Influence of activator concentration on spectral-luminescence and scintillation properties of YAG:Ce crystals
- Authors: Fedorov V.A.1, Antonov E.V.1, Venevtsev I.D.2, Kanevsky V.M.1, Nabatov B.V.1, Saltanova E.S.1,3
-
Affiliations:
- Shubnikov Institute of Crystallography of Kurchatov Complex of Crystallography and Photonics of NRC “Kurchatov Institute”
- Peter the Great St. Petersburg Polytechnic University
- Moscow Institute of Physics and Technology (National Research University)
- Issue: Vol 69, No 2 (2024)
- Pages: 345-352
- Section: CRYSTAL GROWTH
- URL: https://bakhtiniada.ru/0023-4761/article/view/259746
- DOI: https://doi.org/10.31857/S0023476124020187
- EDN: https://elibrary.ru/YSCMVD
- ID: 259746
Cite item
Full Text
Abstract
The luminescence and scintillation properties of YAG:Ce crystals grown from the melts in vacuum has been analysed. We have investigated absorption spectra, X-ray excited luminescence (XRL), XRL decay kinetics and scintillation light yield in a wide range of activator concentrations (from 0.0036 at.% to 1.175 at.% substitution of Y in the c-positions of garnet structure). The effective quenching of the intrinsic luminescence of antisite and vacancy defects of the crystal in the UV region with increasing activator concentration has been determined. The optimal concentration of the activator has been determined in order to increase the XRL intensity and the light output of scintillations of Сe3+ ions, taking into account the technological peculiarities of growing optically perfect single crystals with high concentration of Сe3+ ions by using the method of horizontal directional crystallisation in vacuum. The relations between the XRL kinetics and the activator concentration have been investigated. It has showed the possibility to obtain crystals with photon yield up to 25,000 ph/MeV.
Full Text
ВВЕДЕНИЕ
Монокристаллы иттрий-алюминиевых гранатов, активированные ионами Се3+ (ИАГ:Се), относятся к известному классу синтетических гранатов с общей формулой Ln13Al5O12:Ln23+ (где Ln1 = Y, Lu, Gd или их комбинация, Ln2 = Ce, Tb, Yb и др. или их комбинация). Кристаллы ИАГ, активированные ионами Nd3+, Er3+, Yb3+, Ho3+ и др., ранее интенсивно исследовались в качестве материалов для лазеров [1]. В последнее время кристаллы гранатов, активированные ионами Ce3+ и Pr3+, привлекают внимание исследователей в качестве “быстрых”, эффективных и технологичных материалов для различных сцинтилляционных применений [2]. Кристаллы ИАГ:Се выращивают, как правило, из высокотемпературных расплавов в иридиевых тиглях методом Чохральского. Данный метод позволяет получать достаточно крупные кристаллы, которые, однако, обладают структурными неоднородностями, образующимися в результате роста различных граней на выпуклой поверхности раздела фаз. Грани формируются на тех участках фазовой границы, которые параллельны кристаллографическим плоскостям. В кристаллах гранатов образуются грани тетрагонтриоктаэдра {211} и ромбододекаэдра {110} [3]. Рост граней может приводить к образованию существенных напряжений и неоднородности распределения активатора по сечению кристалла.
Альтернативным методом получения крупных совершенных монокристаллов ИАГ является метод горизонтальной направленной кристаллизации (ГНК) [4]. В методе ГНК кристаллизация осуществляется в одноразовых молибденовых контейнерах плоской геометрии в вакууме или контролируемой атмосфере. Для метода ГНК рост граней не характерен за счет более плоской границы раздела фаз. Метод позволяет выращивать крупные совершенные монокристаллы плоской геометрии при относительно низкой себестоимости. Однако плоская геометрия контейнера с высокой площадью расплава определяет и ряд особенностей метода, основной из которых является нарушение стехиометрии расплава в процессе кристаллизации. Последнее обстоятельство особенно существенно при проведении кристаллизационных процессов в вакууме. Вполне естественно, что характер и концентрация локальных (точечных) дефектов структуры (например, вакансий в анионной и катионной подрешетке) могут существенно отличаться от кристаллов, выращенных иными методами. Для технологии выращивания кристаллов ИАГ:Се также актуальна задача определения оптимальной концентрации Се в связи с низким коэффициентом распределения церия (K ~ 0.1) при кристаллизации из расплава [5] и, соответственно, с трудностями выращивания совершенных кристаллов с высокой концентрацией.
