Effect of a traveling magnetic field on the parameters of doped tellurium gallium arsenide single crystals grown by the chokhralsky method
- Autores: Yugova T.G.1, Chuprakov V.A.1, Sanzharovsky N.A.1, Yugov A.A.1, Martynov I.D.1, Knyazev S.N.1
-
Afiliações:
- The State Research and Design Institute of the Rare Metal Industry (JSC Giredmet)
- Edição: Volume 69, Nº 3 (2024)
- Páginas: 393-399
- Seção: REAL STRUCTURE OF CRYSTALS
- URL: https://bakhtiniada.ru/0023-4761/article/view/263015
- DOI: https://doi.org/10.31857/S0023476124030036
- EDN: https://elibrary.ru/XPGUJR
- ID: 263015
Citar
Texto integral
Resumo
The effect of a traveling magnetic field on the parameters of Te-doped GaAs single crystals in the carrier density range of 5 × 1017–2 × 1018 cm–3 has been studied. A traveling magnetic field was induced in a melt by a graphite inductor located in the setup chamber around the main heater. It is shown that a high-frequency magnetic field slightly reduces the dislocation density in the crystals without changing the shape of the dislocation distribution over their cross sections. The magnetic field affects the impurity distribution along the crystal axis, almost doubling the distance between the striation bands from 9 µm in the absence of magnetic field to 17 µm in a field with a frequency of 300 Hz.
Texto integral
ВВЕДЕНИЕ
С начала 80-х гг. прошлого столетия появилось много научных публикаций, посвященных влиянию магнитного поля на различные параметры роста монокристаллов полупроводников из расплава с электрической проводимостью [1–4]. Для роста монокристаллов GaAs методом LEC (метод Чохральского с жидкостной герметизацией расплава) удачно было введено постоянное магнитное поле [5]. Магнитное поле успешно контролирует различные параметры процесса:
- термодинамические (температура, давление, состав);
- кинематические (перемещение, вращение, ускорение, вибрация);
- электрические (поляризация, токи Пельтье и Соре).
Кроме того, использование магнитных полей является дополнительным инструментом для улучшения качества кристаллов во время роста.
Постоянный магнит первоначально располагался вне камеры роста [6]. Однако для роста кристаллов требуется получение достаточно сильных нестационарных плотностей магнитной силы в расплаве. Для этого необходимо сконструировать магнит так, чтобы была возможность получать более высокий уровень индукции. Это позволит компенсировать потерю поля внутри установки в стенках камеры, на тепловых экранах, нагревателе и тигле.
Использование вращающего магнитного поля для выращивания кристаллов полупроводников в космосе было продемонстрировано в [7].
В конце 1990-х гг. начались первые теоретические и экспериментальные исследования по использованию бегущего магнитного поля (TMF) при росте кристаллов полупроводников [8]. С этого времени TMF использовалось для фундаментальных исследований механизмов роста и управления конвективными потоками в Ge [9] и GaAs [10].
Увеличение диаметра выращиваемых кристаллов и объема расплава сопровождается появлением в расплаве конвективных потоков и даже турбулентности, приводящих к ухудшению условий роста монокристаллов [11]. Появление конвективных потоков и турбулентности в расплаве вызывает колебания скорости роста, приводя к разориентированному зарождению зародышей на фронте кристаллизации и, вероятно, к двойникованию, особенно в соединениях АIIIВV и АIIВVI. Применение как постоянного, так и переменного магнитного поля используется для того, чтобы подавить конвективные потоки в расплаве.
Было обнаружено, что TMF эффективно влияет на эти явления, облегчая рост кристаллов и улучшая его свойства. В настоящее время переменное магнитное поле широко используется в установках для роста кристаллов полупроводников.
Характерными для конвекции расплава в методе Чохральского (CZ), а также в других методах направленной кристаллизации являются высокоамплитудные флуктуации температуры в расплаве, особенно вблизи границы раздела кристалл–расплав, которые возникают при наличии градиентов температуры, без которых кристаллы не растут [12, 13]. Таким образом, снижение температурных колебаний является одним из основных вопросов оптимизации метода CZ, решению которого может способствовать использование магнитных полей.
