидатами для создания эффективных лазерных источников в УФ-диапазоне [12].
Цель настоящей работы – провести сравнение некоторых свойств монодоменных и полидоменных кристаллов LaBGeO5, включая доменную структуру, оптическую активность и ГВГ.
ОПТИЧЕСКИЕ СВОЙСТВА КРИСТАЛЛОВ LaBGeO5
Рост кристаллов. Кристаллы LaBGeO5 выращивали методом Чохральского из расплава при температуре ~1200°C. Затравку вырезали вдоль тройной оси, скорость подъема затравки ~1–2 мм/ч. Основными препятствиями в получении прозрачных совершенных кристаллов были: интенсивное испарение борного ангидрида из расплава, его высокая вязкость и склонность к переохлаждению [9]. В таких условиях кристалл LaBGeO5 получался полидоменным [2]. Для монодоменизации использовали стандартную процедуру с нанесением электродов на шлифованные Z-грани вырезанной из кристалла шайбы с дальнейшим нагреванием до ~600°C и медленным охлаждением в постоянном электрическом поле до комнатной температуры.
Исследованы два образца LaBGeO5, вырезанные перпендикулярно оптической оси: монодоменный образец (1) толщиной d1 = 9.33 мм и полидоменный образец (2) толщиной d2 = 5.7 мм.
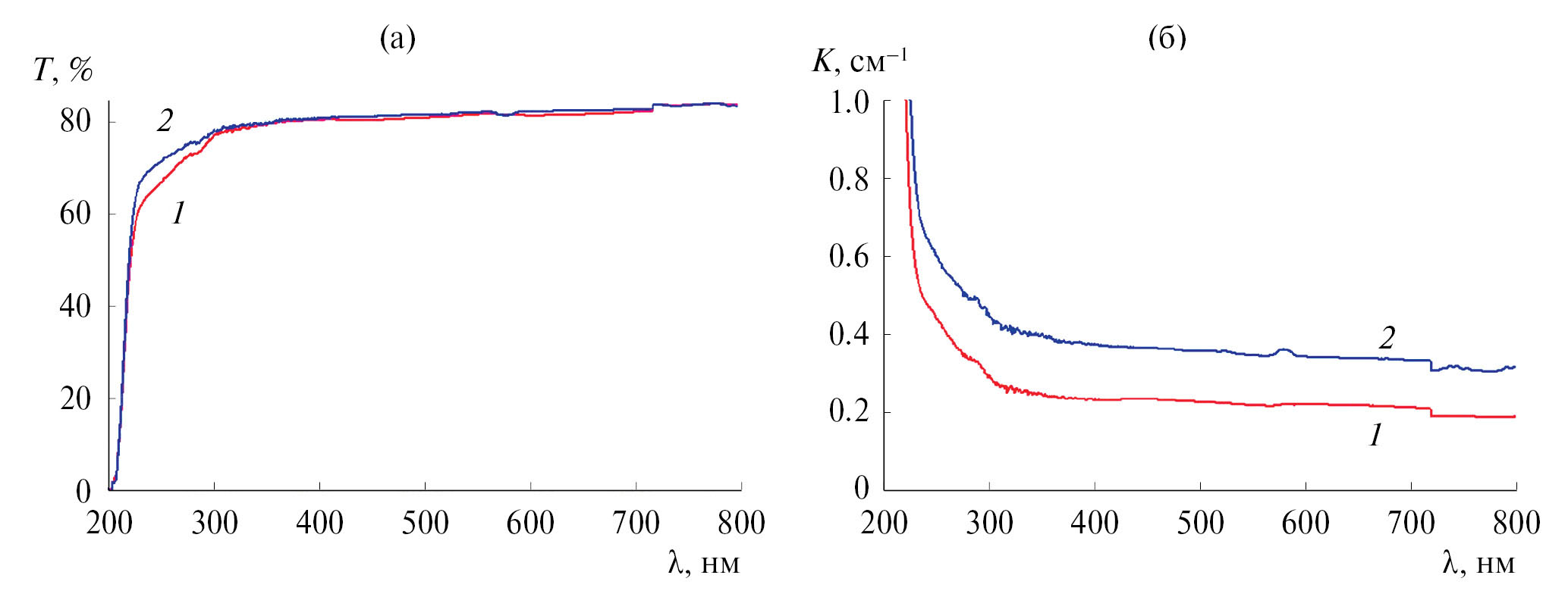
Спектры коэффициентов пропускания и показателей поглощения. Спектры коэффициентов пропускания кристаллов LaBGeO5 в неполяризованном свете измеряли в диапазоне 200–1000 нм с шагом 1 нм на спектрофотометре Cary-5000 с универсальной измерительной приставкой UMA [13]. Полученные спектры показаны на рис. 1а.