Для кристаллов ИАГ при кристаллизации методом ГНК характерно преимущественное испарение алюминия и кислорода, приводящее к образованию F-центров с поглощением в УФ-области спектра (200–240 нм) [6, 7]. К другим типам дефектов синтетических кристаллов алюмогранатов, активно изучаемым в последние годы, относятся так называемые дефекты замещения (anti-site defects), когда часть катионов, например Y в ИАГ, занимают октаэдрические позиции алюминия в кристаллической решетке. Впервые такие нарушения идеальной структуры ИАГ были рассмотрены в [8], причем концентрация дефектов замещения может быть сравнима с концентрацией активатора (0.25 ат. % для YAl и 0.5 ат. % для LuAl).
Формирование упомянутых выше и иных дефектов кристаллической структуры в значительной степени зависит от метода и технологических условий выращивания [6, 9]. Высокая температура выращивания кристаллов гранатов из расплавов способствует формированию дефектов замещения, тогда как в керамиках и пленках гранатов, синтезированных по иным технологиям и при существенно меньших температурах, такие дефекты незначительны или полностью отсутствуют [10, 11]. Дефекты замещения активно исследуются при анализе свойств характеристик сцинтилляционных кристаллов гранатов, активированных ионами Се3+ и Pr3+, поскольку оказывают влияние на эффективность и кинетику сцинтилляций [12–15].
Настоящая работа посвящена исследованию спектрально-кинетических и сцинтилляционных характеристик образцов кристаллов ИАГ:Се с широким диапазоном концентраций активатора: до 1.175 ат. % замещения Y в с-позициях структуры граната. Образцы кристаллов были получены в вакууме методом ГНК и при спонтанной кристаллизации расплавов в молибденовых ячейках. В прикладном аспекте исследования направлены на оптимизацию технологических условий выращивания кристаллов гранатов методом ГНК, предназначенных, в частности, для сцинтилляционных экранов рентгеновских томографов высокого пространственного разрешения.
Для кристаллов ИАГ:Се, в которых коэффициент распределения церия при кристаллизации из расплава K ~ 0.1, актуальна задача достижения высокой концентрации Се3+ и равномерности его распределения по длине кристалла.
ЭКСПЕРИМЕНТАЛЬНАЯ ЧАСТЬ
Образцы монокристаллов гранатов для исследований с диапазоном концентраций активатора от 0.0036 до 1.175 ат. % замещения ионов Y3+ в с-позициях структуры граната получены по двум различным методикам (табл. 1). Образцы 1–6 изготовлены из монокристаллов ИАГ:Се, выращенных методом ГНК в вакууме. Образцы 7–13 получали путем кристаллизации расплавов с содержанием церия 2–3 ат. % в молибденовых ячейках без перемещения контейнера и использования затравок, в условиях интенсивного охлаждения и высоких градиентов температуры. Образцы кристаллов граната 7–12 являлись монокристаллами. Оптический контроль совершенства кристаллов проводили на полированных образцах в поляризованном свете в скрещенных поляроидах. Образец 13 с максимальной концентрацией церия имел блочную структуру. Фазовый состав полученных кристаллов контролировали на порошковом дифрактометре Rigaku Miniflex 600. На дифрактометре проводили съемку плоских порошковых образцов в стандартной геометрии по схеме Брэгга–Брентано. При исследовании использовали образцы кристаллов, измельченные в порошок в сапфировой ступке. Все синтезированные образцы по составу соответствовали фазе граната Y3Al5O12 и не содержали примесных фаз, за исключением образца с концентрацией Се 1.175 ат. %, для которого на дифрактограмме наблюдались слабые пики фазы корунда Al2O3. Образцы для спектрально-люминесцентных исследований изготавливали в виде полированных пластин различной толщины. Образцы 7–13 содержали незначительное количество газовых включений, не влияющих на проведение спектральных исследований. Концентрацию активатора (ионов Се3+) определяли предварительно с использованием рентгенофлуоресцентного спектрометра Orbis EDAX и более точно по спектральной методике, рассмотренной в [16]. Спектры поглощения снимали в диапазоне 200–1100 нм при помощи двулучевых спектрофотометров SPECORD 200 PLUS и Cary 5000. В абсорбционных измерениях, необходимых для определения показателей поглощения кристаллов, использовали также спектрофотометр SPECORD M 40 с рабочим диапазоном 200–900 нм.
