Электронографическое исследование аморфной пленки политетрафторэтилена
- Авторы: Кулыгин А.К.1, Садовская Н.В.1,2, Авилов А.С.1, Васин О.И.3
-
Учреждения:
- Институт кристаллографии им. А.В. Шубникова Курчатовского комплекса кристаллографии и фотоники НИЦ “Курчатовский институт”
- ООО “НПП “Арфлон”
- Краснодарское высшее военное училище имени генерала армии С.М. Штеменко
- Выпуск: Том 69, № 3 (2024)
- Страницы: 405-421
- Раздел: СТРУКТУРА ОРГАНИЧЕСКИХ СОЕДИНЕНИЙ
- URL: https://bakhtiniada.ru/0023-4761/article/view/263020
- DOI: https://doi.org/10.31857/S0023476124030058
- EDN: https://elibrary.ru/XOWMCS
- ID: 263020
Цитировать
Полный текст
Аннотация
Получена и исследована электронографическими методами тонкая аморфная пленка фторопласта (политетрафторэтилена). Применена ранее разработанная методика построения функции радиального распределения атомов по электронограммам от аморфных структур, основанная на определении коэффициента нормировки путем варьирования теплового параметра. Показана возможность применения и проведена необходимая адаптация этой методики для исследованного образца политетрафторэтилена с учетом его не совсем обычной аморфной структуры, обусловленной жесткой спиральной конформацией полимерных цепей …–CF2–…, что не позволяет говорить о полном отсутствии дальнего порядка в расположении атомов вдоль направления оси спирали. Измерения проведены с помощью разработанной системы регистрации на электронографе ЭМР-102.
Полный текст
ВВЕДЕНИЕ
Политетрафторэтилен (ПТФЭ) – высокомолекулярный продукт полимеризации тетрафторэтилена C2F4, состоящий из длинных полимерных цепей …–CF2–… . ПТФЭ обладает рядом свойств, которые делают его уникальным среди других полимеров. Например, он химически инертен по отношению к большинству агрессивных сред. Поверхностная энергия ПТФЭ одна из самых низких среди всех известных твердых тел, для него характерен рекордно низкий коэффициент трения (~0.05 по стали), он является одним из наиболее термостойких полимеров [1]. Несмотря на то что известные уникальные свойства ПТФЭ предопределяют его широкое применение, продолжается активное исследование его структуры и свойств различными методами.
ПТФЭ – частично кристаллический полимер, в котором кристаллическая и аморфная фазы находятся в состоянии равновесия. Упорядоченная кристаллическая фаза обусловливает относительно высокую температуру плавления ПТФЭ (~327°C), а аморфная фаза обеспечивает эластичность и низкую температуру хрупкости: температура стеклования аморфной фазы составляет 127°C, однако даже при температуре жидкого гелия (–269.3°C) он не становится хрупким [1, 2].
Кристаллическая структура ПТФЭ имеет ряд форм (по крайней мере четыре) в зависимости от температуры и давления [3], также при температурах значительно ниже точки плавления в кристалле сохраняется активное молекулярное движение. Формы II и IV по данным рентгеновской и электронной дифракции (рис. 1, табл. 1) [3, 4] интерпретируются как спиральные структуры. Форма II определяется математически как несоизмеримая спираль, близкая к конформации 13/6. Форма IV интерпретируется как соизмеримая спираль 15/7, которая согласуется с пр. гр. P31.
Рис. 1. Фазовая диаграмма ПТФЭ [2].
Таблица 1. Краткое описание фаз ПТФЭ на фазовой диаграмме на рис. 1 [1, 4] (таблица заимствована из [4])
Условия | Фаза | Конформация молекул ПТФЭ, тип кристаллической решетки |
Выше 30°C | I | Спираль нерегулярно закрученная, гексагональная |
Ниже 19°C | II | Спираль, триклинная |
Высокие температура и давление | III | Макромолекула в конформации плоского зигзага |
В интервале 19–30°C | IV | Спираль слегка раскрученная, гексагональная |
На рис. 2 представлены атомная структура спирали 15/7 и гексагональная кристаллическая укладка таких спиралей (использованы экспериментальные рентгенографические данные о координатах атомов из [5]). На рисунке показаны характерные размеры, которые далее будут сопоставлены с функцией радиального распределения (ФРР) атомов в аморфной фазе, построенной в настоящей работе по экспериментальным электронографическим данным. На рис. 2а показан вид вдоль оси полимерной цепи ПТФЭ на ее фрагмент из 15 звеньев, составляющих один период спирали, на рис. 2б – взаимное расположение таких фрагментов в кристаллической фазе. Центры кругов, обозначающих атомы, соответствуют центрам атомов в масштабе рисунка. Радиусы кругов выбраны из соображений наглядности и никак не связаны с физическими размерами атомов. Наложением кругов друг на друга показана относительная удаленность соответствующих атомов от наблюдателя. Таким же образом показана относительная удаленность химических связей. Ломаная C1–C2–C3–…–C14–C15–C1 делает семь полных оборотов вокруг оси полимерной спирали, что и показывает число 7 в обозначении типа спирали “15/7”. На рис. 2в представлен вид перпендикулярно оси полимерной цепи. У химических связей, обозначенных отрезками переменной толщины, толстый конец находится ближе к наблюдателю, тонкий – дальше. Для наглядности слева воспроизведен вид вдоль оси полимерной цепи ПТФЭ в том же масштабе. На рисунках справа и слева Y-координаты атомов одинаковы. Химические связи с соседними фрагментами (не представлены на рисунке) обозначены пунктиром и обрезаны на половине их длины. Показанный 15-звенный фрагмент является “одномерной кристаллической ячейкой”. Всю цепь можно составить из таких фрагментов путем их параллельных переносов вдоль оси цепи на расстояния, кратные периоду (19.508 Å).
Рис. 2. Расположение атомов в кристаллической фазе ПТФЭ (по данным [5] для модели с а = 5.655(1), c = 19.508(2) Å), вид: а – на фрагмент полимерной цепи из 15 звеньев, составляющих один период, б – вдоль осей полимерных цепей в кристаллической фазе (их расположение соответствует правильной шестиугольной решетке), в – вдоль оси цепи и перпендикулярно ей.
Аморфная фаза ПТФЭ, как предполагается в ряде работ (например, [6, 7]), образуется в результате встраивания отдельных фрагментов молекулярной цепи в различные растущие кристаллиты и остается частично упорядоченной за счет высокой степени ориентации цепей в ПТФЭ. Согласно проведенным исследованиям (связанным в основном с кристаллической структурой) структура аморфного ПТФЭ имеет определенную специфику и заведомо не является аморфной в привычном понимании этого термина. Она состоит из полимерных цепей с достаточно жесткой укладкой атомов, что создает дополнительные условия для формирования дальнего порядка в расположении атомов вдоль направления оси такой цепи. В то же время расположение полимерных цепей друг относительно друга может быть хаотическим, что сказывается на дифракционной картине и обеспечивает ее сходство с дифракционной картиной от аморфной фазы (набор широких гало, рефлексы кристаллической фазы отсутствуют). Исходя из этого необходимо развитие специальных подходов к обработке экспериментальных данных для интерпретации их в терминах аморфных структур.
