COMPLEX OF LABORATORY GROWTH FACILITIES FOR SOLUTION–MELT SYNTHESIS CRYSTALS OF IRON BORATE FeBO3 AND CRYSTALS OF SOLID SOLUTIONS ON ITS BASIS
- Authors: Yagupov S.V.1, Mogilenec Y.A.1, Seleznev K.A.1, Strugatsky M.B.1, Selezneva K.A.1, Nauhatsky I.A.1, Snegirev N.I.2, Lyubutina M.V.3, Lyubutin I.S.3
-
Affiliations:
- Institute of Physics and Technology, V.I. Vernadsky Crimean Federal University, Simferopol, 295007 Russia
- Shubnikov Institute of Crystallography, Federal Scientific Research Center Crystallography and Photonics, Russian Academy of Sciences
- Shubnikov Institute of Crystallography, Federal Scientific Research Centre “Crystallography and Photonics,” Russian Academy of Sciences, Moscow, 119333 Russia
- Issue: Vol 68, No 4 (2023)
- Pages: 644-650
- Section: ПРИБОРЫ, АППАРАТУРА
- URL: https://bakhtiniada.ru/0023-4761/article/view/137449
- DOI: https://doi.org/10.31857/S0023476122600203
- EDN: https://elibrary.ru/JNCVDT
- ID: 137449
Cite item
Full Text
Abstract
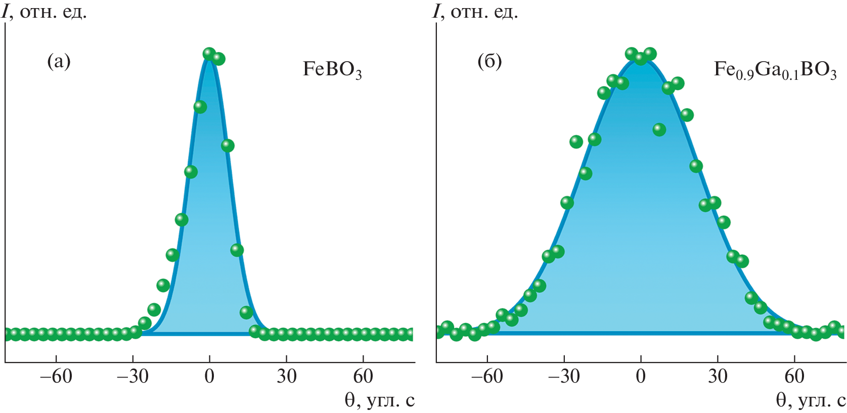
A complex of laboratory growth facilities, designed for solution–melt synthesis of highly perfect single crystals of iron borate, as well as crystals based on this compound, has been developed and constructed. Equipping growth plants with program-controlled functional units makes it possible to fully automate the technological process. As a result of test experiments single crystals of iron borate FeBO3 and single crystals doped with diamagnetic gallium atoms, Fe1-xGaxBO3, were obtained. The high structural perfection of the synthesized samples was confirmed by X-ray diffraction analysis and high-resolution electron microscopy.
About the authors
S. V. Yagupov
Institute of Physics and Technology, V.I. Vernadsky Crimean Federal University, Simferopol, 295007 Russia
Email: niksnegir@yandex.ru
Simferopol, 295007 Russia
Yu. A. Mogilenec
Institute of Physics and Technology, V.I. Vernadsky Crimean Federal University, Simferopol, 295007 Russia
Email: niksnegir@yandex.ru
Simferopol, 295007 Russia
K. A. Seleznev
Institute of Physics and Technology, V.I. Vernadsky Crimean Federal University, Simferopol, 295007 Russia
Email: niksnegir@yandex.ru
Simferopol, 295007 Russia
M. B. Strugatsky
Institute of Physics and Technology, V.I. Vernadsky Crimean Federal University, Simferopol, 295007 Russia
Email: niksnegir@yandex.ru
Simferopol, 295007 Russia
K. A. Selezneva
Institute of Physics and Technology, V.I. Vernadsky Crimean Federal University, Simferopol, 295007 Russia
Email: niksnegir@yandex.ru
Simferopol, 295007 Russia
I. A. Nauhatsky
Institute of Physics and Technology, V.I. Vernadsky Crimean Federal University, Simferopol, 295007 Russia
Email: niksnegir@yandex.ru
Россия, Симферополь
N. I. Snegirev
Shubnikov Institute of Crystallography, Federal Scientific Research Center Crystallography and Photonics, Russian Academy of Sciences
Email: niksnegir@yandex.ru
Moscow, 119333 Russia
M. V. Lyubutina
Shubnikov Institute of Crystallography, Federal Scientific Research Centre “Crystallography and Photonics,” Russian Academy of Sciences, Moscow, 119333 Russia
Email: niksnegir@yandex.ru
Россия, Москва
I. S. Lyubutin
Shubnikov Institute of Crystallography, Federal Scientific Research Centre “Crystallography and Photonics,” Russian Academy of Sciences, Moscow, 119333 Russia
Author for correspondence.