Таблица 1. Концентрация ионов Се3+ для двух серий образцов
Образец
| Концентрация ионов Ce3+, ат. % |
Метод ГНК | |
1 | 0.0036 |
2 | 0.0059 |
3 | 0.0084 |
4 | 0.0149 |
5 | 0.0256 |
6 | 0.100 |
Спонтанная кристаллизация | |
7 | 0.015 |
8 | 0.051 |
9 | 0.159 |
10 | 0.263 |
11 | 0.466 |
12 | 0.824 |
13 | 1.175 |
Измерения спектров рентгенолюминесценции (РЛ) проводили в геометрии “на отражение” под непрерывным возбуждением рентгеновским источником с вольфрамовым анодом и бериллиевым окном (40 кВ, 10 мА). Для регистрации оптического излучения использовали монохроматор МДР-2 и систему счета фотонов Hamamatsu H8259-01. Спектр излучения снимали в диапазоне 200–650 нм с корректировкой установки по спектральной чувствительности. Стандартные условия экспериментов позволили выполнить сравнительные измерения интенсивности РЛ образцов различной геометрии и состава.
Исследования затухания РЛ проводили при импульсном рентгеновском возбуждении методом времяскоррелированного однофотонного счета на установке, описанной в [17]. Для возбуждения РЛ использовали импульсную рентгеновскую трубку РТИ2-0.05 с анодным напряжением до 30 кВ, длительностью импульса на половине максимума менее 1 нс и средним током в импульсе ~0.5 А. Для регистрации излучения использовали высокоскоростной фотоэлектронный умножитель Hamamatsu R3235-01 и многоканальный временной анализатор. Установка позволяла проводить измерения кинетики люминесценции с полным временным окном от 200 нс до 100 мкс и предельным временным разрешением 70 пс.
Измерение световыхода проводили на оригинальной лабораторной установке, собранной по схеме сцинтилляционного гамма-спектрометра. Для облучения сцинтиллятора использовали образцовый спектрометрический гамма-источник на изотопе Cs137 с энергией γ-квантов 662 кэВ. Калибровку установки осуществляли по эталонному кристаллу NaI:Tl. Для получения абсолютного значения световыхода также использовали данные о спектре излучения образца.
РЕЗУЛЬТАТЫ И ИХ ОБСУЖДЕНИЕ
Исследованы зависимости ряда основных параметров сцинтилляционных кристаллов ИАГ:Се от концентрации активатора. Для удобства рассмотрения полученных результатов в табл. 1 даны номера образцов и значения концентрации Се3+, измеренные по спектральной методике [16]. Примеры спектров поглощения образцов из двух групп кристаллов приведены на рис. 1. В связи с большим диапазоном концентраций церия в абсорбционных экспериментах использовали образцы различной толщины. Особо тонкие образцы прикрепляли на водном иммерсионном слое к сапфировым подложкам.