Высокая степень кристалличности ПТФЭ (для порошка может достигать 90–95%, для спеченного – 50–70% [1, 8]) способствовала многочисленным исследованиям его строения [5]. В основном применяли методы рентгеноструктурного анализа (РСА) монокристаллов и порошков [2, 6, 9–11], хотя ПТФЭ обладает относительно большой устойчивостью к облучению электронами, что в принципе позволяет проводить его электронографические исследования, а также осуществлять длительные измерения с большим набором статистики. Кроме того, электронография имеет ряд преимуществ по сравнению с РСА, в частности степень взаимодействия излучения с веществом в ~103 раз выше, чем в случае рентгеновской дифракции, что позволяет исследовать структурные объекты нанометровой толщины.
Тем не менее работ, посвященных применению методов электронной дифракции для исследования ПТФЭ, относительно немного [3, 11–14]. С одной стороны, это связано с проблемами, возникающими при подготовке образцов для электронографических исследований, которые должны быть достаточно тонкими (десятки, но не более 100 нм). С другой стороны, до недавнего времени отсутствовали средства электронографических измерений необходимой точности.
Работ по изучению аморфной фазы ПТФЭ методами РСА относительно мало (например, [15]), а работ, посвященных исследованию и количественному описанию методами электронографии аморфной фазы ПТФЭ, вообще не было найдено. Вероятно, это связано со сложностью получения ПТФЭ в аморфном состоянии. Полезно обратиться к анализу известных рентгенографических данных для структуры кристаллической фазы ПТФЭ (рис. 2), чтобы затем сопоставить их с данными для аморфной фазы.
Цель настоящей работы – получение тонкой пленки чисто аморфной фазы ПТФЭ и исследование ее атомной структуры электронно-дифракционным методом. Был получен и исследован образец ПТФЭ (Ф4Д) в виде тонкой пленки. В электронном дифрактометре при ускоряющем напряжении 100 кВ зафиксирована на просвет электронная дифракционная картина в форме кольцеобразных гало, характерная для аморфных структур; дифракционных рефлексов, соответствующих кристаллическому состоянию, выявлено не было.
ЭКСПЕРИМЕНТАЛЬНАЯ ЧАСТЬ
Объекты исследования, приготовление образцов
Исследовали тонкую пленку ПТФЭ, полученную согласно следующей методике. Суспензию (марка Ф4Д ТУ-6-07-1246-81, производство ООО “ГалоПолимер Кирово-Чепецк”), представляющую собой взвесь тонкодисперсного порошка Ф4Д в воде (концентрация 50%), разбавляли дистиллированной водой до концентрации около 12% (разбавление в 2 раза, затем еще раз в 2 раза).
Такая концентрация была подобрана эмпирически: пленки, полученные из раствора с большей концентрацией, были не пригодны для электронографических исследований вследствие их большой толщины. Полученную взвесь в виде капель наносили на стандартные медные сетки, покрытые тонким слоем углеродной пленки (размер ячейки составлял 100 мкм). Затем после испарения воды осадок на сетках подвергали двухстадийному отжигу на воздухе (использовали муфельную печь L 3/11 с терморегулятором B180 фирмы Nabertherm, Германия). Первая стадия была связана с отжигом поверхностно-активных веществ (ПАВ), которые добавляют в суспензию при перемешивании в процессе ее изготовления. ПАВ отжигали при температуре 300°C в течение 2 ч, время выхода на температуру составляло 3 ч. Температуру отжига ПАВ подбирали в соответствии с данными [16]. Вторая стадия заключалась непосредственно в спекании очищенного от ПАВ порошка Ф4Д (отжиг в течение 2 ч при температуре 370°C с выходом на температуру в течение ~1 ч).
Для дальнейших исследований методами электронографии на полученную пленку фторопласта Ф4Д методом термического напыления в вакууме (~10–5 мм рт. ст.) был нанесен фторид бария BaF2 (использовался вакуумный пост ВУП-5) путем испарения кусочков монокристалла BaF2 из вольфрамовой корзиночки, разогретой пропускаемым через нее электрическим током. Необходимость нанесения вспомогательного покрытия и выбор для этой цели BaF2 обусловлены следующими обстоятельствами.
Без нанесения BaF2 на пленке ПТФЭ скапливаются заряды, что приводит к искажению формы дифракционной картины и невозможности ее корректной регистрации. Соединение BaF2 является полупроводником, его пленка создает условия для стекания с образца зарядов. Это не решает проблему полностью: в результате происходит периодическое накопление зарядов на образце и их стекание. Но, применяя систему регистрации с разверткой по времени, можно выделить интервалы времени, когда дифракционная картина не искажена, и зарегистрировать ее соответствующие фрагменты. Многократное сканирование позволяет перекрыть такими фрагментами всю дифракционную картину (весь исследуемый угловой диапазон) и составить из этих фрагментов цельную дифракционную картину.
Ранее проведенные исследования [17] напыленной в таких условиях пленки BaF2 показали чисто поликристаллические электронограммы с отсутствием аморфной фазы. Таким образом, использование вспомогательного покрытия BaF2 не добавляет в дифракционную картину посторонней аморфной составляющей. Кроме того, рефлексы BaF2 используются в качестве контрольного индикатора. Их наличие в дифракционной картине подтверждает возможность регистрации таких рефлексов в условиях данного эксперимента (правильность фокусировки электронно-оптической системы дифрактометра, достаточную чувствительность и разрешающую способность; отметим, что BaF2 присутствует в образце в существенно меньшем количестве, чем ПТФЭ). Отсутствие каких-либо иных рефлексов (кроме как BaF2) свидетельствует об отсутствии в образце кристаллической фазы ПТФЭ (или о крайне незначительном ее количестве).
BaF2 и ПТФЭ насыщены фтором, что позволяет предположить отсутствие между ними химических реакций с участием фтора и образованием новых соединений фтора, загрязняющих исследуемый образец.
Наблюдаемые рефлексы BaF2 позволяют провести калибровку угловой шкалы sinθ/λ и убедиться в отсутствии искажений дифракционной картины накопившимися на образце зарядами.
Для дальнейших расчетов ФРР необходимо знать плотность исследуемого образца. Поскольку измерение плотности тонкой пленки с необходимой точностью крайне затруднено, для этой цели был изготовлен контрольный образец ПТФЭ существенно большей массы за счет взятой в большем количестве исходной суспензии ПТФЭ. Две последующие операции отжига проводили в одинаковых условиях (основной и контрольный образцы физически располагались рядом). Фторид бария на контрольный образец не наносили.
Плотность материала контрольного образца после двух стадий отжига определяли методом гидростатического взвешивания. Образец взвешивали на воздухе и в воде на микровесах AND (модель GR202, Japan) с дискретностью показаний 0.01 мг. Плотность составила 2.15 ± 0.01 г/cм3 (масса образца 0.81 ± 0.01 мг). Полагаем, что плотность пленки ПТФЭ (основной образец) близка к этому значению, которое и использовано в расчетах. Точного равенства плотностей может не быть ввиду выявленных различий: методом дифференциально-сканирующей калориметрии для контрольного образца установлена степень кристалличности 40% (расчет по формуле Суве [18]), в то время как в основном образце в электронографическом эксперименте кристаллической фазы вообще не выявлено.