Email: niksnegir@yandex.ru
Moscow, 119333 Russia
References
- Тимофеева В.А. Рост кристаллов из растворов-расплавов. М.: Наука, 1978. 268 с.
- Вайнштейн Б.К. Современная кристаллография. Т. 3. М.: Наука, 1979. 408 с.
- Тимофеева В.А., Квапил И. // Кристаллография. 1966. Т. 11. С. 289.
- Рябцев Н.Г. Материалы квантовой электроники. М.: Сов. радио, 1972. 384 с.
- Куприянов М.Ф., Кабиров Ю.В., Рудская А.Г. и др. Физико-химические основы создания активных материалов. Ростов-на-Дону: ЮФУ, 2011. 278 с.
- Летюк Л.М., Журавлев Г.И. Химия и технология ферритов. Л.: Химия, 1983. 256 с.
- Elwell D. Man-made gemstones. New York: E. Horwood, 1979. 191 p.
- Bezmaternykh L.N., Kharlamova S.A., Temerov V.L. // Crystallography Reports. 2004. V. 49. P. 855. https://doi.org/10.1134/1.1803319
- Bezmaternykh L.N., Temerov V.L., Gudim I.A. et al. // Crystallography Reports. 2005. V. 50. P. 97. https://doi.org/10.1134/1.2133981
- Diehl R., Jantz W., Nolang B.I. et al. // Current Topics in Materials Science. New-York: Elsevier, 1984. P. 87.
- Леонюк Н.И. // Кристаллография. 2008. Т. 53. С. 546.
- Маслов В., Воронов В., Исхакова Л. и др. // Неорган. материалы. 2019. Т. 15. С. 1219.
- Кузьмин Н., Мальцев В., Волкова Е. и др. // Неорган. материалы. 2020. Т. 56. С. 873.
- Коржнева К., Исаенко Л., Елисеев А. и др. // Фундаментальные проблемы современного материаловедения. 2018. Т. 15. С. 11.
- Мурашкевич А.Н., Жарский И.М. Теория и методы выращивания монокристаллов. Минск: БГТУ, 2010. 213 с.
- Smirnova E.S., Snegirev N.I., Lyubutin I.S. et al. // Acta Cryst. B. 2020. V. 76. P. 1100. https://doi.org/10.1107/S2052520620014171
- Snegirev N., Lyubutin I., Kulikov A. et al. // J. Alloys Compd. 2021. V. 889. P. 161702. https://doi.org/10.1016/j.jallcom.2021.161702
- Kotrbova M., Kadečková S., Novak J. et al. // J. Cryst. Growth. 1985. V. 71. P. 607.
- Овчинников C.Г., Руденко В.В., Казак Н.В. и др. // ЖЭТФ. 2020. Т. 158. С. 184.
- Potapkin V., Chumakov A.I., Smirnov G.V. et al. // J. Synchrotron Radiat. 2012. V. 19. P. 559. https://doi.org/10.1107/S0909049512015579
- Ягупов С.В., Могиленец Ю.А., Снегирёв Н.И. и др. Способ выращивания монокристаллов 57FeBO3 высокого структурного совершенства. Патент РФ № 2740126.
- Ягупов С.В., Могиленец Ю.А., Снегирёв Н.И. и др. Способ многократного использования раствора-расплава при синтезе 57FeBO3. Патент РФ № 2769681.
- Снегирёв Н.И., Богач А.В., Любутин И.С. и др. // Физика металлов и металловедение. 2023. Т. 124. С. 141. , EDN: KVXUCBhttps://doi.org/10.31857/S0015323022601325
Supplementary files