Рис. 1. Спектры поглощения образцов кристаллов ИАГ:Се толщиной d: 6 – d = 690, 7 – d = 443, 9 – d = 37, 12 – d = 65 мкм. Номера кривых соответствуют номерам образцов из табл. 1
Спектры РЛ двух серий образцов показаны на рис. 2.
Рис. 2. Спектры РЛ кристаллов ИАГ:Се. Номера кривых соответствуют номерам образцов из табл. 1
Общая структура спектров РЛ одинакова для всех образцов. В спектрах регистрируются следующие компоненты: две широкие полосы в УФ (240–360 нм) и желтой (500–640 нм) областях спектра, а также набор узких полос в диапазоне 360–460 нм.
Полоса излучения в УФ-области – люминесценция основы. Согласно данным [18, 19] она соответствует люминесценции экситонов, локализованных на дефектах замещения YAl. Широкая полоса в желтой области спектра – люминесценция ионов Ce3+ [20]. Узкие полосы в области 360–460 нм скорее всего связаны с люминесценцией неконтролируемых примесей, которые не проявляются в спектрах поглощения, но люминесцируют при возбуждении рентгеновским источником. Состав и содержание примесей зависит от условий синтеза и чистоты используемых исходных оксидов. Для кристаллов, выращенных методом ГНК (образцы 1–6), это люминесценция, соответствующая переходам 5D3 → 7FJ примеси ионов Tb3+. Как видно из спектров, наличие примесей не влияет на общий характер взаимодействия дефектов основы с ионами активатора. В силу низкой концентрации примесей их влиянием на световыход и процессы переноса энергии можно пренебречь.
С ростом концентрации ионов церия монотонно уменьшается интенсивность люминесценции дефектов основы в диапазоне ~220–380 нм и растет интенсивность люминесценции ионов Се3+, при этом у образцов 12 и 13 люминесценция основы почти полностью отсутствует. Характер изменений в спектрах несколько нарушается для образца 13 с максимальной концентрацией ионов Се3+, в котором интенсивность люминесценции ниже, чем в образцах 10–12.
По данным спектров РЛ построена зависимость интенсивности в максимуме полосы люминесценции церия (λ = 560 нм) от концентрации ионов Се3+ (рис. 3).
Рис. 3. Зависимость интенсивности РЛ кристаллов ИАГ:Се на длине волны λ = 560 нм кристаллов от концентрации активатора: 1 – кристаллы, выращенные методом ГНК, 2 – кристаллы, полученные при спонтанной кристаллизации
Люминесценция основы (и примесей) с ростом концентрации церия значительно уменьшается. Практически полное тушение люминесценции основы наблюдается у кристаллов 11–13 с концентрацией ионов Се3+ ~ 0.4 ат. % и более. Представленная на рис. 3 зависимость не является монотонной. Наибольшая интенсивность люминесценции церия наблюдается для образцов 11 и 12. У образца 13 с концентрацией ионов Се3+ ~ 1.2 ат. % интенсивность люминесценции заметно ниже, что может свидетельствовать о начале концентрационного тушения. Результаты измерений и обработки спектров РЛ свидетельствуют об эффективной передаче энергии возбуждения от дефектов основы ионам церия при концентрации последнего более 0.26 ат. % (по замещению ионов Y3+ в с-позициях структуры ИАГ).
В практических задачах применения “быстрых” сцинтилляторов весьма важным параметром является уровень и длительность медленных компонент в кинетике затухания сцинтилляций.