В литературе для чисто аморфной фазы ПТФЭ приводятся значения 2.00 ± 0.04, 2.060 и 2.056 г/cм3 (по данным разных работ), полученные экстраполяцией для смешанных аморфных и кристаллических фаз при устремлении доли аморфной фазы к 100% [19]. Для сравнения: плотность (рассчитанная теоретически) кристаллической фазы ПТФЭ, описанной в [5] и рассмотренной выше (рис. 2), составляет 2.3055 г/cм3.
Электронные дифракционные картины измеряли с помощью модернизированного электронографа ЭМР-102 при ускоряющем напряжении 100 кВ. Для измерений использовали разработанную авторами систему регистрации, ранее описанную в [20], с существенными доработками. Важная особенность новой системы в том, что измерения основаны на раздельной синхронной регистрации по двум каналам I(t) и X(t) и последующей обработке, позволяющей исключить t и получить зависимость I(X), где t – время, I – интенсивность, X – координата на дифракционной картине. Измерение осуществляют при последовательном отклонении (сканировании) дифракционной картины с помощью отклоняющих катушек перед неподвижным детектором.
В использованной схеме измерения крайне важна минимизация шумов развертки сканирования X(t). Такие шумы мешают точной привязке события регистрации электрона к координате, делая регистрацию неинформативной. Шумы (помехи) относительно небольшой амплитуды, но с регулярными спектральными особенностями также нежелательны, так как они являются причиной спектральных “муаровых эффектов”, снижающих точность измерения. Задача генерации опорного сигнала развертки необходимого качества была решена с помощью генератора сигналов LTR-35-8 [21], основанного на сигнальном цифро-аналоговом преобразователе (ЦАП) PCM4104 производства Texas Instruments. Этот генератор имеет восемь каналов ЦАП потокового вывода (для развертки использовался один канал) с разрешением 24 бит, частота преобразования 192 кГц с интерполяцией (системная тактовая частота 36.864 МГц). Предыдущая версия этой линейки ЦАП L-CARD LTR-34-8, использованная в системе регистрации, в варианте, описанном в [20], не обеспечивала необходимого качества опорного сигнала развертки.
Для синхронной регистрации сигналов фотоэлектронного умножителя (детектора) и развертки применен аналого-цифровой преобразователь (АЦП) ADLINK PCIE-9834. Имеются четыре канала с разрядностью 16 бит и частотой опроса 80 МГц каждый, был использован один канал для детектора и один канал для развертки [22]. Электронно-дифракционная картина от пленки ПТФЭ с напыленным слоем BaF2 центрально-симметричная и представляет собой характерные аморфные кольцеобразные гало, соответствующие ПТФЭ, и поликристаллические кольца от BaF2. Поскольку интенсивность зависит только от угла дифракции, для экспериментального определения этой зависимости достаточно одномерного сканирования. Сканирование проводили вдоль хорды, проходящей близко к центру дифракционной картины (но не через сам центр). Это расстояние выбрано достаточно малым таким образом, чтобы полностью захватить первое дифракционное кольцо (гало), а также часть дифракционной картины, более близкую к центру, для корректного построения интерполирующего полинома.
Несмотря на напыленный полупроводник, происходила небольшая зарядка образца, приводящая к “скачкам” дифракционной картины. Периоды статического изображения перемежались с временами накопления зарядов на образце с последующими микроразрядами и стеканием зарядов, что проявлялось в виде геометрических искажений картины. При последующей обработке экспериментальных данных, записанных с разверткой по времени, были отобраны интервалы времени, содержащие информацию о дифракционной картине без искажений. На аналогичных образцах ПТФЭ без напыления BaF2 такие временные интервалы выделить не удавалось.
На рис. 3 представлена измеренная дифракционная картина, полученная в результате накопления и усреднения экспериментальных данных за все время измерения. На ней наблюдаются характерные аморфные гало (в процессе обработки получены их более четкие изображения (рис. 4)). На этих рисунках интенсивность приведена в относительных единицах вероятности регистрации электрона. Для каждой координаты по оси абсцисс она определяется как отношение количества событий, когда одновременно были зарегистрированы эта координата (отклонение развертки на угол 2θ) и активное состояние детектора электронов, к общему количеству событий регистрации данной координаты (частота измерений координаты и опроса детектора 80 МГц). На рисунке отмечены вертикальными линиями положения рефлексов BaF2. Применение алгоритмов частотной фильтрации (типа фильтра Баттерворта) позволило дополнительно идентифицировать положение примерно 15 рефлексов поликристаллической структуры BaF2. Визуально кривая состоит из большого количества мелких “зубцов”, каждый из которых соответствует периоду нестабильности сигнала (микроразряды на образце) в процессе одного из 47 проходов сканирования. Кривая представляет среднее арифметическое всех сканирований.
Рис. 3. Дифракционная картина, полученная в результате накопления данных за все время измерения (1). Вертикальными линиями показаны теоретические положения рефлексов поликристаллического BaF2. Для наглядности также приведен фрагмент графика в масштабе 5:1 (2).
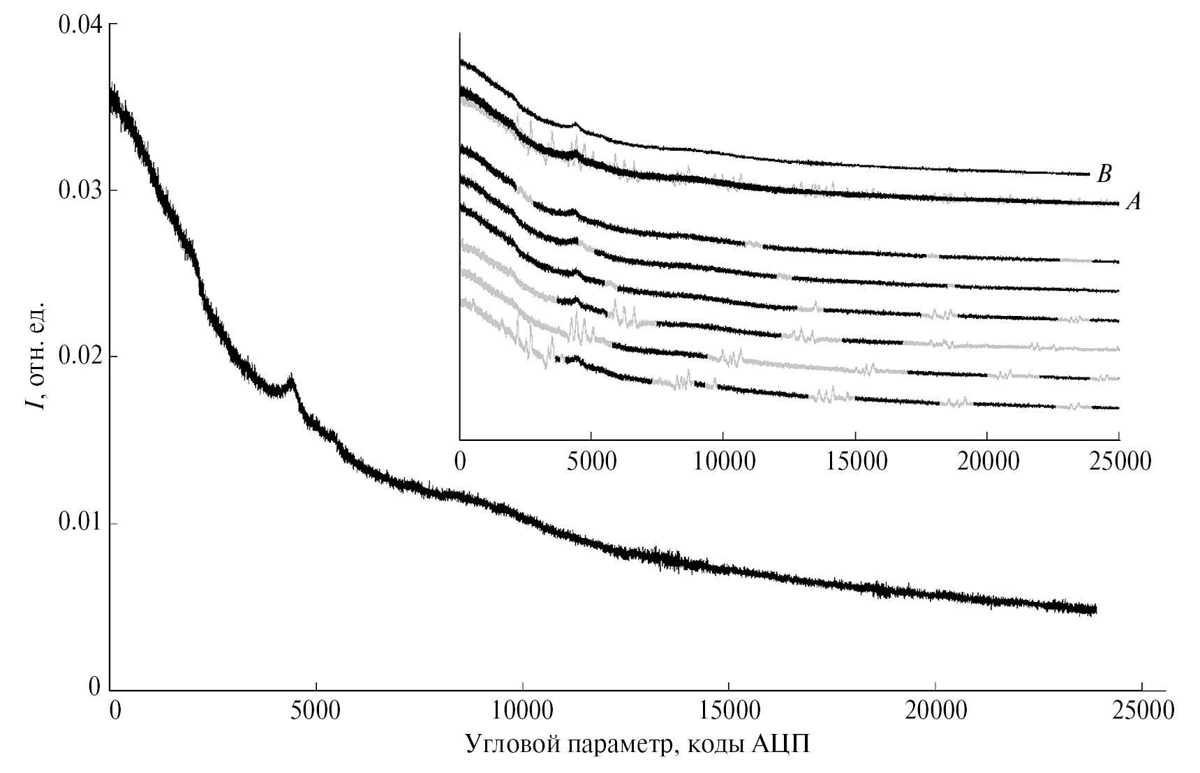
Рис. 4. Выбранные наиболее удачные сканы (6 шт.) с минимальным количеством дефектов (вставка). Дефекты (светлые участки кривых) исключены из дальнейших расчетов: A – результат наложения всех шести графиков друг на друга; B – среднее арифметическое по всем неисключенным данным (темные участки кривых). Кривая B также приведена на основном графике в большем масштабе. Интенсивность потока электронов представлена в тех же единицах, что и на рис. 3.