Известно, что магнитное поле в электропроводящем расплаве может эффективно влиять на конвективные потоки [14]. Сообщалось о снижении плотности “полос роста” (слоистости) в кристаллах GaAs, которые были выращены в установке с мощными постоянными магнитами [15, 16]. Расплав GaAs дает возможность применять магнитные поля для подавления конвективных потоков в расплаве и снижения слоистости в выращиваемых монокристаллах.
Настоящая работа посвящена вопросам влияния бегущего магнитного поля на такие структурные свойства легированных Те монокристаллов GaAs, как величина плотности дислокаций и их распределение по поперечному сечению кристалла, а также на распределение примеси по длине кристаллов, выращенных методом LEC. Для этого были разработаны и изготовлены графитовый индуктор, введенный в ростовую камеру вокруг основного нагревателя, источник трехфазного питания индуктора и отработаны режимы получения кристаллов.
МЕТОДИКИ ЭКСПЕРИМЕНТОВ
Бегущее магнитное поле создается индуктором, состоящим из трех графитовых катушек, расположенных соосно вертикально одна над другой. Индуктор питается трехфазным электрическим током, что позволяет создать магнитное поле, характеризующееся амплитудой, частотой и фазовым сдвигом. Вектор индукции магнитного поля направлен либо снизу вверх, либо сверху вниз. При традиционном исполнении индуктор состоит из трех катушек, соединенных “треугольником”. Если катушки соединены “звездой”, появляется бóльшая возможность изменения параметров магнитного поля. При этом каждая катушка может питаться отдельно, создавая магнитное поле, изменяющееся и по частоте, и по сдвигу фаз в широком диапазоне параметров магнитного поля [17].
Преимуществом TMF является создание результирующего вектора силы Лоренца, который действует в направлении силы тяжести и непосредственно индуцирует вертикальный поток в расплаве. Созданный результирующий вектор силы Лоренца можно применять не только для противодействия силе плавучести, но и использовать для создания условий, подобных различным уровням гравитации. Было замечено, что TMF немного уменьшает вогнутость периферийного участка фронта кристаллизации при низких частотах поля, что приводит к снижению плотности дислокаций за счет уменьшения радиального градиента температур, и снижает нестационарные конвективные возмущения путем стабилизации потока в расплаве, особенно при применении высоких частот магнитного поля [17].
Все исследованные монокристаллы GaAs, легированные Те в диапазоне концентраций носителей заряда 5 × 1017–2 × 1018 см–3, выращены в модернизированной установке LEC, в которую вокруг традиционного нагревателя “штакетного” типа был установлен графитовый индуктор. Индуктор состоит из трех катушек, каждая из которых содержит по четыре витка прямоугольного сечения. Катушки соединены между собой по схеме “звезда”. Это позволяет управлять каждой катушкой отдельно, меняя частоту магнитного поля в интервале 15–500 Гц и сдвиг фаз между катушками в интервале 0°–360°. Каждая катушка изготовлена из четырех графитовых колец с разрезом и тремя графитовыми вертикальными перемычками между ними для образования “ступенчатых” витков индуктора. Интенсивность индукции в расплаве составляет 0.5 мТл.
Выращивание монокристаллов GaAs, легированных Те, осуществлялось методом LEC. Исходную загрузку, состоящую из синтезированного GaAs массой 2.4 кг, лигатуры Те и обезвоженного борного ангидрида массой от 300 до 400 г, помещали в кварцевый тигель диаметром 135 мм. Кварцевый тигель устанавливали внутрь теплового блока, состоящего из графитового нагревателя, вокруг которого располагался индуктор, и графитовых экранов. Затравочный кристалл, ориентированный в направлении <001>, закрепляли в держателе. Камеру установки вакуумировали, а затем заполняли аргоном. После расплавления массы загрузки включали TMF с требуемой частотой, затравочный кристалл подводили к поверхности расплава и вводили в соприкосновение с ним. Вращение кристалла осуществляли в диапазоне от 8 до 12 об./мин при его перемещении вверх со скоростью от 12 до 25 мм/ч. Частота вращения тигля с расплавом составляла от 5 до 8 об./мин. После вытягивания кристалл охлаждали по программе в течение 10–12 ч.
Из монокристаллов в месте нужного диаметра и в конце слитка для контроля электрофизических параметров и плотности дислокаций вырезали перпендикулярно оси роста по две шайбы толщиной 2 мм. Из начальной части слитка вырезали шайбу толщиной 20 мм. Из нее параллельно оси роста вырезали пластину толщиной 2 мм для выявления “полос роста”, при этом один срез был сделан по центру кристалла, а другой – на расстоянии 2 мм от первого.