Рис. 1. Спектры коэффициентов пропускания (а) и показателей поглощения (б) образцов LaBGeO5 в неполяризованном свете: кривые 1 и 2 соответствуют образцам 1 и 2.
Показатель поглощения K можно оценить по приближенной формуле [14]:
(1)
где T = I/I0 – измеренный коэффициент пропускания, I0, I – соответственно интенсивности падающего и прошедшего света, d = d1,2 – толщина образца. Полученные зависимости K от длины волны показаны на рис. 1б. Видно, что величины K для образца 2 больше, чем для образца 1. Например, при 589 нм K1 = 0.2185 см–1 (образец 1), K2 = 0.3486 см–1 (образец 2).
Оптическая активность одноосных кристаллов в первую очередь характеризуется вращением плоскости поляризации света (ρ) при его распространении в направлении оптической оси [15]. Для определения величины ρ необходимы измерения спектров коэффициентов пропускания в поляризованном свете для пластинок, вырезанных перпендикулярно оптической оси. Такие измерения проведены в диапазоне 200–1000 нм с шагом 1 нм на спектрофотометре Cary-5000 с универсальной измерительной приставкой UMA [13] с использованием двух поляризаторов Глана–Тейлора.
Пусть α и β – углы между направлениями наибольшего пропускания поляризатора и анализатора и осью x в выбранной системе координат (ось x перпендикулярна оптической оси кристалла). Тогда интенсивность прошедшего света при произвольном угле τ = α – β между поляризатором и анализатором рассчитывается по формуле [16]:
(2)
где ζ = Kd, ρ – вращение плоскости поляризации света.
Наиболее часто при расчетах используют интенсивности света при параллельных (I||) и скрещенных (I⊥) поляризаторах, но иногда целесообразно использовать другие углы τ [17]. При разных углах τ между поляризатором и анализатором получим формулы:
(3)
максимумы и минимумы I⊥ и I|| соответствуют ρd = π/2 + πn, n – целое число;
(4)
максимумы и минимумы I45 и I–45: ρd = π/4 + πn;
(5)
максимумы и минимумы I30 и I–60: ρd = π/6 + πn; для I60 и I–30: ρd = π/3 + πn.
Отметим, что при расчете по формуле (3) первый максимум I⊥ и минимум I|| имеют место при ρd = π/2, что может быть неудобно при малых величинах оптической активности ρ. Тогда целесообразно использовать формулы (4) и (5).
Измеренные дисперсии интенсивностей прошедшего света приведены на рис. 2. На всех спектрах образца 1 имеется не больше одного максимума и одного минимума, на спектрах образца 2 – или один максимум, или один минимум, что свидетельствует о небольшой величине вращения плоскости поляризации света для обоих образцов.
Рис. 2. Экспериментальные спектры коэффициентов пропускания в поляризованном свете при углах τ = 0°, ±30°, ±45°, ±60°, 90° между поляризатором и анализатором: а, б – образец 1, в, г – образец 2.