Для решения проблемы появления вспышек от разрядов из них отобрали шесть наиболее качественных (по визуальной оценке авторов) сканирований, дефектные участки были размечены вручную. Далее в процессе вычислений такие участки игнорировали, информацию на них замещали путем усреднения с результатами других измерений, при которых именно в этом месте помех не было (отбор сканирований проводили таким образом, чтобы это было возможно для любого значения углового параметра). На кривой, полученной таким образом, отсутствуют “зубцы”, связанные с микроразрядами на образце (как на рис. 3, кривая 2).
Дальнейший процесс обработки представлен на рис. 5. В каждой точке было выполнено арифметическое усреднение по всем имеющимся данным. К результату применен двусторонний фильтр Баттерворта (функция filtfilt из пакета scipy; порядок фильтра 3, ширина (период) среза частотной фильтрации 55 семплов). Переход от шкалы углового параметра в кодах АЦП к единицам sinθ/λ выполнен по эталонному образцу поликристаллического BaF2 (замена исследуемого образца на эталонный путем поворота кристаллодержателя при сохранении всех остальных параметров эксперимента) и проконтролирован по рефлексам вспомогательного слоя BaF2, нанесенного непосредственно на исследуемый образец ПТФЭ. Разрешение по шкале углового параметра составляет 22241 отсчет АЦП в 1 Å–1 шкалы S = sinθ/λ. Расстояние между линией сканирования и началом координат (θ = 0°) составило 0.105 Å–1 шкалы S (при меньших значениях S дифракционная картина практически не содержит полезной информации, а большие значения интенсивности могут привести к повреждению сцинтиллятора и детектора в процессе измерения).
Рис. 5. Зависимость I(s) (сплошная кривая) – результат фильтрации двусторонним фильтром Баттерворта данных, представленных на рис. 4 (кривая B); i0(s) (штриховая кривая) – результат полиномиальной МНК-интерполяции I(s) полиномом десятой степени, где угловой параметр s = 4π(sinθ)/λ. Для наглядности одни и те же графики приведены в разных масштабах: 1:1 (1), 2.5:1 (2), 5:1 (3).
Отдельно следует отметить влияние углеродной пленки-подложки, на которую нанесен образец ПТФЭ, на формирование дифракционной картины. Эта пленка имеет аморфную структуру, которая, как и исследуемый образец ПТФЭ, дает электронно-дифракционную картину в виде широких колец-гало. Соответственно, дифракционная картина от подложки может накладываться на дифракционную картину от исследуемого образца ПТФЭ, снижая точность экспериментальных данных. Для сведения этого эффекта к минимуму были предприняты необходимые меры. Так, подложка была достаточно тонкой по сравнению с образцом (по оценкам толщина подложки 7–9 нм, образца ПТФЭ 50–70 нм) и располагалась за образцом по ходу электронного пучка (который сначала рассеивался на образце, а затем, после ослабления образцом, на подложке).
Построение интерференционной функции по экспериментальным данным
С технической точки зрения в расчетах для представления углового параметра (координаты X) использовали коды АЦП, полученные в эксперименте, а для удобства изложения – обозначения s = 4πS = 4π(sinθ)/λ.
Дальнейшая задача состоит в представлении функции интенсивности как суммы I(s) = i(s) + i0(s), где i0(s) медленно меняется с изменением аргумента s (средняя линия, или так называемая “кривая молекулярного рассеяния”), а i(s) – быстро меняющаяся функция (рассматривается в качестве интерференционной функции). “Быстро меняющаяся” компонента выделена путем построения методом МНК сглаживающего полинома десятой степени, который и был принят за медленно спадающую компоненту i0(s). Выбор метода МНК позволяет дополнительно минимизировать погрешность, обусловленную взаимодействием электронов с подложкой. При построении полинома будут учтены и впоследствии вычтены кривые молекулярного рассеяния как исследуемого образца ПТФЭ, так и подложки. А влияние на этот полином “быстро меняющихся” компонент от образца и подложки будет пропорционально квадратам их “амплитуд”. Таким образом, выбирая метод МНК, можно на данном этапе дополнительно уменьшить погрешность от влияния подложки, заменив линейный вклад этой погрешности на квадратичный. На рис. 5 показаны профиль дифракционной картины после фильтрации и кривая соответствующего полинома.
На рис. 6 представлена интерференционная функция i(s) = I(s) – i0(s), полученная вычитанием из исходной функции интерполирующего полинома. Также показан результат фильтрации этой функции двусторонним фильтром Баттерворта (порядок фильтрации – 3, ширина (период) среза частотной фильтрации – 800 семплов шкалы АЦП по координате s). Необходимость повторной фильтрации возникла в связи с увеличением относительного размаха шумов после вычитания полинома i0(s), что привело к существенному уменьшению абсолютного значения сигнала при сохранении абсолютного значения шума и, как следствие, к ухудшению соотношения сигнал/шум. Результат умножения этих функций на угловой параметр s, т. е. i(s)s, представлен в виде кривой 2. Это позволяет оценить корректность полученной интерференционной функции: по физическому смыслу i(s)s → 0 при возрастании s. На рисунке видно, что это верно при s < 10.8 Å–1, а далее начинается область сомнительных и затем некорректных данных, подлежащих исключению из расчетов (показано тонкими линиями).
Рис. 6. Интерференционная функция i(s), полученная как результат вычитания из исходной электронограммы ее интерполирующего полинома (рис. 5) – до (тонкая линия) и после фильтрации (жирная линия) двусторонним фильтром Баттерворта (1). Результат умножения этих функций (также тонкая и жирная линии соответственно) на угловой параметр s = 4π(sinθ)/λ, т. е. i(s)s (2). Нормировка по оси ординат на данном этапе еще не определена.
