SHIFTS OF THE KIESSIG OSCILLATIONS AND FARADAY ROTATION FOR X-RAY REFLECTIVITY FROM A MAGNETIZED FILM
- Authors: Andreeva M.A.1, Baulin R.A.1
-
Affiliations:
- Lomonosov Moscow State University, Moscow, 119991 Russia
- Issue: Vol 68, No 3 (2023)
- Pages: 376-384
- Section: ДИФРАКЦИЯ И РАССЕЯНИЕ ИОНИЗИРУЮЩИХ ИЗЛУЧЕНИЙ
- URL: https://bakhtiniada.ru/0023-4761/article/view/137402
- DOI: https://doi.org/10.31857/S0023476123700078
- EDN: https://elibrary.ru/WZYMKA
- ID: 137402
Cite item
Full Text
Abstract
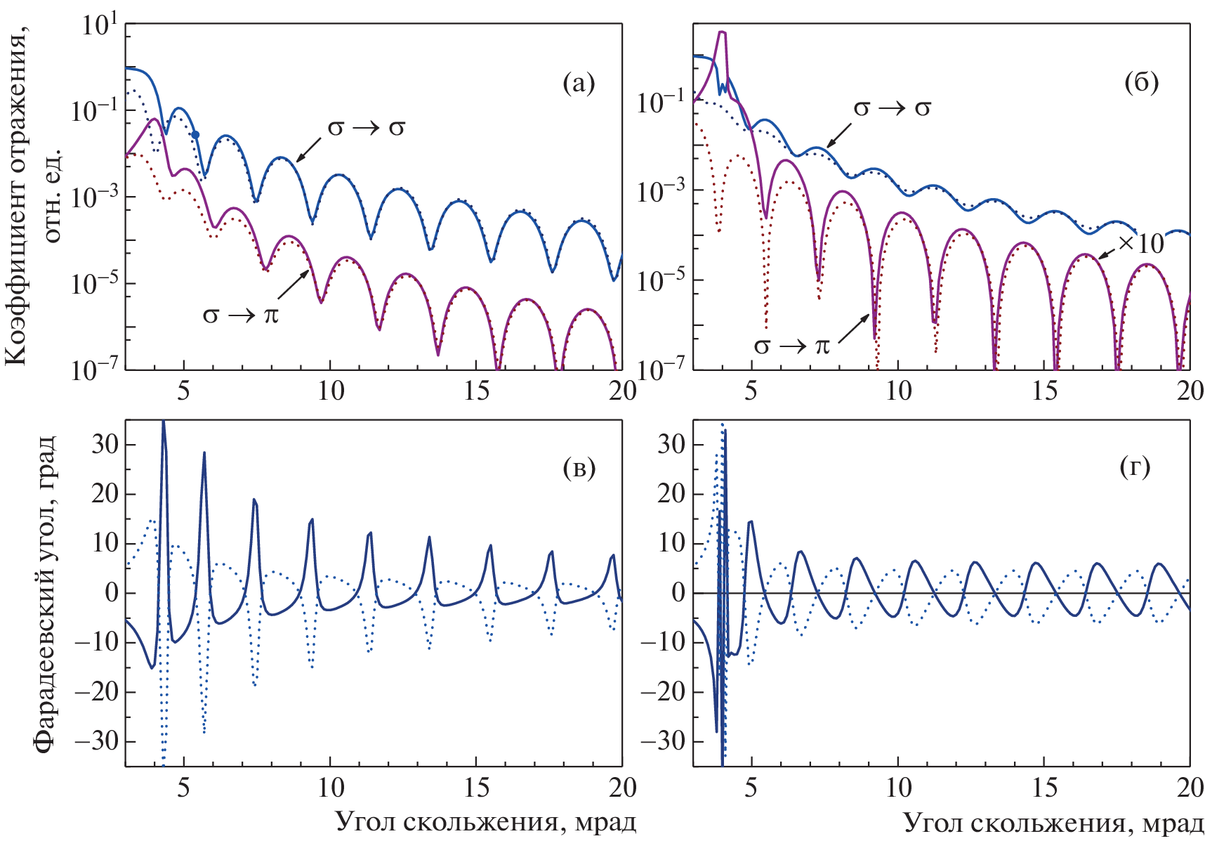
Appearance of the refraction effects and Faraday rotation of the plane of polarization of linearly polarized X rays has been analyzed for transmission and reflection at grazing incidence angles for a resonant film with allowance for the X-ray magnetic or Mössbauer scattering. It is shown that, when the magnetization is oriented along the radiation beam direction, magnetic additives to the susceptibility do not affect the phase shifts between the waves reflected from the surface and the substrate; however, they induce “orthogonal polarization” in the reflected beam, which corresponds to rotation of the plane of polarization. Rotation of the plane of polarization is maximum for the critical angle of total external reflection; it is characterized by an oscillating dependence on the grazing angle, which can be used in future to vary the polarization state of X-ray beams.
About the authors
M. A. Andreeva
Lomonosov Moscow State University, Moscow, 119991 Russia
Email: Mandreeva1@yandex.ru
Россия, Москва
R. A. Baulin
Lomonosov Moscow State University, Moscow, 119991 Russia
Author for correspondence.