Шайбы для определения плотности дислокаций и пластины, вырезанные параллельно оси роста, механически шлифовали, а затем химически полировали в травителе состава H2SO4:H2O2:H2O = 3:1:1 до получения зеркально гладкой поверхности. Для выявления дислокационных ямок травления использовали травление в расплаве щелочи КОН при температуре 370°C.
Для выявления “полос роста” отполированные пластины травили в проекционном травителе Абрахамса–Бьюоччи (А/В-травитель) [18]. Травление осуществляли в “пьяной бочке” в течение 30 мин. “Пьяная бочка” – это сосуд, изготовленный из фторопласта, расположенный под углом к поверхности (чаще всего 30°–45°), который вращается со скоростью ~30 об./мин. При этом раствор постоянно омывает образец. Примесная неоднородность выявляется в виде “полос роста”, отражающих форму фронта кристаллизации. Для определения величины расстояния d между “полосами роста” подсчитывали количество полос роста, пересекающих маркер под прямым углом. Затем длину маркера 100 мкм делили на количество “полос роста”.
РЕЗУЛЬТАТЫ И ИХ ОБСУЖДЕНИЕ
В модернизированной установке LEC, в которой вокруг основного нагревателя располагался графитовый индуктор, создающий бегущее магнитное поле, вырастили партию монокристаллов GaAs, легированных Te. При этом в каждом процессе роста кристаллов изменяли частоту магнитного поля и угол сдвига фаз между катушками. В каждом выращенном кристалле контролировали плотность дислокаций ND, распределение дислокаций по поперечному сечению кристалла, форму фронта кристаллизации, а также расстояние между “полосами роста” d.
Влияние частоты магнитного поля на величину плотности дислокаций и распределение дислокаций по поперечному сечению кристаллов. Трудности получения малодислокационных монокристаллов GaAs методом LEC определяются двумя факторами: наличием слоя флюса B2O3, через который идет интенсивный теплоотвод за счет конвекции, и низкой теплопроводностью GaAs [19].
В [20] был обнаружен магнитопластический эффект в кристаллах GaAs при комнатной температуре. Он заключается в том, что под действием магнитного поля, вектор магнитной индукции которого направлен перпендикулярно линии дислокаций, дислокации передвигаются в объеме кристалла. При этом в зависимости от типа и знака дислокации они могут двигаться как в одну сторону, так и в разные.
Согласно схеме распространения магнитных полей, представленных в патенте [21], магнитное поле в кристалле распространяется справа и слева от стенок тигля к центру кристалла перпендикулярно линиям дислокаций. Магнитопластический эффект дает возможность передвигаться дислокациям в кристалле или к центру слитка, или к его краям, выходя из кристалла. Кроме того, дислокации могут взаимодействовать друг с другом, что приводит или к полной их аннигиляции, или к уменьшению их количества. Этот факт подтверждают экспериментальные данные по снижению плотности дислокаций в кристаллах, выращенных в магнитном поле.