Построение и количественный анализ ФРР атомов
ФРР атомов ρ(r) определяет вероятность обнаружить атом на расстоянии r от какого-либо атома, условно принятого за начало координат (r = 0). Количество атомов, находящихся на расстоянии r ≤ R от начала координат, определяется как . При наличии в веществе нескольких сортов атомов под ФРР понимают средневзвешенную функцию по всем сортам атомов с учетом их стехиометрического количества. К разным сортам относятся атомы, имеющие различные ФРР. Это, в частности, могут быть атомы одного и того же химического элемента, но имеющие различное пространственное окружение.
В случае фторопласта (CF2)n можно сказать следующее. Как полагаем (это согласуется с далее представленными результатами), в исследованном в работе образце полимерные цепи имеют конформацию цилиндров (рис. 2) (по крайней мере существенная часть атомов входит в состав молекулярных структур с такой конформацией). В этой конформации в пределах одной полимерной цепи все группы CF2 находятся в геометрически эквивалентном окружении. Внутри каждой группы CF2 два атома фтора не эквивалентны и находятся в похожем, но незначительно отличающемся геометрическими параметрами окружении. Поэтому суммарную ФРР можно записать как
где ρC(r) – ФРР с центральным атомом углерода, ρF1(r) и ρF2(r) – ФРР с центральными атомами фтора, ρF1(r) ≈ ρF(r) ≈ ρF2(r). Небольшое различие между ρF1(r) и ρF2(r) связано с тем, что углеродный скелет молекулы (CF2)n представляет собой ориентированную спираль (правую или левую), у которой различаются направления “вперед” и “назад”, а отрезок, соединяющий атомы F одной группы CF2, расположен вдоль оси спирали (под небольшим углом к ней). Соответственно, один атом F оказывается “смотрящим вперед”, а второй – в противоположном направлении, что и обусловливает небольшие различия в расстояниях от этих атомов до атомов своего координационного окружения.
Сказанное выше касается только учета в ФРР атомов “своей” полимерной цепи (с центральным атомом, для которого строится ФРР). Атомы соседних цепей могут располагаться произвольно (от рассматриваемой фазы ПТФЭ, дающей электронограмму аморфного типа, логично ожидать неупорядоченного взаимного расположения полимерных цепей). Соответственно, в этом случае группы CF2 уже не будут эквивалентными, ФРР каждого атома будет зависеть от расположения относительно него “чужих” полимерных цепей, которым этот атом не принадлежит. Как указано на рис. 2б, минимально возможное расстояние между атомами разных полимерных цепей в кристаллической фазе составляет rmin = 2.412 Å. В аморфной фазе можно ожидать примерно такой же величины rmin, принимая во внимание, что, несмотря на предполагаемое иное (неупорядоченное) расположение полимерных цепей друг относительно друга, физические механизмы взаимодействия между ними на близких расстояниях, фактически и определяющие эти расстояния, остаются прежними. Соответственно, при рассмотрении ФРР при r > rmin эквивалентность атомов нарушается, каждый атом будет иметь свою ФРР, определяемую расположенными рядом с ним соседними полимерными цепями. Как будет показано далее, действительно, ФРР, построенные по экспериментальным данным, имеют особенности в окрестности значения аргумента r = rmin = 2.412 Å.
Для построения ФРР используются следующие данные.
- Построенная выше по экспериментальным данным интерференционная функция i(s) (рис. 6).
- Средняя объемная концентрация атомов в образце. Для стехиометрического состава (CF2), атомных масс (табл. 2) и плотности контрольного образца 2.16 г/cм3 ее значение составляет ρ0 = 0.07803 ат./Å3. Поскольку плотность контрольного образца может не точно соответствовать плотности образца, подвергнутого электронографическому исследованию, были проверены выкладки для всего диапазона плотности 2.1–2.25 г/cм3. Какие-либо принципиальные разночтения между полученными результатами отсутствовали (имели место только незначительные количественные корректировки, принципиально не влияющие на представленные далее рассуждения).
Таблица 2. Параметры экспоненциального разложения атомных амплитуд рассеяния электронов для углерода и фтора, а также их атомные массы, использованные для расчетов в настоящей работе
Элемент | Атомная масса | a[1] | a[2] | a[3] | a[4] | a[5] | b[1] | b[2] | b[3] | b[4] | b[5] |
C | 12.011107 | 0.0893 | 0.2563 | 0.7570 | 1.0487 | 0.3575 | 0.2465 | 1.7100 | 6.4094 | 18.6113 | 50.2523 |
F | 18.998404 | 0.1083 | 0.3175 | 0.6487 | 0.5846 | 0.1421 | 0.2057 | 1.3439 | 4.2788 | 11.3932 | 28.7881 |
- Атомные амплитуды рассеяния входящих в образец атомов рассчитаны по интерполяционной формуле где коэффициенты разложения a[i] и b[i] (табл. 2) взяты из Интернациональных таблиц [23].
Для дальнейших расчетов используем “быстро меняющуюся часть” зависимости интенсивности от углового параметра I(s), а именно i(s) (рис. 5, 6). Эту зависимость можно рассматривать как интерференционную функцию в приближении сферически-симметричных рассеивающих атомов [18]. В случае классических аморфных структур справедливо соотношение для ФРР атомов (которое применим для аморфной структуры фторопласта):
(1)
Здесь α – коэффициент пересчета (масштабный множитель) значений i(s) из произвольной шкалы, в которой получены экспериментальные данные I(s), в шкалу, согласованную с остальными данными, входящими в уравнение (1). Все операции, в результате которых была получена зависимость i(s), выполнены в относительной шкале, и они никак не связаны с масштабным множителем. Далее поиск α будет осуществлен с использованием методики, предложенной в [24].
Прочие обозначения в уравнении (1): r – расстояние до атома, условно принятого за начало координат; ρ(r) – ФРР атомов относительно начала координат; ρ0 – средняя плотность распределения (объемная концентрация) атомов в веществе; s = 4π(sinθ)/λ, где 2θ – угол дифракции и λ – длина волны электрона (ускоряющему напряжению 100 кВ соответствует λ = 0.0370144 Å); s1 и s2 – пределы интегрирования, которые определяются диапазоном углов, в которых фактически были выполнены измерения, а они также могут быть ограничены исходя из дополнительных соображений; Σf 2(s) – сумма квадратов функций электронного рассеяния по всем сортам атомов (в частности, для фторопласта с формулой (CF2)n примем Σf 2(s) = f 2C(s) + 2f 2F(s), где fC(s) и fF(s) – функции рассеяния электронов для атомов углерода и фтора соответственно); b – тепловой параметр, характеризующий среднеквадратичные отклонения атомов от положений равновесия в процессе теплового движения (в рамках рассматриваемого приближения считают одинаковым для всех атомов исследуемой структуры фторопласта).
Отметим, что поскольку Σf 2(s) входит в знаменатель того же сомножителя, что и подлежащий определению коэффициент α, не важна шкала, в которой представлены функции рассеяния fC(s) и fF(s), и нет смысла делить сумму f 2C(s) + 2f 2F(s) на три (вычисляя среднее арифметическое). Все возможные сомножители для fC(s) и fF(s) будут автоматически учтены в коэффициенте α. Уравнение (1) можно преобразовать к более удобной для вычислений форме:
где функция F содержит данные о дифракционном эксперименте.
