SIGN-REVERSING MAGNETOCALORIC EFFECT IN R2Fe10Al7 (R = Dy AND Ho) COMPOUNDS
- Авторлар: Pankratov N.Y.1, Tereshina I.S.2, Karpenkov A.Y.3, Nikitin S.A.1
-
Мекемелер:
- Lomonosov Moscow State University, Faculty of Physics
- Lomonosov Moscow State University
- Tver State University, Tver, 170100 Russia
- Шығарылым: Том 68, № 3 (2023)
- Беттер: 443-447
- Бөлім: ДИНАМИКА РЕШЕТКИ И ФАЗОВЫЕ ПЕРЕХОДЫ
- URL: https://bakhtiniada.ru/0023-4761/article/view/137417
- DOI: https://doi.org/10.31857/S0023476123700157
- EDN: https://elibrary.ru/XCJGCO
- ID: 137417
Дәйексөз келтіру
Толық мәтін
Аннотация
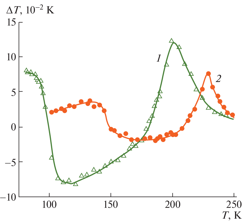
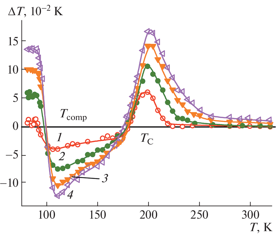
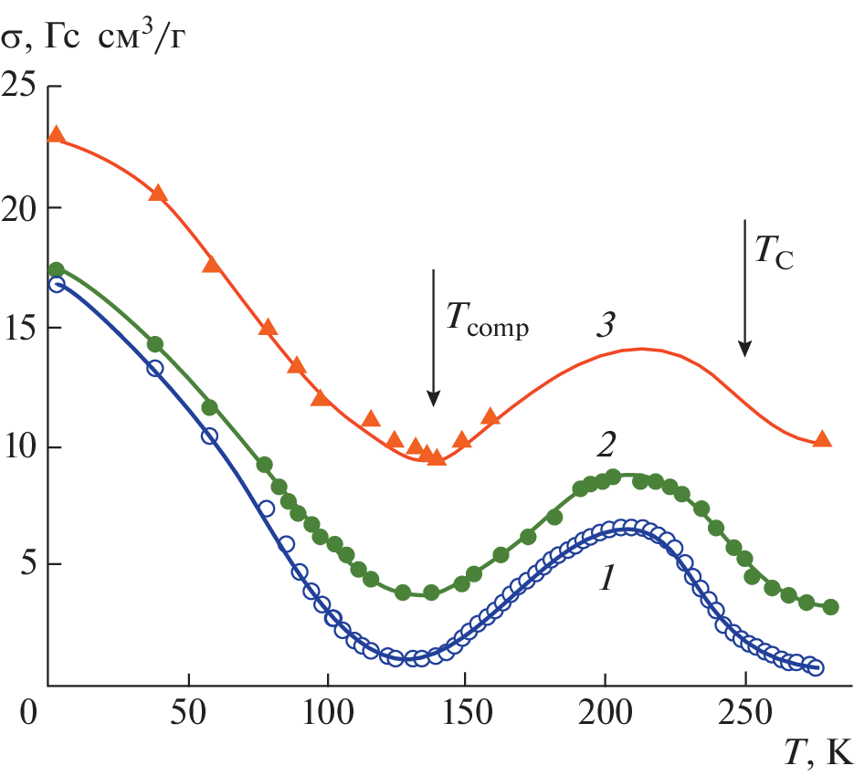
The magnetic properties of rare-earth ferrimagnetic compounds Dy2Fe10Al7 and Ho2Fe10Al7 with a Th2Zn17 crystal structure have been studied. The temperature dependences of the magnetization and magnetocaloric effect have been examined in the temperature range of 4.2‒300 K in magnetic fields of up to 70 and 18 kOe, respectively. The temperatures of magnetic compensation of the magnetization of the rareearth and iron sublattices have been determined. The magnetocaloric effect has been determined by the direct method. It has been found that the sign of the effect changes near the magnetic compensation point. This phenomenon has an application potential.
