Перестройка структуры релаксора PbMg1/3Nb2/3O3 в процессе электрического переключения
- Авторы: Вахрушев С.Б.1, Бронвальд Ю.А.1, Удовенко С.А.2, Королева Е.Ю.1, Молоков А.Ю.1
-
Учреждения:
- Физико-технический институт им. А.Ф. Иоффе РАН
- Санкт-Петербургский политехнический университет Петра Великого
- Выпуск: Том 68, № 5 (2023)
- Страницы: 754-760
- Раздел: ФИЗИЧЕСКИЕ СВОЙСТВА КРИСТАЛЛОВ
- URL: https://bakhtiniada.ru/0023-4761/article/view/137416
- DOI: https://doi.org/10.31857/S0023476123600568
- EDN: https://elibrary.ru/DOYPLN
- ID: 137416
Цитировать
Полный текст
Аннотация
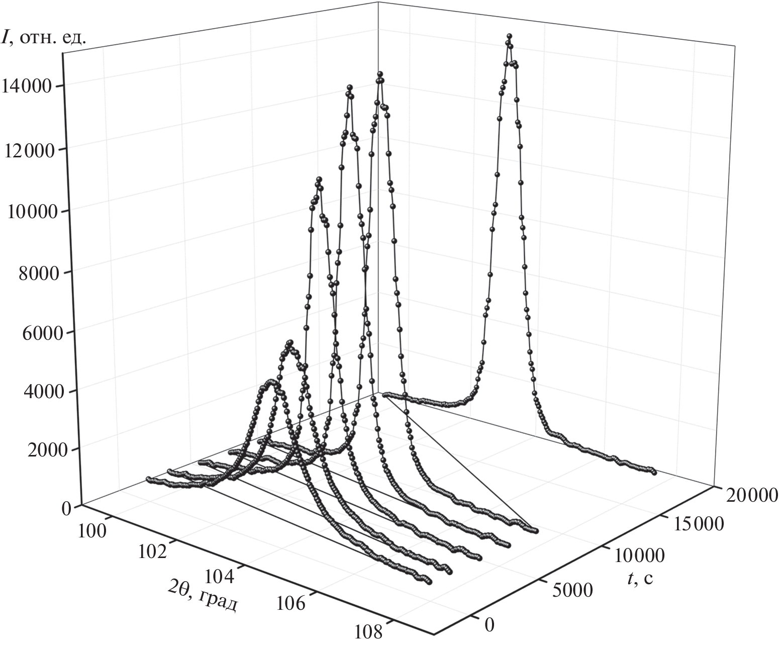
Одной из наиболее важных особенностей релаксоров является возможность индуцирования устойчивой сегнетоэлектрической фазы путем приложения электрического поля. Такого рода индуцированный фазовый переход многократно исследовался, в том числе прослеживались изменения структуры в процессе перехода и его кинетика. Однако процессы, происходящие при электрическом переключении, остаются малоизученными, а структурная перестройка в процессе переключения вообще не исследовалась. Для заполнения этого пробела прослежена временная эволюция картины брэгговского и диффузного рентгеновского рассеяния классического релаксора PbMg1/3Nb2/3O3 при T = 175 К в процессе многократного переключения направления постоянного внешнего поля E = ± 6.25 кВ/см. Показано, что после включения поля происходит распад стеклоподобного состояния и формируется смешанная сегнето-стекольная фаза. При переключении знака поля наблюдается рост дипольно-стекольных корреляций, однако не обнаружены признаки возникновения неоднородного состояния, содержащего ограниченные области дипольно-стекольной и сегнетоэлектрической фаз. При переключении в первоначальное направление поля происходит быстрое формирование сегнетофазы, роста дипольно-стекольных корреляций не выявлено. При повторном переключении наблюдается уменьшение интенсивности брэгговского рассеяния, связанного с дальним порядком. Этот эффект можно предположительно связать с возникновением случайных слабо скоррелированных ионных смещений, нарушающих дальний порядок.
Об авторах
С. Б. Вахрушев
Физико-технический институт им. А.Ф. Иоффе РАН
Email: svakhrushev@gmail.com
Россия, Санкт-Петербург
Ю. А. Бронвальд
Физико-технический институт им. А.Ф. Иоффе РАН
Email: svakhrushev@gmail.com
Россия, Санкт-Петербург
С. А. Удовенко
Санкт-Петербургский политехнический университет Петра Великого
Email: svakhrushev@gmail.com
Россия, Санкт-Петербург
Е. Ю. Королева
Физико-технический институт им. А.Ф. Иоффе РАН
Email: svakhrushev@gmail.com
Россия, Санкт-Петербург
А. Ю. Молоков
Физико-технический институт им. А.Ф. Иоффе РАН
Автор, ответственный за переписку.