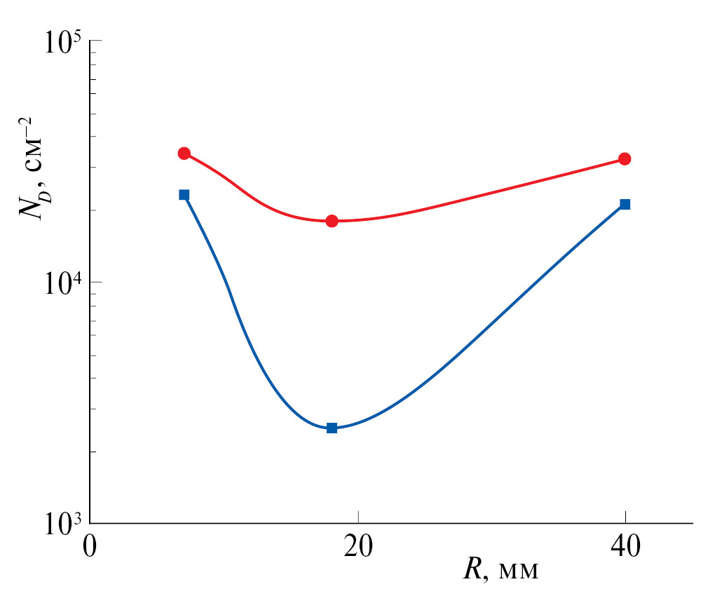
Картина распределения дислокационных ямок травления по поперечному сечению конечной части кристалла GaAs диаметром 50 мм, выращенного в магнитном поле, показана на рис. 1. При росте кристаллов GaAs максимумы плотности дислокаций наблюдаются на периферии слитка, а также в центре. Согласно полярной диаграмме, показанной в [22], где линии постоянных термоупругих напряжений характеризуют распределение дислокаций в поперечном сечении слитка, в конце слитка распределение дислокаций должно иметь максимумы в направлении < 100 >, а минимум – в направлении < 110 >, что хорошо видно на рис. 1. Кроме этого, характер распределения дислокаций по поперечному сечению кристалла существенно меняется по мере роста кристалла, что хорошо видно на диаграмме. При этом плотность дислокаций существенно зависит от диаметра кристалла, изменяясь от (1–3) × 104 см–2 при диаметре 40 мм до (5–8) × × 104 см–2 при диаметре слитка 100 мм. На рис. 2 приведено распределение дислокаций по радиусу кристаллов диаметром 80 мм, один из которых выращен с использованием магнитного поля частотой 300 Гц, а другой без магнитного поля. Очевидно, что характер распределения дислокаций не меняется. Однако в кристаллах, выращенных в TMF, эта плотность немного ниже. В области между двумя максимумами в кристаллах, выращенных в магнитном поле, значение плотности дислокаций намного ниже и уменьшается до величины 2.5 × 103 см–2.
Рис. 1. Распределение дислокационных ямок травления по поперечному сечению конечной части кристалла диаметром 50 мм, выращенного в магнитном поле.
Рис. 2. Распределение дислокаций по радиусу кристалла диаметром 80 мм, выращенного в магнитном поле частотой 300 Гц (–■-), и кристалла, выращенного без магнитного поля (–●-).
Под действием магнитного поля дислокации могут двигаться в разные стороны, что не дает возможности предсказать распределение дислокаций по площади шайбы. Но исходя из полученных данных можно утверждать, что характер распределения дислокаций по поперечному сечению кристалла не меняется под действием магнитного поля и что магнитное поле может снижать плотность дислокаций в кристалле.
Влияние частоты магнитного поля на плотность “полос роста” в кристаллах, выращенных в магнитном поле. Проекционное травление пластины, вырезанной параллельно оси роста, позволило выявить “полосы роста”, показывающие форму фронта кристаллизации. Периодические колебания скорости роста, обусловленные колебаниями температуры вблизи границы раздела фаз, должны приводить к появлению в монокристаллах периодической неоднородности в распределении примеси по “полосам роста” [23]. В [24] рассматривались и обсуждались различные теоретические аспекты и технологические решения проблемы образования полосчатости (“полос роста”). Полосчатость можно ликвидировать, приблизившись к эффективному коэффициенту распределения примеси, стремящемуся к единице при росте из расплавов [24]. Отсутствие “полос роста” наблюдалось при росте кристаллов GaAs в магнитном поле частотой 400 Гц [17].
По “полосам роста” можно определить не только форму фронта кристаллизации. Расстояние между полосами определяет характер распределения легирующей примеси по длине кристалла. Согласно данным [17] это расстояние существенно зависит от частоты магнитного поля.
Для кристаллов GaAs, легированных Те, выращенных методом LEC в магнитном поле, типичным фронтом является фронт, показанный на рис. 3. Форма фронта кристаллизации показывает характер распределения температуры в подкристалльной области расплава. В середине кристалла наблюдается выпуклый в расплав фронт кристаллизации, что свидетельствует о том, что в центральной области расплава наблюдается переохлаждение. В периферийной области расплав также переохлажден, о чем свидетельствует загиб полос роста вниз. Такая форма фронта кристаллизации объясняет наличие двух максимумов плотности дислокаций на кривых, показанных на рис. 2. Плоский фронт кристаллизации свидетельствует о равномерном распределении температуры вдоль всего фронта кристаллизации. Однако такая форма фронта кристаллизации не может быть достигнута в кристаллах GaAs по причинам, указанным в [19].
