Диэлектрическая релаксация в наносегнетоэлектрике с несоразмерной фазой Rb2ZnCl4
- Авторы: Коротков Л.Н.1, Стекленева Л.С.2, Панкова М.А.3, Бочаров А.И.1, Рысиакевич-Пасек Е.4
-
Учреждения:
- Воронежский государственный технический университет
- ВУНЦ ВВС “Военно-воздушная академия им. профессора Н.Е. Жуковского и Ю.А. Гагарина”
- Воронежский институт Министерства внутренних дел Российской Федерации
- Вроцлавский университет науки и техники
- Выпуск: Том 68, № 5 (2023)
- Страницы: 826-831
- Раздел: НАНОМАТЕРИАЛЫ, КЕРАМИКА
- URL: https://bakhtiniada.ru/0023-4761/article/view/137441
- DOI: https://doi.org/10.31857/S0023476123600593
- EDN: https://elibrary.ru/EKDRQQ
- ID: 137441
Цитировать
Полный текст
Аннотация
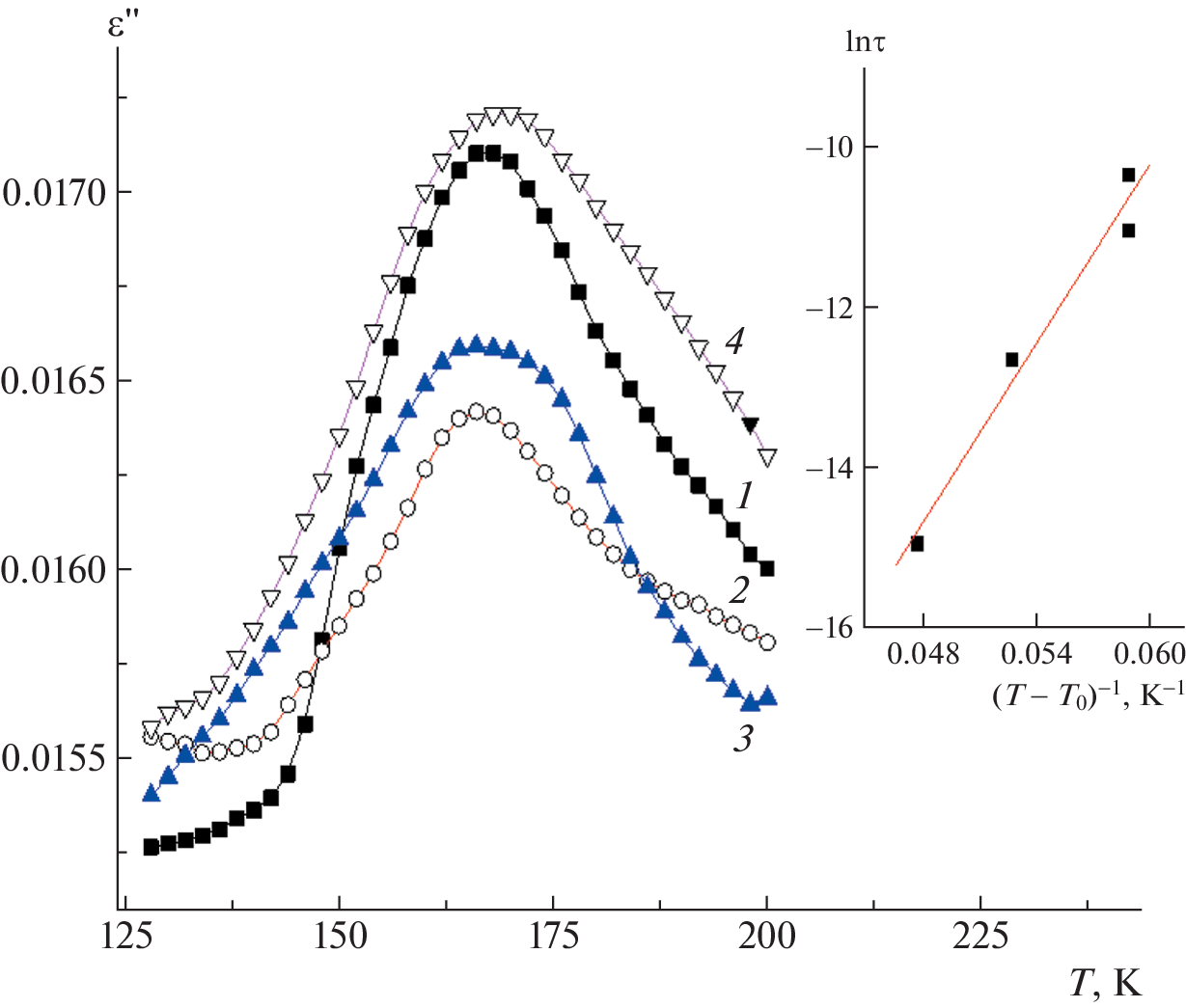
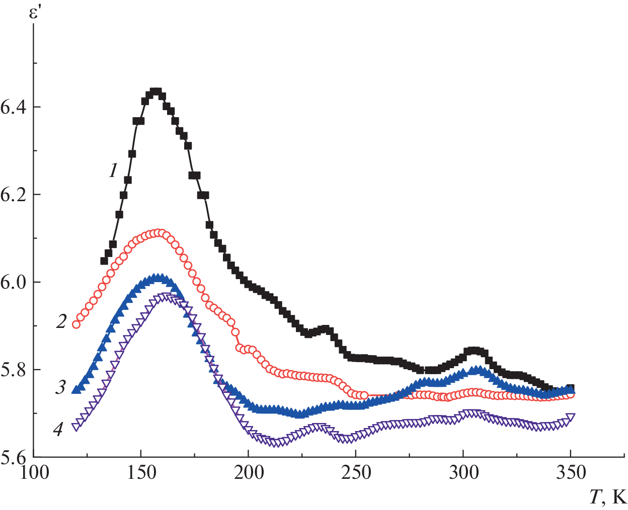
В интервале температур 100–350 К на частотах 5–500 кГц изучены диэлектрические свойства композиционного материала, полученного внедрением соли сегнетоэлектрика Rb2ZnCl4 в пористую стеклянную матрицу со средним размером сквозных пор ~46 нм. Обнаружено увеличение глубины дисперсии диэлектрической проницаемости Δε при охлаждении образца, обусловленное повышением концентрации релаксаторов и ростом значения их дипольного момента. Анализ особенностей диэлектрического отклика показал, что в сегнетоэлектрической фазе частиц Rb2ZnCl4 формируется доменная структура, подвижность которой вблизи температуры замораживания Tf подчиняется эмпирическому соотношению Фогеля–Фулчера.