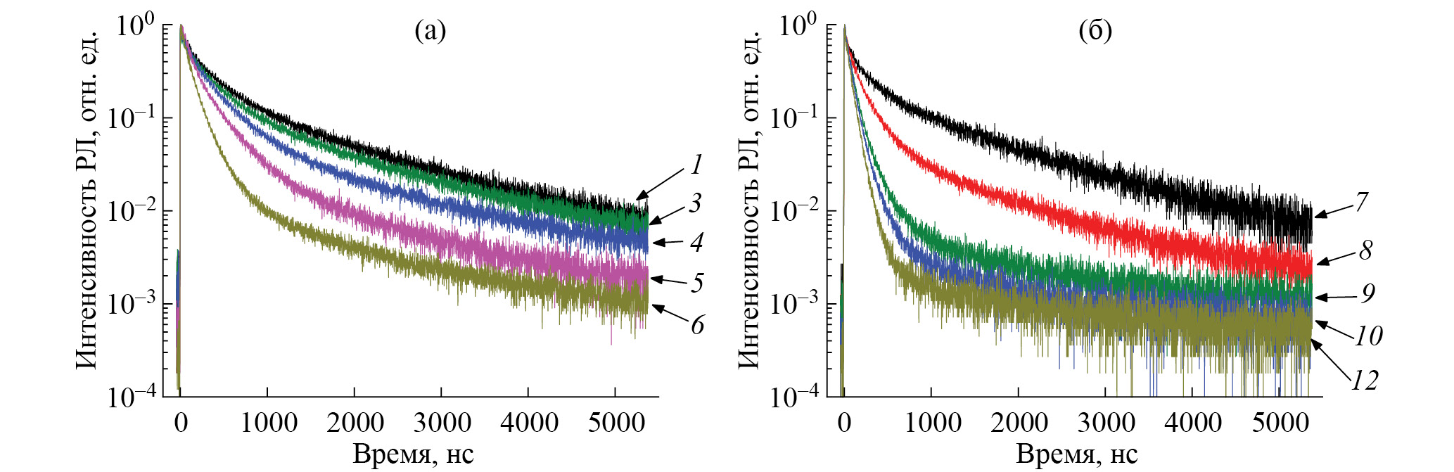
Зависимости интенсивности РЛ образцов ИАГ:Се от времени для двух концентрационных серий кристаллов представлены на рис. 4.
Рис. 4. Зависимости интенсивности РЛ на длине волны λ = 560 нм образцов ИАГ:Cе от времени. Номера кривых соответствуют номерам образцов из табл. 1
Для всех кристаллов кривые затухания РЛ не являются экспоненциальными. Анализ кривых затухания РЛ показывает, что они достаточно точно аппроксимируются суммой трех экспонент:
где I0 – интенсивность фона, I1, I2 и I3 – начальные интенсивности компонент, τ1, τ2 и τ3 – постоянные затухания соответствующих компонент.
Результаты разложения зависимостей по алгоритму Левенберга–Марквардта даны в табл. 2. Значения относительной интегральной интенсивности вычисляли по формуле .
Таблица 2. Интегральная интенсивность компонент РЛ образцов ИАГ:Се
Образец | Относительная интегральная интенсивность компонент РЛ образцов ИАГ:Се, % | ||
τ1 = 81 нс | τ2 = 320 нс | τ3 = 1350 нс | |
1 | 5 | 32 | 63 |
2 | 11 | 39 | 50 |
3 | 5 | 38 | 56 |
4 | 9 | 53 | 38 |
5 | 25 | 60 | 15 |
| τ1 = 68 нс | τ2 = 190 нс | τ3 = 1090 нс |
6 | 26 | 58 | 16 |
7 | 4 | 18 | 78 |
8 | 14 | 44 | 42 |
9 | 56 | 36 | 8 |
10 | 72 | 24 | 4 |
11 | 86 | 12 | 2 |
12 | 88 | 9 | 3 |
13 | 93 | 3 | 5 |
Компонента с τ = 68–80 нс, очевидно, принадлежит люминесценции ионов Се3+, компонента с τ = 190 (320) нс также, по-видимому, принадлежит ионам Се3+, ассоциированным с экситонами, локализованными на дефектах замещения и F+-центрах [13, 21]. Наиболее медленная компонента имеет время спада 1.35 и 1.09 мкс у образцов 1–5 и 6–13 соответственно и является либо излучением основы, либо послесвечением люминесценции церия, вызванным присутствующими в составе примесями [22, 23].