Рис. 3. Фотография формы фронта кристаллизации в кристалле GaAs диаметром 50 мм, выращенном методом LЕС в магнитном поле.
Микрофотографии полос роста в монокристаллах GaAs, представленные на рис. 4, дают возможность измерить расстояние d между “полосами роста”. При направлении вектора индукции магнитного поля сверху вниз примесь, оттесненная в подкристальную область расплава из-за малого коэффициента распределения Те (k = 0.03), увлекается силой Лоренца, создаваемой TMF, вниз, обеспечивая тем самым более равномерное распределение примеси по длине кристалла. Это приводит к увеличению расстояния d между полосами роста, при этом увеличение d тем больше, чем больше частота магнитного поля. При направлении вектора индукции магнитного поля снизу вверх наблюдается обратная картина – расстояние d уменьшается до 5 мкм. Микрофотография кристалла, выращенного в магнитном поле, идущем снизу вверх, показана на рис. 5.
Рис. 4. Микрофотографии “полос роста” в монокристаллах GaAs, выращенных при различных частотах бегущего магнитного поля, вектор индукции которого направлен сверху вниз: а – без магнитного поля, б – в поле 150 Гц, в – в поле 300 Гц.
Рис. 5. Микрофотографии “полос роста” в монокристалле GaAs, выращенном в магнитном поле, вектор индукции которого направлен снизу вверх с частотой 300 Гц.
Зависимость расстояния между “полосами роста” d от частоты магнитного поля, направленного сверху вниз, показана на рис. 6. Очевидно, что величина d возрастает с ростом частоты магнитного поля.
Рис. 6. Зависимость расстояния между “полосами роста” d от частоты магнитного поля, вектор индукции которого направлен сверху вниз.
ЗАКЛЮЧЕНИЕ
Партия легированных Те монокристаллов GaAs выращена методом LEC с применением бегущего магнитного поля. Магнитное поле создавалось графитовым индуктором, состоящим из трех катушек, соосно расположенных друг над другом и соединенных “звездой”. Индуктор располагался внутри камеры вокруг основного нагревателя и питался трехфазным током. Проведено исследование влияния бегущего магнитного поля на структурные свойства легированных теллуром монокристаллов GaAs, полученных методом LEC. Магнитное поле большой частоты незначительно уменьшает плотность дислокаций в кристаллах, сохраняя характер распределения дислокаций по площади поперечного сечения кристалла. Обнаружено существенное увеличение расстояния между “полосами роста” от 9 до 17 мкм с увеличением частоты магнитного поля от нуля до 300 Гц.
Sobre autores
T. Yugova
The State Research and Design Institute of the Rare Metal Industry (JSC Giredmet)
Autor responsável pela correspondência
Email: P_Yugov@mail.ru
Rússia, 111524 Moscow
V. Chuprakov
The State Research and Design Institute of the Rare Metal Industry (JSC Giredmet)
Email: P_Yugov@mail.ru
Rússia, 111524 Moscow
N. Sanzharovsky
The State Research and Design Institute of the Rare Metal Industry (JSC Giredmet)
Email: P_Yugov@mail.ru
Rússia, 111524 Moscow
A. Yugov
The State Research and Design Institute of the Rare Metal Industry (JSC Giredmet)
Email: P_Yugov@mail.ru
Rússia, 111524 Moscow
I. Martynov
The State Research and Design Institute of the Rare Metal Industry (JSC Giredmet)
Email: P_Yugov@mail.ru
Rússia, 111524 Moscow
S. Knyazev
The State Research and Design Institute of the Rare Metal Industry (JSC Giredmet)
Email: P_Yugov@mail.ru
Rússia, 111524 Moscow
Bibliografia
- Terashima K., Fukuda T. // J. Cryst. Growth. 1983. V. 63. P. 423. https://doi.org/10.1016/0022-0248(83)90236-1
- Osaka J., Kohda Н., Kobayashi Т., Hoshikawa К. // Jpn. J. Appl. Phys. 1984. V. 23. P. L195. https://doi.org/10.1143/JJAP.23.L195
- Terashima K., Katsumata T., Orito F. // Jpn. J. Appl. Phys. 1984. V. 23. P. L302. https://doi.org/10.1143/JJAP.23.L302
- Hoshi K., Isawa N., Suzuki T., Ohkubo Y. // J. Electrochem. Soc. 1985. V. 132. P. 693. https://doi.org/10.1149/1.2113933
- Terashima K., Fukuda T. // J. Cryst. Growth. 1983. V. 63. P. 425. https://doi.org/10.1016/0022-0248(83)90236-1
- Shiraishi Y., Takano K., Matsubara J. et al. // J. Cryst. Growth. 2001. V. 229. P. 17. https://doi.org/10.1016/S0022-0248(01)01042-9
- Sleptsova I.V., Senchenkov A.S., Egorov A.V. et al. // Proceedings of Joint 10th European and 6th Russian Symposium on Physical Sciences in Microgravity. St. Petersburg. Russia. 15–21 June 1997. 2. P. 68.