Email: baulin.roman@physics.msu.ru
Россия, Москва
References
- Kiessig H. // Annalen der Physik. 1931. B. 402. S. 715. https://doi.org/10.1002/andp.19314020607
- Segmüller A. // Thin Solid Films. 1973. V. 18. № 2. P. 287. https://doi.org/10.1016/0040-6090(73)90107-7
- Andreeva M.A., Smekhova A., Baulin R.A. et al. // J. Synchrotron Radiat. 2021. V. 28. № 5. P. 1535. https://doi.org/10.1107/S1600577521007694
- Смехова А.Г., Андреева М.А., Одинцова E.E. и др. // Кристаллография. 2010. Т. 55. № 5. С. 906. https://doi.org/10.1134/S1063774510050263
- Toperverg B.P., Lauter H.J., Lauter-Pasyuk V.V. // Physica B. 2005. V. 356. P. 1. https://doi.org/10.1016/j.physb.2004.10.035
- Федоров Ф.И. Теория гиротропии. Минск: Наука и техника, 1976. 456 с.
- Stepanov S.A., Sinha S.K. // Phys. Rev. B. 2000. V. 61. P. 15302. https://doi.org/10.1103/PhysRevB.61.15302
- Kuneš J., Oppeneer P.M., Mertins H.-Ch. et al. // Phys. Rev. B. 2001. V. 64. P. 174417. https://doi.org/10.1103/PhysRevB.64.174417
- Mertins H.C., Valencia S., Gaupp A. et al. // Appl. Phys. A. 2005. V. 80. P. 1011. https://doi.org/10.1007/s00339-004-3129-5
- Kortright J.B., Rice M., Kim M. et al. // J. Magn. Magn. Mater. 1999. V. 191. P. 79. https://doi.org/10.1016/S0304-8853(98)00344-8
- Kortright J.B., Rice M., Carr R. // Phys. Rev. B. 1995. V. 51. P. 10240. https://doi.org/10.1103/PhysRevB.51.10240
- Kortright J.B., Kim S.-K. // Phys. Rev. B. 2000. V. 62. P. 12216. https://doi.org/10.1103/PhysRevB.62.12216
- Mertins H.-Ch., Schäfers F., Gaupp A. et al. // Phys. Rev. B. 2000. V. 61. P. R874. https://doi.org/10.1103/PhysRevB.61.R874
- Imbert P. // Phys. Lett. 1964. V. 8. P. 956. https://doi.org/10.1016/0031-9163(64)90724-3
- Imbert P. // J. Phys. 1966. V. 27. P. 429. https://doi.org/10.1051/jphys:01966002707-8042900
- Gonser U., Housley U. // Phys. Lett. A. 1968. V. 26. P. 157. https://doi.org/10.1016/0375-9601(68)90053-4
- Housley R.M., Gonser U. // Phys. Rev. 1969. V. 171. P. 480. https://doi.org/10.1103/physrev.171.480
- Kistner O.C. // Phys. Rev. Lett. 1967. V. 19. № 15. P. 872. https://doi.org/10.1103/PhysRevLett.19.872
- Blume M., Kistner O.C. // Phys. Rev. 1968. V. 171. P. 417. https://doi.org/10.1103/PhysRev.171.417
- Airy G.B. // Philos. Mag. 1833. V. 2. P. 20. https://doi.org/10.1080/14786443308647959
- Борн М., Вольф Э. Основы оптики. Пер с англ. / Под ред. Мотулевич Г.П. М.: Наука, 1973. 720 с.
- Parratt L.G. // Phys. Rev. 1954. V. 95. P. 359. https://doi.org/10.1103/PhysRev.95.359
- Hamley I.W., Pedersen J.S. // J. Appl. Cryst. 1994. V. 27. P. 29. https://doi.org/10.1107/S0021889893006260
- Andreeva M.A., Repchenko Yu.L. // Crystallography Reports. 2013. V. 58. № 7. P. 1037.
- Андреева М.А., Смехова А.Г. // Изв. РАН. Сер. физ. 2008. Т. 72. № 5. С. 693.
- Андреева М.А. Рентгеновское излучение в исследовании магнетизма. Уч. пособ. для аспирантов и студентов старших курсов / Под ред. проф. Илюшина А.С. М.: Физический факультет МГУ, 2018. 192 с.
- Андреева М.А., Линдгрен Б. // Письма в ЖЭТФ. 2002. Т. 76. № 12. С. 833. https://doi.org/10.1134/1.1556209
- Andreeva M.A., Baulin R.A., Repchenko Yu.L. // J. Synchrotron Radiat. 2019. V. 26. P. 483. https://doi.org/10.1107/S1600577518018398
- Toellner T.S., Sturhahn W., Röhlsberger R. et al. // Phys. Rev. Lett. 1995. V. 74. P. 3475. https://doi.org/10.1103/PhysRevLett.74.3475
- Andreeva M.A., Lindgren B. // Phys. Rev. B. 2005. V. 72. P. 125422. https://doi.org/10.1103/PhysRevB.72.125422
- Rüffer R. // C. R. Physique. 2008. V. 9. P. 595. https://doi.org/10.1016/j.crhy.2007.06.003
- Андреева М.А. Ядерно-резонансная спектроскопия конденсированных сред. Ч. 2. Мёссбауэровские исследования на синхротронном излучении. Уч. пособ. для магистров и аспирантов / Под ред. проф. Илюшина А.С. М.: Физический факультет МГУ, 2019. 263 с.
- Rüffer R., Chumakov A.I. // Modern Mössbauer Spectroscopy. Topics in Applied Physics. / Eds. Yoshida Y., Langouche G. Singapore: Springer Nature, 2021. P. 1. https://doi.org/10.1007/978-981-15-9422-9
Supplementary files