Для оценки величины ρ использовали максимумы и минимумы, а также точки пересечения для всех измеренных зависимостей для обоих образцов. Дисперсию ρ рассчитывали по формуле Друде [18]:
(6)
где λ0 принималось равным соответствующему значению для показателя преломления обыкновенной волны (λ0 = 0.1173 мкм) [9]. Величину KD определяли, аппроксимируя прямой линией зависимость 1/ρ = (λ2 – λ02)/KD (рис. 3а). Из рис. 3а следует, что значения 1/ρ для обоих образцов достаточно хорошо аппроксимируются одной прямой, получено значение KD = 1.15. Экспериментальные и рассчитанные по формуле (6) значения ρ для обоих образцов приведены на рис. 3б. Видно, что экспериментальные точки достаточно хорошо согласуются с рассчитанной дисперсией. Полученные результаты соответствуют тому факту, что оптическая активность должна быть одинакова в монодоменном и полидоменном кристаллах при данной симметрии [18, 19]. В кристалле LaBGeO5 имеет место фазовый переход из параэлектрической фазы с симметрией 32 в сегнетоэлектрическую фазу с симметрией 3, обе фазы являются гиротропными. При этом домены имеют вращение одного знака (в данном случае кристаллы правые), и гиротропия кристалла не должна меняться ни при монодоменизации, ни при переполяризации.
Рис. 3. Зависимость величины 1/ρ от (λ2 – λ02) и ее аппроксимация прямой линией (а); дисперсия ρ (б). Кружки – образец 1, квадратики – образец 2.
Сравнение спектров коэффициентов пропускания, рассчитанных по формуле (2) с использованием дисперсии ρ (6), с экспериментальными показано на рис. 4 для некоторых значений τ. Видно, что положения максимумов, минимумов и точек пересечения экспериментальных (сплошные линии) и рассчитанных (пунктир) кривых совпадают достаточно хорошо. Численные значения коэффициентов пропускания различаются, что связано, вероятно, с несовершенством образца [20].
Рис. 4. Экспериментальные (сплошные линии) и рассчитанные (пунктир) спектры коэффициентов пропускания света при разных значениях τ: а, б – образец 1, в, г – образец 2.
При исследовании кристаллов LaBGeO5 выявлено, что их оптическая активность не слишком велика. В таком случае для получения большего числа максимумов и минимумов функции (2) целесообразно использовать спектры коэффициентов пропускания не только при параллельных и скрещенных поляризаторах, но и при других углах между ними (например, ±30°, ±45°, ±60°). Получены значения вращения плоскости поляризации света ρ, которые удовлетворительно описываются формулой Друде (рис. 3). В пределах погрешности величины ρ одинаковы для обоих образцов, что согласуется с теорией [18, 19].
ГЕНЕРАЦИЯ ВТОРОЙ ГАРМОНИКИ ЧЕРЕНКОВСКОГО ТИПА В КРИСТАЛЛЕ LaBGeO5
Синхронная генерация второй гармоники (ВГ) в нелинейных кристаллах происходит строго под определенными углами фазового синхронизма, когда групповые скорости обыкновенной и необыкновенной волн совпадают. При этом ГВГ черенковского типа возможна при любых углах падения лазерного импульса на кристалл. Впервые ГВГ черенковского типа зарегистрирована в полидоменном кристалле LaBGeO5 и описана в [11], где ВГ возбуждалась пикосекундным излучением титан-сапфировой лазерной системы при мягкой фокусировке в образец, при этом было проведено упрощенное описание ГВГ черенковского типа без учета влияния полидоменности на процесс генерации. Позднее экспериментально и теоретически было показано, что ГВГ черенковского типа происходит только при условии, что лазерный импульс распространяется в области с локализованной пространственной модуляцией квадратичной нелинейной восприимчивости χ(2) [21–23].