На рис. 5 представлены зависимости интегральной интенсивности компонент РЛ от концентрации ионов Се3+ (образцы 7–13), построенные по данным табл. 2. С увеличением концентрации ионов Се3+ наблюдаются рост интегрального вклада быстрой компоненты с τ = 68 нс и уменьшение вклада РЛ основы. При концентрации Се3+ более 0.3 ат. % наблюдается практически полное тушение РЛ основы. Для промежуточной компоненты с τ = 190–320 нс (табл. 2, рис. 5б) наблюдается та же тенденция, за исключением области очень малых концентраций ионов Се3+ (менее 0.046 ат. %). Рост вклада промежуточной компоненты в области малых концентраций можно связать с резким ростом количества дефектов, участвующих в процессе возбуждения РЛ ионов Се3+. При концентрации Се3+ более 0.42 ат. %. вклад этой компоненты в кинетику РЛ не превышает 12%. Проведенные измерения показывают, что по быстродействию монокристаллы с относительно высокой концентрацией Се3+ не уступают прозрачной керамике, исследованной в [24].
Рис. 5. Зависимость интегрального вклада различных компонент кинетики РЛ образцов ИАГ:Се от концентрации церия: 1 – компонента 68 нс, 2 – компонента 1090 нс, 3 – промежуточная компонента (190 нс)
Для выяснения механизмов тушения РЛ дефектов кристалла-основы необходимо проведение дополнительных специальных исследований, не относящихся к задачам данной работы. Очевидным является механизм реабсорбции излучения основы ионами Се3+ за счет полосы с максимумом 346 нм в их спектре поглощения, соответствующей переходу 2F5/2 → 2E (5d). Реабсорбция проявляется наличием соответствующего “провала” в спектре люминесценции основы.
Световыход сцинтилляций ионов Се3+ (рис. 6) напрямую зависит от эффективности переноса к ним энергии. При возбуждении люминесценции рентгеновским излучением происходит генерация большого числа электронно-дырочных пар. Перенос энергии возможен напрямую на церий посредством последовательного захвата дырки с образованием иона Ce4+ и электрона с образованием возбужденного иона Ce3+. При наличии в решетке за счет зарядовой компенсации ионов Ce4+ эффективность захвата электронов повышается, причем эффект значителен даже при концентрациях церия ~10-4 ат. % по отношению к редкоземельному катиону [12].
Рис. 6. Зависимость световыхода сцинтилляций кристаллов ИАГ:Се от концентрации активатора: 1 – световыход ионов Се3+, 2 – световыход основы; а – кристаллы, выращенные методом ГНК, б – кристаллы, полученные при спонтанной кристаллизации
Конкурентным данному процессу является перенос энергии от экситонов к собственным люминесцентным центрам ИАГ:Се, возможный благодаря наличию у церия двух широких полос поглощения [13, 14]. Очевидно, что на эффективность обоих процессов существенно влияет концентрация дефектов замещения и ионов активатора. Увеличение содержания церия приводит к повышению световыхода, однако при слишком больших концентрациях начинается концентрационное тушение, обусловленное реабсорбцией излучения Ce3+ [15].
ЗАКЛЮЧЕНИЕ
Из расплава методом Багдасарова (ГНК) выращены монокристаллы иттрий-алюминиевого граната, легированные церием, а также получена концентрационная серия кристаллов путем спонтанной кристаллизации в молибденовых ячейках расплавов ИАГ с высоким (до 3 ат. %) содержанием Се3+ в условиях интенсивного охлаждения и высоких градиентов температуры. Вторая методика позволила получить монокристаллические образцы с концентрацией ионов Се3+ до 1.2 ат. % замещения Y в структуре граната. Проведено сравнительное исследование спектрально-люминесцентных и сцинтилляционных характеристик концентрационных серий образцов монокристаллов граната.