- Ataka M., Katoh E., Wakayama N.I. // J. Cryst. Growth. 1997. V. 173. P. 592. https://doi.org/10.1016/S0022-0248(96)00821-4
- Yesilyurt S., Motakef S., Grugel R., Mazuruk K. // J. Cryst. Growth. 2004. V. 263. P. 80. https://doi.org/10.1016/J.JCRYSGRO.2003.11.066
- Lyubimova T.P., Croёll A., Dold P. et al. // J. Cryst. Growth. 2004. V. 266. P. 404. https://doi.org/10.1016/j.jcrysgro.2004.02.071
- Rudolph P. // J. Cryst. Growth. 2008. V. 310. P. 1298. https://doi.org/10.1016/j.jcrysgro.2007.11.036
- Gräbner O., Mühe A., Müller G. et al. // Mater. Sci. Eng. B. 2000. V. 73. P. 130. https://doi.org/10.1016/S0921-5107(99)00452-3
- Vizman D., Gräbner O., Müller G. // J. Cryst. Growth. 2001. V. 233. P. 687. https://doi.org/10.1016/S0022-0248(01)01633-5
- Hurle D.T.J., Series R.W. // Handbook of Crystal Growth / Ed. Hurle D.T.J. North-Holland: Elsevier, 1994. V. 2a. P. 259. https://doi.org/10.1107/S010876739709990X
- Kimura T., Katsumata T., Nakajima M. et al. // J. Cryst. Growth. 1986. V. 79. P. 264. https://doi.org/10.1016/0022-0248(86)90447-1
- Ozawa S., Nakayama H., Shiina Y. et al. // Inst. Phys. Conf. Ser. 1989. V. 96. P. 343.
- Rudolph P., Czupalla M., Lux B. // J. Cryst. Growth. 2009. V. 311. Р. 4543. https://www.researchgate.net/publication/282977027_Crystal_growth_from_melt_in_combined_heater-magnet_modules
- Abrachams M.S., Buiocchi C.J. // J. Appl. Phys. 1965. V. 36. P. 2855. https://doi.org/10.1063/1.1714594
- Мильвидский М.Г., Освенский В.Б. Структурные дефекты в монокристаллах полупроводников. М.: Металлург, 1984. С. 75. https://www.studmed.ru/milvidskiy-m-g-osvenskiy-v-b-strukturnye-defekty-v-monokristallah-poluprovodnikov_6a780cf3b60.html
- Ugova T.G., Belov A.G., Knyazev S.N. // Crystallography Reports. 2020. V. 65. P. 7. https://doi.org/10.1134/S1063774520010277
- Патент DE10 2007 020 39 134 от 03.09.2009.
- Мильвидский М.Г., Освенский В.Б. Структурные дефекты в монокристаллах полупроводников. М.: Металлург, 1984. С. 93. https://www.studmed.ru/milvidskiy-m-g-osvenskiy-v-b-strukturnye-defekty-v-monokristallah-poluprovodnikov_6a780cf3b60.html
- Мильвидский М.Г., Освенский В.Б. Структурные дефекты в монокристаллах полупроводников. М.: Металлург, 1984. С. 172. https://www.studmed.ru/milvidskiy-m-g-osvenskiy-v-b-strukturnye-defekty-v-monokristallah-poluprovodnikov_6a780cf3b60.html
- Scheel H.J. // J. Cryst. Growth. 2006. V. 287. Р. 214. https://doi.org/10.1016/j.jcrysgro.2005.10.100
Arquivos suplementares