В приближении дальнего поля интенсивность ВГ, генерируемой в нелинейных кристаллах, пропорциональна квадрату коэффициентов Фурье, полученных в результате фурье-преобразования пространственного распределения нелинейности χ(2). Для пространственного распределения χ(2), модулированного в плоскости xy (перпендикулярной оси распространения лазерного импульса z), интенсивность ВГ в дальнем поле можно записать как [21, 22]:
(7)
где deff – эффективный коэффициент нелинейности второго порядка; IFW – интенсивность лазерного импульса на фундаментальной длине волны, распространяющегося вдоль оси z; Lz – длина нелинейной среды; S(Δkx, Δky) – фурье-спектр доменной структуры с поперечными векторами фазовой расстройки Δkx, Δky. Для угла излучения ВГ θ в xz-плоскости компоненты вектора фазовой расстройки могут быть записаны как Δkx = k2ωsinθ – 2kωsinα, Δky = 0, Δkz = k2ωcosθ – – 2kωcosα, где α – угол падения световой волны фундаментальной частоты ω на нелинейный кристалл, kω, k2ω – волновые векторы волны на фундаментальной частоте и частоте ВГ соответственно. При θ = θc (угол Черенкова) Δkz = 0, т. е. процесс ГВГ фазово согласован на протяжении всего домена. В монодоменном кристалле S практически равно нулю, и ГВГ черенковского типа не происходит. Так как распределение доменов в полидоменном образце случайно, величина |S(Δkx, Δky)| должна быть заменена на среднее значение <|S(Δkx, Δky)|>, рассчитанное для всех доменов.
Это доказывает, что резкая модуляция χ(2) является достаточным условием для излучения ВГ по Черенкову в ацентричных кристаллах [23]. Такая модуляция может быть обусловлена наличием в кристалле LaBGeO5 сегнетоэлектрических доменов [2].
Эксперименты по оптической регистрации ВГ черенковского типа проводили с использованием фемтосекундного лазерного излучения на длине волны 1030 нм (ТЕТА-20, Авеста-проект). Длительность лазерного импульса составляла 200 фс, энергия – 1 мДж, частота повторения – 1 кГц. Лазерное излучение с диаметром пучка 5 мм проходило сквозь образец – полидоменный кристалл LaBGeO5, интенсивность составляла ~2.5 × × 108 Вт/см2. После образца устанавливали экран для наблюдения ВГ, сгенерированной в кристалле. Вторая гармоника представляет собой кольцо [21, 22] с конусным углом 36.9° ± 0.1° (рис. 5а). В монодоменном кристалле кольцевой ГВГ не наблюдалось.
Рис. 5. Фотография излучения ВГ черенковского типа (а) и зависимость энергии ВГ от угла поворота полуволновой пластины (б) для полидоменного образца 2.
Также провели измерение поляризации ВГ и эффективности ее генерации. Для этого с помощью диэлектрических зеркал излучение на основной длине волны направляли вбок, а энергию ВГ измеряли с помощью измерителя мощности Coherent. Предварительно ВГ была сфокусирована на измеритель мощности с помощью линзы с фокусным расстоянием 75 мм. Эффективность преобразования составила ~0.7%. Для измерения поляризации в схему после линзы помещали полуволновую пластину, а также призму Глана, измеритель мощности был заменен на кремниевый фотодетектор. Сигнал с фотодетектора регистрировался осциллографом Tektronix. Для вращения поляризации использовалась полуволновая пластина (Авеста-проект, Троицк, Россия), поворачивающая плоскость поляризации ВГ, шаг поворота пластины составлял 5°. Зависимость интенсивности ВГ от угла поворота полуволновой пластины представлена на рис. 5б, из которого можно сделать вывод, что излучение ВГ не поляризовано. Вероятно, это вызвано случайной ориентацией доменов внутри образца [21]. В отличие от [11] фокусировку в объем кристалла не проводили, что позволяет считать фронт квазиплоским, при этом высокие интенсивности достигаются за счет гораздо меньшей длительности лазерного импульса. Кроме того, в такой геометрии измерена поляризация ВГ черенковского типа, а также эффективность ее генерации.