Об авторах
Л. Н. Коротков
Воронежский государственный технический университет
Email: l_korotkov@mail.ru
Россия, Воронеж
Л. С. Стекленева
ВУНЦ ВВС “Военно-воздушная академия им. профессора Н.Е. Жуковского и Ю.А. Гагарина”
Email: l_korotkov@mail.ru
Россия, Воронеж
М. А. Панкова
Воронежский институт Министерства внутренних дел Российской Федерации
Email: l_korotkov@mail.ru
Россия, Воронеж
А. И. Бочаров
Воронежский государственный технический университет
Email: l_korotkov@mail.ru
Россия, Воронеж
Е. Рысиакевич-Пасек
Вроцлавский университет науки и техники
Автор, ответственный за переписку.
Email: l_korotkov@mail.ru
Польша, Вроцлав
Список литературы
- Шувалов Л.А., Гриднев С.А., Прасолов Б.Н., Санников В.Г. // ФТТ. 1984. Т. 26. Вып. 1. С. 272.
- Шувалов Л.А., Гриднев С.А., Прасолов Б.Н., Горбатенко В.В. // Изв. АН СССР. Сер. физ. 1990. Т. 54. № 4. С. 726.
- Шувалов Л.А., Гриднев С.А., Прасолов Б.Н., Санников В.Г. // Изв. АН СССР. Сер. физ. 1987. Т. 15. № 12. С. 2229.
- Шувалов Л.А., Гриднев С.А., Прасолов Б.Н., Санников В.Г. // ФТТ. 1988. Т. 30. Вып. 2. С. 620.
- Gridnev S.A., Shuvalov L.A., Gorbatenko V.V., Prasolov B.N. // Ferroelectrics. 1993. V. 140. P. 145. https://doi.org/10.1080/00150199308008277
- Cummins H.Z. // Phys. Rep. (Rev. Phys. Lett.). 1990. 185. № 5–6. P. 211. https://doi.org/10.1016/0370-1573(90)90058-a
- Janovec V., Godfroy G., Godfroy L.R. // Ferroelectrics. 1984. V. 53. P. 333. https://doi.org/10.1080/00150198408245081
- Hirotsu S.H., Toyta K., Hamano K. // J. Phys. Soc. Jpn. 1979. V. 46. P. 1389. https://doi.org/10.1143/JPSJ.46.1389
- Струков Б.А., Белов А.А., Горшков С.Н., Кожевников М.Ю. // Изв. АН СССР. Сер. физ. 1991. Т. 55. № 3. С. 470.
- Гриднев С.А., Горбатенко В.В., Прасолов Б.Н. // Кристаллография. 1997. Т. 42. № 4. С. 730.
- Коротков Л.Н., Стекленева Л.С., Флеров И.Н. и др. // Изв. РАН. Сер. физ. 2019. Т. 83. № 9. С. 1182. https://doi.org/10.1134/s0367676519090138
- Стекленева Л.С., Брянская А.А., Панкова М.А. и др. // Конденсированные среды и межфазные границы. 2022. Т. 24. № 3. С. 362. https://doi.org/10.17308/kcmf.2022.24/9859
- Поплавко Ю.М. Физика диэлектриков: учеб. пособие для вузов. Киев: Вища школа. Головное изд-во, 1980. 400 с.
- Сидоркин А.С. Доменная структура в сегнетоэлектриках и родственных материалах. М.: ФИЗМАТЛИТ, 2000. 239 с.
- Schmidt V.H., Bohannan G., Arbogast D., Tuthill G. // J. Phys. Chem. Solids. 2000. № 61. P. 283. https://doi.org/10.1016/S0022-3697(99)00294-2
- Фельц А. Аморфные и стеклообразные неорганические твердые тела. М.: Мир, 1986. 556 с.
- Горбатенко В.В. “Динамика доменных границ и солитонов в сегнегоэлектрическом кристалле Rb2ZnCl4” Дисс. … канд. физ.-мат. наук. Воронеж: ВГТУ, 1994.
Дополнительные файлы