В классических аморфных структурах при изменении температуры (в определенных физически разумных пределах) происходит тепловое расширение/сжатие и изменяется интенсивность тепловых колебаний. Однако не меняются координационные числа каждого атома (количество атомов-соседей той или иной “степени соседства”). Это должно приводить к смещению пиков на графике ФРР вдоль оси абсцисс, но с сохранением площадей под ними.
В качестве “эталона” разумно выбрать первый (начиная с меньших значений r) пик ФРР 4πr2ρ(r), соответствующий расположению реальных атомов (еще ближе к нулю могут наблюдаться “ложные” пики с маленькими площадями под ними (менее площади, соответствующей одному атому), физически не значимые в рассматриваемом приближении). Площадь под этим пиком (первое координационное число, введем для него обозначение n1) определяется точнее остальных и меньше всего зависит от неточностей задания плотности вещества (которая никогда точно не известна) и, как следствие, погрешностей в определении средней объемной концентрации атомов ρ0. (В случае ПТФЭ, не обладающего классической аморфной структурой, есть дополнительные обстоятельства, определяющие выбор в качестве эталонного именно пика n1, которые будут рассмотрены далее.)
Исходя из изложенных выше соображений разумно выбрать такой коэффициент нормировки α, при котором n1 не зависит от b. Для классических аморфных структур действительно характерна ситуация, когда все графики зависимости n1(α), построенные для разных значений теплового параметра b, пересекаются друг с другом в пределах достаточно малой окрестности одной точки. Координаты этой точки (n1, α) разумно считать значениями n1 и α. По найденному значению α, подставив его в уравнение (1), можно построить ФРР и определить по ней остальные координационные числа n2, n3, n4, …, вычисляемые как площади под последующими пиками (границей двух пиков считается минимум между ними). ФРР, получаемые из уравнения (1) для разных значений b, различаются, но дают одно и то же значение n1 (по построению) и близкие значения n2, n3, n4, …. Описанная выше ситуация наблюдалась для аморфных образцов сурьмы [24], германия [25] и триоксида вольфрама WO3 [26].
Структуру исследуемого образца фторопласта Ф4Д можно считать аморфной с существенной долей условности. Она состоит из длинных полимерных цепочек (макромолекул), закрученных в спирали достаточно жесткой конформации (рис. 2). Такие спирали проявляют устойчивость к изгибу ввиду дефицита пространства для атомов фтора (расположенных во внешнем слое спирали) – получается жесткая самозаклинивающаяся конструкция. Это не позволяет считать случайным (некогерентным) взаимное расположение атомов на достаточно больших расстояниях вдоль цепочки (предположительно, это расстояние может в несколько раз превышать период цепочки вдоль ее оси, составляющий для структуры (рис. 2) 19.508 Å, на котором укладываются 15 атомов углерода и 30 атомов фтора).
Зависимость структуры фторопласта от температуры также нетривиальна. Как отмечалось выше, полимерные цепочки имеют разную конформацию (степень закрученности) при разных температурах (речь идет об устойчивых состояниях). В связи с этим предположение о температурной стабильности “координационных чисел” (термин применяется условно) для ПТФЭ и их независимости от теплового параметра b не вполне верно. Поскольку изменения, затрагивающие конформацию полимерной цепочки, могут приводить к изменениям координат атомов в масштабах, превосходящих характерные “координационные радиусы”, соответствующие этим “координационным числам”.
Действительно, поведение семейств графиков функций n1(α), построенных для различных b, существенно отличается от описанного выше [24–26]. Эти графики не имеют компактной области пересечения в окрестности некоторой точки (n1, α), а в некоторых случаях вообще не пересекаются друг с другом. Это можно считать экспериментальным подтверждением существенного отклонения структуры ПТФЭ от собственно аморфной.
В данном случае невозможно подобрать такой коэффициент нормировки α, при котором первое координационное число n1 не зависит от теплового параметра b. В качестве компромисса с целью формального применения ранее разработанной для аморфных структур методики было решено ввиду отсутствия явной точки пересечения взять вместо нее область наибольшего сгущения и использовать в дальнейших расчетах значение коэффициента нормировки α, при котором зависимость Δn1(α) = = |n1(α, b = 0.005 Å2) – n1(α, b = 0.01 Å2)| имеет глобальный минимум (рис. 7).
Рис. 7. Графики зависимости первого координационного числа n1(α) для верхнего предела интегрирования s2 = 6 Å–1 и теплового параметра b в интервале 0.005–0.01 Å2 (1): а – общий план, шаг 0.001 Å2 (сплошная линия), б – область сгущения графиков в большем масштабе, шаг 0.0005 Å2 (графики, соответствующие границам диапазона b, обозначены пунктиром и подписаны). Дополнительно приведены графики для Δn1(α) = |n1(α, b = 0.005 Å2) – n1(α, b = 0.01 Å2)|: Δn1 (2), 50Δn1 (3); 10Δn1 + 2.26 (4). Абсцисса глобального минимума Δn1(α) принята за абсциссу искомой точки наибольшего сгущения графиков (крест).
Выбранные значения b в интервале от 0.005 до 0.01 Å2 достаточно малы и не обязаны быть физически реальными. В работе на это не претендуем. Более того, представленная методика вообще не позволяет определить b. Здесь речь идет скорее о численном дифференцировании с целью поиска нулевого (точнее, минимально возможного) значения производной dn1/db. Для этого выбран наиболее удобный диапазон b. Увеличение значений b приводит к размыванию пиков на ФРР и затруднению определения их границ. В этом случае становится невозможным определять границы пиков по минимумам между ними, так как с увеличением b график ФРР все более “разглаживается”, и минимумы между пиками на нем исчезают. Учитывая сказанное выше, ограничимся рассмотрением обобщенного (усредненного) теплового параметра b для всех атомов. Если принять во внимание имеющиеся экспериментальные данные, то нет смысла рассматривать b отдельно по сортам атомов (C и F).
РЕЗУЛЬТАТЫ И ИХ ОБСУЖДЕНИЕ
Пример полученных в результате расчетов ФРР представлен на рис. 8, 9. Как оказалось, вид ФРР существенно зависит от верхнего предела интегрирования s2 в уравнении (1). Это касается не только области s2 > 10.2 Å–1, в которой данные не вполне достоверны (как это было рассмотрено выше). Такая ситуация для аморфных структур в целом не характерна. В качестве причин логично предположить выход за условия применимости уравнения (1), выведенного в [27] для классических аморфных структур, не имеющих особенностей, присущих ПТФЭ. Возможно, это следствие особенностей экспериментальных данных, малого соотношения сигнал/шум и необходимости двукратного применения фильтра Баттерворта. Проверить эти предположения нельзя ввиду уникальности структуры и свойств ПТФЭ и отсутствия подходящего для сравнительного экспериментального исследования иного объекта с аналогичными свойствами.
