Выбор стартовых значений параметров распределения частиц по размерам для их расчета по данным малоуглового рентгеновского рассеяния
- Авторы: Амарантов С.В.1, Петерс Г.С.2
-
Учреждения:
- Институт кристаллографии им. А.В. Шубникова ФНИЦ “Кристаллография и фотоника” РАН
- Национальный исследовательский центр “Курчатовский институт”
- Выпуск: Том 68, № 4 (2023)
- Страницы: 514-530
- Раздел: ДИФРАКЦИЯ И РАССЕЯНИЕ ИОНИЗИРУЮЩИХ ИЗЛУЧЕНИЙ
- URL: https://bakhtiniada.ru/0023-4761/article/view/137422
- DOI: https://doi.org/10.31857/S0023476122600549
- EDN: https://elibrary.ru/JOJQKJ
- ID: 137422
Цитировать
Полный текст
Аннотация
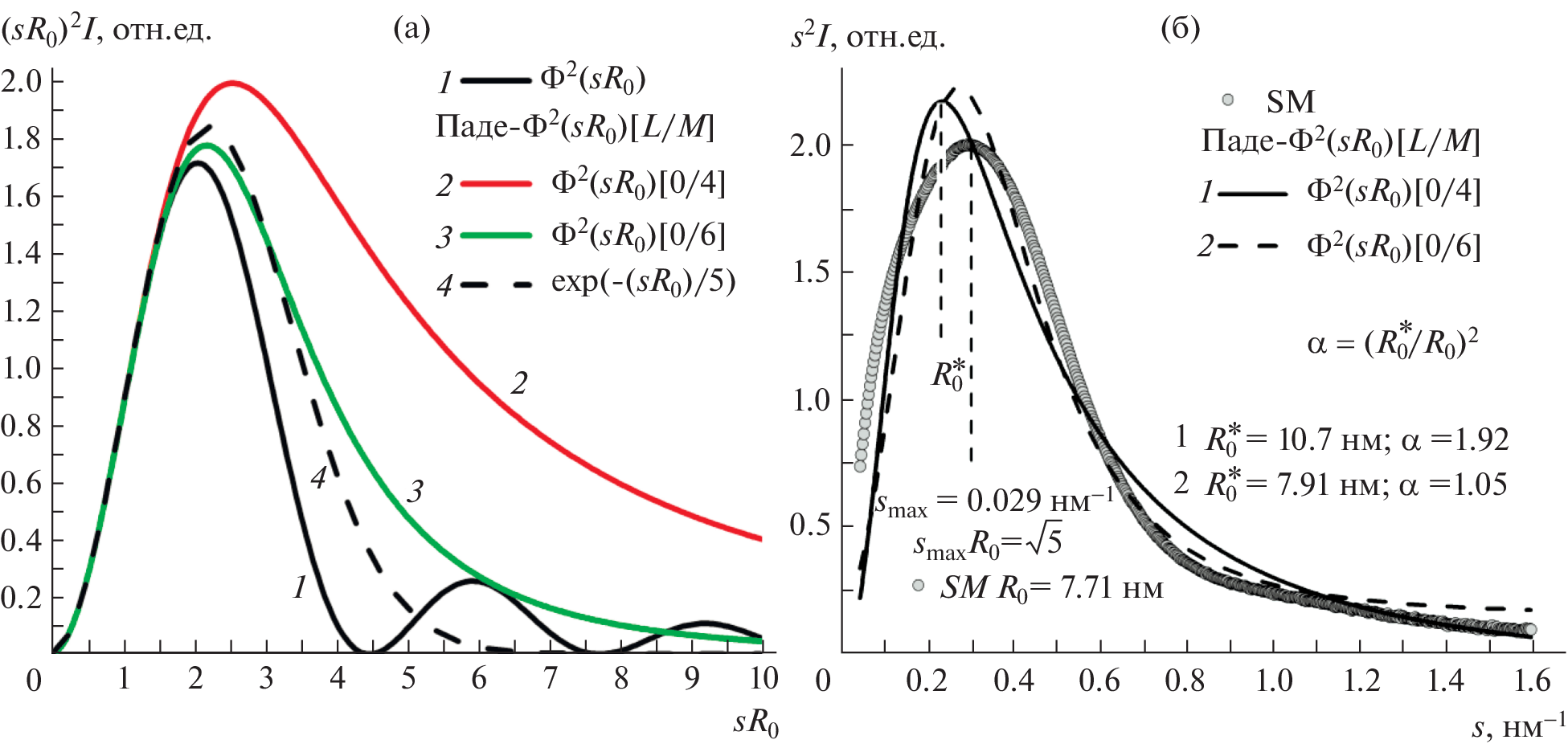
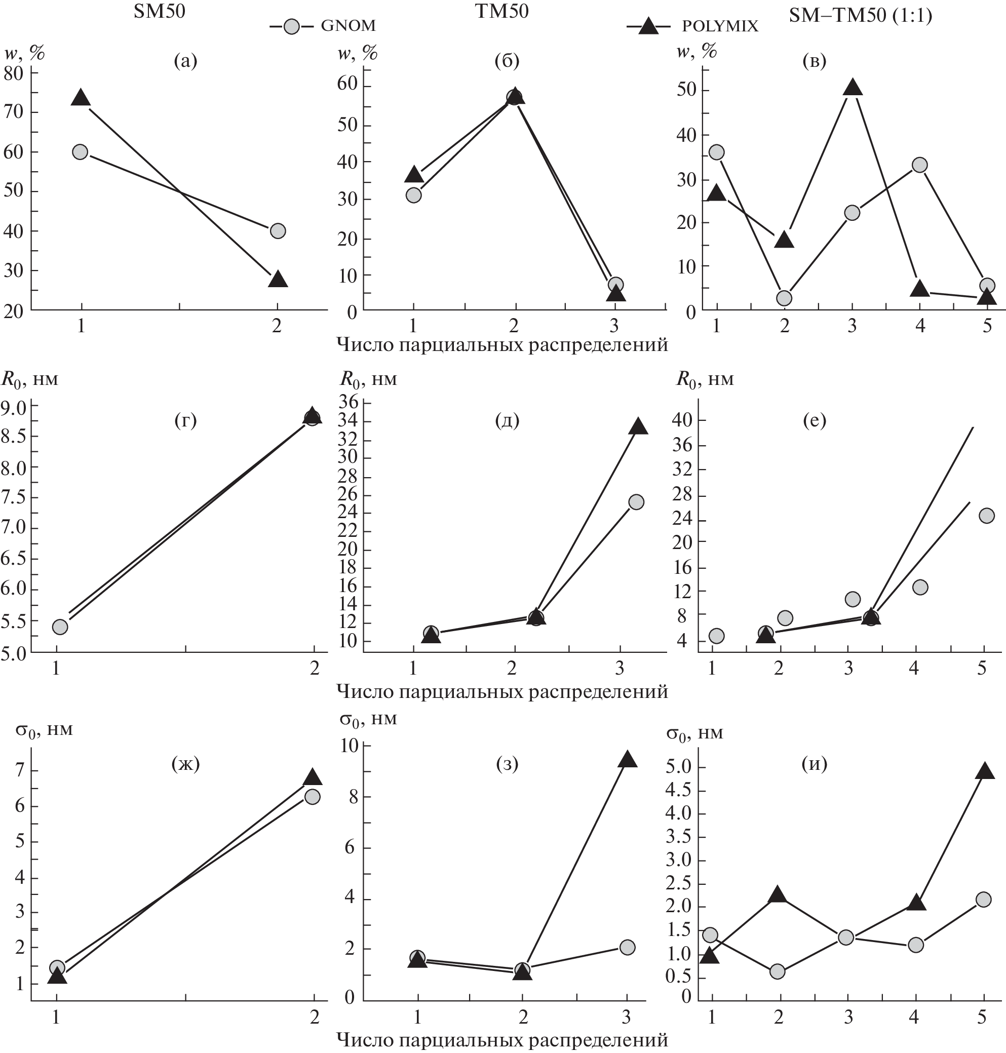
Предложены простые методы определения стартовых значений параметров моделей (среднего радиуса и его стандартного отклонения) распределения частиц по размерам, рассчитываемым по кривым малоуглового рентгеновского рассеяния. Для систем с узкими распределениями для этих параметров предложены оценки сверху на основе полученного аналитического выражения для области Гинье кривой рассеяния от полидисперсной системы с распределением Шульца. Нижние оценки для параметров, как и диапазон размеров, предложено проводить на основе полученного выражения для асимптотики “Порода для полидисперсной системы”. Предложен метод расчета обобщенного приближения Гинье–Порода в координатах Кратки, из которого также могут быть получены независимые оценки среднего размера и дисперсии. Эффективность разработанного подхода продемонстрирована на примере анализа интенсивности рассеяния от водных растворов наночастиц кремнезолей.
