STATISTICAL THEORY OF X-RAY DIFFRACTION PHASE CONTRAST FORMATION
- Authors: Bushuev V.A.1
-
Affiliations:
- Lomonosov Moscow State University, Moscow, 119991 Russia
- Issue: Vol 68, No 3 (2023)
- Pages: 385-393
- Section: ДИФРАКЦИЯ И РАССЕЯНИЕ ИОНИЗИРУЮЩИХ ИЗЛУЧЕНИЙ
- URL: https://bakhtiniada.ru/0023-4761/article/view/137404
- DOI: https://doi.org/10.31857/S002347612370008X
- EDN: https://elibrary.ru/XAQWCX
- ID: 137404
Cite item
Full Text
Abstract
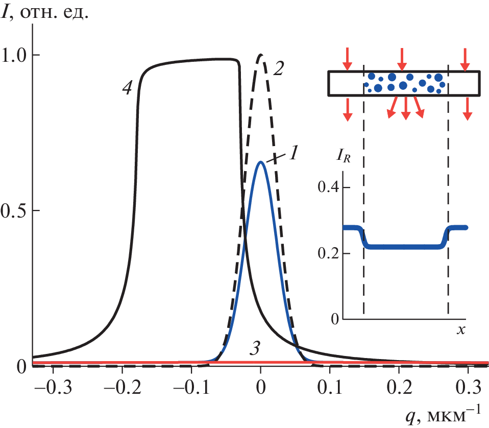
A successive consideration of the formation of X-ray diffraction phase contrast of weakly absorbing noncrystalline objects with statistically distributed small-scale density inhomogeneities has been performed. It was assumed that the incident X-ray beam has an arbitrary degree of spatial coherence, and the changes in the statistical characteristics of this radiation during Bragg diffraction reflection from the monochromator and analyzer were taken into account. The phenomena of the increase and/or decrease in the phase contrast from regions with randomly distributed microcalcifications, in dependence of their rms sizes, relative refractive index decrement, and the lengths of spatial coherence of radiation and phase correlation as a result of diffraction-enhanced diffuse scattering are explained.
About the authors
V. A. Bushuev
Lomonosov Moscow State University, Moscow, 119991 Russia
Author for correspondence.
Email: vabushuev@yandex.ru
Россия, Москва
References
- Forster E., Goetz K., Zaumseil P. // Kristall Technik. 1980. V. 15. P. 937. https://doi.org/10.1002/crat.19800150812
- Подурец К.М., Соменков В.А., Шильштейн С.Ш. // ЖТФ. 1989. Т. 59. С. 115.
- Podurets K.M., Somenkov V.A., Shilstein S.Sh. // Physica B. 1989. V. 156–157. P. 691. https://doi.org/10.1016/0921-4526(89)90765-5
- Соменков В.А., Ткалич А.К., Шильштейн С.Ш. // ЖТФ. 1991. Т. 61. С. 197.
- Ингал В.Н., Беляевская Е.А. // ЖТФ. 1993. Т. 63. С. 137.
- Ingal V.N., Beliaevskaya E.A. // J. Phys. D. 1995. V. 28. P. 2314. https://doi.org/10.1088/0022-3727/28/11/012
- Gao D., Davis T.J., Wilkins S.W. // Aust. J. Phys. 1995. V. 48. P. 103. https://doi.org/10.1071/PH950103
- Davis T.J., Gao D., Gureyev T.E. et al. // Nature. 1995. V. 373. P. 595. https://doi.org/10.1038/373595a0
- Davis T.J., Gureyev T.E., Gao D. et al. // Phys. Rev. Lett. 1995. V. 74. P. 3173. https://doi.org/10.1103/PhysRevLett.74.3173
- Бушуев В.А., Ингал В.Н., Беляевская Е.А. // Кристаллография. 1996. Т. 41. № 5. С. 808.
- Chapman D., Thomlinson W., Arfelli F. et al. // Rev. Sci. Instrum. 1996. V. 67. P. 3360. https://doi.org/10.1063/1.1147502
- Шильштейн С.Ш., Подурец К.М., Соменков В.А., Манушкин А.А. // Поверхность. Рентген., синхротр. и нейтр. исследования. 1996. № 3–4. С. 231.
- Ingal V.N., Beliaevskaya E.A. // Physica Medica. 1996. V. 12. P. 75.
- Ингал В.Н., Беляевская Е.А. // Поверхность. Рентген., синхротр. и нейтр. исследования. 1996. № 3–4. С. 222.
- Ингал В.Н., Беляевская Е.А. // ЖТФ. 1997. Т. 67. С. 68.
- Bushuev V.A., Beliaevskaya E.A., Ingal V.N. // Nuovo Cimento Soc. Ital. Fis. 1997. V. 19 D. P. 513. https://doi.org/10.1007/BF03041011
- Ingal V.N., Beliaevskaya E.A. // Nuovo Cimento Soc. Ital. Fis. 1997. V. 19 D. P. 553. https://doi.org/10.1007/BF03041016
- Gureyev T.E., Wilkins S.W. // Nuovo Cimento Soc. Ital. Fis. 1997. V. 19 D. P. 545. https://doi.org/10.1007/BF03041015
- Chapman D., Thomlinson W., Johnston R.E. et al. // Phys. Med. Biol. 1997. V. 42. P. 2015. https://doi.org/10.1088/0031-9155/42/11/001
- Beliaevskaya E.A., Gambaccini M., Ingal V.N. et al. // Physica Medica. 1998. V. 14. P. 19.