ДОМЕНЫ В КРИСТАЛЛАХ LaBGeO5
Для получения изображений доменной структуры образцов LaBGeO5 использовали методы растровой электронной микроскопии (РЭМ) [24] и силовой микроскопии пьезоотклика (СМП) [25].
Изображения получены на растровом электронном микроскопе JCM-6000 PLUS (Jeol, Япония) в режиме вторичных электронов при ускоряющем напряжении 15 кВ.
Эксперименты по исследованию поверхности образцов методом СМП проводили в контролируемых условиях измерительного комплекса “TRACKPORE ROOM-05”, класс чистоты 5 ИСО (100) с поддержанием влажности (40 ± 1 отн. %) и температуры (22 ± 0.05°C). Поверхность образцов изучали с помощью сканирующего зондового микроскопа NTEGRA Prima (НТ-МДТ, Россия) с использованием кремниевых кантилеверов (HA_FM/Pt, балка B, ООО Капелла, Россия), покрытых Pt, со следующими характеристиками: резонансная частота f = 140 кГц, жесткость ktip = = 3.5 Н/м, радиус закругления острия R < 30 нм.
Метод СМП основан на регистрации механического отклика образца на внесение в переменное электрическое поле, которое создается посредством подачи переменного напряжения на проводящее острие зондового датчика. Таким образом, работа метода основана на обратном пьезоэлектрическом эффекте. Построение карты сигнала фазы пьезоотклика дает информацию о распределении направления поляризации кристалла: в зависимости от ее направления пьезоэлектрический отклик может быть синфазным или противофазным возбуждающему отклику электрическому напряжению. Сегодня метод СМП широко применяется для исследования доменной структуры сегнетоэлектриков [25, 26].
Результаты исследования доменов методами РЭМ и СМП показаны на рис. 6. На РЭМ-изображении монодоменного образца 1 (рис. 6а) на поверхности заметны домены, имеющие ярко выраженную треугольную форму. Четкая группировка стенок правильных треугольников соответствует ориентации доменов вдоль кристаллографического направления Y, что наблюдается при воздействии слабых импульсов с амплитудой до 3.75 кВ/мм [8]. Это соответствует амплитуде используемого в данной работе электронного пучка, так как, учитывая толщину образца, амплитуда не превышала 1.7 кВ/мм. В то же время на СМП-изображении образца 1 (рис. 6в) вариации контраста не наблюдалось (в пределах области сканирования), что указывает на его монодоменность. Доменная структура полидоменного образца 2, показанная на РЭМ-изображении (рис. 6б), повторяется на СМП-изображении (рис. 6г) с поправкой на мощность электронного пучка при РЭМ-исследованиях (при больших мощностях импульсов или пучка наблюдается общее переключение массива доменов [8]). Изменение контраста СМП для образца 2 (рис. 6г) указывает на наличие лабиринтной доменной структуры с размерами доменов от нескольких сотен нанометров до нескольких микрометров в пределах области 80 × 80 мкм2 (максимально достижимая область сканирования).
Рис. 6. Результаты исследования доменов в кристаллах LaBGeO₅ методами РЭМ (а, б) и СМП (в, г): а, в – образец 1, б, г – образец 2.
ЗАКЛЮЧЕНИЕ
Проведено исследование оптических свойств кристаллов LaBGeO5, выращенных методом Чохральского, для монодоменного и полидоменного образцов, вырезанных перпендикулярно оптической оси. Измерены спектры коэффициентов пропускания и показателей поглощения образцов LaBGeO5 в неполяризованном и поляризованном свете. Показано, что для полидоменного образца показатель поглощения больше приблизительно в 1.5 раза.
Из спектров пропускания в поляризованном свете получены дисперсии вращения плоскости поляризации света ρ для обоих образцов. Выявлено, что для более точного измерения ρ необходимо использовать спектры коэффициентов пропускания не только при параллельных и скрещенных поляризаторах, но и при других углах между ними. Полученные значения ρ в зависимости от длины волны удовлетворительно описываются формулой Друде, рассчитанные дисперсии совпадают в пределах погрешности для монодоменного и полидоменного образцов.