Ключевые слова
Об авторах
С. В. Амарантов
Институт кристаллографии им. А.В. Шубникова ФНИЦ “Кристаллография и фотоника” РАН
Email: amarantov_s@mail.ru
Россия, Москва
Г. С. Петерс
Национальный исследовательский центр “Курчатовский институт”
Автор, ответственный за переписку.
Email: amarantov_s@mail.ru
Россия, Москва
Список литературы
- Svergun D.I., Konarev P.V., Volkov V.V. et al. // J. Chem. Phys. 2000. V. 113. P. 1651. https://doi.org/10.1063/1.481954
- Peters G.S., Zakharchenko O.A., Konarev P.V. et al. // Nucl. Instrum. Methods Phys. Res. A. 2019. V. 945. P. 162616. https://doi.org/10.1016/j.nima.2019.162616
- Peters G.S., Gaponov Yu.A., Konarev P.V. et al. // Nucl. Instrum. Methods Phys. Res. A. 2022. V. 1025. P. 166170. https://doi.org/10.1016/j.nima.2021.166170
- Hammertsley A.P. // J. Appl. Cryst. 2016. V. 49. P. 646. https://doi.org/10.1107/S1600576716000455
- Schulz G.V. // J. Phys. Chem. B. 1935. V. 30. P. 379.
- Svergun D.I. // J. Appl. Cryst. 1992. V. 25. P. 495.
- Васильева А.Б., Тихонов Н.А. Интегральные уравнения. Изд. 2-е. М.: ФИЗМАТЛИТ, 2004. 160.
- Тихонов А.Н., Арсенин В.Я. Методы решения некорректных задач. Учебное пособие для вузов. Изд. 3-е, исправленное. М.: Гл. ред. физ.-мат. лит., 1986. 288 с.
- Верлань А.Ф., Сизиков В.С. Методы решения интегральных уравнений с программами для ЭВМ. Киев: Наук. думка, 1978. 292 с.
- Тихонов А.Н., Гончарский А.В., Степанов В.В., Ягола А.Г. Численные методы решения некорректных задач. М.: Наука. Гл. ред. физ.-мат. лит., 1990. 232 с.
- Гилл Ф., Мюррей У., Райт М. Практическая оптимизация. М.: Мир, 1985. 509 с.
- Dennis J.E., Gay D.M., Welsch R.E. // ACM Trans. Math. Softw. 1981. V. 7. № 3. P. 369.
- Porod G. // Kolloid-Zeitschrift. 1952. V. 125. P. 108.
- Jerri Abdul J. // A Tutorial Review. Proc. IEEE. 1977. V. 65. P. 1565. /https://doi.org/10.1109/proc.1977.10771
- Шеннон К.Э. Работы по теории информации и кибернетике. Сб. статей. М.: Изд-во. иностр. лит. 1963. 807 с.
- http://www.OriginLab.com
- Svergun D.I., Koch M.H.J., Timmins P.A., May R.P. // Small Angle X-Ray and Neutron Scattering from Solution of Biological Macromolecules. Oxford University Press, 2013.
- Guinier A., Fournet G. // Small-Angle Scattering of X-Rays. John Wiley & Sons, Inc., 1955.
- Свергун Д.И., Фейгин Л.А. Рентгеновское и нейтронное малоугловое рассеяние. М.: Наука. Гл. ред. физ.-мат. лит., 1986. 280 с.
- Бейкер Дж. мл., Грейвс-Моррис П. Аппроксимация Паде. Пер. с анг. М.: Мир, 1986. 502 с.
Дополнительные файлы