Установлено “тушение” РЛ дефектов кристалла-основы с максимумом в области 300 нм при увеличении содержания ионов Се3+, особенно эффективное при концентрации более 0.26 ат. %. Получены зависимости относительного интегрального вклада различных компонент кинетик спада РЛ и световыхода сцинтилляций от концентрации ионов церия. Установлено, что при концентрации Се3+ более 0.4 ат. % в кинетике основной является компонента с τ1 = 68 нс, соответствующая собственной люминесценции ионов Се3+ в области 480–650 нм. При этом в образцах кристаллов ИАГ:Се с концентрацией Се более 0.45 ат. % почти полностью отсутствует медленная компонента (τ3 = 1090 нс) и существенно ослаблен вклад промежуточной компоненты с τ2 = 190 нс. Зависимость световыхода сцинтилляций коррелирует с результатами для кинетик спада РЛ. Вклад излучения церия растет с увеличением концентрации, достигая максимума после 0.3 ат. %. Интенсивность РЛ ведет себя несколько иначе. После 0.8 ат. % церия она уменьшается, что может свидетельствовать о наличии концентрационного тушения. Концентрация Се3+ в диапазоне 0.4–0.6 ат. % является оптимальной для монокристаллов ИАГ:Се с точки зрения быстродействия и сцинтилляционной эффективности. Полученные данные имеют важное значение в контексте совершенствования процесса выращивания методом ГНК кристаллов иттрий-алюминиевых гранатов, активированных ионами церия в условиях вакуума. Результаты работы расширяют понимание процессов передачи энергии от дефектов кристалла-основы ионам Ce3+ и содержат информацию, необходимую для оптимизации технологических аспектов данного метода.
Работа проведена в рамках выполнения государственного задания НИЦ “Курчатовский институт” в части получения и обработки кристаллических образцов, анализа их фазового состава и проведения рентгено-флуоресцентных измерений концентрации активатора, а также частично при финансовой поддержке Министерства науки и высшего образования РФ в рамках Соглашения № 075-15-2021-1362 от 12.10.2021 г. в части выращивания монокристаллов, исследования спектрально-люминесцентных и сцинтилляционных характеристик.
About the authors
V. A. Fedorov
Shubnikov Institute of Crystallography of Kurchatov Complex of Crystallography and Photonics of NRC “Kurchatov Institute”
Author for correspondence.
Email: fedorov-metrology@yandex.ru
Russian Federation, Moscow
E. V. Antonov
Shubnikov Institute of Crystallography of Kurchatov Complex of Crystallography and Photonics of NRC “Kurchatov Institute”
Email: fedorov-metrology@yandex.ru
Russian Federation, Moscow
I. D. Venevtsev
Peter the Great St. Petersburg Polytechnic University
Email: fedorov-metrology@yandex.ru
Russian Federation, St. Petersburg
V. M. Kanevsky
Shubnikov Institute of Crystallography of Kurchatov Complex of Crystallography and Photonics of NRC “Kurchatov Institute”
Email: fedorov-metrology@yandex.ru
Russian Federation, Moscow
B. V. Nabatov
Shubnikov Institute of Crystallography of Kurchatov Complex of Crystallography and Photonics of NRC “Kurchatov Institute”
Email: fedorov-metrology@yandex.ru
Russian Federation, Moscow
E. S. Saltanova
Shubnikov Institute of Crystallography of Kurchatov Complex of Crystallography and Photonics of NRC “Kurchatov Institute”; Moscow Institute of Physics and Technology (National Research University)
Email: fedorov-metrology@yandex.ru
Russian Federation, Москва; Dolgoprudny
References
- Kaminskii A.A. Laser Crystals. Springer-Verlag, 1990. 456 p. https://doi.org/10.1007/978-3-540-70749-3_6
- Lecoq P., Gektin A., Korzhik M. Inorganic scintillators for detector systems. Switzerland: Springer, 2017. 408 p. https://doi.org/10.1007/978-3-319-45522-8_1
- Петросян А.Г. Физика и спектроскопия лазерных кристаллов / Под ред. Каминского А.А. М.: Наука, 1986. 235 с.