Проведены эксперименты по оптической регистрации второй гармоники черенковского типа. Показано, что ГВГ наблюдается только в полидоменном образце, причем излучение второй гармоники не поляризовано, что обусловлено именно полидоменной структурой образца.
Проведено исследование доменной структуры образцов методами РЭМ и СМП. Для полидоменного образца показано наличие лабиринтной доменной структуры с размерами доменов от нескольких сотен нанометров до нескольких микрометров. Для монодоменного образца изменения контраста в пределах области сканирования не наблюдалось.
Работа проведена в рамках выполнения государственного задания НИЦ “Курчатовский институт”. Использовали оборудование ЦКП “Структурная диагностика материалов” КККиФ НИЦ “Курчатовский институт”, а также оборудование испытательной лаборатории полупроводниковых материалов и диэлектриков “Монокристаллы и заготовки на их основе” НИТУ МИСИС при финансовой поддержке Министерства науки и высшего образования РФ (контракт FSME-2023-0003).
About the authors
A. F. Konstantinova
Shubnikov Institute of Crystallography of Kurchatov Complex of Crystallography and Photonics of NRC “Kurchatov Institute”
Email: tatgolovina@mail.ru
Russian Federation, 119333 Moscow
T. G. Golovina
Shubnikov Institute of Crystallography of Kurchatov Complex of Crystallography and Photonics of NRC “Kurchatov Institute”
Author for correspondence.
Email: tatgolovina@mail.ru
Russian Federation, 119333 Moscow
E. I. Mareev
Shubnikov Institute of Crystallography of Kurchatov Complex of Crystallography and Photonics of NRC “Kurchatov Institute”
Email: tatgolovina@mail.ru
Russian Federation, 119333 Moscow
A. V. Butashin
Shubnikov Institute of Crystallography of Kurchatov Complex of Crystallography and Photonics of NRC “Kurchatov Institute”
Email: tatgolovina@mail.ru
Russian Federation, 119333 Moscow
I. S. Volchkov
Shubnikov Institute of Crystallography of Kurchatov Complex of Crystallography and Photonics of NRC “Kurchatov Institute”
Email: tatgolovina@mail.ru
Russian Federation, 119333 Moscow
R. V. Gainutdinov
Shubnikov Institute of Crystallography of Kurchatov Complex of Crystallography and Photonics of NRC “Kurchatov Institute”
Email: tatgolovina@mail.ru
Russian Federation, 119333 Moscow
N. M. Asharchuk
Shubnikov Institute of Crystallography of Kurchatov Complex of Crystallography and Photonics of NRC “Kurchatov Institute”
Email: tatgolovina@mail.ru
Russian Federation, 119333 Moscow
V. M. Kasimova
National University of Science and Technology MISIS
Email: tatgolovina@mail.ru
Russian Federation, 119049 Moscow
E. V. Zabelina
National University of Science and Technology MISIS
Email: tatgolovina@mail.ru
Russian Federation, 119049 Moscow
N. S. Kozlova
National University of Science and Technology MISIS
Email: tatgolovina@mail.ru
Russian Federation, 119049 Moscow
References
- Каминский А.А., Буташин А.В., Милль Б.В., Белоконева Е.Л. // Изв. АН СССР. Неорган. матер. 1990. Т. 26. № 5. C. 1105.
- Стефанович С.Ю., Милль Б.В., Буташин А.В. // Кристаллография. 1992. Т. 37. Вып. 4. С. 965.
- Belokoneva E.L., David W.I.F., Forsyth J.B., Knight K.S. // J. Phys.: Condens. Matter. 1997. V. 9. P. 3503. https://doi.org/10.1088/0953-8984/9/17/002
- Uesu У., Horiuchi N., Osakabe Е. et al. // J. Phys. Soc. Jpn. 1993. V. 62. Р. 2522. https://doi.org/10.1143/JPSJ.62.2522
- Onodera А., Strukov В.А., Belov А.А. et al. // J. Phys. Soc. Jpn. 1993. V. 62. Р. 4311. https://doi.org/10.1143/JPSJ.62.4311
- Милов Е.В., Струков Б.А. // ФТТ. 2001. Т. 43. С. 495.