Рис. 8. ФРР атомов в структуре ПТФЭ, расчеты выполнены для верхнего предела интегрирования s2 = 6 Å–1, b = 0.005 и 0.01 Å2 (мелкий и крупный штрихи соответственно). Cплошные линии – интегральные кривые для каждого пика, b = 0.006 Å2 (в диапазоне 0.005–0.01 Å2 результаты близки), звездочки указывают значения интегралов, треугольниками обозначены координаты максимумов (“координационные радиусы”). Темные и светлые кривые – расчеты для первого и второго координационных пиков соответственно (различия в координационных числах и радиусах малы). Пунктир – средняя плотность 2.16 г/см3.
Рис. 9. ФРР для аморфной фазы ПТФЭ, построенные при различных верхних пределах интегрирования s2 (Å–1). Стрелкой указана область совпадения ФРР, соответствующая минимальному расстоянию 2.412 Å между атомами соседних полимерных цепочек ПТФЭ в кристаллической фазе. Сплошная линия – теоретическая кривая (рассчитанная по рентгеновским данным [5]) для кристаллической фазы. Вертикальными линиями отмечены те же межатомные расстояния, что и на рис. 2 для структуры кристаллической фазы ПТФЭ.
На рис. 9 представлены графики ФРР для различных s2 с целью выявления общих деталей. Также для сравнения показана теоретическая ФРР, построенная для кристаллической структуры, изображенной на рис. 2. Координационные пики, представляющие собой дельта-функции, были “размыты” с помощью функций Гаусса до ширины, визуально соответствующей экспериментальным данным; аналогично был подобран масштаб по оси ординат.
Полученные кривые ожидаемо не имеют полного сходства с ФРР. Так как исследованная структура заведомо не полностью аморфная, в расположении атомов как минимум присутствует упорядочение вдоль полимерных цепей. В то же время отдельные детали графиков поддаются разумной интерпретации. Все графики построены таким образом, что площадь под каким-либо фрагментом графика численно равна количеству атомов, находящихся на расстояниях от начала координат и соответствующих этому фрагменту графика. Так, на всех графиках присутствует пик с площадью под ним ~2, что соответствует среднему количеству исходящих ковалентных связей на атом в полимерной цепи (CF2)n (считаем, что пики, соответствующие связям C–C и C–F, не разрешаются друг относительно друга – сливаются в одном пике ФРР), а расположение на оси абсцисс согласуется с длинами связей C–C и C–F (рис. 1). В [28] приводится информация о длинах связей C–F (~1.35 Å) и C–C (~1.54 Å).
Левые границы следующих пиков (расположенных правее) на всех графиках совпадают в районе r = 2.412 Å, что соответствует расстоянию между ближайшими атомами соседних полимерных цепочек в кристаллической фазе ПТФЭ с их гексагональной упаковкой (рис. 2) (логично ожидать похожее и в аморфной фазе). Наконец, правые границы этих пиков располагаются в районе r = 3.243 Å, что соответствует литературным данным о толщине (диаметре) спиралевидных полимерных цепей (CF2)n.
В [24–26] для поиска коэффициента нормировки α использовался первый координационный пик и, соответственно, первое координационное число n1, отвечающее индивидуальным межатомным расстояниям. В настоящей работе символом “n1” обозначены два фактически сливающихся друг с другом координационных пика, отвечающих длинам ковалентных связей C–C и C–F, и нормировка осуществляется по сумме этих пиков, без возможности разрешить их по отдельности. Тем не менее и в такой ситуации были получены разумные результаты. В качестве дополнительной проверки корректности таких действий были проведены расчеты с использованием координационного пика “n2”, который на самом деле содержит в себе большое количество внутримолекулярных межатомных расстояний разных типов. Полученные результаты (площади под пиками) оказались близки к результатам расчета по пику “n1” (рис. 8, светлые кривые). Отметим, что в этом случае сгущение графиков n(α), т. е. n2(α), оказалось менее выраженным, чем в случае n1(α).
Интерпретация последующих координационных пиков (n3 и далее) в терминах отдельных атомов практически невозможна ввиду слишком большого количества атомов, принимающих участие в формировании каждого из таких пиков. Эти пики также не пригодны для поиска коэффициента нормировки описанным выше способом (получаются физически неразумные результаты). В то же время их можно использовать (их расположение и интегральные интенсивности, т. е. “координационные числа”) для сравнения разных способов проведения вычислений и оценки устойчивости применяемых вычислительных процедур к вариациям входных параметров.
Результаты расчетов при варьировании верхнего предела интегрирования s2 в интервале от 4 до 10.8 Å–1 представлены на рис. 10. Нижняя граница (4 Å–1) выбрана таким образом, чтобы в промежуток интегрирования попадало не менее двух интерференционных максимумов (гало). В противном случае описанная процедура поиска коэффициента нормировки теряет физический смысл (для наглядности и удобства сравнения интерференционная кривая представлена на том же рисунке в том же масштабе по шкале абсцисс (рис. 7б)). Верхняя граница (10.8 Å–1) выбрана исходя из того, что нет уверенности в корректности экспериментальных данных при больших значениях s2 (рис. 10в). Пропущенные значения соответствуют ситуациям, когда пики на графике не выделяются из-за отсутствия четких минимумов слева и справа от них.
Рис. 10. Зависимость от верхнего предела интегрирования s2: а – координационных чисел (площадей под пиками на графиках ФРР), б – координационных радиусов (абсцисс максимумов пиков на графиках ФРР); треугольником отмечено значение s2 = 6 Å–1, дающее наилучшее соответствие горизонтальных смещений первых пиков с теоретической ФРР, построенной для кристаллической фазы ПТФЭ (рис. 9). Для каждого значения s2 в расчетах использованы данные из промежутка интегрирования [s1, s2] в уравнении (1). Сводка данных, входящих в подынтегральное выражение в уравнении (1) (в). Для наглядности все графики построены в одном масштабе по оси абсцисс, одни и те же значения шкал абсцисс s2 расположены точно друг под другом.
Из рисунка видно, что параметры первого координационного пика (абсцисса максимума r1, площадь n1) относительно устойчивы при варьировании параметра s2 (n1 ≈ 2, что соответствует теоретическим предположениям). Остальные координационные пики более вариативны, что не противоречит физическому смыслу: фактически каждый такой координационный пик содержит большое количество различных, но близких по величине межатомных расстояний. Поскольку границы между пиками выбираются формально в точках минимума ФРР, смещение этих минимумов при изменении параметра s2 определяет, в каком координационном пике будет учтено то или иное межатомное расстояние. Фактически в этом случае нет смысла говорить об отдельных координационных сферах атомов (за исключением четко выделяющейся первой координационной сферы).
Отметим, что при значениях s2 ≥ 10 Å–1 параметры координационных пиков оказываются стабильными, координационные числа близки к целым числам, а именно n1 ≈ 2, n2 ≈ 4, n3 ≈ 5, n4 ≈ 8 атомов (рис. 10а, 10б). Впрочем, такой результат нельзя считать абсолютно надежным, так как при больших s2 сильно ухудшается соотношение сигнал/шум в экспериментальных данных, что вносит погрешность в итоговый результат.
ВЫВОДЫ
Проведено электронографическое исследование тонкой пленки политетрафторэтилена (фторопласта), полученной из суспензии путем спекания.