- Ingal V.N., Beliaevskaya E.A., Brianskaya A.P., Merkurieva R.D. // Phys. Med. Biol. 1998. V. 43. P. 2555. https://doi.org/10.1088/0031-9155/43/9/009
- Бушуев В.А., Ингал В.Н., Беляевская Е.А. // Кристаллография. 1998. Т. 43. № 4. С. 586.
- Бушуев В.А., Сергеев А.А. // Письма в ЖТФ. 1998. Т. 24. № 21. С. 55.
- Бушуев В.А., Коне А. // Поверхность. Рентген., синхротр. и нейтр. исследования. 1998. № 10. С. 5.
- Бушуев В.А., Сергеев А.А. // Письма в ЖТФ. 1999. Т. 25. № 3. С. 1. https://doi.org/10.1134/1.1262407
- Бушуев В.А., Сергеев А.А. // Поверхность. Рентген., синхротр. и нейтр. исследования. 2000. № 9. С. 48.
- Бушуев В.А., Петраков А.П. // Кристаллография. 2001. Т. 46. № 2. С. 209. https://doi.org/10.1134/1.1358388
- Бушуев В.А., Сергеев А.А. // Поверхность. Рентген., синхротр. и нейтр. исследования. 2003. № 1. С. 52.
- Бушуев В.А., Гуськова М.А. // Изв. РАН. Сер. физ. 2005. Т. 69. С. 229.
- Pavlov K.M., Kewish C.M., Davis J.R., Morgan M.J. // J. Phys. D: Appl. Phys. 2001. V. 34. P. A168. https://doi.org/10.1088/0022-3727/34/10A/335
- Pavlov K.M., Gureyev T.E., Paganin D. et al. // J. Phys. D: Appl. Phys. 2004. V. 37. P. 2746. https://doi.org/10.1088/0022-3727/37/19/021
- Snigirev A., Snigireva I., Kohn V. et al. // Rev. Sci. Instrum. 1995. V. 66. P. 5486. https://doi.org/10.1063/1.1146073
- Snigirev A., Snigireva I., Kohn V.G., Kuznetsov S.M. // Nucl. Instrum. Methods. Phys. Res. A. 1996. V. 370. P. 634. https://doi.org/10.1016/0168-9002(95)00849-7
- Wilkins S.W., Gureyev T.E., Gao D. et al. // Nature. 1996. V. 384. P. 335. https://doi.org/10.1038/384335a0
- Cloetens P., Barrett R., Baruchel J. et al. // J. Phys. D. 1996. V. 29. P. 133. https://doi.org/10.1088/0022-3727/29/1/023
- Gureyev T.E., Wilkins S.W. // J. Opt. Soc. Am. A. 1998. V. 15. P. 579.
- Gureyev T.E., Wilkins S.W. // Opt. Commun. 1998. V. 147. P. 229. https://doi.org/10.1016/S0030-4018(97)00637-8
- Gureyev T.E., Raven C., Snigirev A. et al. // J. Phys. D. 1999. V. 32. P. 563. https://doi.org/10.1088/0022-3727/32/5/010
- Nesterets Ya. I. // Opt. Commun. 2008. V. 281. P. 533. https://doi.org/10.1016/j.optcom.2007.10.025
- Шовкун В.Я. // Медицинская физика. 2007. № 2. С. 25.
- Ахманов А.С., Дьяков Ю.Е., Чиркин А.С. Введение в статистическую радиофизику и оптику. М.: Наука, 1981. 640 с.
- Бушуев В.А. // Изв. РАН. Сер. физ. 2009. Т. 73. С. 56. https://doi.org/10.3103/S1062873809010158
- Бушуев В.А. // Изв. РАН. Сер. физ. 2010. Т. 74. С. 47. https://doi.org/10.3103/S1062873810010119
- Виноградова М.Б., Руденко О.В., Сухоруков А.П. Теория волн. М.: Наука, 1990. 432 с.
- Джеймс Р. // Оптические принципы дифракции рентгеновских лучей. М.: ИЛ, 1950. С. 283.
- Пинскер З.Г. // Динамическое рассеяние рентгеновских лучей в идеальных кристаллах. М.: Наука, 1974. С. 240.
- Пинскер З.Г. // Рентгеновская кристаллооптика. М: Наука, 1982. С. 225.
- Иверонова В.И., Ревкевич Г.П. // Теория рассеяния рентгеновских лучей. М.: Изд-во Моск. ун-та. 1978. С. 135.
- Authier A. // Dynamical theory of X-ray diffraction. N.-Y.: Oxford University Press, 2001. P. 455.
Supplementary files