- Strukov В.А., Milov Е.Н., Milov V.N. et al. // Ferroelectrics. 2005. V. 314. Р. 105. https://doi.org/10.1080/00150190590926247
- Akhmatkhanov A., Plashinnov C., Nebogatikov M. et al. // Crystals. 2020. V. 10. № 7. P. 583. https://doi.org/10.3390/cryst10070583
- Kaminskii A.A., Butashin A.V., Maslyanitsin I.A. et al. // Phys. Status Solidi. A. 1991. V. 125. № 2. P. 671.
- Kaminsky W. // Rep. Prog. Phys. 2000. V. 63. P. 1575. https://doi.org/10.1088/0034-4885/63/10/201
- Каминский А.А., Нишиока Х., Уеда К. и др. // Квантовая электроника. 1996. Т. 23. № 5. С. 391.
- Hirohashi J., Imai K., Watanabe S. et al. // Proc. SPIE10902, Nonlinear Frequency Generation and Conversion: Materials and Devices XVIII. 2019. P. 1090206. https://doi.org/10.1117/12.2514795
- Универсальная измерительная приставка Agilent Cary Universal Measurement Accessory (UMA) // Agilent Technologies. http://www.agilent.com/cs/library/technicaloverviews/public/5991-2529RU.pdf
- Шубников А.В., Флинт Е.Е., Бокий Г.Б. Основы кристаллографии. М.: Изд-во АН СССР, 1940. 488 с.
- Шубников А.В. Основы оптической кристаллографии. М.: Изд-во АН СССР, 1958. 207 с.
- Константинова А.Ф., Гречушников Б.Н., Бокуть Б.В., Валяшко Е.Г. Оптические свойства кристаллов. Минск: Наука и техника, 1995. 302 с.
- Golovina T.G., Konstantinova A.F., Dudka A.P. et al. // Crystallography Reports. 2023. V. 68. № 5. P. 732. https://doi.org/10.1134/S106377452360045X
- Кизель В.А., Бурков В.И. Гиротропия кристаллов. М.: Наука, 1980. 304 с.
- Шувалов Л.А., Иванов Н.Р. // Кристаллография. 1964. Т. 9. Вып. 2. С. 363.
- Головина Т.Г., Константинова А.Ф., Набатов Б.В., Евдищенко Е.А. // Кристаллография. 2018. Т. 63. № 6. С. 921. https://doi.org/10.1134/S0023476118060139
- Ayoub M., Roedig P., Koynov K. et al. // Opt. Express. 2013. V. 21. № 7. P. 20117. https://doi.org/10.1364/OE.21.008220
- Sheng Y., Saltiel S.M., Krolikowski W. et al. // Opt. Lett. 2010. V. 35. № 9. P. 1317. https://doi.org/10.1364/OL.35.001317
- Sheng Y., Roppo V., Kalinowski Ks., Krolikowski W. // Opt. Lett. 2012. V. 37. № 18. P. 3864. https://doi.org/10.1364/OL.37.003864
- Roede E.D., Mosberg A.B., Evans D.M. et al. // APL Mater. 2021. V. 9. № 2. P. 021105. https://doi.org/10.1063/5.0038909
- Kholkin A.L., Kalinin S.V., Roelofs A., Gruverman A. // Scanning Probe Microscopy. Electricaland Electromechanical Phenomena at the Nanoscale / Eds. Kalinin S.V., Gruverman A. New York: Springer, 2007. P. 173.
- Калинин А.С. Методы атомно-силовой микроскопии для неразрушающего анализа электромеханических свойств наноструктур. Дис. … канд. физ.-мат. наук. М.: НИЦ КИ, 2017. 104 с.
Supplementary files