Измерения проведены на разработанном авторами прецизионном электронном дифрактометре на базе электронографа ЭМР-102 при ускоряющем напряжении 100 кВ. Проведена полная запись всего эксперимента в реальном времени с последующим анализом, выявлением помех, отбором наиболее качественных фрагментов записи и конструированием из них электронограммы для дальнейший расчетов.
Полученная электронограмма имеет характерные признаки электронограммы от аморфной структуры. Признаков дифракции на кристаллическом компоненте не обнаружено.
К полученной электронограмме применена ранее разработанная авторами методика анализа электронограмм от аморфных структур, основанная на определении коэффициента нормировки путем варьирования теплового параметра. Выявлен нехарактерный для обычных аморфных структур факт – отсутствие компактной области пересечения графиков функций n1(α), построенных для различных значений теплового параметра b. Это можно объяснить отклонением структуры фторопласта от классической аморфной структуры и ее нетривиальным поведением в процессах термического расширения/сжатия.
Для дальнейших расчетов вместо отсутствующей точки (области) пересечения графиков n1(α) использована точка их максимального сгущения. Таким образом определен коэффициент α нормировки интерференционной функции.
Для найденного α построена функция радиального распределения атомов. Получено значение первого координационного числа n1 ≈ 2 (атома), что соответствует структуре полимерной цепи …–CF2–… при учете в качестве первой координационной сферы атомов, связанных ковалентной связью с данным атомом. Проанализирована совокупность таких ФРР, при построении которых использовались различные значения верхнего предела интегрирования по угловому параметру дифракции. На ФРР выявлены характерные расстояния, соответствующие структуре макромолекулы (полимерной цепи) ПТФЭ спиралевидной конформации 15/7 и гексагональной кристаллической укладке таких цепей (для сравнения использованы литературные данные, полученные методом рентгеновской дифракции).
Продемонстрирована практическая возможность исследования аморфной фазы ПТФЭ электронно-дифракционными методами, разработаны соответствующие методики проведения эксперимента и анализа экспериментальных данных.
Авторы выражают благодарность В.В. Новиковой за участие и существенную помощь в приготовлении образцов, генеральному директору ООО “НПП “Арфлон” С.А. Хатипову и С.А. Серову (ООО “НПП “Арфлон”) за помощь в работе.
Работа выполнена в рамках госзадания НИЦ “Курчатовский институт”.
Об авторах
А. К. Кулыгин
Институт кристаллографии им. А.В. Шубникова Курчатовского комплекса кристаллографии и фотоники НИЦ “Курчатовский институт”
Автор, ответственный за переписку.
Email: avilovanatoly@mail.ru
Россия, Москва
Н. В. Садовская
Институт кристаллографии им. А.В. Шубникова Курчатовского комплекса кристаллографии и фотоники НИЦ “Курчатовский институт”; ООО “НПП “Арфлон”
Email: avilovanatoly@mail.ru
Россия, Москва; Москва
А. С. Авилов
Институт кристаллографии им. А.В. Шубникова Курчатовского комплекса кристаллографии и фотоники НИЦ “Курчатовский институт”
Email: kuligin57@gmail.com
Россия, Москва
О. И. Васин
Краснодарское высшее военное училище имени генерала армии С.М. Штеменко
Email: avilovanatoly@mail.ru
Россия, Краснодар
Список литературы
- Паншин Ю.А., Малкевич С.Г., Дунаевская Ц.С. Фторопласты. Л.: Химия, 1978. 232 с.
- Бузник В.М. Фторполимерные материалы. Томск: Изд-во НТЛ, 2017. 600 с.
- Clark E.S. // Polymer. 1999. V. 40. P. 4659.
- Фомин С.В. Индустрия фторопластов: реальность и перспективы / openauditorium.edunano.ru, вебинар от 18.09.2018.
- Bouznik V.M., Kirik S.D., Solovyov L.A., Tsvetnikov A.K. // Powder Diffraction. 2004. V. 19. № 3. P. 219.
- Bunn C.W., Howells E.R. // Nature. 1954. V. 174. P. 549.
- Хатипов С.А., Артамонов Н.А. // Рос. хим. журн. (Журн. Рос. хим. о-ва им. Д.И. Менделеева). 2008. Т. LII. № 3. С. 89.
- Острер С.Г. Фторполимеры в химической промышленности. Пермь, 2019. 398 с.
- Rigby H.A., Bunn C.W. // Nature. 1949. V. 164. P. 583.
- Prierce R.H.H. Jr., Clark E.S., Whitney J.F., Bryant W.M.D. Crystal Structure of Polytetrafluoroethylene. Abstract of Papers, 130th Meeting of the American Chemical Society. 1956. Sept. P. 9S.
- Clark E.S., Muus L.T. // Z. Kristallogr. 1962. B. 117. S. 119.
- Eby R.K., Clark E.S., Farmer B.L. et al. // Polymer. 1990. V. 31. № 12. P. 2227.
- Clark E.S. // J. Macromol. Sci. B. 2006. V. 45. № 2. P. 201.
- Clark E.S., Weeks J.J., Eby R.K. // ACS Symposium Ser. 1980. V. 141. P. 184.
- Лебедев Ю.А., Королев Ю.М., Поликарпов В.М. и др. // Кристаллография. 2010. Т. 55. № 4. С. 651.
- ГОСТ 8433-81 “Вещества вспомогательные ОП-7 и ОП-10”.
- Новикова В.В., Кулыгин А.К., Лепешов Г.Г., Авилов А.С. // Кристаллография. 2018. Т. 63. № 6. С. 876.
- Suwa T., Takeshita M., Machi S. // J. Appl. Polym. Sci. 1973. V. 17. № 11. P. 3253.
- Lehnert R.J., Hendra P.J., Everall N., Clayden N.J. // Polymer. 1997. V. 38. № 7. P. 1521.
- Кулыгин А.К., Кулыгин К.В., Авилов А.С. // Кристаллография. 2020. Т. 65. № 2. С. 325.
- LTR35 Многоканальный генератор-ЦАП сигналов и цифрового ввода-вывода. https://www.lcard.ru/products/ltr/ltr35
- PCIe-9834 4-CH 16-Bit 80 MS/s PCI Express Digitizer. https://www.adlinktech.com/Products/GPIB_Modular_Instruments/Digitizers_Oscilloscopes/PCIe-9834
- International Tables. Second Edition. 1994. Vol. C. Р. 257.
- Васин О.И., Гладышева Г.И., Дагман Э.Е. // Кристаллография. 1983. Т. 28. Вып. 3. С. 446.
- Васин О.И., Кулыгин А.К., Новикова В.В., Авилов А.С. // Кристаллография. 2019. Т. 64. № 5. С. 732.
- Васин О.И., Новикова В.В., Кулыгин А.К., Авилов А.С. // Поверхность. Рентген., синхротр. и нейтр. исслед. 2020. № 10. С. 105.
- Татаринова Л.И. Электронография аморфных веществ. М.: Наука, 1972. 104 с.
- O’Hagan D. // Chem. Soc. Rev. 2008. V. 37. № 2. P. 308.
Дополнительные файлы