- Багдасаров Х.С. Высокотемпературная кристаллизация из расплава. М.: Физматлит, 2004. 160 с.
- Zhaoa G., Zenga X., Xua J. et al. // J. Cryst. Growth. 2003. V. 253. P. 290. https://doi.org/10.1016/S0022-0248(03)01017-0
- Зоренко Ю.В., Савчин В.П., Горбенко В.И. и др. // ФТТ. 2011. Т. 53. Вып. 8. С. 1542.
- Нижанковский С.В., Данько А.Я., Зеленская О.В. и др. // Письма в ЖТФ. 2009. Т. 35. Вып. 20. С. 77.
- Ashurov M.Kh., Voronko Yu.K., Osiko V.V., Sobol A.A. // Phys. Status Solidi. A. 1977. V. 42. P. 101.
- Zorenko Y., Zorenko T., Gorbenko V.V. et al. // Opt. Mater. 2012. V. 34. № 8. P. 1314. https://doi.org/10.1016/j.optmat.2012.02.007
- Zorenko Y. // Phys. Status Solidi. C. 2005. V. 2. № 1. P. 375. https://doi.org/10.1002/pssc.200460275
- Shiran N., Gektin A., Gridin S. et al. // IEEE Trans. Nucl. Sci. 2018. V. 65. № 3. P. 871. https://doi.org/10.1109/TNS.2018.2797545
- Khanin V.M., Vrubel I.I., Polozkov R.G. et al. // J. Phys. Chem. C. 2019. V. 123. № 37. P. 22725. https://doi.org/10.1021/acs.jpcc.9b05169
- Zorenko Yu., Zych E., Voloshinovskii A. // Opt. Mater. 2009. V. 31. P. 1845. https://doi.org/10.1016/j.optmat.2008.11.026
- Pankratov V., Grigorjeva L., Millers D., Chudoba T. // Radiat. Meas. 2007. V. 42. № 4–5. P. 679. https://doi.org/10.1016/j.radmeas.2007.02.046
- Waetzig K., Kunzer M., Kinski I. // J. Mater. Res. 2014. V. 29. № 19. P. 2318. https://doi.org/10.1557/jmr.2014.229
- Кварталов В.Б., Федоров В.А., Буташин А.В., Каневский В.М. // Успехи в химии и химической технологии. 2022. Т. 36. № 7. С. 70.
- Rodnyi P.A., Mikhrin S.B., Mishin A.N., Sidorenko A.V. // IEEE Trans. Nucl. Sci. 2001. V. 48. № 6. P. 2340. https://doi.org/10.1109/23.983264
- Zorenko Y., Zorenko T., Gorbenko V.V. et al. // Opt. Mater. 2012. V. 34. № 8. P. 1314. https://doi.org/10.1016/j.optmat.2012.02.007
- Zorenko Yu., Voloshinovskii A., Savchyn V. et al. // Phys. Status Solidi. B. 2007. V. 244. P. 2180. https://doi.org/10.1002/pssb.200642431
- Bachmann V., Ronda C., Meijerink A. // Chem. Mater. 2009. V. 21. P. 2077. https://doi.org/10.1021/cm8030768
- Zorenko Y., Gorbenko V., Mihokova E. et al. // Radiat. Meas. 2007. V. 42. P. 521. https://doi.org/10.1016/j.radmeas.2007.01.045
- Khanin V., Venevtsev I., Spoor S. et al. // Opt. Mater. 2017. V. 72. P. 161. https://doi.org/10.1016/j.optmat.2017.05.040
- Zorenko Y., Voloshinovskii A., Savchyn V. et al. // Phys. Status Solidi. B. 2007. V. 244. № 6. P. 2180. https://doi.org/10.1002/pssb.200642431
- Буташин А.В., Веневцев И.Д., Федоров В.А. и др. // Кристаллография. 2023. T. 68. № 4. С. 594. https://doi.org/10.31857/S0023476123600234
Supplementary files