Email: svakhrushev@gmail.com
Россия, Санкт-Петербург
Список литературы
- Cмоленский Г.А., Исупов В.А., Аграновская А.И., Попов С.Н. // ФТТ. 1960. Т. 2. № 11. С. 2906.
- Colla E.V., Koroleva E.Y., Okuneva N.M., Vakhrushev S.B. // J. Phys. Condens. Matter. 1992. V. 4. № 13. P. 3671. https://doi.org/10.1088/0953-8984/4/13/026
- Burns G., Scott B.A. // Solid State Commun. 1973. V. 13. № 3. P. 423. https://doi.org/10.1016/0038-1098(73)90622-4
- Вахрушев С.Б., Квятковский Б.Е., Малышева Р.С. // Изв. АН СССР. Сер. физ. 1987. Т. 51. № 12. С. 2142.
- Vakhrushev S.B., Nabereznov A.A., Sinha S.K. // J. Phys. Chem. Solids. 1996. V. 57. № 10. P. 1517. https://doi.org/10.1016/0022-3697(96)00022-4
- Ye Z.G., Schmid H. // Ferroelectrics. 1993. V. 145. № 1. P. 83. https://doi.org/10.1080/00150199308222438
- Колла Е.В., Вахрушев С.Б., Королева Е.Ю., Окунева Н.М. // ФТТ. 1996. Т. 38. № 7. С. 2183.
- Zhao X., Qu W., Tan X. // Phys. Rev. B. 2007. V. 75. № 10. P. 104106. https://doi.org/10.1103/PhysRevB.75.104106
- Colla E.V., Koroleva E.Y. Okuneva N.M., Vakhrushev S.B. // Phys. Rev. Lett. 1995. V. 74. № 9. P. 1681. https://doi.org/10.1103/PhysRevLett.74.1681
- Vakhrushev S.B., Kvyatkovsky B.E., Naberezhnov A.A. // Ferroelectrics. 1989. V. 90. № 1. P. 173. https://doi.org/10.1080/00150198908211287
- Stock C., Xu G., Gehring P.M. // Phys. Rev. B. 2007. V. 76. № 6. P. 064122. https://doi.org/10.1103/PhysRevB.76.064122
- Vakhrushev S.B., Kiat J.M., Dkhil B. // Solid State Commun. 1997. V. 103. № 8. P. 477. https://doi.org/10.1016/S0038-1098(97)00222-6
- Вакуленко А.Ф., Вахрушев С.Б., Королева Е.Ю. // ФТТ. 2020. Т. 62. № 10. С. 1670.
- Удовенко С.А., Чернышов Д.Ю., Андроникова Д.А. // ФТТ. 2018. Т. 60. № 5. С. 960.
- Rigaku O.D. // Rigaku Oxford Diffraction Ltd. 2015, Yarnton, Oxfordshire, England.
- Xu G., Zhong Z., Bing Y. // Nat. Mater. 2006. V. 5. № 2. P. 134. https://doi.org/10.1038/nmat1560
- Кривоглаз М.А. Диффузное рассеяние рентгеновских лучей и нейтронов на флуктуационных неоднородностях в неидеальных кристаллах. Киев: Наук. думка, 1984. 287 с.
- Glinchuk M.D., Farhi R. // J. Phys. Condens. Matter. 1996. V. 8. № 37. P. 6985. https://doi.org/10.1088/0953-8984/8/37/019
- Glinchuk M.D., Eliseev E.A., Stephanovich V.A., Hilczer B. // Ferroelectrics. 2001. V. 254. № 1. P. 13. https://doi.org/10.1080/00150190108214983
- Bokov A.A., Ye Z.G. // Reentrant phenomena in relaxors. Nanoscale Ferroelectrics and Multiferroics: Key Processing and Characterization Issues, and Nanoscale Effects, 2016. P. 729. https://doi.org/10.1002/9781118935743.ch23
- Chao L.K., Colla E.V., Weissman M.B. // Phys. Rev. B. 2006. V. 74. № 1. P. 014105. https://doi.org/10.1103/PhysRevB.74.014105
- Dupuis V., Vincent E., Alba M., Hammann J. // Eur. Phys. J. B. 2006. V. 29. P. 19. https://doi.org/10.1140/epjb/e2002-00257-y