Негізгі сөздер
Авторлар туралы
N. Pankratov
Lomonosov Moscow State University, Faculty of Physics
Email: pankratov@phys.msu.ru
Russia, 119991, Moscow
I. Tereshina
Lomonosov Moscow State University
Email: tereshina@physics.msu.ru
Russia, 119991, Moscow
A. Karpenkov
Tver State University, Tver, 170100 Russia
Email: pankratov@phys.msu.ru
Россия, Тверь
S. Nikitin
Lomonosov Moscow State University, Faculty of Physics
Хат алмасуға жауапты Автор.
Email: pankratov@phys.msu.ru
Russia, 119991, Moscow
Әдебиет тізімі
- Андреев А.В., Дерягин А.В., Задворкин С.М. и др. // Физика магнитных материалов / Ред. Мишин Д.Д. Калинин: Калининский гос. ун-т, 1985. С. 1.
- Fujii H., Sun H. // Handbook of Magnetic Materials / Ed. Buschow K.H.J. Elsevier, 1995. V. 9. Ch. 3. P. 303.
- Buschow K.H.J. // Rep. Prog. Phys. 1977. V. 40. P. 1179.
- Givord D., Lemaire R. // IEEE Trans. Mag. 1974. V. 10. P. 109.
- Tereshina I.S., Pankratov N.Y., Karpenkov A.Y. et al. // J. Appl. Phys. 2021. V. 130. P. 220902.
- He Y., Li C., Chen X. et al. // Chin. J. Mater. Res. 2022. V. 36. P. 321.
- Веселова С.В., Терёшина И.С., Вербецкий В.Н. и др. // Письма в ЖТФ. 2021. Т. 47. С. 6.
- Veselova S.V., Tereshina I.S., Verbetsky V.N. et al. // J. Magn. Magn. Mater. 2020. V. 502. P. 166549.
- Tereshina I.S., Veselova S.V., Verbetsky V.N. et al. // J. Alloys Compd. 2022. V. 897. P. 163228.
- Iwasieczko W., Pankratov N.Y., Tereshina E.A. et al. // J. Alloys Compd. 2014. V. 587. P. 739.
- Nikitin S.A., Pankratov N.Y., Smarzhevskaya A.I. et al. // J. Appl. Phys. 2015. V. 117. P. 193908.
- Zvonov A.I., Pankratov N.Y., Karpenkov D.Y. et al. // Solid State Phenomena. 2015. V. 233. P. 196.
- Itoh K., Ohkubo N., Kanematsu K., Kobayashi K.-I. // J. Alloys Compd. 1993. V. 193. P. 239.
- Nikitin S.A., Pankratov N.Y., Smarzhevskaya A.I. et al. // J. Alloys Compd. 2021. V. 854. P. 156214.
- Sabdenov C.K., Davydova M.D., Zvezdin K.A. et al. // J. Alloys Compd. 2017. V. 708. P. 1161.
- Sabdenov C.K., Davydova M.D., Zvezdin K.A. et al. // Low Temp. Phys. 2017. V. 43. P. 551.
- Ma S., Zhong Z., Wang D. et al. // Eur. Phys. J. B. 2013. V. 86. P. 133.
- Панкратов Н.Ю., Каминская Т.П., Терешина И.С. и др. // ФТТ. 2020. Т. 62. С. 719.
- Tereshina I.S., Nikitin S.A., Stepien-Damm J. et al. // J. Magn. Magn. Mater. 2003. V. 258–259. P. 427.
- Tereshina I., Nikitin S., Suski W. et al. // J. Alloys Compd. 2005. V. 404. P. 172.
- Андреенко А.С., Белов К.П., Никитин С.А., Тишин А.М. // Успехи физ. наук. 1989. Т. 158. С. 553.
- Pecharsky V.K., Gschneidner K.A., Jr. // J. Appl. Phys. 1999. V. 86. P. 565.
- Coey J.M.D. Magnetism and Magnetic Materials. Cambridge: Cambridge University Press, 2010.
- Tishin A.M., Spichcin Y.I. The Magnetocaloric Effect and its Applications, Bristol and Philadelphia: Institute of Physics Publishing, 2003.
- Kitanovski A., Tušek J., Tomc U. et al. Magnetocaloric Energy Conversion. From Theory to Applications Cham: Green Energy and Technology (GREEN) 2015. 456 p.
- Koshkid'ko Y., Pandey S., Quetz A. et al. // J. Alloys Compd. 2017. V. 695. P. 3348.
Қосымша файлдар








